Радиоприемные устройства (работа 2)
Министерство образования Республики Беларусь
Учреждение образования
«Белорусский государственный университет
информатики и радиоэлектроники»
К защите допускаю
“_______” _______________2006 г.
Оценка
“_________” _____________2006 г.
Пояснительная записка
к курсовому проекту:
«РАДИОПРИЁМНОЕ УСТРОЙСТВО»
Разработал: Проверил:
студент гр.341201
Курочкин А.Е. Якуш Р.А.
Минск
2006
Содержание
Введение……………………………………………………………....…….3
Обоснование требований ТЗ…………………………………..……5
Разработка структурной схемы…………….………....……………6
Предварительный расчёт…………………….…………………......9
Электрический расчёт узлов РПУ……………………………….…6
Моделирование узла временного разделения каналов …....……...5
Конструктивный расчет корпуса РПУ…..………………….…….47
Заключение…………………………………………..……………..….….51
Список использованной литературы……………...…….….....................52
Приложения……….…………………………………………………........53
ВВЕДЕНИЕ
Радиоприемные устройства входят в состав радиотехнических систем связи, т.е. систем передачи информации с помощью электромагнитных волн
Радиоприемное устройство состоит из приемной антенны, радиоприемника и оконечного устройства предназначенного для воспроизведения сигналов. Радиоприемники можно классифицировать по ряду признаков, из которых основными являются: тип схемы, вид принимаемых сигналов, назначение приемника, диапазон частот, вид активных элементов, используемых в приемнике, тип конструкции приемника.
По типу схем различают приемники детекторные, прямого усиления (без регенерации и с регенерацией), сверхрегенеративные и супергетеродинные приемники, обладающие существенными преимуществами перед приемниками других типов и широко применяемые на всех диапазонах приемников.
Принимаемые сигналы служат для передачи сообщений или измерения положения и параметров относительного движения объектов. Сигналы могут передавать сообщения от одного источника или нескольких. Для передачи информации используется изменение одного из параметров сигнала по закону изменения информационного сигнала. Используются: непрерывные колебания с изменяемой (модулированной) амплитудой, частотой или фазой; колебания, скачкообразно изменяемые (манипулированные) по амплитуде, частоте, или разности фаз; колебания с изменяемой амплитудой, частотой или фазой, которые обусловлены видеоимпульсами с амплитудной, широтной, временной, или дельта-модуляцией, а также кодовыми группами видеоимпульсов.
По назначению различают приемники связные, радиовещательные, телевизионные, радиорелейных и телеметрических линий, радиолокационные, радионавигационные и другие. Связные радиоприемники чаще всего служат для приема одноканальных непрерывных сигналов с АМ (с несущей и боковыми полосами), ОБП (однополосной) и ЧМ или дискретных сигналов с амплитудной манипуляцией, частотной или фазовой. Радиовещательные приемники (монофонические) принимают одноканальные непрерывные сигналы с АМ на длинных, средних и коротких волнах и с ЧМ на ультракоротких волнах. Приемники черно-белых телевизионных программ принимают непрерывные сигналы с АМ и частичным подавлением одной боковой полосы частот и звуковые сигналы с ЧМ. Приемники цветных телевизионных программ принимают также сигналы, создающие цветное изображение. Приемники оконечных станций радиорелейных и телеметрических линий обычно предназначены для приема и разделения каналов многоканальных сигналов с частотным и временным уплотнением.
Приемники промежуточных станций радиорелейных линий (наземных и спутниковых) отличаются от приемников оконечных станций тем, что в них не происходит разделения многоканальных сигналов.
Импульсные радиолокационные приемо-передающие станции обычно излучают зондирующие радиоимпульсы с фиксированными периодами следования, длительностью импульсов, амплитудой и несущей частотой. Приемники таких станций служат для приема части энергии зондирующих сигналов, отраженной от целей. Отраженные сигналы могут быть импульсными или непрерывными, причем информация о целях может содержаться в изменении во времени амплитуды (или отношения амплитуд) и частоты (или спектре) сигналов.
Согласно рекомендации МККР (Международного консультативного комитета по радио) спектр радиосвязи делится на диапазоны. Наиболее широко распространенные приемники работают в диапазоне 30 кГц - 300 ГГц (на волнах 10 км - 1мм).
В качестве активных элементов каскадов приемников, работающих на частотах 30 кГц - 300 МГц, используются полупроводниковые приборы и электронные лампы. Предпочтение отдается полупроводниковым приборам благодаря их преимуществам (малые габаритные размеры и масса; низкие напряжения и токи питания; большой срок службы и механическая прочность).
Приемники конструктивно выполняются из отдельных (навесных) активных и пассивных элементов с печатным или объемным монтажом или из готовых интегральных микросхем, представляющих собой каскады, узлы приемников и даже целые приемники.
1. ОБОСНОВАНИЕ ТРЕБОВАНИЙ ТЗ
Техническим заданием задан следующий тип сигнала L8AJT:
L – излучение с модуляцией по ширине;
8 – два и более канал информации;
A – телеграф для слухового приема;
J – звук коммерческого качества
T – временное уплотнение
Другие данные заданные ТЗ:
Реальная чувствительность - 100 мкВ;
Избирательность по соседнему каналу - 50 дБ;
Избирательность по зеркальному каналу - 90 дБ;
Коэффициент регулирования АРУ - 85 дБ.
После того, как определен тип модуляции сигнала, следует выбрать диапазон принимаемых частот и рассчитать полосу сигнала. Современные приёмники с ШИМ сигналов работают в диапазонах КВ и УКВ. Поскольку данный приемник является стационарным устройством, выбираем из рекомендованных МККР диапазонов для стационарного КВ приёмника диапазон (4.438 – 4.650) МГц. Данный диапазон обеспечивает дальность приёма днём до 600 км, ночью – до 3000 км. Следует отметить, что дальность практически не зависит от солнечной активности.
2. РАЗРАБОТКА СТРУКТУРНОЙ СХЕМЫ
Структурные схемы приемников различаются построением тракта радиочастоты, в котором может осуществляться прямое усиление входных сигналов и усиление их с преобразованием частоты.
В приемниках прямого усиления тракт радиочастоты содержит входную цепь (ВЦ) и усилитель поступающего с антенны радиосигнала – так называемый усилитель радиосигнала (УРС). В этом случае все избирательные цепи настроены на частоту принимаемого радиосигнала, на которой осуществляется усиление. Входная цепь обеспечивает предварительную частотную селекцию до первого каскада УРС, а сам УРС – основную частотную селекцию и детекторное усиление сигналов. Так как обычно необходимы высокая избирательность и усиление, то может потребоваться несколько усилительных каскадов и резонансных контуров. Из-за конструктивной сложности реализации перестройки число контуров редко превышает 3...4. При этом усиление на радиочастоте может оказаться неустойчивым, а селективность недостаточной.
Наибольшее
распространение для подавляющего
большинства радиосистем различного
назначения получила супергетеродинная
структура приемника с одно- или
многократным преобразованием частоты
(Рисунок 1). Часть приемника – преселектор,
включающий ВЦ и УРС, подобен структуре
приемника прямого усиления и обеспечивает
чувствительность и предварительную
селекцию по частоте. С выхода преселектора
напряжение сигналов и помех поступает
на преобразователь частоты (ПЧ), где
происходит изменение несущей частоты
сигнала

Р
исунок
1. Структурная схема приемника
супергетеродинного типа
Для этого сигнал и колебания местного генератора - гетеродина (Г) одновременно воздействуют на смеситель (См), представляющий собой нелинейный или параметрический элемент.
В результате
на выходе смесителя возникает колебание,
содержащие составляющие с частотой
сигнала
и его гармоник, гетеродина
и его гармоник и большое число
комбинационных составляющих с частотами
(n,m=0,1,2...-
целые числа). Одна из этих комбинационных
частот используется в качестве новой
несущей частоты выходного сигнала и
называется промежуточной частотой:
(3.1)
Поскольку сигнал
несет в себе полезную информацию, в
процессе преобразования частоты эта
информация должна сохраняться, то есть
ПЧ должен быть линейным. Таким образом,
в процессе преобразования частоты
происходит перенос спектра сигнала в
область промежуточной частоты без
нарушения амплитудных и фазовых
соотношений его составляющих.
Частотно-избирательные блоки, расположенные
за смесителем, настроены на частоту
и называются усилителями сигналов
промежуточной частоты (УПЧ). Промежуточная
частота
всегда фиксирована, не зависит от частоты
принимаемого сигнала
и выбирается намного ниже частоты
сигнала. Поэтому на частоте
легко обеспечить требуемое устойчивое
усиление. Так как УПЧ не перестраивается
по частоте, то это позволяет получить
в супергетеродинном приемнике высокую
частотную избирательность при неизменной
полосе пропускания, а также реализовать
оптимальную фильтрацию сигнала от
помех, применяя согласованные фильтры
на промежуточной частоте.
Приемник многоканальных сигналов с временным уплотнением должен преобразовывать радиоимпульсы в видеоимпульсы; разделить видеоимпульсы, служащие для передачи сообщений по различным каналам, и преобразовать видеоимпульсы, следующие с тактовой частотой, в модулирующее напряжение. После линейного тракта радиоимпульсы промежуточной частоты поступают на входе демодулятора (ДРИ), который в свою очередь преобразует их в видеоимпульсы. Т.е. Uпор ≥Uп При приеме сигналов с ШИМ в качестве ДРИ может выступать амплитудный детектор. Радиоимпульсы синхронизации также преобразуются ДРИ в видеоимпульсы. Они, как правило, отличаются большой длительностью, что позволяет с помощью интегратора (И) и пороговой схемы (ПС) выделить их. Они поступают на ждущий мультивибратор (МВ), который при этом запускается и открывает каскад совпадения (КС), который пропускает соответствующий канал на время приема импульса. Срез импульса МВ1 запускает МВ2, который открывает следующий канал и т.д. Затем приходит следующий синхроимпульс и все повторяется. Для демодуляции сигналов с широтно-импульсной модуляцией (ШИМ) необходимо пропустить видеоимпульсы через ФНЧ с граничной частотой Fв, где 0.5Fи>Fв>Fmax. Для ослабления помех нужно использовать двухсторонний ограничитель (ДО) или электронное реле, которое будет перебрасываться во время прохождения напряжения через некоторое пороговое напряжение. Уровень ограничения следует выбрать из условия Uпор ≈ 0.5Uи, где Uи – амплитуда видеоимпульсов. В этом случаи уровень ограничения попадает на участок наибольшей крутизны фронта импульсов, и действие помех станет минимальным. ДО необходимо включить между КС и ДРИ, тем самым уменьшая необходимое число активных элементов. В итоге структурная схема приемника будет выглядеть как показано на рисунке 2.

Рисунок 2. Структурная схема многоканального приемника с ШИМ и временным уплотнением.
При расчёте структурной схемы необходимо определить число преобразователей частоты, определить промежуточные частоты и частоты гетеродинов, к-ты передачи блоков УРС, ПЧ и УПЧ, чтобы обеспечить на выходе тюнера достаточный уровень сигнала для работы усилителя.
3. ПРЕДВАРИТЕЛЬНЫЙ РАСЧЁТ
3.1. Расчёт полосы пропускания
Расчёт полосы пропускания приёмника сигналов ШИМ можно вести как для обычного приёмника непрерывных сигналов с АМ, так как ширина спектра определяется верхней частотой информационного сообщения.
Исходные данные:
Fq = 200 – 3000 Гц – ширина спектра информационного сообщения
f0 = 4.565 Мгц – частота несущей принимаемого сигнала
Расчёт числа преобразователей частоты:
Необходимо проверить выполнение условия:
(4.1.1)
где:
fc – частота несущей принимаемого сигнала – fc = f0 = 4.5 МГц
Sзк – требуемая избирательность по зеркальному каналу, число раз 90дБ = 31622раз.
Q – конструктивная добротность избирательных систем. Для LC контуров принимаем Q=100.
∆F – ширина спектра информационного сообщения.
∆F = 2Fmax =6000 (4.1.2)
n – число избирательных систем.
Покажем, что условие (4.1.1) выполняется для n =3 :
(4.1.3)
Действительно 360.9кГц меньше 600кГц. Теперь, зная ширину спектра сигнала, можно определить промежуточную частоту (ПЧ). Причем мы не должны забывать об некоторых условиях, которые накладываются на ПЧ:
ПЧ не должна находиться в диапазоне частот приемника или близко от границ этого диапазона;
ПЧ не должна совпадать с частотой какого либо мощного передатчика;
Существует ряд стандартных значений ПЧ, причем нужно из этого ряда выбрать такую, которая будет попадать в диапазон между 360.9кГц и 600кГц
(4.1.4)
В
этот диапазон как раз попадает стандартное
значение fпч
= 465 кГц. Зная fпч,
можно определить частоту гетеродина.
Поскольку условие (4.1.1) выполнилось, то
одного преобразования частоты будет
достаточно. Следовательно, в схеме будет
только один гетеродин и один преобразователь
частоты. В качестве гетеродина используем
цифровой синтезатор частоты со встроенной
петлёй ЧАП. Это обеспечит высокую
стабильность частоты (нестабильность
частоты составит не более 10
)
и облегчит перестройку гетеродина.
Поскольку значение ПЧ меньше минимальной частоты диапазона, преобразование будет нижним, и частота гетеродина определится как:
(4.1.5)
Подставляя значения в формулу (4.1.5), получим:
4.565Мгц
– 0.465MГц
= 4.1MГц (4.1.6)
Разработка структурной схемы закончена. Далее следует определить требуемое усиление, рассчитать полосу принимаемого сигнала.
Ниже приведены результаты разработки структурной схемы:
Диапазон принимаемых частот - (4.438 – 4.650) МГц
Промежуточная частота Fпч = 465кГц
Частота гетеродина – 4.1МГц
Число избирательных систем приселектора – n = 2
3.2. Определение ширины полосы пропускания ВЧ тракта
Полоса пропускания высокочастотного тракта с системой ЧАП определяется формулой:
(4.2.1)
где:
-
ширина спектра принимаемого сигнала,
f>сп>=6
кГц,
>с> ,>г> - относительная нестабильность несущей частоты сигнала >с>=0 и частоты гетеродина,>г>=10-6 (цифровой синтезатор с кварцевой стабилизацией)
>пр>=10-3, относительная нестабильность собственной частоты контуров тракта ПЧ приемника,
>н>=10-3, относительная погрешность установки при беспоисковой настройке,
F>д мах>=0, доплеровский сдвиг частоты (приемник является стационарным устройством и доплеровский сдвиг не образуется).
F>пч>= 465 кГц, промежуточная частота.
К>ЧАП> – коэффициент подстройки системы ЧАП, К>ЧАП>=15,
Необходимую полосу пропускания приемника находим, подставляя значения в формулу (4.2.1):
(4.2.2)
= 7.2
кГц (4.2.3)
Для расчётов также необходима эффективная шумовая полоса системы, рассчитываемая как
(4.2.4)
Где 1.1 – коэффициент расширения. Получим значение :
(4.2.5)
3.3.Выбор числа усилительных каскадов
Определим требования к коэффициенту шума первого усилительного каскада преселектора, остальными мы пренебрегаем виду малого оказываемого ими влияния.
(4.2.5)
=16.96
где
-
входное отношение сигнал помеха,
необходимое для нормальной работы схемы
Еа – минимальное напряжение полезного сигнала в антенне
К=1.38·10-23 Дж/град – постоянная Больцмана;
П>ш>1.1·П=8кГц – шумовая полоса линейного тракта;
Т>0>=293 К – стандартная температура приемника;
R>A>50 Om – сопротивление антенны;
E>П>=1мкВ/м – средний уровень помех днем;
- действующая высота
антенны, где
длина волны сигнала
Так как уровень помех превысил значение мин. значение сигнала в антенне, в схеме приемника необходим транзисторный УРС. Для облегчения производства и производственной унификации все блоки приёмника будем строить на транзисторах одной серии. Это позволит применять в усилительных каскадах однотипные схемы смещения, а также обеспечит согласование каскадов по шумам.
Выберем по справочной литературе малошумящий биполярный pnp – транзистор КТ 375Б, отечественного производства, обладающий следующими характеристиками:
|
Параметр |
Значение |
|
Макс.мощность на коллекторе Pk, Вт |
0.3 |
|
Uкбо, В |
30 |
|
Uкэо, В |
30 |
|
Uэбо, В |
5 |
|
С11, пФ |
120 |
|
С22, пФ |
20 |
|
g11, mСм |
10 |
|
g22, mСм |
0.02 |
|
H31э |
50 – 280 |
|
Кш на 10^5 кГц, дБ |
не более 5 |
|
Iб, мкА |
50 |
|
ft, МГц |
250 |
Требуемое усиление линейного тракта находим как

(4.2.6)
(4.2.7)
где U>упч>=1В, напряжение на выходе последнего каскада УПЧ, необходимое для нормальной работы детектора;
Е=100мкВ/м – заданная по ТЗ чувствительность;
- действующая высота
антенны, где
длина волны сигнала
Таким
образом, получаем, что требуемое усиление
линейного тракта равно 434 раз или
52
дБ
Поскольку коэффициент усиления каскада, с точки зрения устойчивой работы, не может быть больше устойчивого коэффициента усиления, то коэффициент усиления каскада примем равным устойчивому коэффициенту усиления на максимальной рабочей частоте.
Коэффициент усиления биполярного транзистора в заданной рабочей точке можно рассчитать по формуле

(4.2.8)
где S – крутизна ВАХ в рабочей точке, мА/В;
f – максимальная рабочая частота, МГц;
С>к> – емкость перехода коллектор-база, пФ.

Основное усиление в РПУ осуществляется в тракте ПЧ, так как его каскады являются неперестраиваемыми. На практике к-т усиления УРС не превышает 25 дБ по напряжению из соображений линейности обработки и устойчивости каскада к самовозбуждению.
Рассмотрим сформированную ранее структурную схему и зададимся требуемыми величинами усиления в каскадах на рисунке 3.

Рисунок 3 Требуемыми величинами усиления в каскадах.
С антенны на входе РПУ наводится напряжение в 100мкВ (минимум), а на входе детектора для нормальной его работы требуется иметь напряжение в 1В – необходимый уровень напряжения для логики, которая находится далее.
Ограничим к-т усиления УРЧ в 20дБ и при идеальной входной цепи получим на входе смесителя 10мВ. Поскольку смеситель работает в режиме сильного сигнала гетеродина, на выходе уровень сигнала определяется уровнем последнего. Таким образом, получим на входе УПЧ около 10мВ, а с выхода требуется снять 1В. Тогда к-т усиления УПЧ составит 100 или 40 дБ. Поскольку из соображений линейности и устойчивости с одного каскада снимать более 20дБ недопустимо, составим УПЧ из двух каскадов. Как будет показано ниже, один из них будет нагружен на ФСС, а другой будут апериодическим. АРУ будет регулировать все два каскада УПЧ.
Общее усиление до детектора составит

(4.2.9)
(4.2.10)
где К>вц>=0.5= -6дБ – коэффициент передачи входной цепи;
n>урч>=1, n>упч>=2 – количество каскадов в УРЧ и УПЧ соответственно, для начала зададимся приведенными цифрами.
Поскольку К>0>>min><K>общ>, то расчет произведен верно и принимается схема с одним каскадом УРЧ и двумя для УПЧ.
Коэффициент усиления выбран с запасом по следующим причинам:
Уменьшение коэффициента усиления в результате старения элементов;
В предварительном расчете не учитывались затухания вносимые избирательными системами, стоящими в тракте ПЧ;
Необходимость учесть расстройку контуров.
Итак, теперь у нас есть все необходимые данные для подробного расчёта узлов приёмника. Сведём их в таблицу.
|
Параметр |
Значение |
|
Диапазон принимаемых частот, МГц |
4.438 – 4.650 |
|
Частота гетеродина, МГц |
4.1 |
|
К-т шума |
16.96 |
|
Общее усиление тракта, дБ |
74 |
|
Напр-е на входе, мкВ |
не менее 100 |
|
Промежуточная частота, кГц |
465 |
4. ЭЛЕКТРИЧЕСКИЙ РАСЧЁТ УЗЛОВ РПУ
4.1 Расчет параметров входной цепи.
Определяем максимально допустимую добротность контуров, обеспечивающую заданное ослабление на краях полосы пропускания
(5.1.1)
где f’>min>- минимальная частота диапазона, кГц;
П – ширина полосы пропускания, кГц;
n>c> – число одиночных избирательных систем настроенных на частоту принимаемого сигнала, возьмем n>c>=2;
>П> – ослабление на краях полосы пропускания, >П>=2 (6дБ).
Необходимая добротность Q>и>, обеспечивающая заданную избирательность по зеркальному каналу
(5.1.2)

где f>змах>=f’>max>-2f>пр>– максимальная частота зеркального канала;
f’>max> – максимальная частота поддиапазона
f>пр> – промежуточная частота
S>зк> – избирательность по зеркальному каналу, S>зк>=50 дБ = 316;
Возможная эквивалентная конструктивная добротность контура (с учетом шунтирования контура транзистором =0.8)
(5.1.3)
=
0.8*150=120
где Q>k> – конструктивная добротность контура, Q>k>=150.
Проверяем выполнение условия:

Из полученных ранее значений видно, что оно выполняется, в этом случае примем эквивалентную добротность контура немного больше Q>u>. Принимаем число контуров n>c>=2 (одноконтурная входная цепь и резонансный УРЧ), и эквивалентное качество контура Q>эмах>=65 (на максимальной частоте поддиапазона), при этом обеспечивается требуемое ослабление на краях полосы пропускания и избирательность по ЗК лучше заданной.
Находим эквивалентную добротность контура на нижней частоте поддиапазона.
(5.1.4)
Видно, что Q>э>>min>=83.48<Q>П>=338, значит расчет произведен верно и окончательно принимаем: n>c>=2; Q>э>>max>=65; Q>э>>min>=83.48.
Теперь определим параметры, необходимые для расчета избирательности во входной цепи.
Для крайних точек поддиапазона f’>min>, f’>max>> >определяем:
вспомогательные коэффициенты:
(5.1.5)
где Δf>с> – растройка, прн которой задана избирательность по соседнему каналу, Δf>с>=300кГц.
(5.1.6)
(5.1.7)
(5.1.8)
б) зеркальные частоты
(
5.1.9)
(5.1.10)
в) избирательность по соседнему каналу
на максимальной частоте
(5.1.11)
на минимальной частоте

(5.1.12)
г) ослабление на краях полосы
(5.1.13)
(5.1.14)
д) избирательность по зеркальному каналу

(5.1.15)
(5.1.16)
Полученное значение избирательности превышает требуемое, что свидетельствует о верном расчете. Переходим к расчёту параметров антенны и связи её с каскадом УРС.
4.2. Расчет УРЧ
Расчет УРЧ начинаем с расчета режима работы транзистора. В таком же режиме будет работать транзистор в преобразователе частоты, а транзисторы в каскадах УПЧ рассчитываются по аналогичной методике.
В качестве усилительного элемента используем транзистор КТ375Б со следующими характеристиками :
|
Параметр |
Значение |
|
Макс.мощность на коллекторе Pk, Вт |
0.3 |
|
Uкбо, В |
30 |
|
Uкэо, В |
30 |
|
Uэбо, В |
5 |
|
С11, пФ |
120 |
|
С22, пФ |
20 |
|
g11, mСм |
10 |
|
g22, mСм |
0.02 |
|
H31э |
50 – 280 |
|
Кш на 10^5 кГц, дБ |
не более 5 |
|
Iб, мкА |
50 |
|
ft, МГц |
250 |
Первым делом определяем для диапазона температур (-40…+60)С величину теплового тока:
(5.2.1)

Р
ассчитываем
температурную нестабильность напряжения
эмиттер-база, задавшись = 1.8:
(5.2.2)

Рассчитываем температурную нестабильность тока коллектора, задавшись током коллектора для обеспечения необходимого усиления в 10 mА.
(5.2.3)

Питание будем подавать смещением базы через делитель в схеме с эмиттерной термокомпенсацией. Рассчитаем номиналы резисторов смещения.
(5.2.4)

Рассчитаем сопротивление фильтра:
(5.2.5)
Сопротивление фильтра вышло 60 Ом.
Рассчитаем сопротивления базового делителя, обозначив Rд1 нижнее плечо (на землю), а Rд2 – верхнее.

(5.2.6)
(5.2.7)
Значение Rд1 выберем 10 кОм для удобства построения схемы.
Емкости эмиттерного конденсатора Сэ и конденсатора фильтра рассчитаем по формулам:

(5.2.8)
(5.2.9)
На этом расчет режима питания каскада закончен. Далее необходимо определить номиналы элементов избирательных систем и определить к-ты связи последних с транзистором.
Индуктивность контурных катушек УРС принимаем равной индуктивности контурной катушки магнитной антенны:
Lкурс = Lka = 5.2 мкГн
В расчете входной цепи был определен коэффициент связи между антенным контуром и УРС m1=0.8. Определим коэффициент связи с выходным контуром.
О
пределим
коэффициент устойчивого усиления для
каскада:
(5.2.10)
Для используемого транзистора КТ375Б Куст = 25
Резонансный коэффициент передачи УРС рассчитывается по формуле:
(5.2.11)

Если подсчитать К для m2 =0.3, то окажется, что К> Куст:
К = 34,24
Куст = 25
Чтобы избежать возбуждения каскада УРС в режим генерации, следует снизить коэффициент усиления. Применение ООС в данном случае расширит полосу пропускания и ухудшит избирательность УРС. Поэтому ослабим связь с выходным контуром до 0.2.
Получим: К= 22.8
Куст = 25
С такой степенью связи каскад будет работать устойчиво.
Определим ёмкости конденсаторов контуров избирательных систем и диапазон перестройки.

(5.2.13)
(5.2.14)
(5.2.15)
Получим следующие значения:
Со = 236 пФ Сmax = 247 пФ Сmin = 225 пФ
Перестройку контура в таком диапазоне легко получить, включив в контур два встречновключенных варикапа. За счет встречно-последовательного включения средняя емкость варикапов изменяется значительно меньше, чем при использовании одного варикапа, к тому же обеспечивается компенсация четных гармоник.
М
инимальную
емкость контура теперь можно определить
из формулы:
Где
С>vdmin>> >– минимальная емкость варикапа при нулевом смещении;
С>пк>>min>> > - минимальная постоянная емкость контура;
С>m>=8 пФ – емкость монтажа;
C>1>=2 пФ – межвитковая емкость катушки;
C>вхсл>=11 пФ – входная емкость следующего каскада;
м=0.8 – коэффициент включения первого усилительного каскада в контур.
При использовании в качестве встречновключенных варикапов полупроводниковой матрицы из пары согласованных варикапов при нулевом смещении их рабочая точка стабилизируется и матрица способна обеспечить стабильное ненулевое значение емкости. Основной вклад в емкость контура вносит постоянный конденсатор Спк, включенный параллельно матрице.
Выберем из справочной литературы (9) варикапную матрицу 2В110А с параметрами:
|
Св, пФ |
Кс |
Iобр, мкА |
Pмакс, мВт |
Uобр макс, В |
Qв |
T,С |
|
12-18 |
2.5 |
1 |
100 |
45 |
300 |
-60…+125 |
Зная Скmin и Скmax, рассчитанные по формулам (5.30) и (5.31), определим номинал постоянного конденсатора Спк, используя формулу (5.32). Возьмем за начальную емкость варикапной матрицы среднее значение в 15 пФ:
225 = Спкmin + 15 +8+2+8.8
247 = Cпкmax +15*2.5 +8+2+8.8
Cпк = M(Cпкmin, Cпкmax) = 190 пФ
где Кс=2.5 – коэффициент перестройки по частоте варикапной матрицы.
Аналогичная система перестройки может быть поставлена и во входной контур антенны.
Т
еперь
необходимо заменить в схеме катушку
связи и контурную катушку УРС на общий
блок. Новая катушка будет иметь
индуктивность:
(5.2.16)
L’ = 0.5 мкГн
На этом расчет входной цепи и УРС закончен. Принципиальная схема блока представлена на рисунке 4.

Рисунок 4 Принципиальная схема УРС.
Индуктивность в цепи смещения варикапов номиналом в 100мкГн служит для развязки цепи смещения от переменной составляющей контурного тока и устранения паразитной обратной связи со смесителем через синтезатор частоты. Поскольку обратный ток согласованной матрицы чрезвычайно мал (менее 1мкА), шунтированием контуров магнитной антенны через цепь смещения можно пренебречь.
4.3. Расчет преобразователя частоты
Назначение смесителя частоты – линейный перенос спектра сигнала на промежуточную частоту при помощи опорной частоты местного генератора – гетеродина. в качестве последнего в схеме применен цифровой синтезатор частот с микропроцессорным управлением и встроенной петлей ЧАП. Подобное схемное решение позволяет (3):
Использовать один гетеродин для всех диапазонов приемника;
Осуществлять синхронную цифровую перестройку как контуров (управляя через АЦП смещением контурных варикапов), так и гетеродина, что минимизирует нестабильность fпч.
Благодаря наличию встроенной цифровой ЧАП осуществлять постоянную высокоточную подстройку гетеродина;
В рамках данного проекта расчет блока синтезатора частоты и его выбор не проводился и в дальнейшем на схеме он изображаться не будет. Необходимые для расчетов данные уже были использованы при расчете полосы сигнала в предварительном расчете.
Преобразователь строим на транзисторном каскаде с общим эмиттером по сигналу с подачей сигнала гетеродина в эмиттерную цепь. Данная схема включения позволяет транзистору работать в режиме общей базы относительно сигнала гетеродина, что обеспечит меньшую взаимную связь между цепями гетеродина и сигнала, а также высокую стабильность частоты. Нагрузкой преобразователя является ПКФ. Согласование транзистора смесителя с ПКФ осуществляется через широкополосный контур.
Зададимся требованиями к преобразователю исходя из его положения в схеме.
к>т>=3 – требуемое усиление в преобразователе;
S>пр>=55мА/В – крутизна ВАХ транзистора VT1;
R>выхпр>=30кОм – выходное сопротивление транзистора;
>вн>=3.16 – затухание, вносимое фильтром.
Определим коэффициент шунтирования контура выходным сопротивлением транзистора и входным сопротивлением фильтра, допустимый из условия обеспечения требуемого коэффициента усиления:

(5.3.1)
Далее определяем конструктивное и эквивалентное затухание широкополосного контура

(5.3.2)
где Q>э>=28 – добротность широкополосного контура, Q>эш>=28

(5.3.2)
Определяем характеристическое сопротивление контура, принимая коэффициент включения в цепи коллектора m>1>=1

(5.3.3)
Определяем коэффициент включения в контур со стороны фильтра

(5.3.4)
R>вхф>=330 Ом – входное сопротивление ПКФ.
Рассчитываем эквивалентную емкость схемы:

(5.3.5)
Определяем номинал контурного конденсатора, приняв С>выхпр>=15пФ – выходная емкость транзистора преобразователя частоты.

(5.3.6)
Принимаем С>2>=6пФ.
Определяем действительную эквивалентную емкость схемы

(5.3.7)
Рассчитываем индуктивность контурной катушки:

(5.3.8)
Теперь можно рассчитать действительное характеристическое сопротивление контура:

(5.3.9)
Рассчитаем резонансный коэффициент усиления транзисторного преобразователя :

(5.3.10)
Поскольку расчет ведется с запасом, данное значение коэффициента усиления является допустимым. Остаток обеспечит УПЧ.
Рассчитаем индуктивность катушки связи с фильтром, задавшись коэффициентом связи К>св>=0.4
(5.3.11)
Рассчитываем элементы, определяющие режим работы транзистора.
Рабочую точку преобразователя выбираем аналогично УРС:
Rэ = 470 Ом Rg1 = 25 кОм Rф = 60 Ом
Сэ = 25 нФ Rg2 = 10 кОм Сф = 29 нФ
О
пределим
входное сопротивление
(5.3.12)
Разделительная емкость С>1 >входит в блок УРЧ и её номинал принимаем в 10 мкФ, чего более чем достаточно для пропускания частоты в единицы MГ. Принципиальная схема преобразователя представлена на рисунке 5.

Рисунок 5. Принципиальная схема преобразователя частоты.
Разделительная емкость С1 входит в блок УРС и продублирована для указания на связь между каскадами УРС и ПЧ через нее. В данной схеме резисторы Rф и Rg1 могут быть объединены в резистор в 25060 Ом, но, поскольку такие резисторы промышленно не выпускаются, в схеме необходимо оставить два отдельных резистора. Для минимизации паразитных внешних наводок на каскад, работающий в режиме малого сигнала и попадания их в цепь гетеродина блок преобразователя частоты помещен в экранирующую оболочку. Оболочка соединена с общим проводом через фильтрующий конденсатор, емкость которого подбирается опытным путем.
4.4. Расчет усилителя промежуточной частоты
Усилитель промежуточной частоты (УПЧ) обеспечивает в схеме основное усиление и обладает избирательностью по соседнему каналу. Поскольку в супергетеродинном приемнике промежуточная частота не изменяется, избирательные системы УПЧ конструируются неперестраиваемыми и могут быть собраны на высокодобротных элементах, например, кварцевых фильтрах. Каскады УПЧ охватываются АРУ с целью выравнивания уровня сигнала на выходе приемника.
Техническим заданием задана избирательность по соседнему каналу в 90дБ. Из соображений устойчивости нерационально делать число каскадов вУПЧ более четырёх, а при применяя схему УПЧ с распределенной избирательностью достичь данной избирательности и построить устойчивый и конструктивно простой усилитель не удастся (3).
Применим схему с ФСИ. Схема ФСИ, как правило, не содержит более 4-х контуров, так как фильтр начинает вносить существенное затухание.Для начала попробуем построить ФСИ на дискретных контурах и покажем, что для 3-хкаскадного УПЧ она необходимую избирательность при конструктивной простоте фильтра не обеспечит.
По литературе (1) определяем из семейства резонансных кривых вспомогательные коэффициенты * и
*= fпчd/П, (5.4.1)
где:
fпч – промежуточная частота приемника, fпч=465 кГц
d – собственное затухание контура, d=0.004
П – ширина спектра сигнала
*=0.37
Намеренно возьмем число контуров ФСИ более 4-х: n=6. Такой фильтр уже конструктивно сложен и невыгоден и использоваться не может. По справочной литературе определим по графику ослабление фильтра Sl1 при расстройке на соседний канал (при применении амплитудной модуляции она составляет 10кГц). Для этого рассчитаем параметр :

(5.4.2)
Также понадобится параметр у1 – относительная расстройка ФСИ.

(5.4.3)
y1 = 2*10/12 = 1.67
= 0.37*0.85 = 0.31
Из графика пособия определяем, что Sl1 составит 3дБ.
Ослабление, вносимое одним звеном фильтра, рассчитывается по формуле:

(5.4.4)
Подставив n=6, получим ослабление в 0.5 дБ.
По графику 6.4 , зная * и Slп1, определяем параметр :
0.85
Рассчитаем разность частот среза:
(5.4.5)
fср=10/0.85
= 12 кГц
Повторяем расчет по формулам с рассчитанными значениями и получаем ослабление соседнего канала, получаемое на одном звене фильтра:
Slск1 = 8 дБ
Следует задаться ухудшением избирательности из-за рассогласования фильтра с источником сигнала и нагрузкой . Обычно
(
5.4.6)
рассогласование составляет 3-6 дБ. Общее ослабление соседнего канала рассчитываем по формуле:

где Sl – вышеупомянутое рассогласование контуров. Примем его в 3дБ. Для 6-извенного фильтра получим общее ослабление всего в:
Это составляет лишь половину требуемой избирательности. И это – при 6-извенном фильтре, конструктивная реализация которого и так невыгодна и сложна. Следовательно, необходим иной подход.
Промышленностью давно освоен выпуск высокодобротных кварцевых полосовых фильтров в интегральном исполнении (3). Их легко согласовать с усилительными элементами и друг с другом, они обеспечивают невысокое затухание на краях диапазона и одновременно высокую избирательность. Осталось подобрать фильтр с необходимыми характеристиками.
Требованиям ТЗ удовлетворяет кварцевый фильтр ПФ1П-4-3 (1)
|
Ср.частота полосы пропускания |
Ширина полосы пропускания по –6дБ |
Ослабление при расстройке 10кГц |
Вносимое затухание в полосе |
Входной импеданс |
Выходной импеданс |
|
465 кГц |
7-10кГц |
>34 дБ |
<12дБ |
2кОм |
1кОм |
Заданного ослабления можно достичь, если применить цепочку из четырех кварцевых фильтров в виде согласованной матрицы 4ПФ1П-4-3. Подобный подход позволит избежать необходимости согласовывать звенья через трансформаторы, что ухудшит параметры ФСИ. Покажем, что заданная избирательность обеспечивается.
Примем ослабление контуров в 34дБ и затухание в 10дБ. Фильтры с такими параметрами несложно отобрать из поступившей на сборочное предприятие партии. Кроме того, при изготовлении ФСИ из

более современных звеньев (2,3), обеспечивающих ослабление в 50дБ, можно получить и большие цифры.

(5.4.7)
(5.4.8)
Полученная цифра превышает требуемую в ТЗ, остановимся на достигнутом результате. Запас по избирательности позволит в случае необходимости скомпенсировать погрешности согласования ФСИ с усилительными каскадами.
Блок ФСИ необходимо включать в цепь с ослаблением связи. Определим показатель связи фильтра с усилителем. Фильтр будет использоваться в качестве нагрузки 1-го каскада УПЧ, остальные каскады будут апериодическими. Частотная характеристика УПЧ будет определяться первым каскадом, он же будет обеспечивать максимальное усиление.
Показатель связи ФСИ с усилителем рассчитывается по формуле:

(5.4.9)
где коэффициент рассчитывается по формуле:

(5.4.10)
Подставляя значения , получим = 1.29. Асв = 1.7
Индуктивность контурной катушки в согласующем контуре первого каскада рассчитывается по формуле:

П
олучим
Lk
= 980 мкГн
(5.4.11)
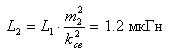
Теперь рассчитаем индуктивности катушек связи L2 и Ld:
Wб – выходной импеданс ФСИ, 1кОм
коэффициент связи к2 принимаем равным 0.8
L2 = 1.6 мГн
Lb = 102 мкГн
Рассчитаем коэффициент включения:

(5.4.11)
Wk – входной импеданс ФСИ, 2кОм
Получим m1 = 0.16
Рассчитаем индуктивность катушки связи ФСИ с контуром:
L1 = 39.2 мкГн
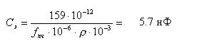
Теперь рассчитаем номинал контурного конденсатора:
(
5.4.12)
С22 – выходная емкость каскада, 15пФ
Сm – монтажная емкость, 20пФ
Получим Ск = 100 пФ
Р
ассчитаем
резонансный коэффициент усиления
каскада по напряжению:
(5.4.13)
Подставив, все значения, получим Коф = 60.
Рассчитаем режим питания транзистора. Расчет режима питания всех каскадов аналогичен расчету их в блоке УРС.
Зададимся режимом рабочей точки транзистора:
Ik = 2mA
Uкэ = 4.5В
Еп = 9 В
gk = 0.44 mСм
Определяем для диапазона температур (-40…+60)С величину теплового тока:

(5.4.14)
Рассчитываем температурную нестабильность напряжения эмиттер-база по формуле (5.18), задавшись = 1.8:

(5.4.14)
Р
ассчитываем
температурную нестабильность тока
коллектора:
(5.4.15)
Питание будем подавать аналогично каскаду УРС смещением базы через делитель в схеме с эмиттерной термокомпенсацией. Рассчитаем номиналы резисторов смещения

(5.4.16)
Возьмём типовое значение в 1 кОм
Р
ассчитаем
сопротивление фильтра по:
(5.4.17)
Рассчитаем сопротивления базового делителя по формулам, обозначив Rд1 нижнее плечо (на землю), а Rд2 – верхнее.

(5.4.18)
(5.4.19)
Е
мкости
эмиттерного конденсатора Сэ и конденсатора
фильтра рассчитаем по формулам (5.23) и
(5.24):
(5.4.20)
(5.4.21)
На этом расчет режима питания каскада закончен.
Коэффициент усиления апериодического каскада рассчитывается по формуле:

(5.4.21)
Получаем значение: Ко = 10.
Принципиальная схема блока УПЧ представлена на рисунке 6.
Рисунок
6. Принципиальная схема УПЧ
5.5. Расчет амплитудного детектора и системы АРУ
В схеме используется транзисторный амплитудный детектор, одновременно являющийся детектором системы АРУ. Принимаем схему АРУ, с регулировкой усиления путем изменения тока эмиттера.
Принимаем степень изменения коэффициента усиления одного регулируемого каскада в K=10 раз.
Требуемое изменение коэффициента усиления приемника под действием АРУ задано в ТЗ Кару = 85 дБ
Необходимое число регулируемых каскадов рассчитывается по формуле:
(5.5.1)
Количество регулируемых каскадов принимаем равным 2.
Задаемся максимальной величиной тока коллектора регулируемых каскадов
(5.5.2)
и величиной регулирования
(5.5.3)
Теперь определим диапазон изменения коэффициента усиления регулируемых каскадов УПЧ:

(5.5.4)
при q=1 получим К>рег>>max>> >= 89.5 дБ ;
при q=0.1 получим К>рег>>min>> >= 29.5 дБ ;
О
пределяем
пределы регулировки АРУ:
(5.5.5)
арег = 89.5 – 29.5 = 60 дБ
В качестве детектора системы АРУ будем использовать транзисторный амплитудный детектор, расчет которого приведен ниже. Этот же детектор будет осуществлять детектирование принимаемого сигнала. Определим крутизну детектирования

(5.5.6)
Выбираем сопротивление нагрузки детектора из условия:

В качестве УПТ в схеме АРУ используем операционный усилитель.Поскольку его входное сопротивление достаточно большая величина ( порядка 100кОм ), то согласно формуле, R>к> должен иметь сопротивление порядка 500 кОм. При этом коэффициент передачи будет иметь огромную величину, что с точки зрения обеспечения устойчивости усилителя недопустимо. Поэтому для предотвращения самовозбуждения амплитудного детектора, следует шунтировать выход амплитудного детектора сопротивлением R>7>=R>вхн>=300 Ом.

(5.5.7)
Rэ = 300 Ом.
Определяем коэффициент передачи детектора:
(5.5.8)
kd = 11.2
Входное сопротивление амплитудного детектора рассчитывается по формуле:

(5.5.9)
где а=4, b=0.25 – вспомогательные коэффициенты.
Подставив все значения, получим Rвх = 1.5 кОм
Определим сопротивление делителя R>5 >(на рисунке – Rg2) задавшись R>4 >=1кОм и U>б0>=0.4 В (на рисунке R4 обозначен Rg1)
п
ри
Ek
= 9 В:
(5.5.10)
Получим значение 21.5 кОм. Принимаем R>5> равным 22 кОм.
Находим емкость С3:
С3 = 0.1 мкФ
Теперь рассчитаем необходимый коэффициент усиления ОУ

(5.5.11)
Получим k= 1.6 . Так как к> >>1, то будем применять усиленную АРУ. В качестве УПТ примем ОУ К104УД1.
Для обеспечения задержки работы АРУ выбираем конденсатор из условия:

(5.5.12)
где > >= 0.1 сек – постоянная времени цепи АРУ.
Выбираем С>2>=6.25 мкФ.
Сопротивления R>1>, R>2> выбираем из условия обеспечения заданного коэффициента усиления ОУ. Зададимся величиной сопротивления R>2>=1 кОм, а R>1> найдем из следующего соотношения
(
5.5.13)
Получим R1 = 600 Ом .
Дроссели L1 – L3 и емкость С>1> предназначены для предотвращения возможных обратных связей между каскадами через цепи АРУ, поэтому, не производя расчета принимаем их значения L1=L2=L3=0.1Гн, С>1>=0.1мкФ.
Принципиальная схема блока АРУ показана на рисунке 7.

Рисунок 7. Принципиальная схема блока АРУ.
5.6. Принципы построения цифровых синтезаторов частоты.
Цифровой синтезатор частоты – это схема комбинационного синтеза выходной частоты на основе набора высокостабильных опорных частот внутренних гетеродинов. Синтезатор частот позволяет точно установить частоту настройки приемника без участия сигнала принимаемой станции, т.е. независимо от его уровня и колебаний по амплитуде и фазе. поскольку частота современных радиовещательных передатчиков поддерживается постоянной с высокой точностью, настройка приемника при помощи синтезатора частот оказывается стабильной.
Наиболее распространены в бытовых радиоприемных устройствах цифровые синтезаторы частот с частотной автоподстройкой (ЧАП), работающие по методу косвенного синтеза (3). Структурная схема подобного устройства показана на Рисунок. 8.
Из стабильной опорной частоты кварцевого генератора путем деления частоты образуются стробирующие импульсы, открывающие на строго определенное время счетчик импульсов. Число импульсов, поступающих на счетчик, определяется частотой местного гетеродина. Образовавшийся сигнал поступает в виде двоичного кола на цифровой компаратор и сравнивается с сигналами от регистров установки частоты. При совпадении кодов регистра и счетчика на выходе отсутствует сигнал ошибки. В противном случае сигнал ошибки подается на ЦАП, формирующий управляющее напряжение, используемое для подстройки гетеродина.
С
интезаторы
частоты крупными фирмами выпускаются
в виде монокристалла, готового для
установки в схему всеволнового приемника
. Примером такой микросхемы может служить
цифровой синтезатор частоты TC914OP
японской фирмы Sansui
, который помимо перестройки частоты
гетеродина также вырабатывает постоянное
напряжение для управления смещением
варикапов контуров преселектора, а
также позволяет подавать напряжение
смещения на диапазонные варикапы
Рисунок.8. Структурная схема цифровые синтезаторы частот с частотной автоподстройкой (ЧАП).
5.7 Расчет интегратора.
В роли
интегратора выступает обычная
интегрирующая цепочка для выделения
импульсов большей длительности
(синхроимпульсов). Зададимся что
синхроимпульсы должны поступать таким
образом что бы в каждый канал поступало
100 информационных, тогда синхроимпульсы
должны поступать с частотой Fси=30Гц
и иметь длительность равную по времени
прохождению 100 информационных импульсов.
В качестве интегрирующей цепочки возьмем
обычную RC
цепь, которая для которой должно
выполняться условие Fси=
,
где
.
Зададимся сопротивлением в 100Oм
и рассчитаем емкость.
(5.7.1)
Таким образом рассчитали, что R=100Oм, а С=300мФ. Принципиальная схема интегрирующей цепи представлена на рисунке 9.

Рисунок 9. Схема интегрирующей цепочки.
5.8 Расчет ФНЧ.
Как уже было сказано ранее для демодуляции сигнала с ШИМ нужно пропустить видеоимпульсы через ФНЧ с граничной частотой Fв, где 0.5Fи> Fв >Fmax. Где Fи – частота тактовых периодов, которую следует выбрать выше максимальной частоты спектра сигнала сообщения как минимум в два раза, а обычно от 2.5 до 5 раз. Таким образом Fmax=3000Гц, Fи= 9000Гц. Тогда Fв следует выбрать из периода 4500> Fв >3000. Выберем Fв= 4000Гц . Далее для расчета ФНЧ надо задаться активным сопротивлением нагрузки Rн=100Om. Теперь можем записать:
(5.8.1)
Fв=
(5.8.2)
Из () и () можем рассчитать L и С как:
(5.8.3)

(5.8.4)
Таким образом рассчитали, что L=0.05Гн, а С=6мкФ. Принципиальная схема фильтра представлена на рисунке 10.

Рисунок10. Принципиальная схема ФНЧ.
5.9 Выбор каскад совпадения.
В качестве каскада совпадения будим использовать D-триггер. На D вход будут подаваться информационные импульсы, а в качестве синхроимпульсов будим использовать сигнал от каскадов МВ. Таким образом при подаче на триггер синхроимпульса он пропустить на вход ДМ информационный сигнал. Использовать будим SN74ALS74N – два синхронных D-триггера. Хотя есть множество микросхем, но используем именно эту из соображений, что у нас два канала , а значит будет необходима два триггера. В других микросхемах четыре или шесть триггеров, которые не нужны. Структурная схема микросхемы представлена на рисунке11.

Рисунок 11. Структурная схема SN74ALS74N
Электрические параметры ИМС SN74ALS74N.
Напряжение питание - 4.5 … 5.5 В
Потребляемый ток не более 8mA
Диапазон рабочих температур от -55 до +125
Максимальное входное напряжение 2В
Выбор двухстороннего ограничителя.
В качестве двухстороннего ограничителя будим использовать компаратор, выполненный в виде ИМС LM393AN. Работу компаратора можно описать следующим уравнением:
(5.9.1)
где E1=Uвх, а E0=0. Как ранее было сказано уровень ограничения следует выбрать из условия Uпор ≈ 0.5Uи, где Uи – амплитуда видеоимпульсов. Получаем что Uпор ≈0.5В. Таким образом все что ниже порогового уровня будит отсекаться, что приводит к снижению действия помех. Временная диаграмма, поясняющие принцип работы представлена на рисунке12.

Рисунке 12. Временные диаграммы, поясняющие принцип работы компаратора.
Принципиальная схема самого компаратора представлена на рисуноке 13.

Рисунок 13. Принципиальная схема компаратора.
Электрические параметры ИМС LM393AN:
Напряжение
питание -
1.5
…
18
В
Потребляемый ток не более 100nA
Диапазон рабочих температур от -30 до +90
ыбор мультивибратора.
В качестве ждущего мультивибратора выберем ИМС SN54L123T от производителя TIX. ИМС представляет собой два ждущих мультивибратора. Ждущий мультивибратор пока есть синхроимпульс, который приходит с интегрирующей цепи, формирует импульс синхронизации на D – триггер. По срезу синхроимпульса запускается второй ждущий мультивибратор, который формирует импульс синхронизации для второго D – триггера. Таким образом происходит разделение входной последовательности информационных импульсов по каналам. Структурная схема микросхемы представлена на рисунке14.

Рисунок 14. Структурная схема микросхемы SN54L123T.
На вход B1 подаются синхроимпульсы с интегратора, с входа Q1 сигнал подается на B2 и на синхровход первого D-триггера. С выхода Q2 синхровход второго D-триггера.
Электрические параметры ИМС SN54L123T.
Напряжение питание - 4.5 … 5.5 В
Потребляемый ток не более 15mA
Диапазон рабочих температур от -55 до +125
6 МОДЕЛИРОВАНИЕ УЗЛА ВРЕМЕННОГО РАЗДЕЛЕНИЯ КАНАЛОВ
Моделирование производилось в среде Electronic WorkBench. Было собран узел временного разделения входных импульсов по двум каналам. В роли информационных импульсов была создана случайная последовательность ШИМ при помощи Word Generator. Им же были сформированы синхроимпульсы разделения. Для анализа выходных процессов во всех узлах схемы используем Logic Analyzer. Исследуемая схема представлена на рисунке 15.

Рисунок 15. Смоделированная схема узла временного разделения каналов.
На схеме MV – мультивибраторы. Далее запускаем схему и анализируем выходные сигналы. Первая строчка в Logic Analyzer это сигнал ШИМ, вторая смоделированный синхроимпульс. Третья временная диаграмма снятая с выхода MВ1, четвертая с MВ2. В пятой строке временная диаграмма снятая с выхода первого канала, а в шестой с выхода второго. Временный диаграммы представлены на рисунке 16. Как видно из диаграмм, действительно при появлении синхроимпульса открывается первый D – триггер и на вход первого канала проходит последовательность информационных импульсов, по срезу импульса на МВ1, запускается МВ2 и открывает второй канал, что соответствует проходу импульсов во второй канал и закрытие первого. Таким образом, делаем вывод, что промоделированная схема работает в соответствии с условиями работы приемника.

Рисунок 16. Временные диаграммы входных/выходных сигналов промоделированной схемы.
7 КОНСТРУКТИВНЫЙ РАСЧЕТ КОРПУСА РПРУ
Первым делом зададимся типом корпуса, который будит использоваться. Для изделия будим использовать не герметичный корпус с принудительным охлаждением. Условия эксплуатации УХЛ4.1 (ГОСТ 15150-75):
- Для эксплуатации в помещениях с кондиционированным или частично кондиционированным воздухом
- Для макроклиматических районов с умеренным и холодным климатом.
Рабочие температуры +10 … +25
Предельная рабочая температура +40
Зададимся значениями размера блока и мощностью рассеиваемой в блоке. Пусть мощность рассеиваемая в блоке Р=200Вт, а массовый расход воздуха в среднем G=0.2кг/c. Тогда найдем средней перегрев воздуха в блоке по следующей формуле:
(7.1.1)
Площадь поперечного в направлении продува сечения блока равна:
(7.1.2)
где
и
первый
и второй размеры корпуса, перпендикулярные
направлению продува. Зададимся , что
оба размера равны 20см, тогда:
Коэффициент m1 зависимости от массового расхода охлаждающего воздуха :
(7.1.3)
Коэффициент m2 зависимости от поперечного в направлении продува сечения корпуса блока :
(7.1.4)
Коэффициент m3 зависимости от длины корпуса в направлении продува
(7.1.5)
где
=0.5
размер корпуса блока в направлении
продува.
Коэффициент m4 в зависимости от коэффициента заполнения :
(7.1.6)
где
0.3
коэффициент заполнения блока.
Перегрев нагретой зоны блока с принудительным охлаждением :
(7.1.7)
Условная поверхность нагретой зоны :
(7.1.8)
Удельная мощность элемента выделяющего тепло:
(7.1.9)
где
=70
мощность, рассеиваемая теплонагруженным
элементом,
=1
площадь поверхности элемента.
Удельная мощность нагретой зоны :
(7.1.10)
Перегрев поверхности элемента :
(7.1.11)
где L=0.3 расстояние по движению воздуха от входного сечения, до элемента.
Перегрев среды, окружающей элемент :
(7.1.12)
Температура нагретой зоны :
(7.1.13)
где
=20
температура охлаждающего воздуха на
входе блока.
Средняя температура воздуха в блоке :
(7.1.14)
Температура воздуха на выходе из блока :
(7.1.15)
Температура среды, окружающей элемент :
(7.1.16)
Сведем все данные в таблицы:
Исходные данные:
|
Мощность, рассеиваемая в блоке : |
200 |
|
Массовый расход воздуха : |
0,2 |
|
Первый размер корпуса блока, перпендикулярный направлению продува |
0,2 |
|
Второй размер корпуса блока, перпендикулярный направлению продува : |
0,2 |
|
Размер корпуса блока в направлении продува : |
0,5 |
|
Коэффициент заполнения блока : |
0,3 |
|
Суммарная мощность элементов : |
70 |
|
Мощность, рассеиваемая теплонагруженным элементом : |
70 |
|
Площадь поверхности элемента : |
1 |
|
Расстояние по движению воздуха от входного сечения, до элемента : |
0,3 |
|
Температура охлаждающего воздуха на входе блока : |
20 |
Расчётные данные:
|
Средний перегрев воздуха в блоке : |
0,5 |
|
Площадь поперечного в направлении продува сечения блока : |
0,04 |
|
Коэффициент m1 зависимости от массового расхода охлаждающего воздуха: |
0,002 |
|
Коэффициент m2 зависимости от поперечного в направлении продува сечения корпуса блока : |
3,695 |
|
Коэффициент m3 зависимости от длины корпуса в напр. продува: |
2,083 |
|
Коэффициент m4 зависимости от коэффициента заполнения : |
1,232 |
|
Перегрев нагретой зоны блока с принудительным охлаждением : |
4,74 |
|
Условная поверхность нагретой зоны : |
0,2 |
|
Удельная мощность 1-го элемента : |
70 |
|
Удельная мощность нагретой зоны : |
35 |
|
Перегрев поверхности 1-го элемента : |
4,171 |
|
Перегрев среды, окружающей 1-й элемент : |
0,44 |
|
Температура нагретой зоны : |
24,74 |
|
Средняя температура воздуха в блоке : |
20,5 |
|
Температура воздуха на выходе из блока : |
21 |
|
Температура поверхности 1-го элемента : |
24,171 |
|
Температура среды, окружающей 1-й элемент : |
20,44 |
ЗАКЛЮЧЕНИЕ
В ходе курсового проекта был разработан супергетеродинный приемник, с возможность приема сигналов с временным уплотнение и ШИМ. Приемник содержит цифровой синтезатор частот с цифровой петлей ЧАП и систему усиления АРУ. Каскады временной обработке выполнены на распространенных ИМС, которые доступны и недороги в свободной продаже. Использование ИМС не только облегчает разработку приемника, но и упрощает его настройку т.к. ИМС не требуют её а уже отлажены и работают с заданным параметрам. Использование подобных микросхем особенно актуально в универсальной бытовой технике – музыкальных центрах, телевизорах, автомагнитолах, переносных карманных приемниках и т.п.
Разработанное в ходе выполнения курсового проекта устройство имеет следующие характеристики:
Реальная чувствительность - 100мкВ
Динамический диапазон на входе - 85дБ
Динамический диапазон на входе при АРУ - 5 дБ
Избирательность:
по соседнему каналу не менее 50дБ
по зеркальному каналу не менее 90 дБ
Диапазон принимаемых частот 4.438 – 4.650 МГц
Промежуточная частота - 468кГц
Отн.нестабильность
гетеродина -

Напряжение питания всего блока – 9 В
Коэффициент подстройки гетеродина – 15
К-т регулирования АРУ – 85 Дб
СПИСОК ИСПОЛЬЗОВАННОЙ ЛИТЕРАТУРЫ
Проектирование радиоприемных устройств. под ред. А.П. Сиверса Учебное пособие для вузов.- М., «Сов.радио», 1976
Овсянников Н.И. Кремниевые биполярные транзисторы – Справочное пособие.-М.:Выш.шк.,1989
Рэд Э.Т. Схемотехника радиоприемников. Практическое пособие: Пер.с нем.-М.:Мир,1989
Рэд Э.Т. Справочное пособие по высокочастотной схемотехнике: Схемы, блоки, 50-омная схемотехника: Пер с нем.-М.:1990
|
Поз. Обозн |
Наименование |
Кол |
Прим. |
||||||
|
Конденсаторы |
|||||||||
|
C1 |
K50-16 – 220 mkФ |
1 |
|||||||
|
С2,С5 |
K10-17А – 51 пФ |
2 |
|||||||
|
С4 |
K10-17А – 100 пФ |
1 |
|||||||
|
С5 |
K10-17А – 51пФ |
1 |
|||||||
|
С6, С24 |
K10-17А – 3,9пФ |
2 |
|||||||
|
С7-С9,22 |
K10-17А – 15пФ |
3 |
|||||||
|
С10, С23 |
K50-16 – 220 mkФ |
2 |
|||||||
|
С12 С14 25 |
K50-16 – 680mkФ |
3 |
|||||||
|
С13, С18 |
K10-17А – 18 пФ |
2 |
|||||||
|
С15, С16 |
K50-16 – 2,2 mkФ |
2 |
|||||||
|
С19 |
K50-16 – 680 mkФ |
1 |
|||||||
|
С21, С11 |
K10-17А – 20пФ |
2 |
|||||||
|
С27, С31 |
K10-17А – 18пФ |
2 |
|||||||
|
С28, С32 |
K50-16 – 680 mkФ |
2 |
|||||||
|
С29, С30 |
K10-17А – 1 пФ |
2 |
|||||||
|
С36 |
K10-17А – 2,7пФ |
1 |
|||||||
|
С37 |
K50-16 – 5 mkФ |
1 |
|||||||
|
Резисторы |
|||||||||
|
R1 R6 7 8 |
С2-29В - 0.125 – 680 Ом 0,1 % |
4 |
|||||||
|
R2 R3 4 |
С2-29В - 0.125 – 22 кОм 0,1 % |
3 |
|||||||
|
R5 R9 |
С2-29В - 0.125 – 30 кОм 0,1 % |
2 |
|||||||
|
R10 R13 |
С2-29В - 0.125 – 220 кОм 0,1 % |
2 |
|||||||
|
Спецификация |
Лит. |
Масса |
Масштаб |
||||||
|
Изм |
Лист |
№ докум. |
Подп. |
Дата |
|||||
|
Разраб. |
Астапкович |
||||||||
|
Пров. |
Курочкин |
||||||||
|
Т.контр |
Лист 1 |
Листов 3 |
|||||||
|
БГУИР гр.341201 |
|||||||||
|
Н.контр |
|||||||||
|
Утв. |
|||||||||
|
Поз. Обозн |
Наименование |
Кол |
Прим. |
||||||
|
R11 R15 23 |
С2-29В - 0.125 – 1 кОм 0,1 % |
3 |
|||||||
|
R12 R14 16 |
С2-29В - 0.125 – 220 кОм 0,1 % |
3 |
|||||||
|
R18 R19 |
С2-29В - 0.125 – 220 кОм 0,1 % |
2 |
|||||||
|
R20 |
С2-29В - 0.125 – 30 кОм 0,1 % |
1 |
|||||||
|
R21 |
С2-29В - 0.125 – 22 кОм 0,1 % |
1 |
|||||||
|
R22 |
С2-29В - 0.125 – 22 кОм 0,1 % |
1 |
|||||||
|
R24 R27 |
С2-29В - 0.125 – 220 кОм 0,1 % |
2 |
|||||||
|
R29 |
С2-29В - 0.125 – 1 кОм 0,1 % |
1 |
|||||||
|
R30 |
С2-29В - 0.125 – 6,8 кОм 0,1 % |
1 |
|||||||
|
R31 |
С2-29В - 0.125 – 470 кОм 0,1 % |
1 |
|||||||
|
R32 R33 |
С2-29В - 0.125 – 270 Ом 0,1 % |
2 |
|||||||
|
R34 |
С2-29В - 0.125 – 100 Ом 0,1 % |
1 |
|||||||
|
R35 |
С2-29В - 0.125 – 1,5 кОм 0,1 % |
1 |
|||||||
|
R36 К37 |
С2-29В - 0.125 – 220 Ом 0,1 % |
2 |
|||||||
|
Индуктивности |
|||||||||
|
L1 |
EC-24-391К 1.2mkГн 1 % |
2 |
|||||||
|
L2 L5 L7 |
EC-24-R70M 0.7mkГн 1 % |
3 |
|||||||
|
L3 |
EC-24-R30M 0.3mkГн 1 % |
1 |
|||||||
|
L4 L6 |
EC-24-391К 1.2mkГн 1 % |
2 |
|||||||
|
L8 L13 |
EC-24-181K 180mkГн 1 % |
2 |
|||||||
|
L9 L12 |
EC-24-101K 100mkГн 1 % |
2 |
|||||||
|
Спецификация |
Лит. |
Масса |
Масштаб |
||||||
|
Изм |
Лист |
№ докум. |
Подп. |
Дата |
|||||
|
Разраб. |
Астапкович |
||||||||
|
Пров. |
Курочкин |
||||||||
|
Т.контр |
Лист 2 |
Листов 3 |
|||||||
|
БГУИР гр.341201 |
|||||||||
|
Н.контр |
|||||||||
|
Утв. |
|||||||||
|
Поз. Обозн |
Наименование |
Кол |
Прим. |
||||||
|
L10 L11 |
EC-24-51К 53mкГн 1 % |
2 |
|||||||
|
L15 |
EC-24-R70M 0.7mkГн 1 % |
1 |
|||||||
|
Транзисторы |
|||||||||
|
VT1-VT5 |
КТ 325 A |
9 |
|||||||
|
Спецификация |
Лит. |
Масса |
Масштаб |
||||||
|
Изм |
Лист |
№ докум. |
Подп. |
Дата |
|||||
|
Разраб. |
Астапкович |
||||||||
|
Пров. |
Курочкин |
||||||||
|
Т.контр |
Лист 3 |
Листов 3 |
|||||||
|
БГУИР гр.341201 |
|||||||||
|
Н.контр |