Расчет усилителя напряжения низкой частоты
Министерство сельского хозяйства и продовольствия Республики Беларусь
Белорусский Государственный Аграрный Технический Университет
Кафедра АСУП
Курсовая работа
"Расчет усилителя напряжения низкой частоты"
Вариант №22
Выполнил студент
1эа группы второго курса АЭФ
Тарасевич П. Г.
Минск 2009
Задание №1
1. Рассчитать усилитель напряжения низкой частоты (каскад предварительного усиления), работающую на входную цепь следующего каскада, выполненного на таком же транзисторе. Транзисторы включены по схеме с общим эмиттером и имеют эмиттерную стабилизацию точки покоя.
2. Смоделировать и исследовать рассчитанную схему на ПЭВМ, уточнить параметры элементов схемы, получить временные диаграммы, амплитудно-частотные и фазо-частотные характеристики с помощью программы "Microcap".
Исходные данные для расчета приведены в таблице 1, где последовательно приведены следующие параметры усилительного каскада:
1. Тип транзистора и его зарубежный аналог.
2. Uвх – входное напряжение, В.
3. KU – коэффициент усиления по напряжению.
4. EK – напряжение питания, В.
5. fн – низшая рабочая частота, Гц.
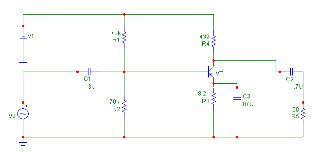
В результате расчета определить (Приложение А, рисунок 1):
1. Параметры элементов схемы: Rk, Rэ, R1, R2.
2. Определить емкости разделительных конденсаторов C1, C2, и блокировочного конденсатора Cэ.
В результате моделирования и исследования на ПЭВМ:
1. Создать принципиальную электрическую схему усилителя.
2. Уточнить параметры элементов схемы для получения заданного коэффициента усиления.
3. Получить временные диаграммы для входного и выходного напряжений (зависимость Uвх от времени t и зависимость Uвых от времени t).
4. Получить АЧХ и ФЧХ.
Исходные данные:
1. КТ3108В (2N3250A)
2. Uвх = 200mB;
3. KU = 3.5;
4. Ek = 14B;
5. fн = 200Гц ;
6.
=100
;
7.
=60
В.
Производим выбор режима работы транзистора по постоянному току.
Находим амплитуду тока коллектора Ikm , для этого определяем:
− значение выходного напряжения:
Uвых =Uвх ⋅ KU=0,2∙3,5=0,7 В;
− сопротивление коллектора выбираем из условия:
Rk ≈ (0.5 ÷ 2)kOм
Выбираем Rk ≈ 1kOм .

где RH– сопротивление на выходе усилительного каскада (сопротивление нагрузки или по-другому, входное сопротивление следующего каскада);
При определении RH исходим из условия:
Rk >> RH.
Определив ориентировочно RH , проводим проверку правильности выбранного значения:
RH=0,05∙ Rk=0,05∙1000=50 Ом.
Ikm=0.7/50=14 мА.
Определим постоянную составляющую тока коллектора:

Iko≥14 мА∕0,7=20 мА.
Значение Uкэ0 принимаем равным типовому значению Uкэ0 = −5В.
На выходных характеристиках (Приложение А, рисунок 2) отмечаем точку покоя П с координатами Ik0, Uкэ0 и находим Iб0 Эту точку П переносим на семейство входных характеристик (Приложение А, рисунок 3) и определяем при данных Iб0 и Uкэ0 значения напряжения база-эмиттер Uбэ0.
Определяем входное сопротивление транзистора с ОЭ переменному току по входной характеристике транзистора. Для этого проводим касательную в рабочей точке (на семействе входных характеристик касательная проводится ближе к прямолинейному участку, рисунок 3) и находим тангенс угла наклона в этой точке, т.е. ΔUбэ и ΔIб.
Rвх э= ΔUбэ∕ ΔIб=0,06 В∕0,2 мА=300 Ом.
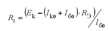
Определяем общее сопротивление коллекторной цепи постоянному току:

Rk+ R э=(14В-5В)/20мА=450 Ом
Произведем расчет схемы УНЧ по переменному току:
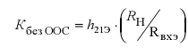
- определяем коэффициент усиления каскада без ООС:

К без ООС=50∙50/300=8,3
КООС= KU=3,5
- коэффициент передачи цепи ОС усилителя с ООС:

γ=(8,3-3,5)/8,3•3,5=0,167
- определяем сопротивление, стоящее в цепи эмиттера и обеспечивающее ООС в усилителе:

R э=(0,167•50•50)/(50+1)=8,2 Ом
Уточняем сопротивление коллектора:
Rk=( Rk+ R э)- R э=450-11=439 Ом
Находим сопротивление резисторов в цепи базы:

R1=R2=14-20,2∙8.2/0.0002=70 кОм
Определяем емкость блокировочного конденсатора Cэ:
Cэ≥H31/(2Π fн(Rи+Rвх э) MCэ-1 )=
=50/(2∙3.14∙200(433.7+300)∙1.18-1=87мкФ
- где RИ внутреннее сопротивление источника усиливаемого сигнала
RИ=1/439+1/70000+1/70000=433.7Ом
Коэффициент частотных искажений учитывает влияние блокировочного конденсатора на частотные искажения:
MCэ=1,18
Тогда, Cэ≥87 мкФ
Определяем емкости разделительных конденсаторов С1 и С2:
С2≥1/(2Π fн(RH +Rk) Мс2-1 )=1/200∙2∙3.14(1000+50)∙1.09-1=1.7мкФ
Тогда С2≥1.7 мкФ
С1≥1/(2Π fн(Rвх+ Rвых) Мс1-1 )=1/200∙2∙3.14∙300∙1.09-1=3мкФ
-где Rвых выходное сопротивление делителя. Если Rвых неизвестно, то обычно полагают Rвых=0, в этом случае С1 берут с некоторым запасом.
С1≥3мкФ
Общее входное сопротивление УНЧ:
Rвх ус= Rвхэ+ Rэ(H31э+1)=300+8.186(50+1)=717.5 Ом
Принципиальная электрическая схема усилителя с рассчитанными параметрами элементов с помощью программы "Microcap"

Полученные временные диаграммы для входного и выходного напряжений

Полученные АЧХ и ФЧХ рассчитанного УК:
