Структурная надежность радиотехнических систем
Содержание
Введение
1. Классификация структур радиотехнических систем
2. Методы исследования структурной надежности радиотехнических систем
2.1 Точный метод анализа структурной надежности радиотехнических систем
2.2 Приближенные методы анализа структурной надежности радиотехнических систем
2.2.1 Метод разложения
2.2.2 Метод сечений или совокупности путей
2.2.3 Метод итераций (двухсторонней оценки)
2.2.4 Метод статистической оценки структурной надежности
3. Исследования структурной надежности радиотехнических систем методом статистического моделирования
3.1 Критерии оценки структурной надежности радиотехнических систем методом статистического моделирования
3.2 Разработка алгоритма оценки структурной надежности радиотехнических систем методом статистического моделирования
3.3 Разработка программы оценки структурной надежности радиотехнических систем методом статистического
4. Расчет себестоимости
5. Безопасность жизнедеятельности
Заключение
Библиография
Приложение А
Приложение В
Введение
Разработка современных информационных систем включает в качестве одного из обязательных этапов проектирования анализ их надежности. Проблема усложняется тем, что коммутационные сети, к анализу которых в конечном итоге сводится данная задача, являются сильно связными структурами (междугородние сети связи, системы управления и др.). Это затрудняет, а порой делает невозможным расчет их надежности строго аналитическими методами, как это имеет место, например, для параллельно-последовательных сетей. Единственным численным методом расчета надежности сильно связанных сетей остается метод полного перебора, который, однако, даже с привлечением быстродействующих ЭВМ, не позволяет анализировать сети, содержащие более 15-20 случайных компонент.
В тех случаях, когда в состав информационной системы включены не только физические объекты (каналы связи, транспортные средства, релейно-контактные элементы и т.п.), но и объекты, означающие такие понятия, как ”логическая связь", ”операция" и т.п. Одним из способов повышения надежности таких сетей является простое дублирование составляющих их элементов. Однако вследствие ограниченности ресурсов такой путь в большинстве случаев нерационален. К настоящему времени аналитический аппарат синтеза оптимальных структур коммуникационных сетей практически еще не разработан вследствие исключительной сложности в самой задаче. В инженерной практике при решении подобного рода задач часто прибегают к методу частичного перебора. Так, например, при выборе оптимальной структуры сети связи в качестве частных вариантов могут анализироваться некоторые типовые схемы соединения узловых пунктов. Применяется так называемый радиальный принцип соединения узлов, принцип связи ”каждого с каждым” или ”каждого с ближайшим", иерархический принцип соединения и т.д. Одним из основных критериев оценки этих вариантов является прежде всего надежность передачи сообщения в сети.
Среди методов вероятностного анализа коммуникационных сетей будем различать алгоритмические, являющиеся по существу программами для решения задач на ЭВМ, и методы аналого-вероятностного моделирования.
Одним из основных методов решения поставленных задач является метод статистического моделирования. Критерием оценки структурной надежности сетей связи по этому методу является вероятность наступления события - сеть связанна.
1. Классификация структур радиотехнических систем
Одними из основных характеристик сетей связи, независимо от систем передачи информации, являются: структура, топология и структурная надежность.
Структура сети связи - взаимное расположение узлов коммуникаций и линий связи без учета их расположения на местности.
Топология сети связи - структура сети связи с учетом реального расположения узлов связи на местности.
Сеть считается связной, если все узлы коммуникаций можно соединить между собой цепью примыкающих друг к другу линий связи.
Структурная надежность сети связи - свойство сети обеспечивать связность сети в условиях выхода из строя ее элементов.
В качестве количественных оценок структуры сети связи, как правило, используются ‘S’ - количество узлов коммуникаций; ‘M’ - количество линий связи; ‘Kij’ - количество каналов в линии связи, соединяющей (‘i - й’ и ‘j - й’) узлы коммуникаций; ’Ri’ - степень узлов коммуникаций, которая показывает общее количество линий связи от данного узла к соседним (i,j=1…S, i≠j); U - сечение сети - минимальное число линий связи, одновременный отказ которых приводит к несвязной сети.
На сегодняшний день существует большое количество структур сетей, которые объединяют заданное множество узлов коммуникаций, однако среди них можно выделить три типа: сетеобразные, древовидные и кольцевые (таблица 1).
Кольцевые структуры имеют при ‘S’ узлов коммуникаций, ‘M’ линий связи и Ri=U. Капитальные затраты для создания сети связи кольцевой структуры относительно невелики. Однако, и структурная надежность такой сети также невысока. Так при выходе из строя всего двух не соседних узлов коммуникаций сеть остается не связной. Примером реализации кольцевой структуры являются локальная сеть ЭВМ БВК ЕС, созданная ВКЦП СО АН СССР.
К древовидным структурам сетей связи относятся все структуры имеющие M=S-1. Это звездообразные (U=1), линейные (U=1, Ri=2) и иерархические (U=1) структуры (таблица 1).
Отличительная особенность древовидных структур - минимальные капитальные затраты на их создания.
В линейных структурах все узлы коммуникаций, кроме оконечных, выполняют коммутационные функции. Примером построение таких сетей являются локальные сети ЭВМ: ИНФРА СО АН СССР и ETHERNET (США).
Звездообразная структура используется на уровне абонентских линий телефонных сетей связи, в терминальном комплексе NASDAQ (США) и в вычислительных сетях: ЭВС Латв. ССР и SNA (США).
Сетеобразные, в зависимости от их изображения на плоскости, различаются на плоские, которые не имеют пересекающихся линий связи; объемные, которые нельзя представить без пересечения линий связи.
Объемные, в зависимости от степени каждого узла коммутаций, могут быть полносвязными и неполносвязными.
В полносвязных структурах каждая пара узлов коммутаций соединена с линией связи, следовательно, Ri=U=S-1. Для ее построения необходимо иметь M=S (S-1) /2 линий связи. Структурная надежность таких сетей, по сравнению с другими (при равных S и вероятностях отказа каждого элемента сети), самая высокая. Однако, основным недостатком полносвязных сетей являются большие капитальные затраты. Примером построения таких сетей служит: международная сеть связи Почтового ведомства ФРГ или локальная сеть MERIT (США).
В неполносвязной структуре не каждая пара узлов коммуникаций соединена линией связи. Для построения при S узлов коммуникаций необходимо M=S*Rср. /2, где Rср. - средняя степень узлов коммуникаций сети. По количественным показателям (количество узлов коммутаций, линий связи, величина капитальных вложений на создания сети, структурная надежность, и U) неполносвязные и полносвязные структуры схожи. Примером применения неполносвязных структур являются сети ПДС.
Плоские сетеобразные структуры распадаются на ячеистые и радиально-кольцевые. Последние имеют высокую степень концентраций узлов коммуникаций в центре сети. При этом степень центрального узла коммутаций по отношению к остальным будет наивысшей.
Радиально-кольцевые структуры, как правило, применяются в сетях с явно выраженным характером тяготения удаленных узлов коммуникаций к центрую. Структурная надежность таких сетей, ввиду большого числа маршрутов между произвольной парой узлов коммуникаций, достаточно высокая. При этом капитальные затраты относительно небольшие.
Примером построения нерегулярных радиально-кольцевых структур (таблица 1) являются внутрисоюзные телефонные сети связи крупных городов.
Примеры реализации регулярных радиально-кольцевых структур неизвестны.
Ячеистые структуры (таблица 1) в отличии от радиально-кольцевых имеют относительно равномерное распределение узлов коммуникаций по всей площади сети связи. Каждый узел коммуникаций имеет сеть линий связи только с небольшим числом других узлов коммуникаций, как правило, ближних по расстоянию или имеющих большое тяготение. Из-за наличие большого числа маршрутов между произвольной парой узлов коммуникаций ячеистые структуры обладают достаточно высокой структурной надежностью при небольших капитальных затратах, по сравнению с объемными.
Ячеистые структуры различают регулярные и нерегулярные (таблица 1). К последним относятся структуры, в которых степень R> >i каждого узла коммуникаций различна. Для них количество линий связи M=S*Rср. /2. Примером таких сетей являются: локальная сеть ЭВМ СЕКОП АН СССР, вычислительные сети ARPA (США), CYCLADES (Франция), DATAPAC (Канада) и другие.
В ячеистых регулярных структурах каждый узел коммуникаций имеет степень: Ri = 3 (сотовая), Ri = 4 (квадратные) и Ri = 6 (треугольные). Для их создания необходимо M = Ri*S/2 линий связи.
Примером построения ячеистых регулярных квадратных структур является локальная сеть ЭВМ МИНИМАКС СО АН СССР.
Примеры реализации ячеистых регулярных сотовых и треугольных структур неизвестны.
Были рассмотрены основные структуры сетей связи, к которым можно свести произвольные путем выделения отдельных фрагментов, либо путем незначительных упрощений. Однако, реальные сети, как правило имеют смешанные структуры.
Таблица 1.
|
Типы структур сетей связи. |
||||||||||||
|
Сетеобразные. |
Древовидные. |
|||||||||||
|
Плоские (планарные). |
Объемные непланарные |
Звездообразные. |
Линейные. |
Иерархические. |
Кольцевые. |
|||||||
|
Ячеистые. |
Радиально - кольцевые. |
Полносвязные. |
Неполносвязные. |
|||||||||
|
Регулярные |
Нерегулярные |
Регулярные |
Нерегулярные |
|||||||||
|
Сотовые |
Квадрат- ные |
Треуголь-ные |
||||||||||
|
Характеристики сети. |
M=3S/2 Ri=4 |
M=2S Ri=4 |
M=3S Ri=6 |
M=SRср. /2 |
M=Sri/4 - 1 |
M=SRср. /2 |
M=S (S-1) /2 R=U=S - 1 |
M=Rср. S/2 |
M=S-1 U=1 |
M=S-1 U=1 Ri=2 |
M=S - 1 U=1 |
S=M U=Ri=2 |
|
|
2. Методы исследования структурной надежности радиотехнических систем
2.1 Точный метод анализа структурной надежности радиотехнических систем
Надежность является одним из основных критериев, которым должны удовлетворять современные сети коммутации. Учесть непосредственно показатели надежности в ходе синтеза сети обычно не удается, поэтому, на этапе синтеза необходимые предпосылки для обеспечения надежности закладываются в косвенном виде, например как топологическое требование обеспечения между некоторыми подмножествами пар узлов не менее заданного числа независимых путей (требование v-связности). Получаемые варианты построения сети затем проверяются на соответствие заданным показателям надежности. Если при выбранном числе независимых путей не удается выполнить заданных требований, то повышают степень связности рассматриваемых в процессе синтеза вариантов структуры будущей сети.
Таким образом, задача построения надежной сети сводится к задаче анализа различных вариантов ее структуры по заданным показателям, которые зависят как от надежности ее элементов, так и от способа их взаимного соединения. Наибольшие трудности при расчете обычно сопряжены с учетом способа взаимного соединения элементов (структуры сети), поэтому в дальнейшем основное внимание мы уделим оценке именно структурной надежности.
Элементами сетей коммутации будем считать направления связи, а также технические средства, входящие в состав, узлов коммутации, концентраторов нагрузки и комплексов сетевого доступа абонентов. При этом основными компонентами, показатели надежности которых проектировщик сети изменить не может, являются каналы связи и процессоры. Связь между смежными узлами сети организуется с помощью последовательно и параллельно включенных каналов, а технические средства на узлах связи состоят из последовательно и параллельно включенных процессоров.
Обратимся сначала к определению показателей надежности компонентов сети. Для определения любого из них прежде всего необходимо сформулировать понятие отказа. Несмотря на кажущуюся очевидность этого понятия в ряде случаев его формулировка весьма затруднительна. Возьмем для примера канал связи. Зачастую качество канала ухудшается постепенно, и установить момент, начиная с которого следует констатировать отказ канала, довольно сложно. Более того, отдельные показатели качества канала (например, вероятность искажений) имеют статистическую природу, и требуется некоторое время наблюдения за каналом, прежде чем с определенной уверенностью можно будет объявить канал неисправным. Предположим только, что всегда можно задать некоторое время прерывания связи, по истечении которого канал признается неисправным. Обычно это время лежит в пределах от единиц до десятков секунд и зависит от назначения сети и выбранной системы ее контроля и управления.
Предположим, что понятие отказа сформулировано.
Тогда можно экспериментально определить среднее время пребывания компонента в исправном состоянии Т>и> и среднее время его восстановления τ>в>. Эти показатели надежности в большой степени зависят от выбранного временя перерыва связи, по истечении которого канал признается неисправным. По этим характеристикам можно определить вероятность того, что компонент находится в исправном состоянии, или его коэффициент готовности
Κ>г>=T>и >∕ (T>и>+τ>в>) (2.1)
и коэффициент простоя
K>п>=1-K>г>=τ>в ∕> (T>и>+ τ>в>). (2.2)
Опыт показывает, что коэффициенты готовности и простоя в значительно меньшей степени зависят от критического времени перерыва связи и, кроме того, допускают обобщения на сеть в целом. Поэтому при оценках структурной надежности в качестве исходных данных примем коэффициенты готовности (простоя) компонентов сети.
При последовательном соединении п компонентов сети, например каналов связи, результирующая цепочка будет исправна только в случае исправности всех ее составляющих. Предполагая независимость отказов последовательно соединенных компонентов, результирующий коэффициент готовности K>гр> можно представить в виде
K>гр>=
K>гі>,
(2.3)
где K>гі> - коэффициент. готовности i-ro компонента.
Для повышения надежности направлений связи и технических средств на узлах связи часто используется параллельное включение п каналов или процессоров, при котором результирующий элемент сети будет исправен, если исправен хотя бы один из входящих в него компонентов. Отказ такого составного элемента наступит лишь в случае отказа всех входящих в его состав компонентов, что случится с вероятностью
Κ>пэ>=
K>пі>,
(2.4)
где Κ>пэ>-коэффициент простоя элемента; K>пі>-коэффициент простоя i-го компонента. Если
K>пі>=
K>п>,
,
то Κ>пэ>=Кn>п>.
(2.5)
Формулы (2.4) и (2.5) справедливы лишь в том случае, когда отказы всех рассматриваемых компонентов независимы. Это условие заведомо нарушается, если каналы связи одного направления проходят по одной линии связи или, тем более, находятся в одной системе передачи. Поэтому в дальнейшем будем считать, что все каналы связи каждого направления сети проходят по географически разнесенным линиям связи.
Выражение для результирующего коэффициента простоя элемента Κ>пэ>, состоящего из п параллельно включенных идентичных. компонентов, можно получить и другим способом, пользуясь формулой Энгсета. Действительно, совокупность компонентов. можно рассматривать как п конечных источников, причем заявка на обслуживание - это требование ремонта (восстановления). Для определения коэффициента простоя элемента достаточно определить вероятность того, что все п источников будут находиться на обслуживании. Согласно формуле Энгсета эта вероятность
Κ>пэ>=С>n>nAn
∕
C>n>iAi,
(2.6)
где А=τ>в >∕ T>и>. Легко установить эквивалентность выражений (2.6) и (2.5). Действительно,
С>n>nAn
∕
C>n>iAi=
(τ>в >∕ T>и>) n∕
(1-τ>в >∕ T>и>) n=
Кn>п>
Иногда производительности одного компонента недостаточно для нормальной работы элемента сети, и, чтобы обслужить поступающую нагрузку, необходима одновременная работа, но крайней мере, s компонентов. В этом случае элемент сети (например, направление связи) признается неисправным в случае отказа s+1 и более компонентов. Вероятность этого события можно сразу записать как вероятность того, что одновременно s+1 или более источников (компонентов) потребуют обслуживания (восстановления), исходя из формулы Энгсета
Κ>пэ>
(s) =
C>n>iAi∕
C>n>iAi
(2.7)
Если рассматриваемый элемент сети является узлом коммутации, состоящим из п параллельно включенных процессоров, причем минимально необходимую производительность узла могут обеспечить не менее чем s процессоров, то при отказе (s+l) - ro процессора узел коммутации может выключаться и ресурс оставшихся п-s-1 процессоров расходоваться не будет.д.ля нахождения коэффициента простоя такого элемента можно воспользоваться формулой Энгсета и мнемоническим правилом. Согласно этому правилу можно сразу записать коэффициент простоя интересующего нас элемента
Κ>пэ>
(s+1) = C>n>s+1As+1∕
C>n>iAi
(2.8)
Здесь в числителе приводится число ситуаций, благоприятных для отказа элемента, а в знаменателе - общее число ситуаций, соответствующих отказу 0, 1,..., s+1 компонентов. Отказ более чем s+1 компонентов здесь не учитывается, так как по условию в этом случае узел коммутации отключается и ресурс оставшихся компонентов не расходуется. В дальнейшем мы уже не будем интересоваться внутренней структурой элементов сети, полагая, что их показатели надежности p=1 - Κ>пэ> определены по одной из приведенных формул.
2.2 Приближенные методы анализа структурной надежности радиотехнических систем
Современные сети коммутации имеют весьма сложную структуру, которая в общем случае не сводится к последовательно-параллельным соединениям, поэтому для расчета надежности таких сетей нельзя применять методы, рассмотренные в §2.1 Прежде всего необходимо сформулировать критерий отказа сети. Через сеть обменивается информацией большое число пар абонентов, причем часто требуется, чтобы вероятность наличия связи между корреспондентами выделенной пары (r, l) была не менее заданной Р>rl>. Под наличием связи понимается существование, по крайней мере, одного исправного пути между соответствующими узлами. Конечно, в сложной сети наличие исправного пути еще не гарантирует немедленного установления соединения, так как элементы этого пути могут быть заняты для обмена информацией других корреспондентов. Если, однако, предположить, что термин "наличие связи" относится только к информации высшей категории, доля которой в реальных сетях обычно весьма мала, и элементы любого исправного пути способны обеспечить обмен этой информацией в интересах всех корреспондентов, которые им могут воспользоваться, то возникает возможность рассматривать все пары корреспондентов независимо с точки зрения наличия связи между ними. В элементах сети, производительность которых недостаточна для обслуживания суммарной нагрузки высшей категории, можно предусмотреть согласно (2.7) или (2.8) большее число s рабочих компонентов.
Таким образом, сеть обладает заданной надежностью, если вероятность наличия связи или, как говорят, вероятность связности H>rl> для каждой пары узлов не менее заданной Р>rl>. В этих условиях расчет структурной надежности сети сводится к расчету вероятности связности между узлами. В дальнейшем рассмотрим и некоторые другие критерии надежности сети.
Итак, задана
структура некоторой сети, состоящей из
N элементов, причем
надежность p>i>
каждого элемента известна (i=
).
Необходимо определить вероятность
связности относительно выделенной пары
узлов r,l.
Каждый элемент сети может находиться
только в двух состояниях -
исправен (И) или неисправен (H). При
этом сеть может, очевидно, находиться
в любом из S=2N
состояний. В некоторых из этих состояний
сеть будет связна (С>rl>)
относительно рассматриваемых узлов.
Если обозначить черезE>s>
вероятность того, что сеть находится в
состоянии s, s=l,
S, то искомая
вероятность связности сети
H>rl>=
E>s>
(2.9)
где
E>s>=
p>i
>
(1-p>i>).
При этом по-прежнему предполагается, что отказы всех элементов сети - события независимые.
Рассмотренный метод расчета структурной надежности сети сопряжен с полным перебором ее состояний и при увеличении размеров сети быстро становится нереализуемым даже на современных быстродействующих ЭВМ.
2.2.1 Метод разложения
Несколько менее трудоемким является метод, основанный на разложении структуры сети относительно какого-нибудь ее элемента (метод разложения Шеннона-Мура). Идея этого метода заключается в том, чтобы свести анализируемую структуру к последовательно-параллельным соединениям и тем самым избежать полного перебора состояний. Для примера рассмотрим сеть простейшей структуры в виде мостика (рис.2.1).
Рисунок 2.1 Метод разложения
Для простоты
положим, что узлы этой сети идеально
надежны, а ветви имеют конечную надежность
р>i>, i=
.
Нумерация ветвей приведена на рисунке.
Проделаем с элементом под номером
5 ("перемычка" мостика) два опыта
- "короткого замыкания",
соответствующий исправному состоянию
элемента, и "холостого хода",
соответствующий его неисправному
состоянию. Если перемычка находится в
исправном состоянии, что случается с
вероятностью p>5>,
то соединяемые ею узлы можно "стянуть"
в смысле надежности (см. рис.2.1)
и сеть будет иметь вид двух
последовательно соединенных и параллельно
включенных пар ветвей. Если перемычка
находится в неработоспособном состоянии,
что случается с вероятностью
1-p>5>, то
оставшаяся сеть будет иметь вид
параллельного соединения цепочек.
Таким образом, мы "разложили" сеть относительно элемента 5, в результате чего получили две подсети с числом элементов на единицу меньше, чем в исходной сети. Поскольку обе подсети представляют собой последовательно-параллельные структуры, то, пользуясь формулами (2.3) и (2.4), можно сразу записать искомое выражение для вероятности связности сети относительно узлов r, l, используя для компактности обозначениеq>i>=1-p>i>.
H>rl>=p>5> (1-q>1>q>3>) (1-q>2>q>4>) +q>5> [1- (1-q>1>q>2>) (1-q>3>q>4>)].
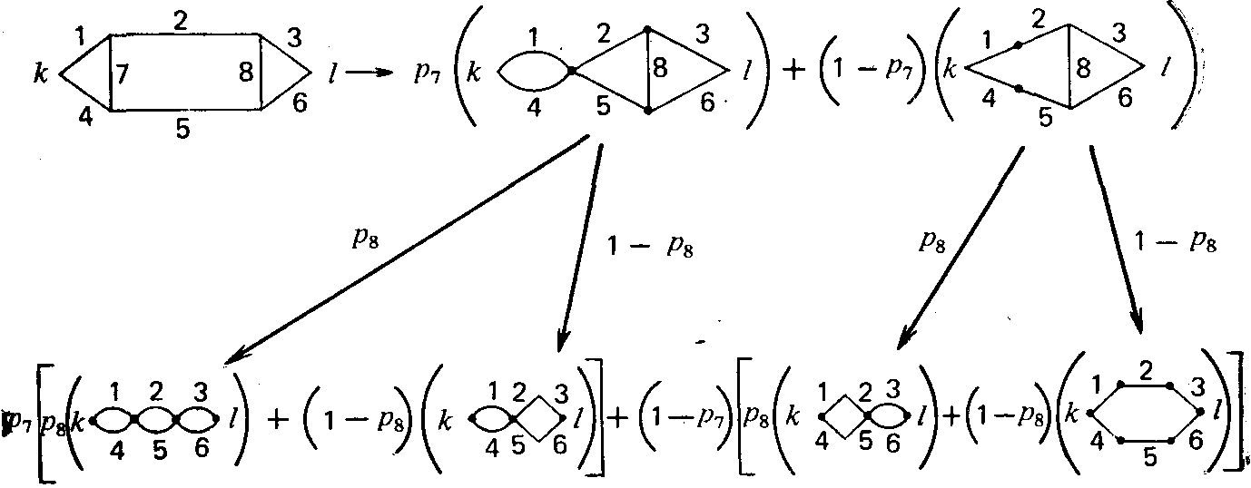
В более сложных структурах может потребоваться неоднократное применение теоремы разложения. Так, на рис.2.2 показано разложение относительно элемента 7 (верхняя строка), а затем по элементу 8 (нижняя строка). Получившиеся четыре подсети имеют последовательно-параллельные структуры и больше не требуют разложений. Легко видеть, что на каждом шаге число элементов в получающихся подсетях уменьшается на единицу а число подсетей, требующих дальнейшего рассмотрения удваивается. Поэтому описанный процесс в любом случае конечен, а число результирующих последовательно-параллельных структур составит 2m, где т - число элементов, по которым пришлось провести разложение. Трудоемкость этого метода можно оценить величиной 2m, что меньше трудоемкости полного перебора, но тем не менее все еще неприемлемо для расчета надежности реальных сетей коммутации.

Рисунок.2.2 Последовательное разложение сети
2.2.2 Метод сечений или совокупности путей
Рассмотрим еще один метод расчета структурной надежности сетей. Предположим, как и ранее, что необходимо определить вероятность связности сети между заданной парой узлов A,B. Критерием исправной работы сети в данном случае является наличие хотя бы одного пути передачи информации между рассматриваемыми узлами. Предположим, что имеется список возможных путей в виде перечня элементов (узлов и направлений связи), входящих в каждый путь. В общем случае пути будут зависимы, поскольку любой элемент может входить в несколько путей. Надежность R>s> любого s-ro пути можно вычислить по формуле последовательного соединения R>s>=p>1>>s>p>2>>s>…p>ts>, где p>is>-надежность i-го элемента s-ro пути.
Искомая надежность H>AB> зависит от надежности каждого пути и вариантов их пересечений по общим элементам. Обозначим надежность, которая обеспечивается первыми r путями, через H>r>. Добавление очередного (r+1) - го пути с надежностью R>r>>+1>, очевидно, приведет к увеличению структурной надежности, которая теперь будет определяться объединением двух событий: исправен хотя бы один из первых r путей или исправен (r+1) - й путь. Вероятность наступления этого объединенного события с учетом возможной зависимости. отказов (r+1) - го и остальных путей
H>r+i>=H>r>+R>r+i>-R>r+1>H>r/ (r+1),> (2.10)
где H>r/ (r+1) - >вероятность исправности хотя бы одного из первых r путей при условии, что исправен (r+1) - й путь.
Из определения условной вероятности H>r/ (r+1) >следует, что при ее расчете вероятность исправной работы всех элементов, входящих в (r+1) - й путь, необходимо положить равной единице. Для удобства дальнейших расчетов представим последний член выражения (2.10) в следующем виде:
R>r+1>H>r/ (r+1) >= R>r+1>¤ H>r> (2.11)
где символ (¤) означает, что при перемножении показатели надежности всех элементов, входящих в первые r путей и общих с (r+l) - м путем, заменяются единицей. С учетом (2.11) можно переписать (2.10):
∆H>r+1>= R>r+1> ¤ Q>r> (2.12)
где ∆H>r+1>=H>r+1>-H>r>-приращение структурной надежности при введении (r+1) - го пути; Q>r>=1 - H>r> вероятность того, что произойдет одновременный отказ первых r путей.
Учитывая, что приращение надежности ∆H>r+1> численно равно уменьшению ненадежности ∆Q>r+1> получаем следующее уравнение в конечных разностях:
∆Q>r+1>=R>r+1>¤ Q>r> (2.13)
Легко проверить, что решением уравнения (2.13) является функция
Q>r>= (1-R>1>) ¤ (1-R>2>) ¤…¤ (1-R>r>) (2.14)
В случае независимых путей операция символического умножения совпадает с обычным умножением и выражение (2.14) аналогично (2.4) дает коэффициент простоя системы, состоящей из параллельно включенных элементов. В общем случае необходимость учета общих элементов путей заставляет производить умножение согласно (2.14) в алгебраическом виде. При этом число членов в результирующей формуле с умножением на каждый очередной двучлен удваивается и окончательный результат будет иметь 2r членов, что эквивалентно полному перебору совокупности всех r путей. Например, при r=10 число членов в окончательной формуле превысит 1000, что уже выходит за рамки ручного счета. С дальнейшим увеличением числа путей довольно быстро исчерпываются и возможности современных ЭВМ.
Однако свойства введенной выше операции символического умножения позволяют резко сократить трудоемкость расчетов. Рассмотрим эти свойства более подробно. Согласно операции символического умножения для показателя надежности p>i> любого элемента справедливо следующее правило:
p>i>¤p>i>=p>i>. (2.15)
Напомним, что второй сомножитель (2.15) имеет смысл вероятности исправной работы i-го элемента при условии его исправности, которая, очевидно, равна единице.
Для сокращения дальнейших выкладок введем следующее обозначение ненадежности i-го элемента:
=1-p>i>
(2.16)
С учетом (2.15) и (2.16) можно записать следующие простые правила преобразования выражений, содержащих р и р:
p>i>¤
>i>=0
¤
=
p>i>¤p>i
>=p>i
>
(2.17)
¤
=
p>i>p>j>¤
=p>i>p>j>-p>i>p>s
>
-p>i
>=
Для примера использования этих правил при расчете надежности рассмотрим простейшую сеть связи, изображенную на. рис.2.3 Буквы, стоящие у ребер графа, обозначают показатели надежности соответствующих линий связи.
Узлы для простоты будем считать идеально надежными. Предположим, что для связи между узлами А и В можно использовать все пути, состоящие из трех и менее последовательно включенных линий, т.е. следует учесть подмножество путей {μ} = {ab, cdf, cgb, ahf}. Определим приращение надежности, обеспечиваемое каждым последующим путем, по формуле (2.12) с учетом (2.14):
∆Η>r+1>=R>r+1>¤
(
¤>1>
¤…¤
)
(2.18),

Рисунок.2.3 - Пример сети расчета на ограниченном подмножестве путей

Рисунок 2.4 - Пример сети для расчета надежности по полной совокупности путей, где R>i>=1-R>1> аналогично (2.16).
Применяя последовательно формулу (2.18) и правила символического умножения (2.17). к рассматриваемой сети, получаем
∆Η>1>=
;
∆Η>2>=cdf¤
(
)
=cdf*
;
∆Η>3>=cgb¤
(
¤
)
=cgb*
*
;
∆Η>4>=ahf¤
(
¤
¤
)
=ahf*
*
.
При расчете последнего приращения мы использовали правило 4, которое можно назвать правилом поглощения длинных цепей короткими; в данном случае его применение дает b¤cgb=b. Если разрешено использование других путей, например пути cdhb, то не представляет труда рассчитать обеспечиваемое им приращение надежности ∆H>5>=cdhb¤ (a¤ f¤ g¤ af) = =cdfb*a*f*g. Результирующую надежность сети можно теперь вычислить как сумму приращений, обеспечиваемых каждым из рассмотренных путей:
H>R>=
∆H>i>>
(>2.19)
Так, для рассмотренного примера в предположении, что надежность. всех элементов сети одинакова, т.е. a=b=c=d=f=h=g=p, получаем H>5>=p2+p3 (1-p2) + +2p3 (1-p) (1-p2) +p4 (1-p) 3. При машинной реализации в основу расчета можно также положить формулу (2.13), с учетом того, что
Q>r>=
∆Q>i>
(2.20)
Согласно (2.13) имеем следующее рекуррентное соотношение
Q>r>>+>>i>=Q>r>-R>r>>+1>¤Q>r>. (2.21)
При начальном условии Q>0>=l на каждом последующем шаге из полученного ранее выражения для Q>r> следует вычесть произведение надежности очередного (r+1) - го пути на это же выражение, в котором только показатели надежности всех элементов, входящих в (r+1) - й путь, нужно положить равными единице.
В качестве примера рассчитаем надежность сети, изображенной на рис.2.4, относительно узлов А и В, между которыми имеется 11 возможных путей передачи информации. Все расчеты сведены в табл.2.1: перечень элементов, входящих в каждый путь, результат умножения надежности данного пути на значение Q>r>, полученное при рассмотрении всех предыдущих путей, и результат упрощения содержимого третьего столбца по правилам (2.17). Окончательная формула для q>AB> содержится в последней колонке, если ее читать сверху вниз. В таблице полностью приведены все выкладки, необходимые для расчета структурной надежности рассматриваемой сети.
Таблица 2.1 Результаты расчета надежности сети, изображенной на рис.2.4
|
Номер пути. |
R>r+1> |
R>r+1>Q>r> |
Q>r+1> |
|
1 |
ab |
|
|
|
2 |
fgh |
|
|
|
3 |
acd |
acd*b* |
acd* |
|
4 |
frb |
frb* |
frb* |
|
5 |
argh |
argh
( |
argh |
|
6 |
acmh |
acmh
(b* |
acmh |
|
7 |
frcd |
frcd
( |
frcd* |
|
8 |
fgmd |
fgmd
( |
fgmdh
( |
|
9 |
argmd |
argmd
[ |
argmd |
|
10 |
frcmh |
frcmh
( |
frcmh* |
|
11 |
fgmcd |
fgmcd
[ |
fgmcd* |
Для уменьшения объема вычислений не следует без необходимости раскрывать скобки; если промежуточный результат допускает упрощения (приведение подобных членов, вынесение за скобку общего множителя и т.д.), их следует выполнить.
Поясним несколько шагов расчета. Поскольку Q>0>= 1 (при отсутствии путей сеть разорвана), то для Q>1> из (2.21) Q>1>=1-ab=ab. Делаем следующий шаг (6.21) для Q>2>=ab-fghab==ab*fgh и т.д.
Рассмотрим подробнее шаг, на котором учитывается вклад пути 9. Произведение показателей надежности составляющих его элементов, записанное во втором столбце табл.2.1, переносится в третий. Далее в квадратных скобках записана вероятность разрыва всех предыдущих восьми путей, накопленная в четвертом столбце (начиная с первой строки), с учетом правила (2.15), согласно которому показатели надежности всех элементов, вошедших в путь 9, заменяются единицами. Вклад четвертой, шестой и седьмой строк оказывается равным нулю по правилу 1. Далее выражение, стоящее в квадратных скобках, упрощается по правилам (2.17) следующим образом: b [fh-cfh-hfc-fhc] =b (fhc-hfc-fhc) =bc (h-fh) =bchf. Аналогично производится расчет относительно всех других путей.
Использование рассматриваемого метода позволяет получить общую формулу структурной надежности, содержащую в рассмотренном случае всего 15 членов вместо максимального числа 211=2048, получающегося при непосредственном перемножении вероятностей отказов этих путей. При машинной реализации метода удобно представить все элементы сети в позиционном коде строкой бит и использовать встроенные булевы функции для реализации логических элементов преобразований (2.17).
До сих пор мы рассматривали показатели структурной надежности сети относительно выделенной пары узлов. Совокупность таких показателей для всех или некоторого подмножества пар может достаточно полно характеризовать структурную надежность сети в целом. Иногда используется другой, интегральный, критерий структурной надежности. По этому критерию сеть считается исправной, если имеется связь между всеми ее узлами и задается требование на вероятность такого события.
Для расчета структурной надежности по этому критерию достаточно ввести обобщение понятия пути в виде дерева, соединяющего все заданные узлы сети. Тогда сеть будет связана, если существует, по крайней мере, одно связывающее дерево, и расчет сводится к перемножению вероятностей отказа всех рассматриваемых деревьев с учетом наличия общих элементов. Вероятность. Q>s> отказа s-го дерева определяется аналогично вероятности отказа пути
Q>s>=1-
p>is>,
где p>is> - показатель надежности i-ro элемента, входящего в s-e дерево; n>s> число элементов в s-м дереве.
Рассмотрим для примера простейшую сеть в виде треугольника, стороны. которого взвешены показателями надежности а, b, с соответствующих ветвей. Для связности такой сети достаточно существования, по крайней мере, одного из деревьев аb, bс, са. Используя рекуррентное соотношение (2.12), определяем вероятность связности этой сети H. >cb>=ab+bca+cab. Если а=b=с=р, получаем следующее значение вероятности связности, которое легко проверить перебором: H. >cb>=3р2-2р3.
Для расчета вероятности связности достаточно разветвленных сетей вместо перечня связывающих деревьев, как правило, удобнее пользоваться перечнем сечений {σ} которые приводят к потере связности сети по рассматриваемому критерию. Легко показать, что для сечения справедливы все введенные выше правила символического умножения, только вместо показателей надежности элементов сети в качестве исходных данных следует использовать показатели ненадежности q=1-p. Действительно, если все пути или деревья можно считать включенными "параллельно" с учетом их взаимозависимости, то все сечения включены в этом смысле "последовательно". Обозначим вероятность того, что в некотором сечении s нет ни одного исправного элемента, через π>s>. Тогда можно записать
π>s>=q>1>>s>q>2>>s>…q>ms>, (2.22)
где q>is>> - >показатель ненадежности i-ro элемента, входящего в s-e сечение.
Вероятность Н>cb> связности сети можно тогда представить аналогично (2.14) в символическом виде
Н>cb>= (1-π>1>) ¤ (1-π>2>) ¤…¤ (1-π>r>) (2.23)
где r - число рассматриваемых сечений. Другими словами, для того чтобы сеть была связна, необходимо, чтобы одновременно были исправны хотя бы по одному элементу в каждом сечении с учетом взаимной зависимости сечений по общим элементам. Формула (2.23) является в некотором смысле двойственной по отношению к формуле (2.14) и получается из последней заменой путей на сечения и вероятностей исправной работы на вероятности пребывания в состоянии отказа. Аналогично двойственным по отношению к формуле (2.21) является рекуррентное соотношение
H>r>>+1>=H>r> - π>r+1>¤ H>r> (2.24)
Рассчитаем для примера вероятность связности рассмотренной выше треугольной сети с набором сечений ab, bc, ca. Согласно (2.23) при начальном условии H>0>=1 имеем H>cd>=ab-bca-cab. При одинаковых показателях ненадежности элементов сети a=b=c=q получаем H>cb>=1-q2-2q2 (1 - q). Этот результат совпадает с ранее полученным по методу перечисления деревьев.
Метод сечений можно, конечно, применять и для расчета вероятности связности сети относительно выделенной пары узлов, особенно в тех случаях, когда число сечений в рассматриваемой сети значительно меньше числа нулей. Однако наибольший эффект в смысле сокращения трудоемкости вычислений дает одновременное использование обоих методов, которое будет рассмотрено дальше.
2.2.3 Метод итераций (двухсторонней оценки)
При проектировании реальных сетей пакетной коммутации обычно отсутствует необходимость точного расчета надежности сети, так как исходные данные по надежности элементов задаются, как правило, с некоторой конечной точностью. Проектировщикам необходимо лишь убедиться в том, что надежность сети, с одной стороны, не ниже заданной и, с другой стороны, не имеет экономически необоснованного запаса. Другими словами, на практике достаточно гарантировать, что истинное значение надежности H>0> находится в некоторых пределах H>min><H>0><H>max>.
Можно ожидать, что оценка надежности сети с заданной конечной точностью дозволит сократить трудоемкость расчетов в тем большей мере, чем ниже требуемая точность оценки. Действительно, при расчете надежности по совокупности путей добавление каждого следующего пути приводит к увеличению надежности, а при расчете по совокупности сечений добавление каждого следующего сечения приводит к уменьшению структурной надежности, что создает предпосылки для двусторонней оценки структурной надежности с гарантированной точностью по ограниченным наборам путей и сечений. Рассмотрим эту возможность более подробно.
Обозначим через Q>μ> (r) результат, полученный при перемножении вероятностей отказов 1-R>s> первых r из общего числа n путей. Тогда с учетом следующего (r +1) - го пути получим согласно (2.21) уточненную оценку Q>μ> (r+1):
Q>μ> (r+1) = Q>μ> (r) - R>r+1*> Q>μ> (r) (2.25)
Функция H>μ> (r) = l - Q>μ> (r) является монотонно неубывающей с возрастанием r и при r=n дает точное значение H>0>=H>μ> (n). Промежуточные значения H>μ> (n) при r<n можно рассматривать, как оценки H>0> снизу. Аналогично, исходя из формулы (2.23), можно получить монотонно не возрастающую последовательность H>σ> (R+1), которую можно рассматривать, как последовательность оценок H>0> сверху. Характер зависимости H>μ> (r) и H>σ> (r) от r представлен на рис.2.5 Опыт показывает, что рассматриваемые зависимости при малых r меняются весьма круто, а с дальнейшим увеличением r очень медленно приближаются к общему пределу H>0>. Это свойство можно использовать для сокращения трудоемкости оценок надежности с заданной точностью. Действительно, для решения задачи достаточно последовательно просматривать пути μ, пока не выполнится условие H>μ> (m) ≥H>min> и затем просматривать сечения σ, пока не выполнится условие H>σ> (r) ≤H>min>. Если для некоторого m окажется, что H>μ> (m) >H>max>, то можно прекратить расчеты и принять решение, что в сети заложена излишняя избыточность, а если для некоторого r окажется, что H>σ> (r) <H>min>, то это значит, что требования к надежности сети не выполняются. Число требующих просмотра путей m и сечений r обычно гораздо меньше общего числа путей n и общего числа сечений k (m<<n, k<<r) чем и достигается сокращение трудоемкости оценки. Одновременно гарантируется, что истинное значение надежности сети лежит в заданных пределах H>min>≤H>0>≤H>max>

Рисунок 2.5 Характер изменения оценок структурной надежности по совокупности путей и сечений
Точность оценки может быть задана в виде допустимых отклонений от истинного значения H>-b>+a. В этом случае просмотр путей и сечений следует вести до тех пор, пока не выполнится условие. | H>μ> (m) - H>σ> (r) |≤a+b. В частности, если a=b, то условие прекращения расчетов имеет вид |H>μ> (m) - H>σ> (r) |≤ ≤2a, а в качестве оценки надежности следует принять величину H= (H>μ> (m) - H>σ> (r)) /2. В ходе расчетов решения о рассмотрении на следующем шаге очередного пути или сечения целесообразно принимать по критерию большего абсолютного приращения надежности по соответствующему параметру (m или r).
Пример. Пусть необходимо оценить надежность сети, представленной графом на рис.2.6, с точностью H±0,01. Узлы сети идеально надежны. Линии, обозначенные буквами имеют одинаковую надежность p>a>=p>b>=…p>k>=p=0.9.
Выпишем первые несколько путей и сечений, которые могут потребоваться для расчета:
М' = {аЬс, def, abhf, dgbc... };
S' = {ad, be, cf, age... }.
Полные множества путей М и сечений S для рассматриваемого метода можно не выписывать. При необходимости, если на начальном подмножестве М', S' но удается достичь необходимой точности, эти подмножества можно будет расширить по ходу расчетов.
Поскольку первые два пути из М' независимы, можно сразу записать на чальную нижнюю оценку вероятности несвязности сети Q (2) >μ>=abc*def= (1-p3) 2 ≈0,073. Переходя к оценке надежности, H (2) >μ>=1 - Q (2) >μ> получаем H (2) >μ>=0,927. Начальную верхнюю оценку надежности можно получить по первым трем независимым сечениям множества S':
H>σ> (3) =ad*be*cf. (2.26)
При рассмотрении сечений запись вида xyz интерпретируется как наличие, по крайней мере, одного исправного элемента в сечении, поэтому при подстановке исходных данных в (2.26) получим H>σ> (3) = [l- (1-p) 2] 3≈0,970. Разница между полученными верхней и нижней оценками составляет |H>σ> (3) - H (2) >μ>|=0.044>0.02, поэтому необходимо продолжить расчет.д.обавление следующего пути дает большее абсолютное приращение надежности, чем добавление следующего сечения. Поэтому вводим в рассмотрение очередной путь abhf из множества М' согласно формуле (2.25) Q (3) >μ> =abc*def-abhfcde= = (l-p3) 2-p4 (1-p) (1-p2). Отсюда получаем очередную оценку надежности снизу. H (3) >μ>=1 - Q (3) >μ>≈0,939.
Убеждаемся, что заданная точность еще не достигнута и добавление очередного пути снова даст большее абсолютное приращение надежности, поэтому вводим следующий путь dgbc из множества М' для уточнения нижней границы надежности Q (4) >μ> =Q (3) >μ> - dgbcaef= Q (3) >μ>> - >p4 (1-p) (l-p2) ≈0,049, что соответствует H (4) >μ>=1 - Q (4) >μ>≈0,951.
Р
азница
между верхней и нижней оценками надежности
теперь составляет-| H>σ> (3) - H
(4) >μ> |=0,019<0,02,
что позволяет прекратить расчеты, так
как заданная точность H±0,01 достигнута.
В качестве оценки надежности рассматриваемой
сети принимаем среднеарифметическое
H= (H>σ> (3) - H
(4) >μ>) /2=0,962 с
гарантией, что 0,961<H>0><
0,963. При этом из полного множества,
включающего девять сечений и восемь
путей, нам удалось ограничиться
рассмотрением всего трех сечений и
четырех путей.
Рисунок 2.6 - Пример сети для двусторонней оценки надежности
Для разветвленных сетей связи использование предлагаемого метода позволяет значительно сократить трудоемкость расчетов по сравнению с методом полного перебора путей или сечений. При этом метод гарантирует любой заданный уровень точности оценки вероятности связности сети.
2.2.4 Метод статистической оценки структурной надежности
Широко распространенным методом оценки надежности сложных технических систем является метод статистических испытаний. Однако для получения статистически достоверных результатов, особенно при высокой исходной надежности элементов системы и ее большой структурной избыточности, требуются значительные затраты машинного времени.
Опыт показывает, что основные затраты времени при статистических испытаниях сложной системы сопряжены с проверкой ее работоспособности в каждой реализации. При высокой исходной надежности p>i> элементов или большой структурной, избыточности, характерной для разветвленных сетей коммутации, проверка на работоспособность подавляющего большинства реализации дает положительный результат, что обусловливает их малую информативность. Поэтому возникает естественное желание найти некоторое преобразование сети, позволяющее искусственно уменьшить исходную надежность ее элементов, чтобы быстрее набрать необходимую статистику отказов и получить обратное преобразование, позволяющее пересчитывать получаемые результаты на реальные показатели надежности элементов сети. Покажем, что такая возможность действительно существует.
Назовем разрезом подмножество элементов системы, удаление которых приводит к потере работоспособности. Рассмотрим некоторый разрез u, в который входит ровно z элементов. Частота выпадения такого разреза при статистических испытаниях стремится по ходу испытаний к ее вероятности:
P>u>=
p>i
>
(1-p>j>).
Если обозначить через N общее число элементов сети, то вероятность Р>u> можно записать в виде
P>u>=
(
p>i>)
(1-p>j>) /p>j>.
Изменим исходные показатели надежности системы таким образом, чтобы каждый сомножитель (1-p>i>) /p>j> второго произведения увеличился в γ раз. Другими словами, вместо элемента с надежностью p>j> введем элемент с надежностью p'>j> такой, чтобы удовлетворялось условие
(1-p'>j>) /p'>j>=γ (1-p>j>) /p>j (>2.27)
При этом из (2.27) надежность нового элемента
p'>j>= p>j> [p>j>+ γ (1 - p>j>)] -1 (2.28) '
Если произвести преобразование (2.27) для всех элементов сети, то вероятность выпадения разреза u в процессе испытаний изменится и составит
P>u>=
p>j>
[p>j>+
γ (1 - p>j>)]
-1
γ (1-p>j>)
/p>j>
Введем коэффициент δ увеличения частоты выпадания разреза
δ=P'>u>/P>u> (2.29)
Подставляя в (2.29) старое и новое значения частоты выпадания разреза u, получаем
δ=
p>j>
[p>j>+
γ (1 - p>j>)]
-1
γ.
Если в разрез u входит ровно z элементов, то
δ=
γz
p>j>
[p>j>+
γ (1 - p>j>)]
-1,
где второй сомножитель
p>j>
[p>j>+ γ
(1 - p>j>)]
-1=K константа для
исходной системы. Коэффициент убыстрения
можно представить в виде δ=γzK.
Отсюда следует, что предлагаемое
преобразование показателей надежности
не приводит к нарушению относительной
частоты появления разрезов фиксированного
веса z, так как
коэффициент убыстрения для всех этих
разрезов одинаков. Однако относительная
частота появления разрезов веса z+w
по сравнению с разрезами веса
z увеличивается в γw
раз. Поэтому в ходе статистических
испытаний преобразованной системы
можно набрать достаточную статистику
по разрезам большего веса, вероятность
появления которых в исходной системе
бывает обычно очень малой.
Пересчет вероятности появления разреза u из преобразованной системы в исходную производится в соответствии с (2.29):
P>u>=P'>u>/δ=P'>u>γ-zK-1 (2.30)
Для выполнения обратного преобразования (2.30) кроме факта отказа системы необходимо фиксировать и вес z соответствующего разреза.
Из (6.30) следует, что каждый случай появления разреза u с весом z в преобразованной системе соответствует γ-zK-1 случаям появления такого же разреза в исходной системе. При этом если; д преобразованной системе за время испытаний произошло m отказов, то для исходной системы эквивалентное число отказов.
m>экв>=K-1
γ-zi,
где z>i> - число элементов, вышедших из строя при i-м отказе системы.
При возникновении очередного m-го отказа в преобразованной системе оценки надежности Р>m> исходной системы уточняются в соответствии с выражением.
P>m>=1-m>экв>/M=1-
(MK) - 1
γ-zi,
где М - общее число просмотренных реализации состояний преобразованной системы.
Возникает вопрос, каким следует выбирать параметр преобразования γ для максимального убыстрения. процесса статистических испытаний конкретной системы? Из (2.28) следует, что при γ=1 изменение исходной надежности не происходит и убыстрение отсутствует. Если выбрать γ слишком большим, то в преобразованной системе будут в основном возникать разрезы большого веса, не характерные для исходной системы, причем их вклад в результирующую надежность при больших z в соответствии с (2.30) будет невелик. Поэтому параметр γ следует выбирать таким образом, чтобы максимизировать вероятность возникновения наиболее "вероятных" разрезов.
Рассмотрим этот вопрос более подробно.
Для простоты положим, что показатели надежности всех элементов системы одинаковы и равны р. Обозначим через P (z) вероятность возникновения отказовых состояний веса z. Очевидно, что вероятность потери работоспособности системы
Q=
P (z).
(2.31)
Обычно для реальных систем значение P (z) достаточно плавно меняется с увеличением веса разреза, поэтому в качестве наиболее вероятного разреза можно выбрать класс разрезов среднего веса.
Z>cp>=
[
zP
(z)] /
P
(z).
Для надежных систем в выражении (2.31) можно пренебречь всеми членами, кроме первого ненулевого, соответствующего минимальному разрезу веса z>0>, который и будет наиболее вероятным. Таким образом, задача состоит в том, чтобы максимизировать коэффициент убыстрения для наиболее вероятного разреза, т.е. найти максимум функции δ> (>>γ>>) >при z=z>0,> p>i>=p, (i=1,2,…,N):
δ> (>>γ>>) >=γz0 [p+γ (1-p)] -N. (2.32)
Из условия ∂δ> (>>γ>>) >/∂γ=0 получаем оптимальное значение
γ>0>=z>0>p [ (N-z>0>) / (1-p)] -1 (2.33)
Подставляя (2.33) в (2.28), нетрудно убедиться, что оптимальное значение γ>0> соответствует пересчитанному значению надежности элемента системы p'=1-z>0>/N. Другими словами, для максимального убыстрения процедуры статистических испытаний необходимо таким образом пересчитать надежность элементов системы, чтобы средний вес отказов в преобразованной системе соответствовал весу наиболее вероятного разреза.
Убыстрение темпа набора статистики отказов в соответствии с (6.32) составит
δ>m>={z>0>/ [ (1-p) N] }z0 [ (N-z>0>) / (pN)] N-z0.
Так, для системы с параметрами p=0,99, N=20, z>0>=3 время испытаний можно сократить приблизительно в 150 раз для достоверности получаемых результатов не хуже, чем в случае прямого набора статистики отказов системы.
Проведенные на ЭВМ сравнительные статистические испытания конкретных сетей по обычному и предлагаемому методам показали, что убыстрение сходимости результатов испытаний соответствует приведенным теоретическим оценкам.
3. Исследования структурной надежности радиотехнических систем методом статистического моделирования
3.1 Критерии оценки структурной надежности радиотехнических систем методом статистического моделирования
Критерием оценки структурной надежности сетей связи методом статистического моделирования является вероятность наступления события - сеть связана.
На сегодняшний день в литературе известно несколько методов проверки сетей на связность: “поиск в глубину”, “разрастания” и “свертки”.
Известно, что метод “свертки” позволяет уменьшить до 50 (по сравнению с другими методами) затраты времени ЭВМ для данной процедуры. Суть данного метода заключается - одновременное соединение инцидентных вершин с произвольно выбранной вершиной до тех пор, пока сеть не представится в виде одной точки (если сеть связна) или множество точек (если сеть несвязна).
Однако методу, как и другим, присущ недостаток - резкое (нелинейное) увеличение затрат времени ЭВМ (по сравнению с другими методами) на процедуру проверки графа сети на связность.
Метод “разбиения". Суть метода “разбиения” состоит в следующем. Граф сети разбивается на подграфы, каждый из которых отдельно проверяется на связность методом “свертки". В результате получаем новый граф - суперграф, который в свою очередь проверяется на связность. Если суперграф связен, то делается вывод, что исходный граф сети связен. За счет “разбиения” исходного графа сети на подграфы появляется возможность работать на пологом участке кривой, отображающей зависимость затрат времени ЭВМ от размерности графа.
Оценка сложности метода “разбиения". Рассмотрим граф сети в виде квадратной решеткою Конечно, едва ли следует ожидать, что граф реальной сети будет иметь структуру с квадратной ячейкой. Однако оценки, полученные для данной ситуации, дадут представления о сложности предлагаемого метода проверки графа сети на связность. Вложим данный граф в прямоугольную систему координат.д.опустим, число вершин по осям x и y одинаково и равно L. Общее число вершин в графе будет равно S=L2
В данном случае по методу “свертки” достаточно выполнить
L-1=
итераций для определения связности графа. Тогда сложность метода “свертка” будет определятся
Q=M (
),
где M - степень каждой вершины графа.
Допустим, что граф разбит на n равных подграфов, тогда сложность
проверки каждого подграфа составит
G>1>=M
(
-1)
Учитывая проверку на связность полученного суперграфа, размерность которого равна n, получим оценку сложности метода “разбиения"
Q>n>=M
(
-1)
+M (
-1).
3.2 Разработка алгоритма оценки структурной надежности радиотехнических систем методом статистического моделирования
Сеть связи задают в виде вероятностной матрицы смежности
P=||pij||s,s, где Pij=kg (i,j) (i,j=1…S; ij).
Осуществляет NO независимых испытаний, каждое из которых состоит из двух этапов. На первом этапе выбирают m независимых, равномерно распределенных в интервале (0,1) чисел X>i>. Затем, значения X>i> последовательно сравнивают с величинами k>г> (i,j) по следующему алгоритму:
Если xi k>г> (i,j), то элемент сети считается отказавшим (Aij=0);
Если xi < k>г> (i,j), то элемент сети находится в исправном состоянии (Aij=1).
Второй этап - проверка структуры, полуученой в результате выхода ее элементов из строя, на связность. Если сеть связана, то исход испытаний относится к числу благоприятных. Отношения числа благоприятных исходов к общему числу испытаний NO и будет оценкой структурной надежности анализируемой сети связи.
Процедура проверки сети на связность состоит в следующем. На анализируемой сети связи выбирается произвольный узел коммутации. Далее одновременно соединяют соседние узлы коммутаций к первоначально выбранному. Эта процедура осуществляется до тех пор, пока сеть не представится в виде одинокой точки (в случаи, если сеть связна) или множество точек (если сеть не связна). Данный метод получил названия метода ’’Соединения’’.
Алгоритм проверки сети на связность методом “свертки", состоит из следующих операций:
Выбор произвольного узла коммутаций (вектор-строки a>p>) матрицы A=║a>ij>║>s,s.>
Запись выбранного номера узла коммутаций a>p> в одномерный массив P (1), который имеет размерность S.
Определение соседних узлов коммутаций: a>1>,...,a>R,> где R - степень узлов коммутаций. Если соседних узлов коммутаций нет, то переходим к шагу 7.
Проверка наличия номеров соседних узлов коммутаций в массиве P (1). Отсутствующие номера записываем в массив P (1).
Формируем новый вектор-строку a1>p>=a>1>a>2>a>R>a>p>.
Проверяем: a>p>=1→сеть считается связной; a>p>1≠1→возвращяемся к шагу номер 3.
Проверяем: массив Р (1) заполнен весь? Если да, то сеть считается связной. В противном случае сеть несвязна.
Изобразим алгоритм оценки структурной надежности радиотехнических систем методом статистического моделирования.



3.3 Разработка программы оценки структурной надежности радиотехнических систем методом статистического
Начинаем программу с описания переменных, которые мы будем использовать походу программы. Задаем два двухмерных массива, которые понадобятся нам для описания матрицы ”смежности” и три одномерных массива, которые будем использовать при процедуре ”свертки".
С помощью процедуры ” kol_node ” мы осуществляем ввод количества узлов анализируемой системы. А с помощью процедуры ”kol_attemp ” задаем необходимое количество испытаний.
Процедуру ” number_attemp ” начинаем с обнуления всех используемых массивов т.к программа хранит данные о испытаниях. Далее мы при помощи двух циклов for, задаем матрицу ”смежности” двумя способами: автоматически (param=1) или вручную (param=2). Цикл ”while d<N" выполняется до тех пор, пока не выполнятся все испытания. Потом, с помощью генератора случайных чисел задаем переменную ”R” в интервале от 0 до 1, затем сравниваем значения ”R” с элементами матрицы ”смежности”. Если R больше элемента, то значению элемента матрицы смежности присваевается единица, а если R меньше, то элементу присваевается ноль. Далее проводим процедуру проверки сети на ”связность”. Если при сложений элементов первой строки матрицы, мы получим ноль, то проводить процедуру свертки не надо т.к сеть ”несвязна". Переходим к следующему испытанию. Но, а если при сложение всех элементов строки получим сумму равную количеству элементов, то тогда сеть связна. При наличие в строке как нулевых, так и единичных элементов, мы проводим процедуру свертки. В первой строке находим единичный элемент, по положению которого определяем с номером какой строкой строки мы будем складывать первую строку. Полученную в результате строку проверяем на связность. Если она несвязна, то повторяем операцию сложения (полученную строку складываем со следующей строкой). Операцию проводим до тех пор, пока все элементы в строке не будут равны единицы или пока все строки не будут стянуты в одну. При проверки сети на связность, мы используем три одномерных массива. В массиве ”h” мы храним информацию о строках стянутых на предыдущем шаге, в массив ”mh" заносятся номера всех строк которые стянуты, а массив ”m” мы используем как промежуточный, в нем записана информация о еще не стянутых строках.
Далее мы описываем процедуру MENU. Которая обеспечивает доступ к соответствующим процедурам, отвечающим за ввод данных и ввывод результатов.
Тело программы включает в себя только обращение к процедуре MENU.
4. Расчет себестоимости
В данном проекте разработано программное обеспечение лабораторной работы на тему ” Исследование структурной надежности РТС". Ввиду отсутствия информации о подобных разработках осуществить сравнение данного продукта с аналогом не представляется возможным. Поэтому произведём расчёт себестоимости программы.
Себестоимость программного обеспечения можно определить по формуле 4.1:
С= (З / m) K (t>1>+t>2>) (1+K>н>) + 8 t>3> С>м>, (4.1)
где С - себестоимость программного обеспечения;
З - среднемесячная заработная плата разработчика программы, (руб);
m - среднее количество рабочих дней в месяце;
К - коэффициент, учитывающий отчисления во внебюджетные фонды:
Пенсионный-28%.
Фонд занятости-1.5%
Фонд страхования-5.4%
Фонд мед. страхования-3.6%
Итого 38.5%, К=1.385
t>1> - время, затраченное разработчиком в днях:
1. Разработку требований к программе.
2. Составление алгоритма программы.
t>2> - время, затраченное на написание и отладку программы (дни),
K>н. - >коэффициент, учитывающий накладные расходы. Мы его примем равным K>н. >=2;
t>3> - время, затраченное на разработку программы с использованием машинного времени (дни).
Так как в данном случае время, на написание и отладку программы является временем, затраченным на разработку программы с использованием машинного времени, то t>2>= t>3>.
С>м. - >стоимость одного часа машинного времени, (дни).
Среднемесячную заработную плату разработчика программы примем равную З=2000 рублей.
Количество рабочих дней в месяц примем равное m=20.
Коэффициент, учитывающий отчисления во внебюджетные фонды равен К=1.385.
Стоимость одного часа машинного времени примем равное С>м. >=10 рублей.
Для расчета себестоимости необходимы затраты по времени. Для этого предлагается применять экспертные оценки. Работа по разработке программной продукции разбивается на этапы, для каждого этапа экспертами устанавливаются временные оценки. В качестве экспертов выступают автор проекта и руководитель дипломного проекта. На основании экспертных оценок затрат времени определяется средняя оценка, которая считается по формуле 4.2:

,
(4.2)
где t>p>> - >экспертная оценка руководителя, (дни);
t>c>> - >оценка автора проекта, (дни);
Оценка времени предусмотрена для трёх ситуаций:
1. Наименьшая возможная величина затрат.
2. Наиболее вероятная величина затрат.
3. Наиболее возможная величина затрат.
Экспертные оценки и средние оценки затрат времени приводятся в таблице 4.1:
Таблица 4.1 - Экспертные и средние оценки затрат времени
|
Этапы разработки программы |
Наименьшая возможная величина зaтрат (дни) |
Наиболее вероятная величина затрат (дни) |
Наиболее возможная величина затрат (дни) |
||||||
|
t>p> |
t>c> |
|
t>p> |
t>c> |
|
t>p> |
t>c> |
|
|
|
Подготовительное время, которое нужно потратить для того, чтобы приступить к написанию программы, t>1> |
6 |
5 |
5.6 |
7 |
6 |
6.6 |
9 |
8 |
8.6 |
|
Время, затраченное на написание и отладку программы, t>2>=t>3> |
14 |
13 |
13.6 |
17 |
15 |
16.2 |
21 |
18 |
19.8 |
На следующем этапе рассчитывается ожидаемая величина затрат времени и стандартное отклонение этой величины для каждого этапа.
,
(4.3)
где Mo>i> - ожидаемая величина затрат времени для каждого этапа времени, (дни);
а>i> - средняя оценка наименьшей возможной величины затрат, (дни);
m>i> - средняя оценка наиболее вероятной величины затрат, (дни);
b>i> - средняя оценка наиболее возможной величины затрат, (дни);
G>i>> - >стандартное отклонение времени для каждого этапа, [дни].
Результаты ожидаемой величины и стандартное отклонения приводятся в таблице 4.2:
Таблица 4.2 - Результаты ожидаемой величины и стандартное отклонения.
|
Этапы разработки Программы |
Средняя величина затрат времени по этапам |
Ожидаемая величина затрат Времени для каждого этапа, Mo>i>> (>дни) |
Стандартное отклонение времени для каждого этапа, G>i>> (>дни) |
||
|
наименьшей возможной, a>i>> (>дни) |
наиболее вероятной, m>i>> (>дни) |
наиболее возможной, b>i>> (>дни) |
|||
|
Подготовительное время, которое нужно затратить для того, чтобы приступить к написанию программы, t>1> |
6 |
5.6 |
8.6 |
6.77 |
0.11 |
|
Время затраченное на написание программы и отладку, t>2>= t>3> |
13.6 |
16.2 |
19.8 |
16.4 |
1.07 |
Зная математическое ожидание, по каждому этапу рассчитывается общая величина математического ожидания в целом по программе:
(4.4)
Mo = 23.2 дня.
Зная стандартное отклонение, по каждому этапу рассчитывается общая величина стандартного отклонения в целом по программе:
,
(4.5)
G = 1.18 дня.
В итоге себестоимость программы:

Данная программа предназначена для использования внутри ВУЗа.
Разработанная программа, позволяет проводить анализ различных типов структур сетей связи. Рассмотреть, как зависит надежность сети от выбранного типа структуры построения системы и от надежности линии связи, рассчитать надежность анализируемой системы, что практически не возможно реализовать в ручную.
5. Безопасность жизнедеятельности
Так как большая часть дипломного проекта выполняется на компьютере, то в данном разделе мы рассмотрим некоторые вопросы охраны труда при работе с дисплеем.
Психофизиологические требования к дисплею.
В системе вычислительной техники под дисплейным устройством понимается устройство ввода-вывода данных для отображения на экране в форме, удобной пользователю, и для ее редактирования в интерактивном режиме. Дисплеи совместно с другими устройствами ввода-вывода являются своеобразным окном в ЭВМ, обеспечивая не просто отображение результатов обработки, а диалоги с человеком. Визуализация вопросов и ответов, отображение текстов, рисунков, графиков, аналогичные изображениям в печатных и рукописных материалах, возможность вносить изменения и дополнения в обозримые человеком фрагменты, хранение и повторение материала, перевод его на другие носители и ряд прочих функциональных возможностей делают дисплеи универсальным средством, как отображения, так и управления информацией.
При работе с дисплеем наибольшее количество информации человеку поступает посредством зрительного анализатора, раздражителем которого является свет, а рецептором - глаз. Перегрузка зрительного анализатора приводит к его быстрому утомлению, а иногда и расстройству функций. Поэтому проектирование дисплея осуществляют с учетом психофизиологических требований, вытекающих из особенностей и характеристик зрительного восприятия. На основании психофизиологических требований определяются светотехнические параметры дисплея, размеры экрана и символов, цветовые параметры, скорость смены информации. Предлагаемый набор параметров, прежде всего, применим для дисплеев на базе ЭЛТ, как получивших наиболее широкое распространение и как наиболее полно исследованных.
При определении оптимального яркостного режима восприятия информации с экрана дисплея устанавливают уровень яркости, соотношение яркостей в поле зрения и уровень контраста. Оптимальной считают ту яркость, при которой максимально проявляются контрастная чувствительность глаза, острота зрения и быстрота различения сигналов.
Комфортной нижней границей уровня яркости светящихся сигналов можно считать 30 [кд/м], а верхняя граница определяется значением слепящей яркости. Яркость символов на экране обязательно согласуют с яркостью фона и окружающим освещением. При обратном контрасте яркостный контраст рекомендуется выбирать в пределах 85-90 [%] с возможностью регулировки яркости знака, а при прямом контрасте - 75-80 [%] с возможностью регулировки яркости фона экрана. Прямой контраст предпочтительнее обратного.
Вопрос об использовании цвета при воспроизведении информации на экране решают в каждом конкретном случае путем тщательного анализа и исследования. Учитывают то, что вклад цветового контраста в восприятие яркостного контраста невелик, максимальное проявление остроты зрения находится в желто-зеленой области спектра, скорость различения цветных светящихся знаков минимальна для крайних цветов спектра, при увеличении насыщенности цвета символы воспринимаются лучше.
Выбор размера экрана и символов осуществляют с учетом требуемого объема предъявляемой информации, легкости ее считывания и длительности работы с экраном. Основные ограничения на размеры связаны со стремлением обеспечить оптимальные углы обзора и оптимальную остроту зрения.
Размер полезной площади экрана выбирают в пределах 30, чтобы не превышать оптимального угла зрения 15 по вертикали и горизонтали от нормальной линии взора, когда знаки опознаются без поворота головы, а мышцы глаз, шеи и плеч не напряжены. Плоскость экрана располагают перпендикулярно к нормальной линии взора.
Рабочее место.
Рабочее место - это оснащенное техническими средствами пространство, где осуществляется деятельность исполнителя. Организацией рабочего места называется система мероприятий по оснащению рабочего места средствами и предметами труда и размещение их в определенном порядке. Совершенствование организации рабочего места является одним из условий, способствующих повышению производительности труда. Организация рабочего места включает антропометрические и биологические характеристики человека, выбор физиологически правильного рабочего положения и рабочих зон, рациональную компоновку рабочего места, учет факторов внешней среды.
Антропометрические характеристики человека определяют габаритные и компоновочные параметры рабочего места и свободные параметры отдельных его элементов.
Положение тела и наиболее частые позы, которые принимает или вынужден принимать человек при выполнении работы, являются одним из основных факторов, определяющих производительность труда. Работу оператора организуют в положении сидя. При этом основная нагрузка падает на мышцы, поддерживающие позвоночный столб и голову, а подавляющая часть массы тела передается на бедра, препятствуя проникновению крови в нижнюю часть тела. Поэтому при длительном сидении время от времени необходимо смещать массу тела и сменять фиксированные рабочие позы. К тому же при работе сидя обычно естественный спинно-поясничный прогиб вперед изменяется на изгиб назад, что зачастую является причиной болей в пояснице. Для физиологически правильно обоснованного рабочего положения сидя рекомендуется обеспечить следующие оптимальные положения частей тела: корпус выпрямлен, сохранены естественные изгибы позвоночного столба и угол наклона таза, нет необходимости в сильных наклонах туловища, поворотах головы и крайних положениях суставов конечностей.
Пространственная организация рабочего места. Это размещение в определенном порядке элементов основного и вспомогательного оборудования относительно друг друга и работающего человека. Пространственная организация рабочего места определяется размерами и формой сенсорного и моторного пространства, формой и параметрами элементов рабочего места и пространственным расположением элементов относительно работающего. Основными элементами рабочего места, оснащенного дисплеем, являются: рабочее кресло, рабочая поверхность, экран дисплея и клавиатура.
Рабочее кресло обеспечивает поддержание рабочей позы, в положении сидя, и чем дольше это положение в течение рабочего дня, тем настоятельнее требования к созданию удобных и правильных рабочих сидений. Можно дать следующие рекомендации по конструированию рабочего кресла: необходимость регулировки наиболее важных его элементов - высоты сиденья, высоты спинки сиденья и угла наклона спинки; причем процесс регулировки не должен быть сложным. Установка правильной высоты сиденья является первоочередной задачей при организации рабочего места, так как этот параметр определяет прочие пространственные параметры - высоту положения экрана, клавиатуры, поверхности для записей, и др. Диапазон регулировки высоты сиденья находится в пределах 380-500 [мм]. Регулируемая высота рабочей поверхности оптимальна в пределах 670-800 [мм], при отсутствии регулировки - 725 [мм]. Высота нижнего ряда клавиатуры от плоскости пола может быть 620-700 [мм], обычно рекомендуют 650 [мм]. Если использован стол стандартной высоты, то для удобства работы клавиатуру можно разместить в углублении стола или на отдельной плоскости. Передний ряд клавиш располагают таким образом, чтобы клавиатуру можно было без труда, обслуживать, слегка, согнутыми, пальцами, при, свободно опущенных плечах, и горизонтальном, положении рук; плечо и предплечье при этом образуют угол в 90 [градусов]. Высота экрана определяется высотой уровня глаз наблюдателя и требованием перпендикулярности плоскости экрана к нормальной линии взора. Если позволяют размеры и масса, то рекомендуется снабжать экраны основанием с поворотным кронштейном, допускающим регулировку экрана по высоте, по наклону вперед-назад и при горизонтальном вращении вокруг вертикальной оси.
Компоновка рабочего места, оснащенного дисплеем. Широко варьируется в зависимости от вида выполняемой работы, комплектности технических средств и носит нестандартный характер. При компоновке рабочего места, оборудованного дисплеем, в первую очередь исходят из типа выполняемых задач и длительности работы. Нельзя создать фиксированную и при этом оптимальную компоновку, которая была бы удобной для всех пользователей. Если производится работа только по вводу данных, то экран и клавиатуру удобно располагать на одной линии, а документ - слева от клавиатуры. Для задач, требующих длительных записей, внесения поправок в документ, документ и экран могут размещаться на одной линии, а клавиатура смещается вправо или экран и клавиатура остаются на одной линии, а документ переносится вправо от клавиатуры. Наиболее правильный путь - это компоновка основных элементов рабочего места по желанию пользователя.
Рабочая среда.
Любая работа выполняется в определенной рабочей среде, где одновременно проявляются много различных факторов, воздействующих на организм человека. Рассмотрение рабочей среды как единого целого не исключает необходимости изучения отдельных ее составляющих и их нормирования.
Освещение рабочего места. В наибольшей степени отрицательное физиологическое воздействие на операторов дисплеев связано с дискомфортными зрительными условиями из-за неправильно спроектированного освещения: прямые и отраженные от экрана блики, вуалирующие отражения, неблагоприятное распределение яркости в поле зрения, неверная ориентация рабочего места относительно светопроемов. Оптимальной считается освещенность рабочих помещений для работы с видеотерминалами 300-500 [лк]. Рекомендуется, чтобы соотношение яркости экрана и непосредственного ближайшего окружения не превышало 3:1.
Рабочее место, оборудованное дисплеем, располагают таким образом, чтобы в поле зрения оператора не попадали окна или осветительные приборы; они не должны находиться и непосредственно за спиной оператора. Добиваются уменьшения отражений на экране от различных источников искусственного и дневного света. Когда искусственный свет смешивается с естественным, рекомендуется использовать лампы, по спектральному составу наиболее близкие к солнечному свету. Желательно выбирать светильники с рассеивателями, а все блестящие детали осветительного оборудования, которые могут попасть в поле зрения, заменять на матовые.
На функциональную деятельность человека, его самочувствие и здоровье огромное влияние оказывают метеорологические условия рабочей среды. Плохие метеоусловия нарушают терморегуляцию и тепловой баланс организма и вызывают простудные вирусные заболевания. В машинном зале температура воздуха должна быть 19-23 [С], относительная влажность воздуха 55 [%], скорость движения воздуха на уровне лица не выше 0,1 [м/с], атмосферное давление 1012,25 [кПа]. Нормальные метеоусловия обеспечиваются системами водяного отопления, вентиляции, кондиционирования воздуха и герметизацией помещения.
По мнению специалистов, работа у дисплея не связана с вредным радиобиологическим воздействием. Допустимая мощность дозы радиобиологического излучения перед экраном на расстоянии 5 [см] от его поверхности равна 0,5 [мР/ч]. Рентгеновское излучение уменьшается пропорционально квадрату расстояния до экрана. Так, на расстоянии от экрана 50 [см] оно составляет 0,005 [мР/ч].
Исследования характера и интенсивности излучений дисплея с целью определения воздействия электромагнитных излучений на оператора при длительной работе показало, что уровни облучения в ультрафиолетовой, инфракрасной и видимой областях спектра оказались ниже допустимых значений. Аналогичный вывод, был сделан и в отношении рентгеновского излучения. Таким образом, считается, что интенсивность излучения экрана дисплея не достигает предельно допустимой дозы радиации и, следовательно, условия труда можно отнести к безопасным. Но до тех пор, пока не будут проведены тщательные исследования по комплексному изучению воздействия излучений на организм человека, рекомендуется принимать следующие меры предосторожности: ограничить дневную продолжительность рабочей деятельности перед дисплеем, использовать отражающие и поглощающие экраны, не размещать дисплеи концентрированно в рабочей зоне, выключать дисплей, если на нем не работают. Воздействие шума. Установлено, что шум неблагоприятен для человека, особенно при длительном воздействии. У оператора это выражается в снижении работоспособности, в ускорении развития зрительного утомления, изменении цветоощущения, повышении расхода энергии и т.д. Рекомендуется, чтобы шум в помещении, где выполняют работу, требующую концентрации внимания, не превышал 55 [дБ], а при однообразной работе - 65 [дБ]. Шум от отдельных приборов не должен более чем на 5 [дБ] превышать фоновый шум. Основными мерами борьбы с шумом являются устранение или ослабление причин шума в самом его источнике в процессе проектирования, использование средств звукопоглощения, рациональная планировка производственных помещений.
В этой главе мы рассмотрели некоторые вопросы охраны труда при работе с дисплеем: дали краткую характеристику дисплея, определили психофизиологические требования к дисплею, проанализировали принципы организации рабочего места оператора, уделили особое внимание рассмотрению рабочей среды. Проведенный анализ мероприятий соответствует современным требованиям обеспечения жизнедеятельности человека при работе с компьютером.
Заключение
В данном проекте была разработана программа, которая позволяет рассчитывать структурную надежность радиотехнических систем методом статистического моделирования. Она значительно облегчает задачу расчета структурной надежности системы.
Используя данную программу, было проведено сравнения различных типов структур сетей. Наиболее надежными являются полносвязные структуры однако они требуют больших капитальных затрат. Наименьшие капитальные затраты требуются для построения иерархических структур, но они обладают плохой надежностью. Оптимальным соотношением между ценой и надежностью обладаю сотовые структуры.
Библиография
Бусленко Н.П. Моделирование сложных систем. М.: Наука, 1968.
Бойченко В.М., Гладкий В.С., Черный Е.И. Аналого-вероятностное моделирование систем из ненадежных элементов. - Изв. АН СССР, Техническая кибернетика, 1967, №1.
Гладкий В.С. Вероятностные вычислительные модели. М.: Наука, 1973.300с.
Гладкий В.С., Данилов А.Н. Новиков С.Н. Программа оценки структурной надежности сетей связи / Гос. ФАП СССР. - М., 1987.
Малиновский С.Т. Сети и системы передачи дискретной информации и АСУ / Учебник для электротехнических институтов связи. М.: Связь, 1979.384с.
Мизин И.А., Богатырев В.А., Кулешов А.П. Сети коммутации пакетов / Под ред.В.С. Семенихина. - М.: Радио и связь, - 408с
Толчан А.Я. О связности сети. Принципы построения сетей и систем управления. М.: Наука, 1964.
Приложение А
ПРОГРАМА.
uses crt;
Label 1;
Var
F1: text;
k1,n1,N,Ny, i,j,s,L,z,w,k,d: integer;
P: array [1. .50,1. .50] of real;
MS: array [1. .55,1. .55] of integer;
R: real;
m,h,mh: array [1. .66] of integer;
key: char;
PROCEDURE kol_node;
var r_key: char;
begin
repeat
window (1,1,80,25);
clrscr;
ASSIGN (F1,'FF1. txt');
rewrite (F1);
n1: =1;
write ('введите кол-во узлов s=');
readln (s);
r_key: =#27;
until r_key=#27;
close (f1);
end;
PROCEDURE kol_attemp;
var r1_key: char;
begin
window (1,1,80,25);
textbackground (blue);
clrscr;
repeat
write ('количество испытаний N=');
readln (N);
Ny: =0;
r1_key: =#27;
until r1_key=#27;
end;
PROCEDURE number_attemp;
label 1,2;
var param: byte;
d: integer;
begin
window (1,1,80,25);
textbackground (black);
clrscr;
assign (f1,'ff1. txt');
append (f1);
d: =0;
Ny: =0;
for i: =1 to s do
begin
m [i]: =0;
h [i]: =0;
mh [i]: =0;
for j: =1 to s do
begin
P [i,j]: =0;
MS [i,j]: =0;
end;
end;
2: clrscr;
writeln ('Для автоматического ввода введите - 1');
writeln ('Для ручного ввода введите - 2');
readln (param);
if param=2 then
begin
n1: =1;
for i: =1 to s do
begin
n1: =n1+1;
for j: =n1 to s do
begin
write ('введите P [', i,',',j,'] =');
read (P [i,j]);
P [j, i]: =P [i,j] ;
end;
writeln;
END;
end;
if param=1 then
begin
n1: =1;
for i: =1 to s do
begin
n1: =n1+1;
for j: =n1 to s do
begin
P [i,j]: =random;
P [j, i]: =P [i,j] ;
end;
END;
end;
if (param<>1) and (param<>2) then goto 2;
for i: =1 to s do P [i, i]: =1;
for i: =1 to s do
begin
for j: =1 to s do
begin
write (' ',P [i,j]: 1: 3);
write (F1,' ',P [i,j]: 2: 3);
end;
writeln;
writeln (F1);
end;
1: while d<N do
begin
d: =d+1;
writeln (F1,'номер испытания N=',d);
R: =random;
writeln (F1,'R=',R: 1: 3);
for i: =1 to s do
begin
for j: =1 to s do
begin
if P [i,j] >R then MS [i,j]: =1
ELSE MS [i,j]: =0;
write (F1,' ',MS [i,j]);
end;
writeln (F1);
end;
k: =1;
k1: =0;
for j: =1 to s do
begin
mh [j]: =ms [1,j] ;
m [j]: =ms [1,j] ;
h [j]: =ms [1,j] ;
end;
FOR l: =1 to S do
begin
for j: =1 to s do
if m [j] =1 then
begin
k: =j;
for w: =1 to s do
begin
mh [w]: =mh [w] +MS [k,w] ;
if mh [w] >1 then mh [w]: =1;
end;
end;
z: =0;
for j: =1 to s do
z: =z+mh [j] ;
if z=k1 then
begin
writeln (F1,'несвязна');
goto 1;
end;
k1: =z;
if z=s then
begin
writeln (F1,'связна');
Ny: =Ny+1;
goto 1;
end;
for j: =1 to s do
begin
m [j]: =mh [j] -h [j] ;
h [j]: =mh [j] ;
end;
end;
end;
writeln;
for i: =1 to s do
write (MS [n, i],' ');
writeln;
if z=s then writeln ('связна') else writeln ('несвязна');
writeln;
writeln ('Pн=',Ny/N: 1: 3);
writeln (F1,'Pн=',Ny/N: 1: 3);
close (F1);
readln;
readln;
end;
PROCEDURE MENU;
label ret;
var i,j,x: integer;
lin: integer;
s: array [1. .5] of string;
begin
key: =#0;
textbackground (7);
clrscr;
gotoxy (20,7);
textcolor (red);
write ('РАСЧЕТ СТРУКТУРНОЙ НАДЕЖНОСТИ СЕТИ РТС');
textcolor (white);
window (8,9,70,14);
textbackground (blue);
clrscr;
gotoxy (2,1); write ('+');
gotoxy (62,1); write ('+');
gotoxy (2,6); write ('+');
gotoxy (62,6); write ('+');
for j: =2 to 5 do
begin
gotoxy (2,j); write ('¦');
gotoxy (62,j); write ('¦');
end;
for i: =3 to 61 do
begin
gotoxy (i,1); write ('-');
gotoxy (i,6); write ('-');
end;
window (10,10,70,14);
textbackground (green);
textcolor (white);
s [1]: ='Количество узлов ';
s [2]: ='Количество испытаний ';
s [3]: ='Расчет ';
s [4]: ='Выход ';
writeln (s [1]);
textbackground (blue);
for x: =2 to 4 do
writeln (s [x]);
lin: =1;
repeat
repeat until keypressed;
if keypressed then
begin
key: =readkey;
if key=#0 then key: =readkey;
end;
if key=#80 then
begin
gotoxy (1,lin);
textbackground (blue);
write (s [lin]);
if lin<4 then lin: =lin+1 else lin: =1;
gotoxy (1,lin);
textbackground (green);
write (s [lin]);
end;
if key=#72 then
begin
gotoxy (1,lin);
textbackground (blue);
write (s [lin]);
if lin>1 then lin: =lin-1 else lin: =4;
gotoxy (1,lin);
textbackground (green);
write (s [lin]);
end;
if key=#13 then
begin
case lin of
1: kol_node;
2: kol_attemp;
3: number_attemp;
4: key: =#27;
end;
end;
until (key=#27) or (key=#13);
window (1,1,80,25);
textbackground (black);
clrscr;
end;
BEGIN
repeat
MENU;
until key=#27;
end.
Приложение В
РЕЗУЛЬТАТЫ ИССЛЕДОВАНИЯ СТРУКТУРНОЙ НАДЕЖНОСТИ РАДИОТЕХНИЧЕСКИХ СИСТЕМ.
Проведем исследование трех типов структур систем связи: полносвязных, сотовых и иерархических. Полученные в результате исследования данные сведем в таблицу.
Таблица В. зависимость надежности РТС от надежности линии связи.
|
Полносвязные |
Сотовые |
Иерархические |
|
|
Р>Л.С. > |
Р>Н> |
Р>Н> |
Р>Н> |
|
0,1 |
0,286 |
0,123 |
0,028 |
|
0,3 |
0,507 |
0,292 |
0,131 |
|
0,5 |
0,654 |
0,443 |
0,248 |
|
0,7 |
0,761 |
0,619 |
0,407 |
|
0,9 |
0,907 |
0,863 |
0,772 |
Пример
построения.

-
-cd*
-d*
)
-ac*
-c*
- f
-ad*
- a
*