Физические основы распространения излучения по оптическому волокну
Физические основы распространения излучения по оптическому волокну
План
1. Волоконный световод
2. Физические и технические особенности
3. Общие сведения об оптоволокне
4. Физика светопередачи
5. Затухание
Волоконно-оптические линии связи (ВОЛС) – это система передачи данных, при которой информация передается по оптически прозрачным диэлектрическим волноводам, называемым “оптическое волокно”.
Волоконно-оптическая сеть - это информационная сеть, связующими элементами между узлами которой являются волоконно-оптические линии связи.
1. Волоконный световод
Основным элементом оптического кабеля является волоконный световод. Это тонкое стеклянное волокно цилиндрической формы, по которому происходит передача электромагнитного излучения микронного диапазона волн, соответствующего частотам 1014-1015 Гц. Принцип действия волоконного световода основан на использовании процессов отражения и преломления оптической волны на границе раздела двух сред с различными оптическими свойствами, зависящими от показателя преломления n.
При падении луча на границу раздела двух сред в общем случае появляются преломленная и отраженная волны. Согласно закону Снеллиуса угол падения φ>п> связан с углами отражения >отр> и преломления >пр> соотношением:
φ>n>=φ>отр>,
n>1>sinφ>n>=n>2>sinφ>пр> (1)
причем если n>1>>n>2>, то из (1) следует, что >пр> > >n> (см. рис.1)
По мере увеличения угла падения со стороны оптически более плотной среды можно достичь состояния, когда приломленный луч будет скользить по границе раздела сред без перехода в оптически менее плотную среду (луч 2 рис.2).



Рис. 1. Падение световой волны на границу раздела двух сред при n>1>>n>2>
Угол падения, при котором наблюдается такой эффект, называется предельным углом полного внутреннего отражения. Для всех углов падения, которые превышают предельный, будет иметь место только отражение. Это явление называется полным внутренним отражением, оно положено в основу передачи оптического излучения по световоду.

Рис. 2. Прохождение лучей в волоконном световоде
Обычно волоконные световоды имеют круглое поперечное сечение и состоят из двух концентрических слоев оптически прозрачного диэлектрика. В центре располагается сердцевина из оптически более плотного кварца, его окружает оболочка из кварца с меньшей оптической плотностью. Волокна отличаются диаметром сердцевины и оболочки, а также профилем показателя преломления сердцевины. Профиль показателя преломления – это закон, который показывает, как может меняться или оставаться постоянным показатель преломления оболочки вдоль радиуса. При обозначении волокна указываются через дробь значения диаметров сердцевины и оболочки.
2. Физические и технические особенности
Физические особенности:
1. Широкополосность оптических сигналов, обусловленная чрезвычайно высокой частотой несущей (Fo=1014 Гц). Это означает, что по оптической линии связи можно передавать информацию со скоростью порядка 1012 бит/с или Терабит/с.(т.е. по одному волокну можно передать одновременно 10 миллионов телефонных разговоров и миллион видеосигналов). Скорость передачи данных может быть увеличена за счет передачи информации сразу в двух направлениях, так как световые волны могут распространяться в одном волокне независимо друг от друга. Кроме того, в оптическом волокне могут распространяться световые сигналы двух разных поляризаций, что позволяет удвоить пропускную способность оптического канала связи. На сегодняшний день предел по плотности передаваемой информации по оптическому волокну не достигнут.
2. Очень малое затухание светового сигнала в волокне. Лучшие образцы российского волокна имеют затухание 0.22 дБ/км на длине волны 1.55 мкм, что позволяет строить линии связи длиной до 100 км без регенерации сигналов.
Технические особенности:
1.Волокно изготовлено из кварца, основу которого составляет двуокись кремния.
2. Оптические волокна имеют диаметр около 100 мкм, то есть очень компактны и легки, что делает их перспективными для использования в авиации, приборостроении, в кабельной технике.
3. Стеклянные волокна — не металл, при строительстве систем связи автоматически достигается гальваническая развязка сегментов. Применяя особо прочный пластик, изготавливают самонесущие подвесные кабели, не содержащие металла и тем самым безопасные в электрическом отношении. Такие кабели можно монтировать на мачтах существующих линий электропередач, как отдельно, так и встроенные в фазовый провод, экономя значительные средства на прокладку кабеля через реки и другие преграды.
4. Системы связи на основе оптических волокон устойчивы к электромагнитным помехам, а передаваемая по световодам информация защищена от несанкционированного доступа. Волоконно-оптические линии связи нельзя подслушать неразрушающим способом. Всякие воздействия на волокно могут быть зарегистрированы методом мониторинга (непрерывного контроля) целостности линии.
Существует способ скрытой передачи информации по оптическим линиям связи. При скрытой передаче сигнал от источника излучения модулируется не по амплитуде, как в обычных системах, а по фазе. Затем сигнал смешивается с самим собой, задержанным на некоторое время, большее, чем время когерентности источника излучения. При таком способе передачи информация не может быть перехвачена амплитудным приемником излучения, так как он зарегистрирует лишь сигнал постоянной интенсивности.
5.Важное свойство оптического волокна — долговечность. Время жизни волокна, то есть сохранение им своих свойств в определенных пределах, превышает 25 лет, что позволяет проложить оптико-волоконный кабель один раз и, по мере необходимости, наращивать пропускную способность канала путем замены приемников и передатчиков на более быстродействующие.
3. Общие сведения об оптоволокне

Для передачи сигналов применяются два вида волокна: одномодовое и многомодовое. Свое название волокна получили от способа распространения излучения в них. Волокно состоит из сердцевины и оболочки с разными показателями преломления n1 и n2.
В одномодовом волокне диаметр световодной жилы порядка 8-10 мкм, то есть сравним с длиной световой волны. При такой геометрии в волокне может распространяться только один луч (одна мода).В многомодовом волокне размер световодной жилы порядка 50-60 мкм, что делает возможным распространение большого числа лучей (много мод).Оба типа волокна характеризуются двумя важнейшими параметрами: затуханием и дисперсией. Затухание обычно измеряется в дБ/км и определяется потерями на поглощение и на рассеяние излучения в оптическом волокне. Потери на поглощение зависят от чистоты материала, потери на рассеяние зависят от неоднородностей показателя преломления материала.

Конструктивно все оптичеcкие волокна содержат в себе некоторое число нижеперечисленных слоев:
1. сердечник, который несет в себе большую часть света
2. отражающая оболочка, преломляющая свет и ограничивающая его в сердечнике
3. покрытие первичного буфера, обеспечивающее первый уровень механической защиты
4. покрытие вторичного буфера, которое защищает относительно хрупкое первичное покрытие и само волокно.
Многомодовое волокно
В случае многомодового волокна диаметр сердечника по сравнению с длиной световой волны относительно большой. Диаметр сердечника от 50 микрон до 1000 в сравнении с длиной волны света 1300 нм. Это означает, что свет может распространяться в волокне в различных направлениях или модах — отсюда и название многомодовое волокно. Простейший и достаточно старый тип — это волокно с шаговым индексом. Коэффициент преломления — возможность материала отражать свет — в нем постоянен по всему сечению сердечника. Это приводит к тому что лучи света распространяются в нем так как показано на рисунке:
Многомодовое волокно со ступенчатым коэффициентом

1 — входной импульс
2 — дисперсия
3 — выходной импульс
4 — коэффициент преломления
5 — мода высокого порядка
6 — мода низкого порядка
В многомодовом волокне лучи света, соответствующие различным модам, проходят различные дистанции. Если в такое волокно ввести короткий импульс света, то его лучи прибудут на противоположный конец через различные промежутки времени, и выходной импульс будет шире, чем входной. Это явление называют модовая дисперсия. Она ограничивает число импульсов в секунду, которые могут быть переданы через волокно и все еще распознающихся на противоположном конце, как отдельные импульсы. По этой причине пропускная способность волокна с шаговым индексом невелика и составляет 20 -30 МГц для кабеля длиной 1 км.

Многомодовое волокно с градиентным коэффициентом
1 — входной импульс
2 — дисперсия
3 - выходной импульс
4 — коэффициент преломления
Для многомодового волокна с последовательным индексом коэффициент преломления плавно (последовательно) изменяется от максимума в самом центре до минимума по краям. Такая конструкция использует тот факт, что свет распространяется быстрее в материалах с низким коэффициентом преломления чем в материалах с высоким. Поэтому световой импульс, распространяясь в таком волокне, имеет гораздо меньшую модовую дисперсию, а кабель за счет этого гораздо большую пропускную способность от 100МГц до 1300МГц для кабеля длиной один километр. Наиболее популярный тип многомодового волокна, используемого в локальных компьютерных сетях обычно обозначается как MM 62.5/125.
ММ означает MultiMode или многомодовое, диаметр сердечника такого волокна 62.5 микрона, а диаметр оболочки 125 микрон.
Одномодовое волокно
Для одномодового волокна диаметр сердечника составляет 8 микрон, что гораздо ближе к обычно используемой длине волны 1300 нм. Это позволяет передовать свет одной нулевой модой и полностью устранить эффект модовой дисперсии, о котором шла речь выше. Однако дисперсии присутствует, она носит название частотной и связана с тем, что свет с разной длиной волн (разного цвета) распространяется в волокне с различной скоростью. Таким образом, пропускная способность такого кабеля хотя и увеличивается, но остается ограниченной ~ 100ГГц и в достаточно сильной степени зависит от спектральной чистоты источника света. Хотя такое волокно и позволяет передовать данные на гораздо большие расстояния — десятки километров, одномодовые системы достаточно дороги, потому что в качестве источника света в них используют сравнительно дорогие лазеры с очень узким спектральным составом излучаемого света. Наиболее популярный тип одномодового волокна обычно обозначается как SM 8/125. SМ означает SingleMode или одномодовое, диаметр сердечника такого волокна 8 микрон, а диаметр оболочки 125 микрон.
Окна прозрачности
Окно прозрачности — это длина световой волны излучения, которую волокно передает с наименьшим затуханием. Длина волны измеряется обычно в нанометрах (нм). Самые распространенные значения длины волны — 850, 1300, 1310 и 1550 нм. Большинство волокон имеет два окна — т. е. оптическое излучение может передаваться на двух длинах волн. Для многомодовых оптических волокон это 850 и 1310 нм, а для одномодовых — 1310 и 1550 нм.
4. Физика светопередачи
В градиентном световоде рефракция приводит к самофокусировке отдельных лучей на осевой линии, при этом их траектории представляют собой синусоиды, а для немеридиональиых лучей - винтовые линии.
Удержание излучения
внутри оптически более плотной центральной
части световода обеспечивается не для
всех лучей, а лишь для той их части,
которые падают на торец не слишком косо
(угол падения отсчитывается от нормали
к плоскости торца). Для каждого световода
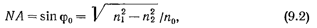
имеется некоторый критический угол φ>0>
определяющий его угловую апертуру: лишь
лучи с углами
распространяются
по волокну. Величина
называется числовой апертурой и является
важной характеристикой световода;
именно этот параметр входит во многие
расчетные формулы. Излучение, заключенное
внутри конуса с углом при вершине
представляет собой направляемые или
каналируемые лучи (моды). Если
то после многократного повторения акта
отражения - преломления на границе
сердцевина - оболочка вся энергия луча
перейдет в оболочку и удержится в ней,
если выполняется условие полного
внутреннего отражения на внешней границе
оболочки. Эта часть излучения представляет
собой вытекающие или оболочечные лучи
(моды). Если условие не выполняется, то
лучи выходят и из оболочки - это излучаемые
моды. При больших длинах распространения
вытекающие лучи поглощаются в оболочке
(менее прозрачной, чем сердечник) и в
процессе светопередачи по волокну
участвуют только внутриапертурные
направляемые лучи.
Описанным механизмом светопередачи обусловлена и дисперсия волокна, заключающаяся в различии групповых скоростей составляющих оптического излучения. Этот эффект вызывается двумя причинами:
во-первых, лучи с разными углами падения проходят в световоде различные расстояния и,
во-вторых, свойства материала зависят от длины волны излучения, а любой реальный источник не строго монохроматичен.
Иными словами, дисперсия волокна, трактуемая более широко, чем это принято в традиционной оптике, зависит не только от степени когерентности излучения, но и от геометрических характеристик волокна.
Согласно сказанному выделяют три составляющие дисперсии:
межмодовую (или волноводную), обусловленную различием групповых скоростей различных мод [см. формулу (1.25)];
внутри-модовую, обусловленную нелинейной зависимостью постоянной распространения данной моды от длины волны; материальную- (дисперсию материала), выражающуюся в зависимости показателя преломления среды от длины волны.
Сушествование этих составляющих однозначно вытекает из анализа формул (1.16), (1.25) и (1.46). Отметим, что модовая дисперсия может иметь место и тогда, когда показатель преломления среды не зависит от λ, т. е. дисперсия материала D = 0.
Дисперсия подобно
инерционным процессам в электрических
цепях и электронных приборах проявляется
в завале частотной характеристики
световода (зависимость интенсивности
излучения на выходе от частоты модуляции)
и в искажении передаваемых импульсов
света (расплывание, уширение). Любой из
видов дисперсии тем существеннее, чем
протяженнее световод (временное
расхождение между двумя лучами «набегает»
по мере их распространения); поэтому
для характеристики инерционности
используют временные параметры,
приведенные к единице длины световода:
полоса пропускания f>0>
МГц-км; постоянная дисперсии
нс/км;
уширение импульса
нс/км.
Величина f>0>
определяется по спаду частотной
характеристики на 3 дб,
- по времени нарастания импульса в е
раз,
- по расплыванию единичного
импульса
на уровне половины его амплитуды. Между
этими параметрами имеется простая
взаимосвязь:

Для оценки инерционности
световода длиной L
величины
умножаются, а f>0
>делится
на L
Качественное сравнение двух типов волокон приводит к заключению, что градиентные световоды должны иметь лучшие-дисперсионные свойства. В них луч света, распространяющийся по искривленной траектории, значительную часть пути проходит в областях с уменьшенным значением n, т. е. с большей скоростью, чем, например, осевой луч. Поэтому при различии длин двух световых путей время их прохождения лучами может оказаться практически одинаковым. В световоде со ступенчатым изменением показателя преломления эффект выравнивания времени распространения не имеет места, так как скорость распространения света по всему сечению сердечника постоянна. По существу стремление ослабить дисперсионные эффекты и явилось основным стимулом развития градиентных световодов.
Основы теории.
Ряд полезных соотношений может быть получен с помощью математического аппарата лучевой теории, пренебрегающего конечностью длины волны света и нелинейными эффектами.
Если на торец ступенчатого волокна (рис. 9.1) из среды с показателем преломления n0 поступает поток излучения, то по закону отражения - преломления совместно для поверхностей торца и границы сердцевина - оболочка

где
—
показатели преломления сердцевины и
оболочки -световода. Это прямо следует
из соотношений
и
Обычно
излучение приходит из воздуха
тогда

где
и
- соответственно абсолютная и относительная
разности показателей преломления
сердцевины и оболочки. Изгиб световода
приводит к тому, что угол между лучом и
границей раздела сердечник — оболочка
возрастает
и угловая апертура уменьшается. Используя
ту же схему расчета и учитывая, что
радиус изгиба
- диаметр сердцевины), получаем, что
снижение числовой апертуры до 90% от
своего, первоначального значения
произойдет при

Окончательное
выражение в (9.4) получено при
При типичных
мкм
и
имеем
Определение г>изг.мин
>условно:
за критерий принято
в ряде случаев допустимыми являются
большие или меньшие отклонения от
для
неизогнутого световода, при этом
изменяется и г>изг.мин>.
Отметим также, что по (9.4) определяют
только исходя из условия изменения
апертуры; практически Более чувствительными
к изгибу могут оказаться дисперсионные
эффекты или характеристики, связанные
с механической прочностью волокна.

Рис. 9.1. Ход световых лучей в ступенчатом световоде до (1) и после (2) изгиба
Применительно к
градиентному световоду расчеты по
лучевой теории для малых углов падения
дают траекторию луча в виде периодической
функции (в простейшем случае синусоиды),
причем в общем случае значение периода
зависит от координаты и угла вода. Однако
при достаточно малом
практически для любого конкретного
закона изменения n
периоды для всех лучей оказываются
одинаковыми, т. е. осуществляется условие
самофокусировки. Для типичных градиентных
световодов с
период самофокусировки около
Лучевая теория
позволяет провести полу количественную
оценку и межмодовой дисперсии. Из рис.
9.1 видно, что для двухслойного световода
разница времен распространения
центрального осевого луча и луча с
на
единичной длине
(9.5)
где c
- скорость света; L
км;
,
мкс/км. Последнее равенство в (9.5) получено
для
;
таким образом, для типичного ступенчатого
световода с
имеем
нс/км.
Выражение (9.5)
определяет верхнюю границу постоянной
времени волноводной дисперсии
(всегда
(,
конкретное значение которой зависит
от закона углового распределения,
интенсивности света (т. е. от относительного
вклада отдельных лучей).
Более детальную информацию о закономерностях распространения излучения в волокне дает волновая (или модовая) теория,, базирующаяся на строгом решении системы уравнений Максвелла. При этом волокно моделируется как цилиндрический диэлектрический волновод. Преобразование общего уравнения (1.27) показывает, что число каналируемых (направляемых) мод, поддерживаемое в двухслойном волноводе со ступенчатым показателем преломления,

где V - приведенная групповая скорость распространяющегося излучения с длиной волны λ

Анализ (1.27) показывает,
что лишь одна мода (так называемая TE>0>
мода) может поддерживаться световодом
при любых, значениях V
(в лучевой теории этой моде соответствует
луч с ); прочие моды могут существовать
лишь при -

Таким образом,
неравенство
есть условие существования одномодового
режима, которое для ступенчатого
световода приобретает вид:

Одномодовый режим тем легче реализовать, чем больше λ и меньше NA
Дадим несколько
численных оценок (9.6) — (9.8). Входящее в
эти формулы значение λ относится к
материалу световода; когда же говорится
о длине волны излучения лазера, то
имеется ввиду ее значение для воздуха.
При переходе от воздуха к сердечнику
длина волны излучения уменьшается в n1
раз. С учетом сказанного получаем, что
в типичном двухслойном световоде с dc
= 50 мкм и NA=0,2
при λ=0,8мкм число направляемых мод
2000. Для реализации в световоде одномодового
режима для .лазерного излучения с λ =1,3
мкм требуется при
0,1
диаметр сердечника
7
мкм.
Анализ частных
решений волнового уравнения (волноводных
мод) показывает, что они описываются
функциями, монотонно спадающими (обычно
экспоненциально) к периферии сердечника,
но в то же время не обрывающимися на
границе сердечник оболочка (рис. 9.2).
Иными словами, направляемые моды частично
просачиваются в оболочку, т. е. отражение
происходит не на геометрической
поверхности раздела, а в некоторой
приповерхностной области (рис. 9.2,а).
Расчет показывает, что для направляемых
мод с малыми углами падения
(распространяющихся при малых значениях
доля мощности, переносимая по оболочке,
может быть значительной: для
моды приV
=1 она составляет 70%, а при V=2,4
— всего 16%. Характерно и то, что при V=
1 поле
-моды
проникает в оболочку на глубину порядка
Отсюда, в частности, следует важность
чистоты не только сердечника, но и
оболочки для маломодовых (и особенно
одномодовых) волокон, а также необходимость
достаточно большого диаметра оболочки

Расчет дисперсии. Основное практическое приложение модовой теории - это расчет дисперсионных характеристик волокон различного типа. Наиболее наглядные выражения удается получить при анализе расплывания σ-импульса. Так, интегрированием решения волнового уравнения для многомодового двухслойного -ступенчатого световода получено
(9.9)
Используя переводное
соотношение (9.1), получаем
что согласуется с качественными
представлениями лучевой теории.
Дисперсия градиентного
световода зависит от конкретного вида
функции
Обычно при расчетах задаются следую
щей формулой,

Рис. 9.2. «Просачивание» каналируемого излучения в оболочку:
а - модель лучевой теории; б — модовая структура поля для ТЕ0 и ТЕ1-мод
удовлетворительно описывающей практические все возможные типы существующих градиентных световодов:

где
- относительная разность показателей
преломления;
—
постоянный для данного вида световода
показатель, которым можно управлять
технологически;
- показатели преломления центра сердцевины
и оболочки.
Для наиболее
распространенного случая параболического
изменения показателя преломления
(при
когда
(9.10) принимает вид
)

где
Детальные оценки показывают, что случай
не является оптимальным; наибольшее
приближение к самофокусировке достигается
при

При этом
Характерно, что для

градиентных световодов
дисперсионные константы пропорциональны
,
тогда как для волокон со ступенчатым
профилем показателя преломления они
пропорциональны;
При условии
становится очевидным преимущества
градиентных волокон. Численные оценки
по (9.9)—(9.13) показывают, что при
приведенное
уширение импульса составляет 20 нс/км
для двухслойного световода, 130 и 15 пс/км
для градиентного параболического (
=
2) и оптимизированного' (
»1,97).
Отсюда следует, в частности, что
оптимизация достигается лишь при очень
высокой точности реализации требуемого
значения
Минимальные приведенные значения экспериментально получить не удается из-за дисперсии материала. Приведенная к единице длины постоянная времени материальной дисперсии приблизительно одинакова для всех волноводных мод и зависит лишь от ширины спектра излучения и дисперсионных свойств материала:

Используя (9.1), можно
при необходимости перейти от
Экспериментальная дисперсионная кривая
для кварца, легированного фосфором
(материал сердечника практически всех
основных типов световодов для ВОЛС),
представленная на рис. 9.3,. показывает,
что при λ≈3 мкм
=0
и соответственно
=
0. Именно этим прежде всего и определяется
значимость спектральной области вблизи
λ =1,3 мкм.
Расчет показывает,
что
в
многомодовых световодах эффекты
шнутримодовой дисперсии оказываются
пренебрежимо малыми по сравнению с
другими видами искажений и, в частности,
с дисперсией материала. Поэтому, переходя
к общей оценке, внутри-.модовую дисперсию
не учитываем.
Рассмотренные эффекты
— волноводная и материальная дисперсия
— действуют одновременно; решение
задачи уширения им-лульса при этом резко
усложняется: наряду с членами, которые
приводят к значениям
и
появляется
еще суперпозиционный член
.
В первом приближении можно считать, что
суммарное уширение импульса

Характерно, что
не соответствуют в точности значениям,
получаемым из (9.11), (9.13), (9.14). Приведенные
на рис. 9.4 расчетные кривые иллюстрируют
сказанное и позволяют сделать следующие
выводы: при учете двух механизмов
дисперсии значение
заметно
сдвигается относительно точки
,
в градиентном световоде, возбуждаемом
светодиодом, уширение импульса почти
полностью определяется материальной
дисперсией -и оптимизация профиля
заметных
преимуществ не дает; в оптимизированном
многомодовом градиентном световоде,
возбуждаемом монохроматическим лазером,
дисперсионное уширение .импульса может
быть снижено до 15 пс/км (теоретический
предел).

Рис. 9.3. Спектральная характеристика дисперсии кварца
Рис.9.4. Теоретическая
зависимость
от
параметра
градиентного
световода:
1 — учитывается
только модовая дисперсия; 2—
=15
нм (светодиод); 8 —
=
1 нм (инжекционный лазер); 4—
=
0,2 нм (лазер с распределенной обратной
связью); кривые 2—4 рассчитаны для
=0,9
мкм
Отметим еще один
очень важный для дисперсионных расчетов
эффект — связь мод в многомодовых
световодах. Выше предполагалось, что
отдельные моды (или лучи с разными углами
падения) распространяются по волокну
независимо друг •от друга и не смешиваются.
Естественно, что идеализация и наличие
в реальном световоде тех или иных
нерегулярностей (флуктуации состава и
соответственно величины п, непостоянства
геометрии, микроизгибов, нарушений на
границе раздела сердцевина— оболочка
и т. п.) приводят к «перекачке» энергии
между модами. В представлениях
геометрической оптики это значит, -что
луч с углом падения
преломившись на неоднородности, меняет
угол распространения на
Возможность проявления этого эффекта
становится очевиднее, если вспомнить,
что на 1 км пути укладывается около 109
длин волн света и в то же время происходит
более 106
актов отражения светового луча от
границы сердцевина — оболочка. Связь
или смешение мод приводит ж тому, что
часть энергии медленных мод переходит
в быстрые .и наоборот; это ведет к
некоторому выравниванию времен
распространения медленных и быстрых
мод — в итоге дисперсия уменьшается.
Математическое описание явления в общем
виде «очень сложное, важнейший результат
смешения мод состоит в •следующем:

где
—
характеристическое расстояние, на
котором устанавливается постоянный
модовый состав. Дисперсионное размытие
светового импульса «набегает» не
пропорционально длине световода L,
а пропорционально
т.
е. значительно слабее. Величина L0
может быть определена лишь экспериментально,
она тем больше, чем совершеннее световод,
и может достигать десятков километров.
Естественно, что при
сохраняется
прежний закон:
5. Затухание
Причинами потерь оптической мощности при распространении сигнала по волокну являются различные виды поглощения, а также обусловленная рассеянием деформация углового распределения лучевого потока и вытекание возникающих внеапертурных лучей из сердцевины.
Для количественной оценки потерь пропускания используется удельное затухание оптического сигнала, выраженное в дБ/км,

где
—
мощности каналируемого излучения на
входе и
выходе световода длиной L км. Если имеются различные невзаимодействующие механизмы потерь, то определенные по (9.17) .затухания складываются, т. е.

где
—
удельное затухание, вносимое
механизмом
потерь.
Рассмотрим наиболее существенные из этих механизмов.
1. Фундаментальные
потери, присущие материалу и принципиально
неустранимые. Выделяют два вида
фундаментальных потерь. Один вид —
собственное поглощение в материале
световода (потери
|,
которое в УФ-области связано с электронными
переходами между разрешенными
энергетическими уровнями атомов, а в
ИК-области — с многофотонным и
колебательным возбуждением молекул.
«Хвосты» полос поглощения могут доходить
с рабочего диапазона длин волн световода,
что проявится в затухании. Экспериментально
установлено, что для кварца уже при
0,6
мкм УФ-поглощение становится меньше 1
дБ/км, а ИК-поглощение, эффективное
при
8...
12 мкм, при
1
мкм вообще не сказывается.
Другой вид фундаментальных потерь — релеевское рассеяние на различного рода нерегулярностях, приводящее к потерям

где постоянная
тем
меньше, чем ниже температура «замора-живания»
флуктуации состава световода, охлаждаемого
при изготовлении.
Для кварца при его
тщательной обработке экспериментально
получено
0,7
дБ/(км-мкм-4),что для
0,82
мкм дает
~1,5 дБ/км, а при
=1,55
мкм
^0,14
дБ/км. Следует подчеркнуть, что
не
универсальная константа, она зависит
и от выбора материала световода, и от
технологии его обработки, т. е. принципиально
можно ожидать получения меньших, чем
достигнуто в кварце, релеевских потерь.
Наиболее характерным моментом в (9.19)
является сильная зависимость
от
из чего следует, что в дальней ИК-области
релеевские потери становятся пренебрежимо
малыми.
2. Примесное поглощение,
обусловленное наличием примесей (потери
).
В кварце такими примесями, проявляющимися
как центры окраски, являются ионы
металлов группы медь — хром, а именно
медь, хром, магний, никель, железо. Однако
при современных методах очистки роль
примесей в кварце оказывается
несущественной; значение их как центров
окраски сохраняется лишь для
многокомпонентных стекол.
Значительное
поглощение происходит за счет гидроксильной
группы ОН (потери
,
но спектр этого поглощения имеет характер
отдельных узких полос, так что в
промежутках между ними дополнительное
затухание может быть ничтожным. Основной
пик колебательного возбуждения связи
О—Н наблюдается при
=2,72
мкм, меньшие пики, обусловленные
обертонами, — при длинах волн 1,24; 0,94;
0,88; 0,72 мкм. Рабочую длину волны излучателя
стремятся поместить между этими пиками.
3. Технологические
разбросы определяющих параметров
световода (потери
(:
эллиптичность сердцевины, статистические
флуктуации ее диаметра и показателя
по
длине световода, нарушения выбранного
закона распределения показателя
преломления по сечению сердцевины [в
частности, очень часто на оси .световода
наблюдается провал кривой
].
Все это приводит к рассеянию и перекачке
части энергии распространяющегося
излучения в вытекающие моды.
4. Явления, связанные
с дефектами эксплуатации, проявляющимися
уже после изготовления волокна. Это
потери, обусловленные микроизгибами,
возникающими в местах контакта волокна
•с защитными оболочками и упрочняющими
элементами кабеля. Практически после
укладки волокна в кабель его затухание
может на 20... 50% превысить исходное
значение. Дополнительные механические
напряжения и микроизгибы возникают
также при изменении температуры
окружающей среды, причем они тем
значительнее, чем шире диапазон рабочих
температур
Характерно,
что температурные эффекты обусловлены
не только взаимодействием волокна с
окружающими элементами, но и внутренними
напряжениями, а также изменением величины
из-за
различия (пусть незначительного)
физических свойств сердцевины и оболочки.
Оба вида потерь — кабельные
и
температурные
— полностью устранить не удается, однако
при оптимальной конструкции волокна и
кабеля они могут быть достаточно малыми.
5. Потери
обусловленные
воздействием проникающей радиации и
принципиально не устранимые. В кварцевых
волокнах ионизирующее излучение приводит
к разрыву связей в молекуле
и появлению свободных связей, которые
служат ловушками .зарядов, что повышает
в конечном счете затухание сигнала.
Детальное описание радиационного
воздействия вызывает сложности,
наблюдаемые явления не всегда допускают
однозначную интерпретацию, однако
некоторые общие закономерности для
кварцевых световодов все же могут быть
сформулированы. Установлено, что при
малых дозах, не превышающих 107
рад, различные виды радиации (электроны,
протоны, нейтроны, альфа-, гамма- и
рентгеновское излучения) оказывают на
световоды практически одинаковое
воздействие. При слабых воздействиях
дополнительное поглощение сначала
линейно зависит от дозы, а затем
наблюдается насыщение. Наведенное
поглощение состоит из двух компонентов:
стабильного и нестабильного, исчезающего
при отжиге или интенсивной засветке.
Как правило, оба компонента наведенного
поглощения значительно больше для
легированного, чем для чистого кварца.
Важная общая
закономерность радиационных дефектов
проявляется в том, что они тем меньше
влияют на затухание, чем больше длина
волны излучения: в первом приближении
при
~ 1 мкм наведенные потери пропорциональны
где
..
7.
6. Потери
возникающие вследствие временных
деградационных явлений. При вытягивании
волокон на их поверхности образуются
микротрещины, которые с течением времени
могут увеличиваться и вызывать появление
дополнительных потерь (а в конечном
счете и полное разрушение волокна).
Процесс существенно ускоряется при
наличии механических деформаций и
химическом действии тех или иных
реагентов, главным образом влаги и
кислорода, устранить влияние которых
практически невозможно.
Подводя итоги, можно расписать общее выражение (9.18) следующим образом:

Отметим, что пользоваться (9.20) практически невозможно: большинство его составляющих не рассчитываются и характеризуются индивидуальной спектральной зависимостью. Типичный спектр поглощения высокочистого кварцевого световода (вне кабеля) представлен на рис. 9.5, где наглядно отражены закономерности релеевекого рассеяния и пики, связанные с ОН-группами; видно также наличие трех окон прозрачности вблизи длин волн 0,85; 1,3 и 1,55 мкм и преимущество длинноволновых окоп.
Пределы применимости* Представленные в этой главе физическая картина и расчетные соотношения справедливы как некоторое приближение к действительности. Имеются ограничения, которые вытекают непосредственно из рассмотренной теории или как следствие из неучтенных физических эффектов.
Ранее указывалось,
что при V
=1 до 70% мощности направляемой моды
вытекает в оболочку, т. е. исходные
качественные представления о оастюстранении
излучения по световоду теряют смысл.
Условие
определяет
геометрический предел представленной
теории.
Детальный анализ процесса отражения распространяющегося излучения на границе сердцевина — оболочка приводит к заключению, что имеется большое число мод, которые нельзя однозначно отнести ни к направляемым, ни к вытекающим модам. Для таких слабовытекающих мод (геометрически — очень косые лучи) проникновение поля в оболочку не является малым и волну нельзя рассматривать как полностью направляемую, в то же время потери не настолько велики, чтобы считать ее ненаправляемой. Теория этих мод еще недостаточно разработана.

Рис. 9.5. Типичный спектр поглощения кварцевого световода
Существование
слабовытекающих мод определяет два
других ограничения теории. Во-первых,
требование к конечности толщины оболочки,
которое формулируется как
для многомодовых и
для
одномодовых световодов. При меньших
значениях
представленные выше расчетные соотношения
начинают существенно нарушаться.
Во-вторых, учет слабо-вытекающих мод
дает в (9.20) дополнительный компонент
потерь, который при малости всех остальных
составляющих может стать определяющим.
Иными словами, устанавливаются пределы
применимости формулы (9.20).
Искажение представленной
картины и нарушение большинства расчетных
соотношений возникает и при очень
значительных плотностях мощности
каналируемого излучения; причина этого
— нелинейные оптические явления (см.
гл. 3). Эффекты вынужденного рассеяния
Мандельштама — Бриллюэна и Рамана
приводят к «повороту» значительной
части потока назад — феноменологически
это проявляется в резком возрастании
затухания!. Нелинейно-дисперсионные
явления проявляются в обострении фронта
светового импульса [в противоположность
(9.15)] и в возбуждении солитонного режима.
Пороговое значение плотности мощности
для кварцевых световодов
но заметное проявление нелинейных
эффектов может наступить и значительно
раньше.
При анализе градиентного
световода использовался параметр
однако фактически профиль показателя
преломления описывается волнистой
кривой, имеющей локальные всплески и
спады (в частности, типичен провал
в
центре световода). Оценки показывают,
что отклонение от идеализированной
кривой всего на 2... 3% может привести к
изменению дисперсионной константы для
оптимизированного градиентного световода
чуть ли не на порядок. Этими цифрами и
устанавливается предел целесообразного
уточнения значения
Наконец, следует отметить статистический подход, лежащий в основе многих проведенных расчетов: релеевского рассеяния, межмодовой связи и др. При этом естественно возникновение шумов, ограничивающих минимальный уровень мощности опт
1