Характеристики компонентов волоконно-оптических систем передачи
1. Оптические кабели и разъемы, их конструкции и параметры.
1.1 ТЕХНИЧЕСКАЯ РЕАЛИЗАЦИЯ ВОЛС
Элементную базу ВОЛС составляют волоконно-оптические кабели, передающие и приемные оконечные устройства (модули), оптические соединители, разветвители, коммутаторы. Именно из этих аппаратурных средств создаются системы оптической связи. Но каждый из названных элементов представляет собой сложное.
1. Это обратное рассеяние, в особенности рассеяние Мандельштама — Бриллюэна, позитивно используется как прецизионный «инструмент» исследования характеристик световода вдоль его длины устройство, в свою очередь состоящее из нескольких комплектующих элементов, свойства и характеристики которых в конечном счете определяют возможности ВОЛС. Эти оптические, опто-, микроэлектронные, оптико-механические элементы (изделия, материалы) также входят в элементную базу ВОЛС.
Оптические волокна. Определяющими в технике ВОЛС являются кварцевые двухслойные волокна трех основных разновидностей: многомодовые ступенчатые и градиентные, а также одномо-довые (рис. 1). В одномодовых волокнах закон изменения показателя преломления внутри сердцевины неважен, поэтому эти волокна, как правило, близки к ступенчатым. Показанный на

Рис. 1 Геометрия и профиль изменения показателя преломления кварцевых двухслойных многомодовых ступенчатых (а), градиентных (б), одномодовых (в) волокон.
Геометрия сердцевины и числовые апертуры кварц-полимерных (г), из многокомпонентных стекол (д) и полимерных (е) световодов рисунке третий наружный слой в механизме светопередачи участия не принимает.

Рис. 2 Ход световых лучей в оптических волокнах с разными коэффициентами преломления
Волоконно-оптический кабель (ВОК). Наиболее широкое распространение получили четыре основные конструкции ВОК (рис. 9.9): повивная, в которой волоконные модули обвиваются вокруг центрального упрочняющего элемента; кабели пучковой скрутки, в которых навивке подвергаются группы (пучки) модулей, предварительно уложенные в трубки; кабели с профильным упрочняющим элементом, в которых волоконные модули свободно укладываются в винтообразные пазы упрочняющего элемента; ленточные кабели, в которых скручиванию подвергаются ленты, содержащие несколько волокон и набранные стопой. Первые две конструкции являются классическими, заимствованными из электротехнической практики.

Рис. 3. Основные разновидности волоконно-оптических кабелей: повивная конструкция (а), кабели пучковой скрутки (б), с профильным упрочняющим элементом (б), ленточный (г): 1 — волоконно-оптический модуль; 2 — упрочняющий элемент; З — защитная оболочка
Независимо от конкретной конструкции основными элементами кабеля (кроме волоконных модулей) являются (на рис. 3 показаны упрощенные варианты): упрочняющие элементы, обычно полимерные, иногда металлические, служащие для придания кабелю необходимой разрывной прочности и разгрузки волокон от растяжения; наружные защитные покрытия, нередко многооболочечные, предохраняющие от проникновения влаги, паров вредных веществ и от внешних механических воздействий; армирующие элементы, повышающие сопротивляемость кабеля радиальным механическим воздействиям; изолированные металлические провода, монтируемые в кабеле наряду с оптическими волокнами и обеспечивающие электропитание ретрансляторов на линии связи; внутренние разделительные слои и ленты, скрепляющие отдельные группы элементов и уменьшающие давление различных элементов конструкции друг на друга; гидрофобный заполнитель, ослабляющий вредное воздействие влаги на оптические волокна.
Обширные исследования световодных кабелей, создание огромного числа разнообразных конструкций, более -чем 15-летний опыт производства и применения этих изделий — все это не привело, однако, к выработке окончательных оптимизированных решений. Появление микронзгибов волокна в составе кабеля, терморассогласование волокна и кабельных материалов, гарантированная защита от воздействия влаги на волокно — эти проблемы по-прежнему далеки от полного разрешения.
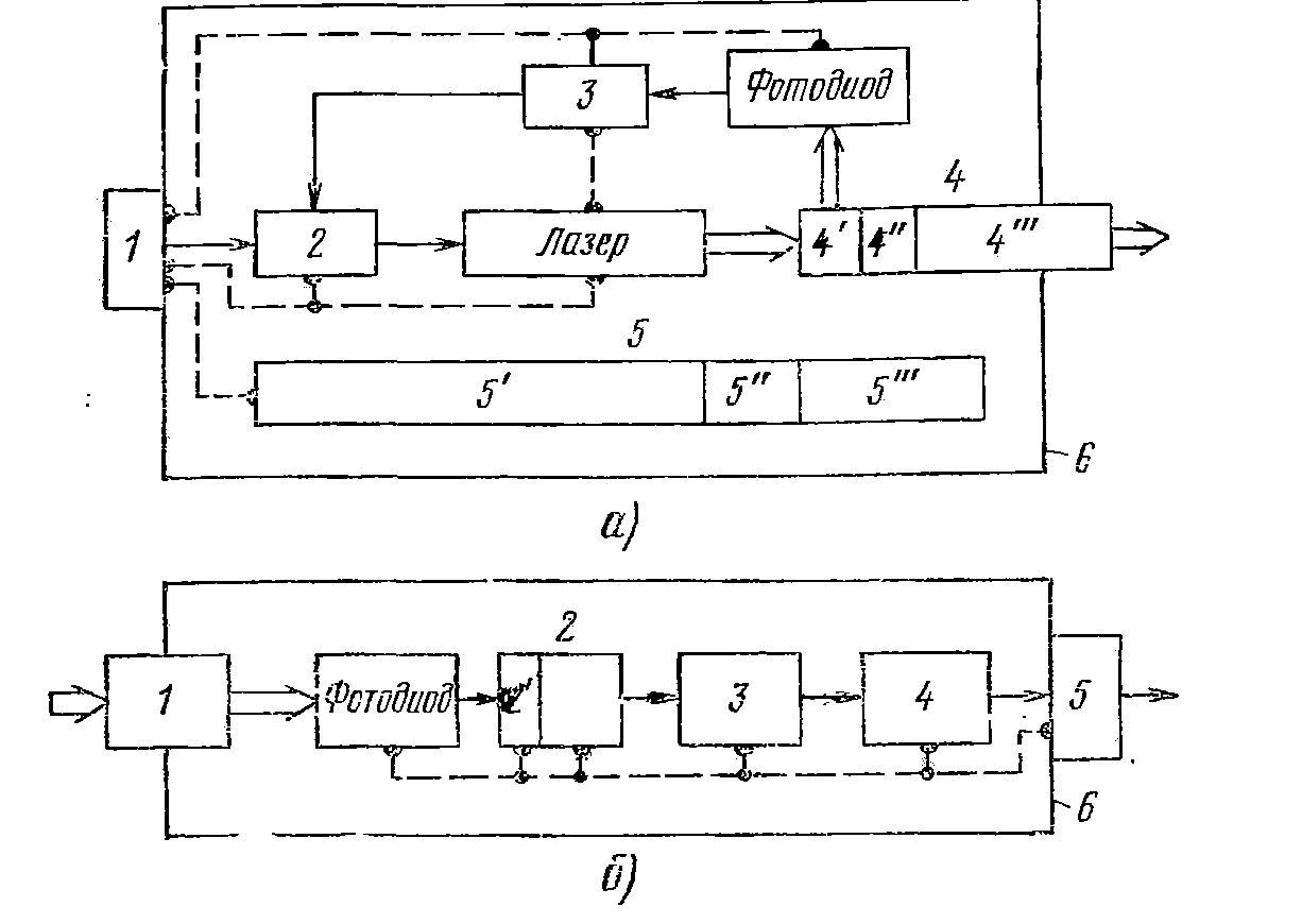
Передающие и приемные модули. Назначение передающего модуля (рис. 4) состоит в преобразовании входной информации в виде, электрических сигналов в оптические сигналы, согласованные с каналом передачи (волоконным световодом); при этом модуль должен надежно функционировать при всех возможных изменениях внешних воздействующих факторов (температуры, -влажности, вибрации, колебаний напряжений питания и т. п.).
В устройстве возбуждения сигнал, поступающий через входной электрический разъем, преобразуется в мощные импульсы накачки, превышающие порог генерации лазера. Это устройство может осуществлять и некоторые дополнительные функции: задание постоянного смещения (предпороговая подпитка); придание импульсу накачки специальной формы, обеспечивающей форсирование начала и обрыва генерации; изменение длительности импульса возбуждения по сравнению с поступающим импульсом (например,, для улучшения теплового режима работы лазера) и т. п. В устройство возбуждения могут быть введены и блоки, выполняющие

Рис.4. Структурные схемы:
а — передающего
модуля (1 — входной электрический
соединитель; 2 — схема возбуждения; 3 —
схема обратной связи; 4 — оптическое
устройство (
—
светоделитель;
—
согласующие элементы;
—оптический
соединитель); 5 — термоэлектрический
охладитель (
—
активный элемент;
—схема
управления;
—датчик
температуры); 6 — корпус); 6— приемного
модуля (1 — оптический соединитель; 2—
усилитель (включая предварительный
усилитель
);
3 — схема оптимальной (квазиоптимальной)
обработки (фильтр); 4— схема
принятия решения; б
— электрический соединитель; в — корпус)
электрические информационные цепи;
цепи
питания;
оптические сигналы
совершенно иные функции: аналого-цифровое преобразование сигнала, кодирование, мультиплексирование и др. В этом случае передающий модуль фактически превращается в оконечное устройство линии передачи информации; -его описание выходит за рамки данного рассмотрения. Устройство возбуждения выполняется в виде интегральной монолитной или гибридной микросхемы.
«Центром» передающего
модуля является излучатель — именно в
нем происходит оптоэлектронное
преобразование. Основные излучатели
ВОЛС — полупроводниковые инжекционные
гетеролазеры на основе соединений
(для
диапазона длин волн 0,8 ... 0,9 мкм) и
(1,3... 1,6 мкм). Используются практически
все структуры, предназначенные для
получения низкого тока накачки и высокой
степени когерентности: полосковые
лазеры, лазеры с зарощенной структурой,
с распределенной обратной связью и
сдвоенные лазеры со сколото-связанными
резонаторами. Модуль может содержать
одновременно несколько лазеров,
излучающих на разных длинах волн (для
целей спектрального мультиплексирования),
в этом случае структурная схема
соответственно видоизменяется и
усложняется.
Излучение лазера поступает на выходное оптическое устройство, включающее элементы согласования (селективные фильтры или смесители мод; элементы, преобразующие диаграмму направленности излучения к оптимальному для ввода в волокно виду) и оптический соединитель. Часть светового потока лазера с помощью светоделителя (или путем использования внеапертурного излучения) направляется на фотоприемник обратной связи, который через микроэлектронное устройство управления так воздействует на устройство возбуждения к на лазер, чтобы осуществлялась компенсация температурных, деградационных и других изменений мощности на выходе модуля. Для ослабления температурных эффектов в модуль вводится термоэлектрический охладитель, включающий измеритель и схему автоматической регулировки температуры.
Важнейшей частью модуля является корпус, выполняемый обычно в виде плоской прямоугольной металлической коробочки с электрическим и оптическим соединителями на противоположных торцах. В тех случаях, когда предполагается монтаж модуля непосредственно на печатную плату, электрический соединитель заменяется системой выводов.
Для коротких ВОЛС с невысокими скоростями передачи информации удобно вместо лазера использовать светодиоды: это повышает надежность и долговечность передающего модуля, снижает его стоимость, резко упрощает структурную схему. В этом случае термоэлектрические охладители не нужны, исключается также цепь фоточувствительной обратной связи.
Передающие модули на основе полупроводниковых инжекционных излучателей (лазеров и светодиодов) характеризуются всеми достоинствами, присущими этим приборам: малыми габаритными размерами, долговечностью и надежностью, экономичностью, малыми питающими напряжениями, простотой модуляции.
Приемный модуль
(рис. 9.10,6) предназначен для обратного
преобразования оптического сигнала,
поступающего из канала передачи
(световода), в электрический и его
восстановление до исходного вида; через
оптический согласующий элемент (обычно
оптический соединитель, а иногда и
фокусирующая линза) излучение поступает
на чувствительную площадку фотоприемника,
в качестве которого практически
повсеместно используются фотодиоды:
лавинные и с
-структурой.
Для спектрального диапазона
=
0,8... 0,9 мкм это кремниевые фотодиоды, для
диапазона
=
1,3... 1,6 мкм — фотодиоды на основе германия
и главным образом на основе соединений
или
Определенные перспективы для фотоприема
в ВОЛС имеют гетерофототранзисторы со
сверхтонкой базовой областью и планарные
фоторезисторы (на основе кремния,
арсенида галлия и др.).
Назначение последующих каскадов структурной схемы рис. 9.10,6 состоит в обеспечении оптимального (или квазиоптимального) приема, т. е. в реализации такого алгоритма, который позволяет получить наилучшие характеристики (порог чувствительности, полоса частот и др.) при неизбежном действии шумов и искажениях. Конкретное исполнение этих каскадов зависит от типа используемого фотоприемника и вида поступающих информационных сигналов (их амплитуды, частоты следования, кода и др.).
Предварительные усилители обычно выполняются в одном из двух вариантов: высокоимпедансный (интегрирующий) усилитель тока (рис. 4) или трансимпедансный усилитель — преобразователь тока в напряжение, охваченный глубокой отрицательной обратной связью (рис. 4). Первый вариант характеризуется наименьшим уровнем шумов и соответственно максимальной пороговой чувствительностью, но вместе с тем и ограниченным динамическим диапазоном, а также сложностью изготовления и индивидуальной настройкой. Для второго варианта, напротив, типичны большой динамический диапазон и широкая полоса частот, но он уступает первому по порогу срабатывания. В широкополосных трансимпедансных усилителях наилучшие шумовые характеристики достигаются при использовании биполярных транзисторов.
Схема обработки сигнала представляет собой специальный электронный фильтр, предназначенный для уменьшения межсимвольной интерференции, т. е. частичного наложения импульсов на выходе усилителя вследствие дисперсионных явлений в световоде и динамических искажений в приемопередающих модулях. В схеме принятия решения (как правило, компараторе) сигнал сравнивается с заданным смещением (порогом) и принимается решение об истинности поступившей информации.
Кроме передающих и приемных модулей в линиях дальней связи необходимы также ретрансляторы, в данном случае активные устройства с оптическими входом и выходом, в которых осуществляется регенерация (восстановление) оптических сигналов по мере их затухания при прохождении по световоду. Практически ретранслятор представляет собой объединение приемного и передающего модулей, т. е. оптоэлектронное устройство с двойным преобразованием энергии вида свет — электричество-—свет. Развитие интегральной оптики и бистабильных оптических устройств обещает привести к созданию ретранслятора ВОЛС, непосредственно оперирующего с оптическими сигналами во всех звеньях.

Рис. 4. Схемы предварительных усилителей приемного модуля:
а — с интегрирующей
-цепочкой;
б — трансимпедансного усилителя (
—
полная входная емкость,
—
резистор обратной связи, ,
—
эквивалентное входное сопротивление,
— интегрирующая емкость,
—операционный
усилитель)
Коммутационные элементы (элементы связи). Это набор пассивных оптических элементов, приборов, устройств, обеспечивающих объединение линейного тракта (кабеля) и активных приемно-передающих модулей в единую систему передачи с произвольной структурной конфигурацией и с заданным алгоритмом распределения световых сигналов в этой системе. Коммутационные элементы содержат несколько групп изделий.
Оптические соединители предназначены для многократного сочленения-расчленения концов двух отрезков кабеля (соединители типа кабель — кабель) или конца кабеля с передающим (приемным) модулем (блочные соединители). По числу одновременно соединяемых световодов они делятся на одно- и многоволоконные. В типичном одноволоконном (однополюсном) оптическом соединителе (рис. 9.12,а) конец кабеля армируется жестким калиброванным цилиндрическим элементом так, чтобы оси этого элемента и сердцевины волокна строго совпадали. В этом случае при соединении цилиндрические элементы совмещаются с помощью направляющей муфты, автоматически обеспечивая и совмещение осей волокон. В многоволоконных (многополюсных) соединителях (рис. 9.12,6) чаще всего используют конструкцию с У-образными канавками, в которых и размещаются отдельные световоды. Кроме соединителей линейного типа (рис. 5) известны матричные с числом одновременно сочленяемых световодов .до 100... 150. Заметим, что число разновидностей опторазъемов, отличающихся друг от друга принципом сведения сочленяемых элементов, чрезвычайно велико: число наименований патентной литературы по этому направлению превышает несколько тысяч.



Рис. 5. Оптические коммутационные элементы:
а, б — однополюсный
и многополюсный соединители; в —
голографический коммутатор;
1 — кожух; 2 — волокно; 3 — армиров-ка; 4
— направляющая муфта; 5 — корпус; 6 —
волокна; 7 — цилиндрические выравнивающие
элементы; 8 — плоскость излучения
волокон); 9 — отклоняющий элемент; 10 —
плоскость приема Г
волокон)

Рис. 6. Зависимость вносимых потерь сочленения двухслойных волокон от зазора между торцами (а), угла перекоса (б) и несоосности (в)
Чисто внешне оптические соединители обычно оформляются так же, как электрические для унификации в сфере применения.
Основной параметр
оптического соединителя вносимые ш>
тери пропускания
;
приемлемый уровень этих потерь 1 дБ.
Величину
составляют
неидеальность механизма соединителя
(допуски при обработке деталей, истирание
и усадка, различие температурных
коэффициентов используемых материалов
и т. п.); несовершенство используемых
волокон (линейные колебания диаметра
и числовой апертуры, допуски на диаметры
сердцевины и оболочки, эллипсность их
сечений, эксцентриситет и т. п.);
технологические погрешности при заделке
(армировании) конца кабеля, обусловливающие
разъюстировку центров сердцевины
волокна и направляющего элемента;
воздействие внешних факторов (ударов,
вибраций, температуры, влажности и т.
п.) в процессе эксплуатации. При
расчете
используют
зависимости (теоретические или
эмпирические), подобные тем, которые
представлены на рис. 6. Из этих графиков
видно, что
1
дБ вполне реально, однако требует высокой
прецизионности во всех компонентах
сочленения.
Оптические разветвители, составляющие другую значительную группу рассматриваемых пассивных элементов, представляют собой устройства, в которых излучение, подаваемое на вход (или входы), распределяется по заданному закону между его выходами; наибольшее распространение получили направленные ответ-вители (разветвители) и типа «звезда» (рис. 6). В направленном ответвителе (рис. 7) выходы 3 и 4 должны быть связаны со входами 1 и 2 определенным образом, а входы / и 2 развязаны между собой. Основными параметрами этих устройств являются: коэффициент связи (от 0 до 100%, при 100% вся мощность входа / поступает только на выход 3); коэффициент направленности, характеризующий развязку входов / и 2, который обычно должен превышать 40... 60 дБ; вносимые потери, приемлемый уровень которых, как и в случае соединителя, близок к 1 дБ. Принцип

Рис. 7. Оптические двухполюсный направленный разветвитель (а) и типа «звезда» (б): 1 — сердцевина; 2 — зеркало; 3 — оболочка
действия ответвителя основан на «просачивании» части световой энергии из сердцевины в оболочку и через нее в другое волокно, контактирующее с первым на некотором протяжении. Практически такие элементы изготавливают путем спекания волокон цилиндрического или фоконного (конического) типа,, при этом для получения требуемых значений коэффициентов связи и направленности варьируют углы конусности, близость расположения волокон, длину области взаимодействия, размеры и состав характерных частей волокон.
Оптический разветвитель типа «звезда» предназначен для распределения входного сигнала между большим числом (до нескольких десятков) однотипных абонентов. Основу конструкции на рис. 9.14,6 составляет оптический смеситель, представляющий собой отрезок двухслойного световода большого диаметра с посеребренным торцом, в котором световой поток благодаря многократному отражению равномерно распределяется во все выходные световоды. Устройство обеспечивает минимальные потери сигнала, равенство этих потерь для любой пары выходов,, слабую зависимость потерь от числа обслуживаемых терминалов, надежность связи.
Оптические коммутаторы
представляют собой устройства,
функционально реализующие полнодоступную
схему с пг входами и п выходами, т. е.
с
полюсами;
в частном случае при
устройство называют оптическим
переключателем.
К числу основных параметров этих приборов относятся вносимые потери, степень подавления перекрестных помех (ослабление сигнала между незамкнутыми полюсами), а также быстродействие, оцениваемое временем переключения из одного состояния в другое. Кроме того, важны потребляемая устройством мощность* спектральная полоса пропускания, вносимые модовые искажения.
В устройстве оптических
коммутаторов используется много
различных физических принципов.
Исторически первые электромеханические
коммутаторы (например, с поворачивающимися
зеркалами или призмами) позволяют
относительно просто коммутировать
большое число каналов (до 8x8 и более),
однако быстродействие их очень мало
(около
с).
Кроме того, они громоздки и не выдерживают
всего комплекса эксплуатационных
воздействий (в частности, ударов и
вибраций). Значительно более совершенны
коммутаторы, использующие электро-,,
магнито-, акус-тооптические эффекты,
особенно при изготовлении этих устройств
в интегрально-оптическом исполнении.
Субнаносекундные скорости переключения,
вносимые потери на уровне 3... 6 дБ,
подавление перекрестных помех более
чем на 50 дБ, микроваттный режим управления
— все это представляется достижимым
для интегрально-оптических коммутаторов.
При этом одной из важнейших и сложных
проблем остается оптимальная стыковка
этих устройств с цилиндрическими
волокнами. Кроме того, интегрально-оптические
коммутаторы удобны лишь при сопряжении
небольшого (до 10) числа каналов.
Кардинальное решение
проблемы коммутации большого числа
каналов (
)
связано с созданием голографических
дифракционных решеток в оптических
реверсивных средах (рис. 9). При изготовлении
отклоняющей пластины, например из оксида
висмута-кремния (В80), можно записывать
и стирать голографические дифракционные
решетки в реальном масштабе времени.
Изменением пространственной частоты
дифракционной решетки можно получать
различные отклонения луча света в двух
взаимно перпендикулярных направлениях
и осуществлять тем самым коммутацию
каналов.
Дополнительное достоинство В80-кристаллов
— наличие внутренней памяти: наведенная
решетка сохраняется и после прекращения
записывающего воздействия. Кроме
рассмотренных трех основных групп
пассивных элементов ВОЛС имеется много
других. Оптические аттенюаторы, фильтры,
линии задержки, смесители мод, оптические
мультиплексоры, светоделители оказываются
очень полезными, а часто и необходимыми
при создании разветвленных
волоконно-оптических сетей передачи.
Новыми и достаточно специфическими являются элементы ввода-вывода излучения. Они выполняют функцию оптического согласования угловых апертур активных элементов (в первую очередь излучателя) и волокна. Оптимизация ввода излучения в волокно (рис. 10) может дать выигрыш по мощности до 10 дБ.
Объединение элементов в систему. Волоконно-оптическая связь с момента своего появления основывается на принципах передачи цифровой информации. Это обусловлено тремя основными причинами.

Во-первых, появление ВОЛС совпало со временем,, когда преимущества цифровых методов обработки и передачи информации перед аналоговыми стали очевидными; при этом зарождающееся направление не было связано какими-то старыми традиционными решениями. Во-вторых, широкопол осность ВОЛС сразу удовлетворяла требованиям цифровой связи. В-третьих, оптоэлектронный канал лазер — волокно — фотодиод не обладает необходимой линейностью передаточной характеристики и линеаризация ее очень сложна.
При передаче аналоговой информации (а исходная, первичная информация чаще всего имеет аналоговую форму) она перед поступлением в ВОЛС проходит ряд преобразований: дискретизацию (стробирование), кодирование (аналого-цифровое преобразование) и мультиплексирование (уплотнение отдельных информационных каналов).
Код передачи (или код системы связи) характеризует такие специфические отметки в передаваемой двоичной информации, которые в приемнике позволяют установить их однозначное соответствие цифровому сигналу, возбуждающему передатчик. Известно много вариантов кодирования; при выборе оптимального кода руководствуются такими соображениями, как простота кодирующего устройства, узкая полоса рабочих частот (это упрощает схему приемника и уменьшает эквивалентный входной шум), возможность одновременно с сообщением передавать и синхросигналы, исключение случайных ошибок передачи и т. п.
Широко распространенными
являются (рис. 11) код «без возврата к
нулю» (БВН или
в английском написании) и двухфазный
код типа
(или
«Манчестер-П»). Для подавляющего
большинства случаев простейший код БВН
удовлетворяет всем требованиям передачи
данных.


Рис. 12. Кодирование:а — передаваемая информация; б — тактовые (синхро-) сигналы; в — код «без возврата к нулю»; г — код «Манчестер-П»
а — передаваемая информация; б — такто- мой мощности на входе приемного
вые (синхро-) сигналы; в — код «без воз- модуля и скорости передачи дискрет-
/ —
фотодиод
и полевые транзисто-
ры; 2 —
-фотодиод
и биполярные тран-
зисторы; 3 — ЛФД и полевые транзисторы;.
4 — ЛФД н биполярные транзисторы
Поскольку он не требует операций кодирования и декодирования и эффективно использует полосу частот канала связи, характеристики кода задают некоторый стандарт, относительно которого оцениваются показатели других кодов. В БВН-коде поток данных отображается серией уровней напряжений, постоянных на интервале каждого передаваемого разряда. В манчестерском коде, напротив, каждый двоичный разряд соответствует переходу уровней, причем направление перехода определяет значение двоичной переменной (лог. 1 —- переход «вниа»-,. лог. О — переход «вверх»), В БВН-коде длинная последовательность единиц (или нулей) образует постоянный уровень, поэтому спектр БВН-сигнала занимает полосу от постоянной составляющей до половины тактовой частоты; манчестерский код занимает полосу от половины до полного значения тактовой частоты (поэтому приемник может быть узкополосным). Другими достоинствами манчестерского кода являются свойство самосинхронизации (передача тактового сигнала одновременно с сообщением), простота обнаружения ошибок, сбалансированность по постоянной составляющей. Эти особенности кода «Манчестер-П» проявляются с наибольшим эффектом при мультиплексировании нескольких каналов передачи информации в одном световоде; для одноканальной связи вполне достаточным (и оптимальным) является БВН-код.
Ошибки па приемном
конце (восприятие лог. 1 вместо лог. О
или наоборот) возникают из-за искажения
сигнала при прохождении по тракту
(затухание, дисперсия, шумы). Мерой
качества передачи сигнала является
вероятность ошибки У, приемлемый уровень
этого параметра
,
т. е. не более одного сбоя на
бит
информации. Дальнейшее повышение
надежности передачи обеспечивается не
аппаратурными, а логическими методами
защиты; Если шумовой ток на входе
приемника
есть
случайная гауссовская переменная, то
его колебания подчиняются распределению
Пуассона и нетрудно получить

где — ток фотоприемника,
обусловленный оптическим сигналом.
Из
(У.21)
следует, что
обеспечивается при
При
расчете
системы учитывается последовательное
ослабление сигнала во всех элементах
ВОЛС:

где в правой части
приведены потери сигнала в излучателе,
при вводе в волокно, в тракте [
из
(13)], в
оптических
соединителях, при выводе и в фотоприемнике.
При наличии кроме соединителей'других
коммутационных элементов их потери
пропускания также вводятся в правую
часть (9.22). Из-за неопределенности ряда
членов правой части (в частности,
практически невозможно оценить значения
в
(9.20)) недопустимо работать на уровне
;
реально должен быть обеспечен запас
энергетического потенциала линии.
' Расчет по (9.22) справедлив лишь для статического низкочастотного режима работы; с ростом скорости передачи информации необходимая минимальная мощность бессбойно передаваемого сигнала растет (рис. 9.17).
Приведенные соображения касаются простейшей линии связи, соединяющей две точки. Конфигурации сетей связи сложнее; наиболее типичны соединения типа «шина», «кольцо», «звезда» (рис. 9.18). В этих случаях расчет соответственно усложняется.
Все созданные ВОЛС
используют приемники прямого
детектирования, которые не являются
оптимальными. С 1980 г. начались исследования
по перенесению принципа гетеродинного
приема в область оптических частот.
Структурная схема гетеродинного
фотоприемника (рис. 9.19) содержит такие
дополнительные элементы, как опорный
лазер, оптический смеситель в виде
полупрозрачного зеркала, полосовой
фильтр с комплексным коэффициентом
передачи
настроенным
на частоту биений
Гетеродинный фотоприем имеет ряд принципиальных преимуществ перед прямым детектированием. Во-первых, улучшается отношение сигнал-шум, поскольку при достаточной мощности гетеродина уровень приема ограничивается только дробовыми шумами принимаемого сигнала. Во-вторых, становится возможным применение таких помехоустойчивых видов модуляции, как частотная (ЧМ) и фазовая (ФМ), тогда как при прямом детектировании ж>


Рис. 14. Блок-схема оптического супергетеродинного приемника:
=Ф- — оптический сигнал; —* — электрический сигнал пользуется лишь амплитудная модуляция. Оба обстоятельства ведут к повышению избирательности и чувствительности; в ряде случаев выигрыш может достигать 10 дБ. Поэтому может быть либо увеличена длина межретрансляционного участка, либо повышена скорость передачи информации.
Важным достоинством гетеродинирования является также возможность переноса операции разделения каналов передачи многоканальной системы связи в радиочастотный диапазон, где она осуществляется более простыми и отработанными средствами, чем в оптическом диапазоне.
Однако оптическое гетеродинирование требует преодоления
значительных технических трудностей. Прежде всего резко повышаются требования к когерентности и стабильности (долговременной и кратковременной) используемых в передатчике и гетеродине лазеров. Становится обязательным применение внутреннего или внешнего резонатора, обеспечивающего избирательность мод, введение термостатирования и широкополосных устройств стабилизации несущей частоты. В приемнике появляется новый диапазон промежуточных частот, в котором и осуществляется основная обработка принятого сигнала.
Гетеродинирование, дающее существенное повышение качественных показателей ВОЛС, требует создания новой элементной базы.
2. Основные типы современных световодов
Основные типы современных световодов имеют апертурный угол >A> в пределах от11,5 до 17 градусов (рис.2.)
В ступенчатом одномодовом волокне (Standart Fiber) диаметр светонесущей жилы составляет 8-10 мкм и сравним с длиной световой волны. В таком волокне распространяется только один луч (одна мода). Одномодовый режим реализуется в окнах прозрачности 1310 и 1550 нм. Распространение одной моды устраняет межмодовую дисперсию и обеспечивает высокую пропускную способность в этих окнах прозрачности.
В одномодовом волокне со смещенной дисперсией (Disperrsion-Shifted Fiber) длина волны, на которой реализующая дисперсия обращается в 0, - длина волны нулевой дисперсии >0> - смещена в окно 1550 нм. Такое смещение достигается благодаря специальному профилю показателя преломления волокна. Таким образом, в волокне со смещенной дисперсией реализуются наилучшие характеристики как по минимуму дисперсии, так и по минимуму потерь. Рабочая длина волны берется близкой к 1550 нм.
Одномодовое волокно с ненулевой смещенной дисперсией (NZDSF), в отличие от DSF, оптимизировано для передачи не одной, а сразу нескольких длин волн (мультиплексного волнового сигнала) и наиболее эффективно может использоваться при построении магистралей “полностью оптических сетей” - сетей, на узлах которых не происходит оптоэлектронного преобразования при распространении оптического сигнала.
Передача мультиплексного сигнала на большие расстояния требует использования линейных широкополосных оптических усилителей. Линейные усилители типа EDFA (эрбиевые усилители на основе легированного эрбием волкна) эффективно могут усиливать сигнал в своем рабочем диапазоне от 1530-1560 нм. Длина волны нулевой дисперсии у волокна ZNDSF, в отличие от волокна DSF, выведена за пределы этого диапазона, что значительно ослабляет влияние нелинейных эффектов в окрестности точки нулевой дисперсии при распространении нескольких длин волн. В стандартном многомодовом градиентном волокне диаметр светонесущей жилы на порядок больше длины волны передачи. В ступенчатых многомодовых волокнах траектории лучей отдельных мод имеют вид зигзагообразных линий.
В градиентном световоде показатель преломления плавно снижается по мере удаления от оси по закону, близкому к квадратичной параболе. Траектория распространения большинства лучей представляют собой плавные кривые. Если сравнивать многомодовые волокна между собой, то градиентное волокно имеет лучшие технические характеристики, чем ступенчатые, по дисперсии. Главным образом это связанно с тем, что межмодовая дисперсия
в градиентном волокне – основной источник дисперсии – значительно меньше, чем в ступенчатом, что приводит к увеличению пропускной способности у градиентного волокна.

а) Ступенчатое многомодовое волокно

б) Ступенчатое одномодовое (слева)
в) Одномодовое волокно волокно со смещенной дисперсией или NZDSF (справа)
Рис. 15. Типы оптических волокон
В многомодовом волокне используется окно прозрачности 850 и 1310 нм.
Основные стандарты, использующиеся в ВОЛС
многомодовое градиентное волокно 50/125
многомодовое градиентное волокно 62,5/125
одномодовое градиентное волокно >SF 8-10/125
одномодовое волокно со смещенной дисперсией 8-10/125
одномодовое волокно с ненулевой смещенной дисперсией (схоже с предыдущим типом) (табл.1).
Таблица 2.1
Стандарты оптических волокон и области их применения
|
Волокно |
|||
|
Многомодовое волокно |
Одномодовое волокно |
||
|
Стандарт |
Область применения |
Стандарт |
Область применения |
|
ММF 50/125 Градиентное волокно |
ЛВС (Ethernet, Fast/Gigabit Ethernet, FDDI, ATM) |
SF (NDSF) Cтупенчатое волокно |
Протяженные сети (Ethernet, Fast/Gigabit Ethernet, FDDI, ATM, магистрали SDH) |
|
MMF 62.5/125 Градиентное волокно |
ЛВС (Ethernet, Fast/Gigabit Ethernet, FDDI, ATM) |
DSF Волокно со смещенной дисперсией |
Сверхпротяженные сети, супермагистрали (SDH, ATM) |
|
NZDSF Волокно с ненулевой смещенной дисперсией |
Сверхпротяженные сети, супермагистрали(SDH, ATM), полностью оптические сети |
3. ОСНОВЫ ФОТОМЕТРИИ
3.1. Свет и его основные свойства

Спектр электромагнитных
излучений представлен на рисунке. К
оптическому диапазону традиционно
относят электромагнитные волны длиной
м. Однако практически из данного диапазона
средствами оп-тоэлектроники используется
область 0,1-100 мкм. Это обстоятельство не
является случайным. По энергетической
шкале данному диапазону соответствует
область энергий 0,01-10 эВ. Кванты света с
такой энергией способны возбуждать
только валентные электроны в собственных
и примесных полупроводниках. Действительно,
ширина запрещенной зоны широкозонных
полупроводников составляет единицы
электронвольт, а энергия возбуждения
примесных атомов в германии и кремнии
- сотые доли электронвольт. Вне этого
интервала энергий взаимодействия света
с веществом носят качественно иной
характер. Так, при углублении в
коротковолновую область спектра начинает
сказываться возбуждение электронов
внутренних оболочек атома, а в
длинноволновой области, когда фотоны
уже не способны ионизировать атомы
вещества, их воздействие проявляется
в виде экситонной и фотонной генерации.
Весь оптический диапазон разбит на три
основные области:
1)
0,75
мкм - инфракрасная (ИК);
2) 0,395
0,75
мкм - видимая (видимый свет);
3)
0,395
мкм - ультрафиолетовая (УФ).
Каждая из этих областей делится на несколько поддиапазонов (см. рис. 1.1).
Как известно, свет
обладает одновременно волновой и
корпускулярной природой. В волновом
аспекте он представляет собой
электромагнитные колебания, излучаемые
атомами вещества при изменении их
энергетического состояния. Эти волны
распространяются в вакууме со скоростью
с = 299792458 м/с, а в веществе с меньшей
скоростью
где
показатель преломления среды. Частота
V
и длина волны А. связаны соотношением
т.е.
в вакууме
Световая монохроматическая
волна создается взаимно ортогональными
и синусоидально изменяющимися во времени
и пространстве электрическим и магнитным
полями, перпендикулярными направлению
ее распространения. Световая волна
может быть когерентной, если все атомы
вещества излучают волны, фаза и направление
распространения которых совпадают,
либо некогерентной, если каждый атом
излучает оптическую волну, имеющую
независимые фазу и направление
распространения, случайным образом
меняю щиеся во времени. Фотоны
рассматриваются как корпускулы, когда
речь идет о взаимодействии света с
веществом. В этом случае монохроматическое
излучение можно представить как поток
элементарных частиц, каждая из которых
обладает элементарной энергией
,
где
=
6,626 • 10-34
Дж • с - постоянная Планка. В веществе
электроны связаны с атомами, и чтобы
стать свободными, они должны получить
энергию
,
равную энергии их связи. При поглощении
фотона атомом происходит освобождение
электрона, если
т.е.
.
Максимальная длина волны излучения,
способная вызвать освобождение электрона,
называется пороговой длиной волны
т.
е.
[мкм]
= 1,237/
[эВ].
Таблица 3.1 Основные энергетические и фотометрические величины


Рис. 3.1. Спектр электромагнитных излучений [1]
3.2 Энергетическая фотометрия
Величины, относящиеся
к оптическому излучению, можно оценивать
либо с учетом произведенного зрительного
впечатления (визуальная фотометрия),
либо исключительно по количеству
энергии, ее распределению в пространстве
и времени (энергетическая фотометрия).
Основным параметром системы энергетических
величин является поток излучения
-
средняя
мощность, передаваемая оптическим излучением за время, значительно большее периода электромагнитных колебаний.
Спектральный состав
излучения характеризуется спектральным
распределением потока излучения -
функцией
.
Таким образом, мощность, переносимую
потоком излучения во всем интервале
длин волн, определяют
(1.1)
Основные величины, характеризующие энергетические и визуальные параметры оптического излучения, приведены в табл. 1.1 [2, 3].
В некоторых случаях, когда в качестве основного параметра при описании энергетической системы принимают энергию излучения, связь энергии с потоком излучения можно записать в дифференциальной форме

Оба варианта описания равнозначны и отличаются разве что формой написания основных формул. Рассмотрим подробнее основные фотометрические величины.
Энергетическая сила
света (сила излучения) - пространственная
плотность потока излучения, определяемая
отношением потока излучения
к
телесному углу
(в
стерадианах), в пределах которого
заключен этот поток

где
-
телесный угол, имеющий в вершине источник
излучения, определяется как отношение
площади сферической поверхности
внутри
конуса этого угла к квадрату радиуса
сферы (рис. 1.2)

Энергетическая светимость М>с>(поверхностная плотность потока излучения) - поток излучения, отнесенный к единице площади излучающей поверхности

где
-
площадь поверхности источника излучения.
Необходимо отметить,
что светимость недостаточно полно характеризует параметры излучателя, и для полной характеристики необходимо знать направленность потока излучения.
Энергетическая яркость -сила излучения с единицы излучающей поверхности в данном направлении, отнесенная к площади ортогональной проекции излучающей поверхности на плоскость, перпендикулярную указанному направлению (рис. 3.2)
,(1.6)
где
-
угол между нормалью К излучающей
поверхности и направлением, в котором
производится изме-

„>с>. 3.2. Пояснения к определению силы света
рение силы излучения;
-
энергетическая сила света в направлении
- площадь элемента поверхности
источника. Необходимо отметить, что
яркость не является основной характеристикой
источника. Например, у двух излучателей,
обладающих одинаковой яркостью, но
разной площадью светящейся поверхности,
можно с помощью оптической системы
уравнять наблюдаемые площади свечения.
В этом случае излучатель с большей
активной площадью окажется ярче в число
раз, равное отношению
(если
принять
).
Энергетическая
освещенность
(плотность мощности) - мощность потока
излучения, приходящаяся на единицу
площади облучаемой поверхности

(1.7)
где
-
площадь облучаемой поверхности.
В случае, когда приходится иметь дело с равнояркими источниками, для определения силы света и потока излучения от тел простой формы легко получить следующие расчетные формулы:

Рис. 1.4. Диаграммы направленности равноярких излучателей: а - плоского; б - шарообразного; в – цилиндрического
для плоской излучающейв одну сторону площадки (рис. 1.4, а)

для шара диаметром
(рис.
1.4, б)

для цилиндра с неизлучающимиторцами (рис. 1.4,в)

Связь между интегральными и спектральными характеристиками определяется выражениями

3.3 Визуальная фотометрия
При определении мощности излучения по производимому им световому ощущению, т.е. по реакции глаза человека, пользуются световым потоком и другими соответствующими величинами (см.табл.1.1). Причем учет чувствительности глаза к различным участкам видимого спектра производится с помощью кривой относительной спектральной световой эффективности У(Х) (старое название - кривая дневной видности) (рис. 1.5).
Для длины волны
=
0,555 мкм эта чувствительность максимальна:
=
1,0. Различные величины в визуальной
фотометрии можно оценить умножением
соответствующей энергетической величины
на коэффициент
где
-
кривая видности, а
-
эмпирический коэффициент, который взят
из определения канделы*. Тогда

для монохроматического
излучения с диной волны
можно
записать

Для непрерывного спектра излучений полный поток можно получить суммированием потоков, соответствующих различным длинам волн спектра

где величина
представляет
собой поток
заключенный в диа-
пазоне от
Если в качестве пределов интегрирования
подставить
значения 0,38 и 0,76 мкм,
соответствующие границам видимого
диапазона, то можно оценить эффективный
поток для человеческого глаза. Аналогичным
образом может быть проведена оценка и
для любого другого селективного
фотодетектора. В этом случае в формулу
(1.17) необходимо подставить вместо кривой
видности
функцию
относительной спектральной чувст-
вительности детектора
Выражения, аналогичные
(1.16) и (1.17), можно записать для любой
величины
в
визуальной фотометрии из соответствующей
ей энергетической величины
Тогда
для монохроматического
излучения
а для непрерывного
спектра излучений, заключенного между
длинами волн
соответственно имеем

В таб. 1.2 приведены оценочные значения величин яркости и освещенности, создаваемых различными источниками света.

4. ПРИЕМНИКИ ОПТИЧЕСКОГО ИЗЛУЧЕНИЯ
4.1 Классификация приемников излучения
Приемник оптического излучения (фотоприемник, ФПМ) - это опто-электронный прибор, предназначенный для приема и преобразования оптического излучения в какие-либо другие виды энергии. По механизму преобразования энергии можно разбить на три основные группы (рис. 2.1) [4,5]:
фотоэлектрические, работающие на основе внутреннего и внешнего фотоэффекта:
тепловые, преобразующие оптическую энергию сначала в тепловую, а потом в электрическую или какую-либо иную;
фотохимические, преобразующие энергию излучения в энергию химических реакций.
4.2 Параметры и характеристики ФПМ
Для описания технических свойств ФПМ с целью их эффективного применения разработана система параметров и характеристик - ГОСТ 21934-83 и ГОСТ 20526-82. В этом разделе рассмотрим те из них, которые наиболее важны при разработке электронных устройств на основе оптоэлек-тронных приборов [6, 7].
2.2.1. Параметры напряжений, сопротивлений и токов ФПМ
Рабочее напряжение
-
постоянное напряжение, приложенное к
ФПМ, при котором обеспечиваются
номинальные параметры при длительной
его работе.
Темновой ток
-
ток, протекающий через ФПМ при указанном
напряжении на нем в отсутствие потока
излучения в диапазоне спектральной
чувствительности.
Фототок
-
ток, проходящий через ФПМ при указанном
напряжении на нем, обусловленный только
воздействием потока излучения с заданным
спектральным распределением.
Общий ток
-
ток ФПМ, состоящий из темнового тока и
фототока.
Напряжение (ток)
фотосигнала
-
изменение напряжения (тока) на ФПМ,
вызванное действием на ФПМ потока
излучения источника фотосигнала.
Темновое сопротивление
-
сопротивление ФПМ в отсутствие падающего
на него излучения в диапазоне его
спектральной чувствительности.
Световое сопротивление
-
сопротивление ФПМ при воздействии на
него потока излучения в диапазоне его
спектральной чувствительности.

Рис. 2.1. Классификация приемников оптического излучения
4.2.2 Параметры чувствительности фотоэлектронных приборов
1. Чувствительность
-
отношение изменения значения электрической
величины на выходе ФПМ, вызванного
падающим на него излучением, к
количественной характеристике этого
излучения, представленной любой
энергетической или фотометрической
величиной. Наиболее часто используются:
чувствительность
ФПМ к потоку излучения
;
чувствительность
к световому потоку
или
чувствительность
к облученности
;
чувствительность
к освещенности
или
вольтовая
чувствительность
токовая чувствительность
Интегральная
чувствительность
-
чувствительность ФПМ к излучению
данного спектрального состава.
Монохроматическая
чувствительность
-
чувствительность ФПМ к монохроматическому
излучению.
Наклон люксометрической
характеристики фоторезистора
-
тангенс угла наклона линейного участка
люксометрической характеристики,
построенной в двойном логарифмическом
масштабе.
4.2.3 Пороговые и шумовые параметры ФПМ
Напряжение
шума
ФПМ - среднее квадратичное значение
флуктуации напряжения (общего тока) в
цепи ФПМ в заданной полосе частот.
Порог чувствительности
-
среднее квадратичное значение первой
гармоники действующего на ФПМ
модулированного потока излучения
сигнала с заданным спектральным
распределением, при котором среднее
квадратичное значение первой гармоники
напряжения (тока) фотосигнала равно
среднему квадратичному значению
напряжения (тока) шума в заданной полосе
на частоте модуляции потока излучения.
3. Порог чувствительности
в единичной полосе частот
или
ЫЕР
среднее квадратичное значение
первой гармоники действующего на
ФПМ
модулированного потока излучения
источника фотосигнала с заданным
спектральным
распределением, при котором среднее
квадратичное значение
первой гармоники
напряжения (тока) фотосигнала равно
среднему квадра
тичному значению
напряжения (тока) шума, приведенному к
единичной по
лосе на частоте модуляции
потока излучения.
4. Удельный порог
чувствительности
или
- порог чувствительности, приведенный
к единичной полосе частот и единичному
по площади фоточувствительному элементу.
5. Обнаружительная
способность
-
величина, обратная порогу чувст
вительности,
6. Удельная
обнаружительная способность
- величина, обратная удельному порогу
чувствительности,
4.2.4 Параметры спектральной характеристики ФПМ
1. Длина волны максимума спектральной чувствительности ^.„акс ~ длина волны, соответствующая максимуму спектральной характеристики чувствительности.
Коротковолновая
(длинноволновая) граница спектральной
чувствительности
-
наименьшая (наибольшая) длина волны
монохроматического излучения, при
которой монохроматическая чувствительность
ФПМ равна 0,1 ее максимального значения.
Область спектральной
чувствительности
-
диапазон длин волн спектральной
характеристики, в котором чувствительность
ФПМ составляет не менее
своего
максимального значения.
4.2.5 Геометрические параметры ФПМ
1. Эффективная фоточувствительная площадь ФПМ (А>Э>ф) _ площадь фоточувствительного элемента эквивалентного по сигналу ФПМ, чувствительность которого равномерно распределена по фоточувствительному элементу и равна номинальному значению локальной чувствительности данного ФПМ. Определяется соотношением

где
-
номинальное значение локальной
чувствительности в точке
(обычно центр чувствительного
элемента в ФПМ); А - полная площадь
чувствительного элемента ФПМ:
-
чувствительность к потоку излучения
точки на фоточувствительном элементе
ФПМ с координатами
Плоский угол зрения
-
угол в нормальной к фоточувствительному
элементу плоскости между направлениями
падения параллельного пучка излучения,
при которых фотосигнал уменьшается до
заданного уровня.
Эффективное поле
зрения
-
телесный угол, определяемый соотношением
где
-
напряжение фотосигнала;
-
азимутальный угол;
-
угол между направлением падающего
излучения и нормалью к фоточувствительному
элементу.
4.2.6 Параметры инерционности ФПМ
1. Время нарастания
(спада)
или
соответственно
– ми нимальный интервал времени между
точками нормированной переходной
(обратной переходной) характеристики
со значениями 0,1 и 0,9 соответственно.
2. Время установления
переходной характеристики ФПМ по уровню
- минимальное время от начала импульса
излучения, по истечении
которого максимальное
отклонение нормированной переходной
характеристики
от
установившегося
значения
не превышает
Предельная частота
ФПМ
-
частота синусоидально модулированного
потока излучения, при которой
чувствительность ФПМ падает до значения
0,707 от чувствительности при немодулированном
напряжении.
Емкость ФПМ С - собственная емкость ФПМ.
Спектральные характеристики ФПМ
Спектральная
характеристика чувствительности
-
зависимость монохроматической
чувствительности ФПМ от длины волны
регистрируемого потока излучения.
Абсолютная спектральная
характеристика чувствительности
-зависимость
монохроматической чувствительности,
измеренной в абсолютных единицах от
длины волны регистрируемого потока
излучения.
3. Относительная
спектральная характеристика
чувствительности
зависимость монохроматической
чувствительности, отнесенной к значению
максимальной монохроматической
чувствительности, от длины волны
регистрируемого потока излучения.
2.2.8. Основные характеристики зависимости параметров ФПМ
Энергетическая
характеристика фототока ФПМ
-
зависимость фототока от потока или
плотности потока излучения, падающего
на ФПМ.
Энергетическая
характеристика напряжения
(тока
I
фотосигнала - зависимость напряжения
(тока) фотосигнала от потока или плотности
потока излучения падающего на ФПМ.
Частотная характеристика
чувствительности ФПМ
-
зависимость чувствительности ФПМ от
частоты модуляции потока излучения.
4. Переходная (обратная
переходная) нормированная характеристика
- отношение фототока, описывающего
реакцию ФПМ в зависимости от
времени, к установившемуся значению фототока при воздействии импульса излучения в форме единичной ступени (при резком прекращении воздействия излучения).
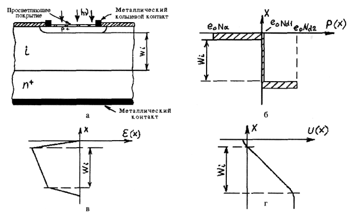
Устройство р-i-п-фотодиода
В предыдущем разделе
мы рассмотрели взаимодействие света с
ри-переходом. На основе
-переходов
функционирует основная масса современных
ФПМ. К числу наиболее простых и
распространенных ФПМ относятся
фотодиоды
(ФД). Такие ФД представляют собой
трехслойную структуру, в которой между
слоями
типов
находится слаболегированный тонкий
слой,
или, как говорят, слой с собственной
проводимостью. Такая структура позволяет
сформировать тонкий высоколегированный
■слой, практически полностью пропускающий
падающее излучение, на поверхности
слоя
с собственной проводимостью
типа.
Как известно, распространение обедненного
слоя внутрь материала пропорционально
удельному сопротивлению материала;
особенно широк этот слой, следовательно,
на границах
Обратного напряжения
в несколько вольт достаточно, чтобы
обедненная область распространилась
на весь
слой.
Ширина
слоя
выбирается таким

Рис. 2.20.Конструкция
и диаграмма, поясняющие действие
фотодиода:
а - структура
фотодиода;
б - распределение заряда в
-структуре;
в – распределение напряженности поля
в
структуре;
г - распределение потенциала в
обратносмещенной
структуре
образом, чтобы
обеспечить практически полное поглощение
падающего излучения, что позволяет
получить высокую квантовую эффективность.
Поперечное сечение
фотодиода,
а также распределение концентраций
зарядов, напряженности электрического
поля и потенциала в
структуре
при обратном смещении, представлено на
рис. 2.20. Считая в первом приближении
поле внутри
слоя
однородным, можно записать

где
-
напряжение обратного смещения, приложенное
к электродам ФД;
- ширина
слоя.
Собственную емкость ФД можно представить
как емкость плоского конденсатора и
записать в виде

где
-
относительная диэлектрическая
проницаемость полупроводника; го -
диэлектрическая проницаемость вакуума;
-
площадь
перехода;
-
ширина
слоя, или, точнее, ширина слоя объемного
заряда.
4.5.3 Режимы работы фотодиода
В зависимости от
схемы подключения ФД к электрической
цепи различают два режима работы ФД:
фотогальванический и фотодиодный.
Параметры и характеристики ФД в этих
режимах имеют некоторые отличия. Режим
включения, когда внешний источник
питания смещает
-переход
ФД в обратном направлении, называется
фотодиодным. Принципиальная схема
включения диода в этом режиме представлена
на рис. 2.21. Схема характеризуется наличием
источника ЭДС С/Ип, напряжение которого
приложено к диоду в обратном направлении
и нагрузочным резистором
с
которого
снимается выходной
сигнал
При
включении ФД в обратном смещении
ток, протекающий через фотодиод-, равен

где
-
напряжение, приложенное к
ФД (с учетом знака);
- фототок
(см.(2.46)). При достаточно
большом обратном напряжении
экспоненциальный член становится
достаточно малым и тогда

Описать электрическую схему (рис. 2.21) можно следующим соотношением:



Воспользовавшись
формулами (2.51)—(2.53), легко построить
нагрузочную прямую на графике семейства
вольт-амперных характеристик ФД (см.
рис. 2.22). Рабочая точка определяется
пересечением нагрузочной прямой и
соответствующей данному потоку ветви
характеристики ФД. Максимальный поток
излучения, который можно зарегестрировать
при заданных
определяется пересечением нагрузочной
кривой с осью ординат. В аналитической
форме это можно записать следующим
образом:

где
.
- токовая чувствительность ФД;
-
максимальный поток излуче-
ния, который может зарегистрировать ФД в фотодиодном режиме.
Необходимо отметить,
что фотодиодный режим работы является
линейным, так как ток, протекающий через
ФД
и напряжение на нагрузке
прямопропорциональны потоку излучения.
Если ФД не имеет
внешнего источника питания, он работает
как преобразователь энергии светового
излучения в электрическую и эквивалентен
генератору, характеризующемуся
напряжением холостого хода
или
током короткого замыкания
Схема включения ФД в фотогальваническом
режиме приведена на рис. 2.23. Вольт-амперные
характеристики для диода, включенного
в фотогальваническом режиме, приведены
на рис. 2.24. Чтобы получить основные
соотношения для фотогальванического
режима, вспомним формулу (2.46) для
р-п-перехода под действиием потока
излучения, которую можно переписать в
следующем виде:



где
-
напряжение ненагруженного ФД, которое
фактически равно изменению потенциала
барьера
-перехода
Таким
образом,
получаем
Из формулы (2.56)
следует, что пои малой облученности,
т.е. пр!
зависимость напряжения на ФД от фототока,
а следовательно, и от потока излучения
близка к линейной

При больших значениях
облученности, когда
,
эта зависимость - логарифмическая

Нагрузочная прямая
для фотогальванического
режима
описывается формулой




5.
ПОЛУПРОВОДНИКОВЫЕ ИСТОЧНИКИ ОПТИЧЕСКОГО
ИЗЛУЧЕНИЯ
5.1 Виды генерации оптического излучения
Можно выделить два основных вида: генерация в результате нагревания, иначе говоря, тепловое излучение; люминесцентное излучение.
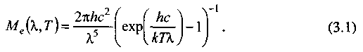
Тепловое излучение присуще всем нагретым телам и хорошо изучено. Спектр излучения (светимость) физического тела, нагретого до определенной температуры описывается формулой Планка

Анализ формулы (3.1) показывает, что при температуре, близкой к комнатной, или при незначительном нагреве спектр излучения тела практически целиком лежит в ИК-области. При нагреве тела до значительной температуры (1000 К) происходит все большее смещение максимума теплового излучения в видимую область спектра при увеличении светимости.
Типичным примером теплового излучателя может служить электрическая лампа накаливания. Однако такие недостатки, как высокая инерционность, низкий КПД, отсутствие направленности, очень широкий спектр излучения, а также хрупкость и несовместимость с технологией ИС привели к тому, что тепловые излучатели находят ограниченное применение в опто-электронике, обычно в некоторых типах оптронов и оптронных схем.
Основу современной оптоэлектроники составляют люминесцентные генераторы оптического излучения. Явление люминесценции известно уже более полувека, однако лишь в последние два десятилетия наблюдалось бурное развитие приборов на ее основе. Существует несколько видов люминесценции, из которых наиболее важными представляются электро- и фотолюминесценция. В первом случае возбуждение атомов вещества происходит под действием электрического поля, а во втором - путем поглощения более коротковолнового оптического излучения. Электролюминесценцию можно, в свою очередь, разделить на два вида: катодолюминесценция, которая вызывается свечением люминофора под действием ускоренных в электрическом поле заряженных частиц и широко применяется в различных типах вакуумных и газоразрядных приборов; и инжекционная люминесценция, происходящая за счет излучения фотонов электронами при изменении их энергетического состояния, вызванного протеканием электрического тока. В этом разделе будет рассмотрена инжекционная люминесценция и приборы, работающие на ее основе, такие, как светодиоды и инжекционные лазеры.

5.2 Светодиоды
Светодиодом или
светоизлучающим диодом (СИД) называется
полупроводниковый прибор с
переходом,
протекание тока через который вызывает
интенсивное некогерентное излучение.
5.2.1 Основные параметры и характеристики светодиодов
Параметры и характеристики СИД можно разбить на две группы: к первой отнести величины, характеризующие светодиод как генератор оптического излучения, а ко второй - параметры, определяющие рабочие режимы. Кроме того, следует помнить, что в зависимости от назначения, например для индикаторных светодиодов, ИК-диодов, излучательных диодов для ВОЛС, может несколько изменяться система параметров и характеристик, приводимых в паспорте прибора. Рассмотрим последовательно основные параметры и характеристики СИД.
1. Сила света
-
обычно приводится при заданном значении
прямого тока через диод и измеряется в
канделах. Аналогичным параметром для
ИК-диодов является мощность излучения
которая
опреде ляется как поток излучения
определенного спектрального состава,
излучаемый СИД при заданном прямом
токе, и измеряемый в ваттах. Для быстро
действующих ИК-диодов воз можно задание
импульсной мощности излучения
2. Световая характеристика
СИД - зависимость силы света от прямого
тока, т.е.
Графики зависимости
для
некоторых типов светодиодов приведены
на рис. 3.6. Как видно из приведенных
зависимостей, на начальном участке при
малых токах зависимость силы свет
а
Рис. 3.7. Зависимости мощности излучения (а) и импульсной мощности излучения (б) в отн. ед. от протекающего прямого и импульсного прямого тока соответственно (показаны зоны разброса и усредненная кривая)
от протекающего тока существенно нелинейна из-за сильного влияния безиз-лучательных процессов. При значительных уровнях протекающего тока характеристика становится более линейной; обычно рабочая область выбирается именно на этом участке.
Для светодиодов
ИК-диапазона аналогичную роль выполняет
ватт-амперная характеристика, показывающая
зависимость мощности, излучаемой диодом,
от протекающего прямого тока
,
а для некоторьгх приборов приводится
также зависимость
импульсной мощности излучения от
амплитуды импульса прямого тока
(рис.
3.7).
Как видно из рис. 3.7, ватт-амперные характеристики ИК-светодиодов более линейны по сравнению со световыми характеристиками диодов видимого спектрального диапазона. Линейность сохраняется, за исключением малого начального участка, вплоть до очень высоких импульсивных токов инжекции. Это объясняется тем, что для ИК-светодиодов подбирают исключительно материалы с прямозонной структурой, в то время как в светодиодах видимого спектра часто используют непрямозонные полупроводники с легирующими присадками.


3. Спектральная характеристика СИД - выражает зависимость интенсивности излучения от длины волны излучаемого света. Вид спектральной характеристики обычно целиком определяется материалом активной области светодиода и характером легирующих примесей. Спектральные характери стики современных светодиодов, изготовленных из различных материалов,приведены на рис. 3.8 [44].
Ин/ересно отметить,
что спектральная характеристика
светодиода на основе
легированного
одновременно азотом и оксидом цинка,
имеет два
выраженных максимума в красном и зеленом участках спектра. В зависимости от количества легирующих примесей, внедренных в структуру излучающего кристалла при изготовлении, можно получить любые промежуточные цвета от зеленого до красного включительно. Примером светодиода, где реализован этот принцип получения цветов, может служить ЗЛ341Е, обладающий желтым цветом свечения.
Спектр излучения
светодиода характеризуется двумя
основными параметрами: длиной волны
максимума спектрального распределения
и
шириной спектра излучения по уровню
0,5 от максимальной интенсивности
4. Диаграмма направленности
излучения показывает изменение
интен
сивности излучения СИД в
зависимости от направления, откуда
ведется наблюдение. Диаграмма
направленности зависит в основном от
конструкции и материала корпуса
светодиода и формы оптической линзы. С
особым вниманием к учету этой характеристики
следует относиться при разработке
элементов индикации электронной
аппаратуры для обеспечения удобств
эксплуатации; подробнее эти вопросы
освещаются в [45].
5. Электрические свойства светодиодов описываются вольтамперной характеристикой, которая аналогична ВАХ обычного диода, но прямое падение напряжения на светодиоде при одинаковом токе существенно больше,чем в кремниевом диоде, что объясняется большей шириной запрещенной зоны в материале,используемом для светодиодов.ВАХ некоторых светодиодов приведены на рис. 3.9.
6. Предельные
эксплуатационные режимы СИД
описываютсяследующими параметрами:
максимальный прямой ток светодиода
;
максимальный прямой импульсный ток
;
максимально допустимое обратное
напряжение
Следует помнить, что светодиоды не предназначены для работы в режиме обратного смещения. Величина максимально допустимого обратного напряжения обычно не превышает единиц вольт, поэтому использование СИД в цепях, где меняется полярность питающего напряжения, требует обеспечения мер защиты для предотвращения выхода СИД из строя.
7. Существенным
недостатком светодиодов является
сильная зависимость параметров от
температуры окружающей среды, причем
температурная зависимость проявляется
как в изменении мощности излучения, так
и в изменении спектрального состава
(рис. 3.10). Например, при увеличении
температуры окружающей среды на
происходит
уменьшение мощности излучения
приблизительно на
.
Температурный коэффициент длины волны
максимума спектрального распределения
зависит от типа полупроводникового
материала: для прямо-зонного материала
значение этого коэффициента составляет
около
а для непрямозонного
жоло
0,09
8. Быстродействие
СИД достаточно велико и составляет
приблизительно десятки наносекунд.
Быстродействие является важнейшей
характеристикой ИК-светодиодов,
используемых для ВОЛС, и обычно в паспорте
приводят постоянные времени нарастания
и спада импульса излучения

Данный параметр приводится редко, так как не является основным для индикаторных СИД.
5.2.2 Перспективы развития и применения излучательных диодов
Основными направлениями совершенствования излучательных диодов в настоящее время являются:
расширение спектрального диапазона излучения в коротковолновую часть спектра, а в ИК-области освоение диапазона 1,5-3 мкм для волоконно-оптических линий связи нового поколения;
повышение эффективности электролюминесценции и вывода оптического излучения;
развитие многоцветных систем отображения информации для электронных табло и дисплеев путем создания светодиодных индикаторов с большой (до нескольких квадратных сантиметров) площадью свечения, содержащих один или несколько одноцветных или разноцветных кристаллов;
создание малогабаритных с высокой яркостью и малым током потребления индикаторов для малогабаритной переносной аппаратуры, в том числе и предназначенной для эксплуатации при дневном освещении. Благодаря достигнутым в последнее время успехам по созданию высокоэффективных светодиодных источников излучения существенно расширилась их область применения. Например, ИК-диоды наряду с традиционным применением в различных оптронных конструкциях и системах дистанционного управления и автоматики сейчас успешно конкурируют с лазерами в открытых и оптоволоконных линиях передачи информации при скоростях до 10 Мбит/с. Кроме того возможно их использование в охранных системах и для ИК-подсветки в технике ночного видения. Светодиоды видимого диапазона, кроме традиционного использования для индикации и отображения информации, могут применяться в медицинской аппаратуре и газоанализе, копировальной технике, считывающих устройствах персональных компьютеров и анализаторов изображения, светосигнальных и навигационных приборах. Кроме того, последние разработки высокоэффективных СИД видимого диапазона спектра позволяют надеяться на успешное внедрение таких приборов в осветительную технику [84].
5.3 Инжекционные полупроводниковые лазеры
Полупроводниковый инжекционный лазер представляет собой двухэлек-тродный прибор с /5-л-переходом, излучение которого характеризуется высокой степенью пространственной и временной когерентности. Пространственная когерентность - это согласованность между фазами колебаний в различных точках пространства в один и тот же момент времени, а временная -согласованность между фазами колебаний в одной точке пространства в различные моменты времени [55].
По своей конструкции полупроводниковые лазеры во многом подобны светодиодам, и в основу их принципа действия также положено явление инжекционной люминесценции. Однако лазерное излучение отличается от светодиодного монохроматичностью, направленностью, возможностью модуляции в широкой полосе частот. Кроме того, его высокая когерентность дает возможность более полно использовать информационную пропускную способность оптических каналов, применяя амплитудную, частотную, фазовую и другие модуляции оптического излучения.
5.3.1 Условия возникновения лазерной генерации
Рассматривая в разд. 3.2 инжекционную люминесценцию, мы полагали, что процесс излучательной рекомбинации обусловлен спонтанными электронными переходами зона-зона. Однако при некоторых условиях в полупроводниках могут наблюдаться индуцированные переходы, при которых возникают индуцированные кванты света, имеющие одинаковые частоту и фазу с индуцирующими. Рассмотрим подробнее условия возникновения индуцированного или лазерного излучения. Сразу оговоримся, что данные уеловия будут справедливы для лазеров любого типа: полупроводниковых, газовых, твердотельных, на красителях и т.д.
Первое - необходимость активной среды, способной обеспечить генерацию вынужденного, индуцированного излучения.
Второе - наличие механизма возбуждения активной среды, или накачки, создающего инверсную населенность энергетических уровней. Для полупроводниковых лазеров таким механизмом является инжекция носителей заряда через р-п-переход, причем вблизи /?-п-перехода концентрация электронов на более высоких уровнях выше, чем на низких.
Третье - наличие положительной обратной связи, для чего часть сигнала возвращается обратно в кристалл для дополнительного усиления. Методы реализации положительной обратной связи могут быть самыми разнообразными. Одним из наиболее распространенных является использование резонатора Фабри-Перо, состоящего из двух плоскопараллельных зеркал, и обеспечивающего многократное прохождение оптического излучения через активное вещество, расположенное между этими зеркалами. Для вывода излучения одно из зеркал делают полупрозрачным. В полупроводниковом лазере резонатором служат параллельные грани самого кристалла, создаваемые путем скола.
Четвертое - обеспечение условий ограничения (электрического, электронного и оптического). Электрическое ограничение состоит в необходимости обеспечить протекание максимальной доли электрического тока, проходящего через кристалл, непосредственно через активную область. Электронное ограничение требует предотвратить "растекание" возбужденных электронов из активной среды в пассивные области кристалла. Требования электрического и электронного ограничения являются специфическими, характерными только для полупроводниковых лазеров. И, наконец, оптическое ограничение состоит в необходимости удержания светового луча в активной среде при многократных проходах через кристалл. В инжекционных лазерах это требование обеспечивается за счет того, что активная область имеет несколько больший показатель преломления из-за разницы в характере и степени легирования областей кристалла, при этом возникает эффект самофокусировки луча. Необходимо отметить, что для полупроводникового лазера границы оптического канала не обязательно должны совпадать с областью электронного ограничения.
Пятое - наличие порога возбуждения, который возникает за счет различного рода потерь: поглощения части излучения, разогрева кристалла, неидеальности зеркал резонатора, спонтанного излучения краевых дефектов и т.д.
Необходимость восполнить энергию, расходуемую на эти потери, и объясняет наличие порога лазерной генерации. Рассмотрим условия возникновения лазерной генерации подробнее.
5.3.2 Полупроводниковый лазер на двойной гетероструктуре
Рассмотренные выше
условия лазерной генерации излучения
могут быть реализованы при протекании
тока через полупроводник. Причем с
момента создания первого лазера и по
настоящее время структура полупроводниковых
лазеров претерпела значительные
изменения. Так, например, первые
полупроводниковые лазеры были выполнены
на гомогенном полупроводнике с
простейшим
переходом.
Основным недостатком подобных структур
является несовершенство ограничительных
свойств простого
перехода.
Кроме того, границы, определяющие
"электронную" и "оптическую"
толщины активной области, не определены
четко и меняются в зависимости от тока
накачки.
Поэтому лазеры на однородных полупроводниках
не получили широкого распространения
и в настоящее время практически не
используются. Другой, несколько более
сложной, является односторонняя
гетероструктура. Основное ее достоинство
- это наличие практически идеального
выполнения условий ограничения, но
только с одной стороны
перехода
при незначительном усложнении технологии.
И, наконец, доминирующей в промышленных
образцах полупроводниковых лазеров в
настоящее время является ДГС. Основным
ее достоинством является выполнение
условий электрического, электронного
и оптического ограничений по обе стороны
от активной области, что позволяет при
малых пороговых токах инжекции получать
в сверхтонкой активной области, лежащей
между двумя гетерограницами, значительные
потоки излучения. Дальнейшее развитие
ДГС привело к созданию четырех- и
пятислойных структур, которые позволяют
оптимизировать размеры оптического
волновода с точки зрения оптимальности
модового состава излучения, при этом
толщина области электрической накачки
обычно
существенно меньше толщины волновода
Наиболее хорошо
разработанными являются гетероструктуры
на основе соединений
В
этой структуре более широкозонный
материал получится из исходного
материала
путем замещения атомов
на
атомы
в
кристаллической решетке. Причем
получаемый материал
остается
прямозонным вплоть до
).
Лазеры на основе
этой гетероструктуры обычно работают
в диапазоне длин волн от 0,75 до 0,9 мкм.
Для более длинноволнового диапазона
1,3 и 1,55 мкм в настоящее время промышленностью
осваиваются лазеры на основе
гетероструктуры,
которые отвечают требованиям современных
ВОЛС. Рассмотрим подробнее работу
полупроводникового лазера на двойной
гетероструктуре
Зонные диаграммы для этой ДГС в равновесном
состоянии и при сильном положительном
смещении приведены на рис. 3.21, а и 3.21, б
соответственно. В равновесном состоянии
при сильнолегированном
слое
уровень Ферми в узкозонном материале
располагается внутри валентной зоны.
Режим накачки лазера обеспечивается
путем подключения гетероструктуры к
источнику тока. Зонные диаграммы под
действием тока, протекающего в
положительном направлении, показаны
на рис. 3.20, б. Высокий уровень инжекции
через
'-переход
(слева) приводит к тому, что уровень
Ферми
оказывается внутри зоны проводимостей
области. В результате в
области
наблюдается инверсия населенности
между энергетическими уровнями вблизи
дна зоны проводимости и уровнями
5.3.3
Основные параметры и характеристики
полупроводниковых лазеров
Рассмотрим систему параметров и характеристик, описывающих полупроводниковые лазеры.
1. Ватт-амперная характеристика, определяющая зависимость мощности излучения лазера от величины тока накачки. Типичная ватт-амперная характеристика полупроводникового гетеролазера приводится на рис. 3.23 [59].

На этой характеристике можно выделить три участка. Первый участок -светодиодный, т.е. участок, на котором преобладает спонтанное излучение, смещение структуры еще не велико и инверсная населенность не достигнута. Лазер в этом режиме аналогичен светодиоду с торцевым выходом излучения. На втором участке доля индуцированных переходов уже сравнима с величиной спонтанного излучения. Такой режим работы называется суперлюминесценцией. И, наконец, третий участок, соответствующий режиму лазерной генерации. Мощность излучения на этом участке существенно выше, чем на первых двух, и зависимость мощности излучения от силы тока практически линейна. Однако на практике не все обстоит так гладко. Часто в лазерах наблюдается пульсация оптической мощности, что выражается в наличии характерных перегибов на ватт-амперной характеристике (рис. 3.24) [10]. Такие перегибы характерны для лазеров с волноводным усилением. Причину появления перегибов связывают с перераспределением боковых и поперечных мод (так называемый эффект перескока мод), при этом выходная мощность излучения лазера возрастает с увеличением тока накачки существенно медленнее или даже падает до тех пор, пока не установится новый модовый состав излучения. Все вышесказанное является серьезной помехой для применения лазеров, когда требуется высокая линейность, и делает невозможной работу в аналоговом режиме. В таких лазерах проблему перескока мод удается решить путем уменьшения ширины активной области менее 10 мкм. Главная причина нестабильности при этом сохраняется, но порог возникновения при этом удается сдвинуть за пределы нормального режима.
2. Спектральная характеристика определяет мощность излучения в зависимости от длины волны. Рассмотрим зависимость спектральной характеристики от тока накачки (рис. 3.25). Спектральная характеристика (см. рис. 3.25, а) соответствует светодиодному режиму. Ширина спектра в этом случае максимальна, а сама кривая имеет гладкий непрерывный характер. Спектр на рис. 3.25, б характерен при приближении величины тока накачки к /пор и соответствует режиму суперлюминесценции. Ширина спектра в этом случае существенно меньше. И, наконец, спектральная кривая на рис. 3.25, в характерна для режима лазерной генерации. В этом случае на спектральной кривой четко прослеживаются спектры отдельных продольных мод, возникающие из-за неидеальности оптического резонатора. Ширина спектра при этом обычно не превышает нескольких нанометров, а ширина спектральной линии отдельной моды менее 0,01 нм. Наличие в спектре излучения боковых поперечных мод увеличивает ширину линии каждой отдельной продольной моды.

По виду спектральной характеристики современные инжекционные лазеры подразделяются на одномодовые, когда основная мощность излучается на одной отдельной моде, а все остальные имеют существенно меньшую амплитуду, и многомодовые, в которых имеется, по крайней мере, несколько модлением ограничивается только ток инжекции внутри активного слоя, при этом повышенная концентрация носителей в области ограничения приводит к скачку комплексного показателя преломления с отрицательной действительной частью, поэтому коэффициент отражения от границ в этом случае меньше единицы, и волна частично распространяется в неактивной области, что и обусловливает искажения волнового фронта.
Активная область, играющая роль резонатора в полосковом лазере, имеет вид прямоугольного параллелепипеда (рис. 3.27). В резонаторе такой формы, вообще говоря, может существовать несколько типов колебаний (мод), каждое из которых характеризуется своей частотой, причем поскольку на этих частотах возможна лазерная генерация, то в выходном спектре лазера возможно появление соответствующих спектральных линий. Каждую моду можно охарактеризовать тремя целыми числами (г, /, к), которые соответствуют числу максимумов распределения электромагнитного поля по трем взаимно перпендикулярным направлениям внутри резонатора. В первом приближении условия резонанса соответствуют целому числу полуволн, укладывающихся на длине резонатора, причем расстояние между двумя модами
1