Электронные компоненты
Современное состояние проблемы надежности электронных компонентов
Шарко М.М., гр ЗЕ-101
Содержание
Введение
1. Совокупность показателей характеристики надежности электронных компонентов
2. Туннельный пробой в электронных компонентах. Методы определения
3. Надежность металлизации и контактов интегральных схем. Характеристика и параметры надежности
4. Механизм случайных отказов диодов и биполярных транзисторов интегральных микросхем
Вывод
Перечень литературы
Введение
Прогресс современной техники, высокие требования к точности, помехозащищенности, быстродействию привели к усложнению электронных узлов и блоков радиоаппаратуры и оборудования.
Усложнение аппаратуры резко снижает надежность современного радиоэлектронного оборудования. Низкая надежность приводит к тому, что стоимость эксплуатации такого оборудования в течение одного года превышает в несколько раз стоимость самого оборудования, что приводит к огромным экономическим потерям и резко снижает эффективность использования радиоэлектронной аппаратуры (РЭА).
Возникновение проблемы надежности обусловлено, главным образом, следующими причинами:
ростом сложности электронной аппаратуры;
отставанием качества элементов радиоэлектроники от их количественного определения;
повышением ответственности функций, выполняемых аппаратурой (цена отказа); исключением человека-оператора (полным или частичным) при выполнении аппаратурой своих функций;
сложностью условий, в которых эксплуатируется РЭА.
Основное противоречие современной техники состоит в том. Что если не приняты специальные меры по повышению надежности и чем сложнее и точнее аппаратура управления, тем менее она надежна. Особую остроту приобретает требование безопасной работы РЭА в системе комплексной автоматизации процессов управления с применением сложных многосвязных систем. Отказ подобных систем может привести к катастрофическим последствиям.
На основе вышеизложенного дается определение надежности по [1].
"Надежность - свойство изделия сохранять способность к выполнению своих Функций в заданных условиях эксплуатации".
К основным фундаментальным понятиям теории надежности относятся надежность и отказ.
Большинство специалистов по теории надежности разделяют характеристики надежности на две группы: количественные и качественные. Количественное определение надежности не может быть принято по тому, что надежность определяется множеством количественных характеристик и ни одна из них не может в полной мере выражать это понятие. Поэтому таким может быть только качественное определение, характеризующее определенные свойства конкретного изделия. Чаще всего же стремятся использовать количественные характеристики, так как качественное определение надежности не позволяет выразить надежность математически (числом). Это вызвало необходимость создать основные критерии, с помощью которых можно было бы количественно оценить надежность различных элементов, дать сравнительную оценку надежности различных изделий.
1. Совокупность показателей характеристики надежности электронных компонентов
Для количественной оценки надежности применяются количественные показатели оценки отдельных ее свойств: безотказности, долговечности, ремонтопригодности и сохраняемости, а также комплексные показатели, характеризующие готовность и эффективность использования технических объектов (в частности, электроустановок).
Эти показатели позволяют проводить расчетно-аналитическую оценку количественных характеристик отдельных свойств при выборе различных схемных и конструктивных вариантов оборудования (объектов) при их разработке, испытаниях и в условиях эксплуатации. Комплексные показатели надежности используются главным образом на этапах испытаний и эксплуатации при оценке и анализе соответствия эксплуатационно-технических характеристик технических объектов (устройств) заданным требованиям.
Вероятность безотказной работы - это вероятность того, что в пределах заданий наработки отказ объекта не возникает. На практике этот показатель определяется статистической оценкой
(1.1)
где No - число однотипных объектов (элементов), поставленных на испытания (находящихся под контролем); во время испытаний отказавший объект не восстанавливается и не заменяется исправным; n (t) - число отказавших объектов за время t.
Из определения вероятности безотказной работы видно, что эта характеристика является функцией времени, причем она является убывающей функцией и может принимать значения от 1 до 0.
График вероятности безотказной работы объекта изображен на рис.2.1.

Как видно из графика, функция P (t) характеризует изменение надежности во времени и является достаточно наглядной оценкой. Например, на испытания поставлено 1000 образцов однотипных элементов, то есть N>o> = 1000 изоляторов.
При испытании отказавшие элементы не заменялись исправными. За время t отказало 10 изоляторов. Следовательно P (t) = 0,99 и наша уверенность состоит в том, что любой изолятор из данной выборки не откажет за время t с вероятностью P (t) = 0,99.
Иногда практически целесообразно пользоваться не вероятностью безотказной работы, а вероятностью отказа Q (t). Поскольку работоспособность и отказ являются состояниями несовместимыми и противоположными, то их вероятности связаны зависимостью:
Р (t) + Q (t) = 1, (1.2)
следовательно:
Q (t) = 1 - Р (t).
Если задать
время Т, определяющее наработку объекта
до отказа, то Р (t) = P (T t), то есть
вероятность безотказной работы - это
вероятность того, что время Т от момента
включения объекта до его отказа будет
больше или равно времени t, в течение
которого определяется вероятность
безотказной работы. Из вышесказанного
следует, что
.
Вероятность отказа есть функция
распределения времени работы Т до
отказа:
.
Статистическая оценка вероятности отказа:
;
.
(1.3)
Известно, что производная от вероятности отказа по времени есть плотность вероятности или дифференциальный закон распределения времени работы объекта до отказа
.
(1.4)
Полученная математическая связь позволяет записать
.
Таким образом, зная плотность вероятности f (t), легко найти искомую величину P (t).
На практике достаточно часто приходится определять условную вероятность безотказной работы объекта в заданном интервале времени Р (t>1>, t>2>) при условии, что в момент времени t>1> объект работоспособен и известны Р (t>1>) и Р (t>2>). На основании формулы вероятности совместного появления двух зависимых событий, определяемой произведением вероятности одного из них на условную вероятность другого, вычисленную при условии, что первое событие уже наступило, запишем
,
откуда
.
(1.5)
По известным статистическим данным можно записать:
,
где N (t>1>), N (t>2>) - число объектов, работоспособных соответственно к моментам времени t>1> и t>2>:
.
Отметим, что не всегда в качестве наработки выступает время (в часах, годах). К примеру, для оценки вероятности безотказной работы коммутационных аппаратов с большим количеством переключений (вакуумный выключатель) в качестве переменной величины наработки целесообразно брать количество циклов "включить" - "выключить". При оценке надежности скользящих контактов удобнее в качестве наработки брать количество проходов токоприемника по этому контакту, а при оценке надежности движущихся объектов наработку целесообразно брать в километрах пробега. Суть математических выражений оценки P (t), Q (t), f (t) при этом остается неизменной.
Средней наработкой до отказа называется математическое ожидание наработки объекта до первого отказа T>1>.
Вероятностное определение средней наработки до отказа [13] выражается так:

Используя
известную связь между f (t), Q (t) и P (t),
запишем
,
а зная, что
,
получим:
+
.
Полагая, что

и учитывая, что Р (о) = 1, получаем:
.
(1.6)
Таким образом, средняя наработка до отказа равна площади, образованной кривой вероятности безотказной работы P (t) и осями координат. Статистическая оценка для средней наработки до отказа определяется по формуле
,
ч. (1.7)
где N>o> - число работоспособных однотипных невосстанавливаемых объектов при t = 0 (в начале испытания); tj - наработка до отказа j-го объекта.
Отметим, что как и в случае с определением P (t) средняя наработка до отказа может оцениваться не только в часах (годах), но и в циклах, километрах пробега и другими аргументами.
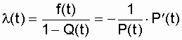
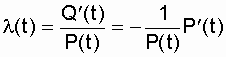
Интенсивность отказов - это условная плотность вероятности возникновения отказа объекта, определяемая при условии, что до рассматриваемого момента времени отказ не наступил. Из вероятностного определения следует, что
.
(1.8)
Статистическая оценка интенсивности отказов имеет вид:
,
(1.9)
где
- число отказов однотипных объектов на
интервале
,
для которого определяется
;
- число работоспособных объектов в
середине интервала
(см. рис. 2.2).
,

где N>i - >число
работоспособных объектов в начале
интервала
;
- число работоспособных объектов в конце
интервала
.
Если интервал
уменьшается
до нулевого значения (
),
то
,
(1.10)
где N>о -
>количество объектов, поставленных
на испытания;
- интервал, продолжающий время t;
- количество отказов на интервале
.
Умножив и поделив в формуле (2.10) правую часть на N>о> и перейдя к предельно малому значению t, вместо выражения (2.9), получим

Где
а

Следовательно,
,
что и записано в вероятностном определении (t), см. выражение (1.8).
Решение выражения (1.8) дает:
или
.
(1.11)
Выражение (1.11) показывает связь (t) и P (t). Из этой связи ясно видно, что по аналитически заданной функции (t) легко определить P (t) и Т>1>:
.
(1.12)
Если при
статистической оценке
время
эксперимента разбить на достаточно
большое количество одинаковых интервалов
t за длительный срок, то результатом
обработки опытных данных будет график,
изображенный на рис.2.3.

Как показывают многочисленные данные анализа надежности большинства объектов техники, в том числе и электроустановок, линеаризованная обобщенная зависимость (t) представляет собой сложную кривую с тремя характерными интервалами (I, II, III). На интервале II (t>2 - >t>1>) = const. Этот интервал может составлять более 10 лет [8], он связан с нормальной эксплуатацией объектов. Интервал I (t>1 - >0) часто называют периодом приработки элементов. Он может увеличиваться или уменьшаться в зависимости от уровня организации отбраковки элементов на заводе-изготовителе, где элементы с внутренними дефектами своевременно изымаются из партии выпускаемой продукции. Величина интенсивности отказов на этом интервале во многом зависит от качества сборки схем сложных устройств, соблюдения требований монтажа и т.п. Включение под нагрузку собранных схем приводит к быстрому "выжиганию" дефектных элементов и по истечении некоторого времени t>1> в схеме остаются только исправные элементы, и их эксплуатация связана с = const. На интервале III (t > t>2>) по причинам, обусловленным естественными процессами старения, изнашивания, коррозии и т.д., интенсивность отказов резко возрастает, увеличивается число деградационных отказов. Для того, чтобы обеспечить = const необходимо заменить неремонтируемые элементы на исправные новые или работоспособные, отработавшие время t t>2>. Интервал = const cоответствует экспоненциальной модели распределения вероятности безотказной работы. Эта модель подробно проанализирована в подразделе 3.2 Здесь же отметим, что при = const значительно упрощается расчет надежности и наиболее часто используется как исходный показатель надежности элемента.
Средняя наработка на отказ - этот показатель относится к восстанавливаемым объектам, при эксплуатации которых допускаются многократно повторяющиеся отказы. Эксплуатация таких объектов может быть описана следующим образом: в начальный момент времени объект начинает работу и продолжает работу до первого отказа; после отказа происходит восстановление работоспособности, и объект вновь работает до отказа и т.д. На оси времени моменты отказов образуют поток отказов, а моменты восстановлений - поток восстановлений.
Средняя наработка на отказ объекта (наработка на отказ) определяется как отношение суммарной наработки восстанавливаемого объекта к числу отказов, происшедших за суммарную наработку:
,
(1.13)
где t>i> - наработка между i-1 и i-м отказами, ч; n (t) - суммарное число отказов за время t.
2. Туннельный пробой в электронных компонентах. Методы определения
Рассмотрим зонную диаграмму диода с p-n переходом при обратном смещении при условии, что области эмиттера и базы диода легированы достаточно сильно (рис.2.1).

Рисунок 2.1 - Зонная диаграмма диода на базе сильнолегированного p-n перехода при обратном смещении.
Квантово-механическое рассмотрение туннельных переходов для электронов показывает, что в том случае, когда геометрическая ширина потенциального барьера сравнима с дебройлевской длиной волны электрона, возможны туннельные переходы электронов между заполненными и свободными состояниями, отделенными потенциальным барьером.
Форма потенциального барьера обусловлена полем p-n перехода. На рисунке 2.2 схематически изображен волновой пакет при туннелировании через потенциальный барьер треугольной формы.

Рисунок 2.2 - Схематическое изображение туннелирования волнового пакета через потенциальный барьер.
Возьмем уравнение Шредингера Hψ = Eψ, где H - гамильтониан для свободного электрона
,
Е - энергия электрона. Введем

Тогда снаружи от потенциального барьера уравнение Шредингера будет иметь вид:

Внутри потенциального барьера
.
Решение для волновых функций электрона будем искать в следующем виде:

Используем условие непрерывности для волновой функции и ее производные ψ, dψ/dx на границах потенциального барьера, а также предположение об узком и глубоком потенциальном барьере (βW >> 1).
В этом случае для вероятности туннельного перехода Т получаем:

Выражение для туннельного тока электронов из зоны проводимости на свободные места в валентной зоне будет описываться следующим соотношением:

где использованы стандартные обозначения для функции распределения и плотности квантовых состояний.
При равновесных условиях на p+-n+ переходе токи слева и справа друг друга уравновешивают: I>C→V> = I>V→C>.
При подаче напряжения туннельные токи слева и справа друг друга уже не уравновешивают:

Здесь f>C>, f>V> - неравновесные функции распределения для электронов в зоне проводимости и валентной зоне.
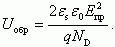
Для барьера треугольной формы получено аналитическое выражение для зависимости туннельного тока J>тун> от напряженности электрического поля Е следующего вида:

За напряженность электрического поля пробоя E>пр> условно принимают такое значение поля Е, когда происходит десятикратное возрастание обратного тока стабилитрона: I>тун> = 10·I>0>.
При этом для p-n переходов из различных полупроводников величина электрического поля пробоя E>пр> составляет значения: кремний Si: E>пр> = 4·105 В/см; германий Ge: E>пр> = 2·105 В/см. Туннельный пробой в полупроводниках называют также зинеровским пробоем.
Оценим напряжение U>z>, при котором происходит туннельный пробой. Будем считать, что величина поля пробоя E>пр> определяется средним значением электрического поля в p-n переходе E>пр> = U>обр>/W. Поскольку ширина области пространственного заряда W зависит от напряжения по закону
,
то, приравнивая значения W из выражений
,
получаем, что напряжение туннельного пробоя будет определяться следующим соотношением:

Рассмотрим, как зависит напряжение туннельного пробоя от удельного сопротивления базы стабилитрона. Поскольку легирующая концентрация в базе N>D> связана с удельным сопротивлением ρ>базы> соотношением N>D> = 1/ρμe, получаем:

Из уравнения (4.21) следует, что напряжение туннельного пробоя U>z> возрастает с ростом сопротивления базы ρ>базы>.
Эмпирические зависимости напряжения туннельного пробоя U>z> для различных полупроводников имеют следующий вид:
германий (Ge): U>z> = 100ρ>n> + 50ρ>p>;
кремний (Si): U>z> = 40ρ>n> + 8ρ>p>,
где n, p - удельные сопротивления n - и p-слоев, выраженные в (Ом·см).
3. Надежность металлизации и контактов интегральных схем. Характеристика и параметры надежности
Осаждение тонких металлических пленок для создания законченной структуры интегральной схемы с соединениями требует решения многих сложных проблем. В большинстве случаев металлизация осуществляется с применением процесса фотолитографии, т.е. на фоторезисте создается рисунок соединения, определяющий участки, с которых металл должен быть удален и в которых должен быть оставлен. Последовательность нанесения слоя фоторезиста и металла может быть изменена.
Разрыв металлической пленки. Обычно на слое фоторезиста создают требуемый рисунок соединений и затем на всю поверхность пластины осаждают пленку металла, удаляемую с участков, на которых имеется фоторезист, совместно с последним. Если пленка металла относительно толстая и непрерывна по всей поверхности пластины, в ней могут возникнуть разрывы и зазубрины на краях, как показано на рис.3.1 Это само по себе не выдвигает новых проблем, если отдельные частицы металла остаются на пластине.
В ряде случаев сначала наносят на всю поверхность пластины металлическую пленку, а затем уже фоторезист. Металл стравливают с участков, где он нежелателен. Этот процесс менее распространен из-за проблем, связанных с химическими реакциями и адгезией металла к подложке.

Рисунок 3.1 - Диффузионные выбросы и зазубрины в металлической пленке (1000-кратное увеличение).
Адгезия металла. Если адгезия металлической пленки к чистому кремнию, окисному покрытию и тонкопленочным компонентам неудовлетворительна, то металл может легко отрываться и обдираться. Обычно с кремнием используется алюминий и золото. Однако у золота плохая адгезия к SiO>2>, тогда как у алюминия она удовлетворительна и, следовательно, алюминий более широко применяется при изготовлении интегральных схем. Однако применение алюминия имеет и недостатки.
Адгезия алюминия к пленке двуокиси кремния улучшается при небольшом повышении температуры вследствие образования на границе раздела слоя А1>2>О>3> - SiO>2> Поэтому для получения хорошей адгезии пластины в процессе осаждения алюминия следует нагревать. При избыточном нагреве процесс образования соединения А1>2>О>3> - SiO, протекает очень быстро, причем алюминий проходит через стекло и сплавляется с кремнием. Это явление особенно опасно в тех случаях, когда поверхность кремниевой пластины защищена тонким слоем стекла, как, например, в некоторых МОП-конденсаторах.

Рисунок 3.2 - Двухслойная металлизация.
Вследствие образования "пурпурной чумы" некоторые фирмы перешли к использованию только алюминиевых контактов и соединений. Другие решают эту проблему путем использования серебра или золота для создания контактов и тугоплавкого металла, например хрома, в качестве промежуточного слоя для улучшения адгезии металлов к стеклу. На рис.3.2 приведено поперечное сечение этих систем.
Фирма Philco сообщила о применении системы хром-серебро, фирма Texas Instruments использует тонкий слой алюминия для улучшения адгезии, затем слой молибдена для защиты поверхности раздела и для изоляции алюминия и слой золота, которое наносится на поверхность для улучшения прикрепления проволочных выводов к контактным площадкам.
Отслаивание и растрескивание тонкого слоя А1. Как уже говорилось выше, если адгезия металла к SiO2 неудовлетворительна, пленка начинает отслаиваться. Загрязнение поверхности пластины при проведении фотолитографии или из-за других причин также приводит к отслаиванию пленки. Существует дешевый и быстрый способу проверки адгезии, заключающийся в наклеивании липкой ленты на поверхность пластины и последующем удалении ее. Если вместе с лентой снимается тонкая пленка металла, адгезия считается неудовлетворительной.
Металлическая пленка обычно очень мягка и легко царапается в процессе дальнейшей обработки пластины, поэтому при проведении зондовых испытаний следует тщательно следить за тем, чтобы не возникали царапины на пленке. Царапины, проходящие через металлическую пленку, аналогичны разрыву проволочных выводов, приводящему к отказу схемы.
Химические реакции. Алюминиевая пленка может реагировать с остатками химических реагентов, используемых в процессе изготовления схемы, и с пленкой двуокиси кремния. При осаждении достаточного количества алюминия на пленку SiO2 соответствующей толщины нежелательных реакций не возникает. Алюминий химически очень активен. Особенно большие трудности возникают в тех случаях, когда алюминиевая пленка реагирует с щелочными, кислотными или спиртовыми растворами, образуя непроводящие черные (иногда белые) соединения.
4. Механизм случайных отказов диодов и биполярных транзисторов интегральных микросхем
Всякий отказ связан с нарушениями требований проектной документации.
По скорости изменения параметров до возникновения отказа различают внезапные и постепенные отказы.
Внезапный отказ - это отказ, характеризующийся скачкообразным изменением значений одного или нескольких параметров изделия. Постепенный отказ - это отказ, возникающий в результате постепенного изменения значений одного или нескольких параметров. Такое деление весьма условно, так как большинство параметров изменяется с конечной скоростью, поэтому четкой границы между этими классами не существует. К постепенным отказы относят в тех случаях, когда изменения параметров легко прослеживаются, позволяя своевременно предпринять меры по предупреждению перехода системы в неработоспособное состояние, например, заменить батарейку брелока.
По характеру устранения различают устойчивый, самоустраняющийся и перемежающийся отказы. Устойчивый отказ всегда требует проведения мероприятий по восстановлению работоспособности изделия. Самоустраняющийся отказ, или сбой, устраняется в результате естественного возвращения системы в работоспособное состояние, причем время устранения отказа мало. Пример - сигнализация не сработала один раз на команду с брелока.
По характеру проявления различают явные и скрытые отказы. Явный отказ обнаруживается визуально или штатными методами и средствами контроля и диагностирования при установке системы на автомашину или процессе эксплуатации. Скрытый отказ выявляется при проведении технического обслуживания или специальными методами диагностирования. Задержка в обнаружении скрытого отказа может привести к неправильному срабатыванию алгоритмов, некорректной обработке информации, выработке ошибочных управляющих воздействий и другим неблагоприятным последствиям.
В некоторых элементах возможны отказы двух типов. В резисторах, полупроводниковых диодах, транзисторах, реле и ряде других элементов могут возникать отказы типа "обрыв" и типа "короткое замыкание". В первом случае падает до нуля проводимость, а во втором - сопротивление в любых или в определенном направлении. В элементах, назначение которых состоит в формировании сигнала в ответ на определенные сочетания сигналов на входах, например в логических элементах, также возможны отказы двух типов: отсутствие сигнала, когда он должен быть сформирован, и появление сигнала, когда его не должно быть (ложный сигнал).
По первопричине возникновения различают конструктивный, производственный и эксплуатационный отказы. Конструктивный отказ возникает по причине, связанной с несовершенством или нарушением установленных правил и/или норм проектирования и конструирования. Производственный отказ связан с несовершенством или нарушением технологического процесса изготовления, а эксплуатационный отказ - с нарушением правил и/или условий установки и эксплуатации, при возникновении непредусмотренных внешних воздействий или воздействий высокой интенсивности.
Интенсивность отказов ИМС лежит в пределах 10-6-10-9 ч-1, приближаясь к уровню высоконадежных элементов.
Сравнение интенсивности отказов отдельных элементов ИМС и ИМС в целом показывает, что они практически равнозначны. Преимуществом является то, что степень функциональной сложности ИМС с малым и средним уровнем интеграции слабо отражается на их надежности.
Для ИМС прежде всего характерны внезапные отказы, обусловленные качеством изготовления (технологическими дефектами): разрывы соединений между контактной зоной на поверхности подложки (кристалла) и выводами корпуса, обрывы и короткие замыкания внутренних соединений. Внезапные отказы полупроводниковых ИМС составляют 80% от общего числа отказов. Свыше 50% отказов гибридных линейных ИМС связано с дефектами встроенных транзисторов и паяных соединений. Отказы контактов золотых проволочных выводов чаще всего происходят из-за обрыва проволочки около шарика ковары.
Наиболее слабым звеном полупроводниковых ИМС в пластмассовых корпусах являются внутренние проволочные соединения, дающие обрывы и короткие замыкания (более 90% отказов вызвано обрывами соединительных проводов).
Основная причина таких отказов определяется различием температурных коэффициентов линейного расширения металла и обволакивающего материала, что приводит к возникновению термомеханических напряжений. Около 10% отказов полупроводниковых ИМС в пластмассовых корпусах происходит по причине электрической коррозии алюминиевой металлизации из-за недостаточной влагостойкости пластмасс и загрязнения поверхности окисла при герметизации. Типичны для таких ИМС и отказы из-за образования шунтирующих утечек и коротких замыканий, так как влага вызывает перенос ионов металла и загрязнений, а также образование проводящих мостиков между разнопотенциальными точками схемы.
Более надежными являются ИМС с керамическими корпусами.
У полупроводниковых приборов - диодов, транзисторов, тиристоров, микросхем постепенные и внезапные отказы возникают чаще, чем другие виды отказов. Наиболее характерным изменением параметров полупроводниковых приборов, приводящим к постепенным отказам, является увеличение обратного тока диодов и неуправляемых обратных токов коллекторных переходов транзисторов и тиристоров. Внезапные отказы являются следствием ошибок в конструкции полупроводниковых приборов и нарушения технологии их изготовления. На основе данных о работе полупроводниковых приборов в различных схемах можно считать, что около 80% их отказов являются постепенными. В справочной литературе, достаточно широко учтены влияющие факторы на работоспособность полупроводниковых приборов в виде поправочных коэффициентов, определяемых по таблицам или номограммам.
Вывод
Проблема обеспечения надежности электронных компонентов включает в себя множество этапов: от создания элементов и аппаратуры, до ее практического использования. Поэтому все факторы, влияющие на надежность РЭА, условно принято рассматривать применительно к трем этапам.
При проектировании учитывают следующие факторы:
качество и количество применяемых элементов и деталей;
режимы работы элементов и деталей;
стандартизация и унификация;
доступность деталей узлов и блоков для осмотра и ремонта.
К производственные факторы, отрицательно влияющие на надежность:
отсутствие качественного контроля материалов и комплектующих изделий, поступающих от смежных предприятий;
нарушение сортности и недоброкачественная замена материала при изготовлении деталей;
установка в приборах элементов, подвергающихся длительному хранению в неблагоприятных условиях, без предварительной проверки;
недостаточное внимание к чистоте оборудования, рабочего места, воздуха и т.д. (что особенно важно в производстве микросхем и сборке точных элементов и устройств);
неполный контроль за ходом операций и при выпуске готовой продукции;
нарушение режима сложных технических процессов.
К эксплуатационные факторы, влияющие на надежность, следующие:
квалификация обслуживающего и ремонтного персонала;
воздействие на приборы и механизмы внешних условий (климатических; механических и т.п.) и факторы времени.
Перечень литературы
Горлов М.И., Королев С.Ю. Физические основы надежности интегральных микросхем. - Воронеж: ВГУ, 1995. - 200с.
Ефимов И.Е., Козырь И.Я., Горбунов Ю.И. Микроэлектроника. Физические и технологические основы, надежность. - М.: Высшая школа, 1986.
Фомин А.В., Боченков Ю.И., Сорокопуд В.А. Технология, надежность и автоматизация производства БГИС и микросборок / Под ред. А.В. Фомина. - М.: Радио и связь, 1981.
Чернышев А.А. Основы надежности полупроводниковых приборов и интегральных микросхем. - М.: Радио и связь, 1988. - 256с.
Докучаев И.И., Козырь И.Я., Онопко Д.И. Испытания и измерения интегральных микросхем. - М.: Изд. МИЭТ, 1978.