Однофазный трёхуровневый преобразователь с улучшенным гармоническим спектром входного тока
Однофазный трёхуровневый преобразователь с улучшенным гармоническим спектром входного тока.
Выпрямители применяются в достаточно большом количестве преобразовательных устройств и систем,. К ним, прежде всего, можно отнести системы для электрических приводов, телекоммуникационные устройства, электролизные и электротермические установки, сварочные и зарядные аппараты, системы бесперебойного электропитания и т. д. По сути перечисленное оборудование является нелинейной нагрузкой, применение которой приводит к возникновению искажений тока и напряжения в питающей сети, вследствие чего возникают проблемы, связанные с электромагнитной совместимостью источника питания и нагрузки. Поэтому необходимо нормировать отрицательное воздействие нелинейных нагрузок на питающую сеть. В России разработаны системы стандартов и сертификации по электромагнитной совместимости.
В настоящее время предложено большое разнообразие выпрямительных схем, позволяющих улучшить гармонический состав входного тока. В зарубежных публикациях уже предлагаются некоторые классификации выпрямительных схем, позволяющие выделить отдельные группы схем выпрямителей по тем или иным общим признакам. Руководствуясь классификацией, можно выделить две основные группы выпрямителей - "Unidirectional" и "Bidirectional", каждая из которых включает в себя следующие виды выпрямителей: Boost rectifier, Buck rectifier, Buck-Boost rectifier, Multilevel rectifier, Multipulse rectifier. В России исследовательские работы в отношении перечисленных схем выпрямителей ведутся достаточно активно.
В последнее время усилился интерес к многоуровневым выпрямителям (Multilevel rectifier), позволяющим формировать входной ток, близкий к синусоиде. Несмотря на достаточно большое количество работ, посвящённых исследованию многоуровневых выпрямительных схем, остаются вопросы, которые по тем или иным причинам освещены в меньшей степени.
Рассмотрим алгоритмы управления дополнительными двунаправленными ключами однофазного трёхуровневого выпрямителя, проводём анализ электромагнитных процессов, позволяющий выявить свойства выпрямителя, выведем соотношения для токов и напряжений элементов схемы, а также внешней характеристики.
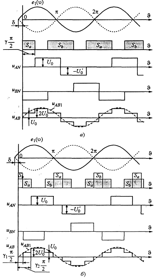
Схема выпрямителя приведена на рис. 1а, а на рис. 1б - одна из возможных схемных реализаций, применяемых в схеме, дополнительных двунаправленных ключей S>а> S>b>.
Свойства рассматриваемого выпрямителя во многом зависят от алгоритмов управления дополнительными ключами. Используя широтно-импульсную модуляцию работы ключей можно добиться низкого содержания неосновных гармоник во входном токе выпрямителя. Однако хорошего качества входного тока возможно достичь и при других алгоритмах управления ключами S>a>, S>b>, при которых осуществляется их низкочастотное переключение. Это позволяет в значительной степени снизить коммутационные потери.
Н
Рисунок 1. Схемы однофазного трёхуровнего выпрямителя (а) и двунаправленного ключа (б).
а рис.2, а,
б отражены
эпюры, характеризующие
два возможных алгоритма управления
двунаправленными ключами выпрямителя.
Условимся называть
их алгоритм I
и алгоритм II.
При этом S>a>,
S>b>
- длительности
включённого состояния двунаправленных
ключей; u>AN>
и u>BN>
- напряжения
на зажимах А
и В
относительно
точки N;
u>AB>
- напряжение
между зажимами А
и В;
U>0>
и U>0>-
напряжения
на конденсаторах
C>1>
и С>2>
соответственно.
Алгоритм I.
Основной принцип данного алгоритма
заключается в том, что на определённых
интервалах
работают ключи S>a>,
S>b>,
а между
ними -диоды
выпрямителя рис.2, а.
Длительность
интервалов управления ключами определяется
коэффициентом γ, изменяющимся в пределах
0-1. Рассматриваемый алгоритм позволяет
обеспечить
форму входного тока (i>1>),
близкую к синусоиде,
в этой связи при анализе будем полагать,
что ток
входной фазы выпрямителя синусоидальный.
При этом токи
i>d>
и i'>d>
, формирующиеся
в
с
Рисунок 2. Алгоритм I(а) и алгоритм II (б) работы выпрямителя.
Рисунок 3. Токи
хеме, будут иметь вид, показанный на рис.3.Алгоритм II. Второй алгоритм отличается от первого наличием интервала совместной работы ключей S>a> S>b> и позволяет получить меньший коэффициент гармоник входного тока по сравнению с алгоритмом I. При анализе будем, как и ранее, полагать, что входной ток выпрямителя чисто синусоидальный. Тогда, как видно из рис.4, ток ключей S>а>, S>b> содержит в себе две составляющие i', i", формирующиеся от двух интервалов работы ключей. Таким образом, действующее значение тока, например ключа S>а>,

γ>1> = 0÷1 - коэффициент, определяющий длительность узкого импульса управления для дополнительных ключей; γ>2> = 0÷1 - коэффициент, определяющий длительность широкого импульса управления для дополнительных ключей.
Следовательно,

Очевидно,
что I>Sa>
= I>Sb>.
Согласно
рис.4 максимальное
значение токов ключей S>а>
S>b>
определяется
следующим соотношением:
Действующее
значение тока
диода
выпрямителя
для рассматриваемого алгоритма
Согласно рис 4, среднее значение тока:

Рисунок 4. Токи при алгоритме II управления ключами