Определение работы и мощности в цепи однофазного переменного тока
ОПРЕДЕЛЕНИЕ РАБОТЫ И МОЩНОСТИ В ЦЕПИ ОДНОФАЗНОГО ПЕРЕМЕННОГО ТОКА
Цель: 1. Исследовать электрическую цепь переменного тока при последовательном соединении активного, индуктивного емкостного сопротивления (цепь R, L, С).
2: Научиться определять параметры электрической схемы переменного однофазного тока
3. Научиться определять работу и мощность цепи переменного тока.
Ход работы
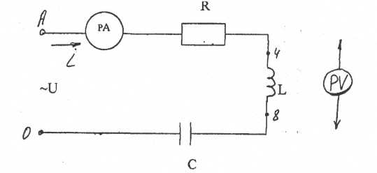
1. Собрал цепь согласно схеме:

где РА - прибор комбинированный 4310
PV-прибор комбинированный Ц4342
L- катушка индуктивности (выводы 4-8 трансформатора TV1)
С - конденсатор 0,1мФ
R - резистор 10 кОм
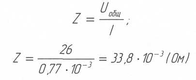
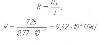
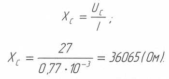
2. Измерили силу тока I = 0,77 (мА) и напряжения на входе схемы U>o>>б> = 26 (В) на активном сопротивлении U>R> =7.25 (В), на конденсаторе U>c> = 27 (В) и на катушке индуктивности U>к> = 26,5
3. Рассчитали полное сопротивление электрической цепи Z, Ом по формуле:

4. Рассчитали активное сопротивление R, Ом резистора включённого в схему по формуле:

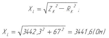
5. Измерили активное сопротивление катушки индуктивности R>k>,Om прибора 4301: R>k>=67 0m
6. Рассчитали активное сопротивление электрической цепи R>o> Ом по формуле:

7. Определили полное сопротивление катушки Z>K> Ом по формуле:

8. Определили индуктивное сопротивление цепи X>L>, Ом по формуле:

9. Определили ёмкостное сопротивление цепи Х>с> Ом по формуле:

10. Определили реактивное сопротивление цепи X Ом по формуле:

11. Определили полную мощность электрической цепи S, ВА по формуле:


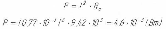
12. Определили активную мощность электрической цепи Р, Вт по формуле:

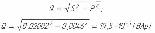
13. Определили реактивную мощность электрической цепи Q, ВАр по формуле:

14. Определили угол сдвига фаз:

15. Построили векторную диаграмму электрической цепи R, L, С также построили треугольник сопротивлений и треугольник мощностей.

16. Определили активную энергию W>а>, Bm ·c, потребляемую в электрической цепи за 1 час:
