Аналіз мережевого тракту
АНАЛІЗ МЕРЕЖЕВОГО ТРАКТУ
Вступ
Мережевий тракт представляє собою елемент конструкції будь-якої мережі. Саме від величин пропускних здатностей мережевих трактів залежатимуть основні технічні показники мереж.
Сучасні магістральні мережі, внаслідок різкого підвищення вимог до об'ємів інформації поступово виключили радіорелейні лінії, мідні симетричні та коаксіальні кабелі з експлуатації в якості транспортних каналів. Слід додати, що вимоги до достовірності переданої інформації зростають пропорційно вимогам до об'ємів інформації, що передається.
Для спектрального ущільнення був розглянутий комплекс ефектів, що виникають у направляючій системі - оптичному волокні та є нелінійними. За допомогою розгляду була виведена узагальнююча математична модель якості передавання оптичного каналу групового оптичного тракту системи з DWDM. Використання рівняння балансу спектральної енергії продемонструвало доволі рівномірну залежність перехресних канальних завад від частотного діапазону, енергія завад збільшується із зростанням кількості каналів у оптичному груповому тракті.
Методика розрахунку завантаженості структури за топологією мережі дозволяє, таким чином визначити і рівень завад у мережі, що була б реалізована за технологією повністю оптичних мереж.
Топологічний аналіз також дав можливість створити новий інструментарій - структуру потоків та керувати ним у межах можливостей високорівневих технологій мережевого менеджменту.
1 ПРОПУСКНА ЗДАТНІСТЬ ЛІНІЙНОГО ТРАКТУ З ТDМ
Часове ущільнення дало можливість нарощувати пропускну здатність трактів перших цифрових систем передавання. Відносна простота та неспростовна логіка побудови обладнання, у якому застосовувався принцип часового ущільнення дозволила йому вийти на перше місце в телекомунікаційному світі та надалі утримувати першість серед цифрових багатоканальних методів ущільнення.
Основною проблемою при застосуванні часового ущільнення в оптичних транспортних інфокомунікаційних мережах є дисперсія оптичних волокон. Зі зменшенням тривалості символу дисперсійні ефекти можуть стати на перешкоді, якщо не вдатися до засобів компенсації дисперсії, як матеріальної так і поляризаційно модової. Одною з цілей даної роботи було проаналізувати методи компенсації дисперсії у волокнах та розробити систему автоматичної компенсації поляризаційно-модової дисперсії. Компенсація поляризаційно-модової дисперсії, наприклад, дозволяє підвищити пропускну здатність тракту мінімум в 1,4 рази - з урахуванням об'ємів інформації, що передається трактами це значне мінімальне поліпшення.
Розгляд питання швидкостей передавання інформації проводиться також при розгляді якісних показників передавання оптичним каналом, оскільки формування спектру оптичного сигналу напряму залежить від тривалості інформаційного імпульсу.
2 ПРОПУСКНА ЗДАТНІСТЬ ЛІНІЙНОГО ТРАКТУ З WDM
Спектральне ущільнення дозволяє зробити оптичну мережу високопродуктивною. Також ця технологія відкриває можливості гнучкого мережевого конфігурування надає набору вузлів та ланок властивостей повністю оптичної мережевої структури.
Найкращим чином інженери фірм розробників та операторів оперують лише параметром «кількість каналів у волокні». Потужність у каналі на стандартному обладнанні регулюється зазвичай не гнучко, а ступінчасто. Тому назріла необхідність вивчити поведінку оптичного каналу в екстремальних умовах надвисокого ущільнення каналів Н-DWDM та не експлуатаційних значень вхідної потужності кожного каналу.
Для цього у нагоді став математичний апарат для аналізу якості передавання в оптичному каналі на основі обчислення співвідношення сигнал/шум після проходження всіх компонентів системи.
Складність нелінійних фізичних ефектів у волокнах не завжди дозволяє однозначно оцінити величину негативних меж канальних впливів.
За допомогою запропонованої моделі, яка була алгоритмізована та перетворена в програмну з'явилася можливість проаналізувати та оптимізувати модель реальної системи передавання з DWDM, обрати необхідне обладнання з найкращими сукупними характеристиками передавання в оптичному каналі та визначити оптимальну кількість компонентів (наприклад дорогих оптичних підсилювачів) такого обладнання. Проведення подібних досліджень на реальних прототипах систем є очевидно неможливим з економічних причин.
Таким чином, аналіз технології спектрального ущільнення зводиться до визначення максимально можливої кількості каналів та потужності при вводі у волокно. Підбір параметрів волокна є складовою частиною роботи, тому розглянуті різні типи волокон з рекомендаціями їх застосування.
3 АСПЕКТИ ЯКОСТІ ПЕРЕДАВАННЯ ІНФОРМАЦІЇ В DWDM СИСТЕМАХ
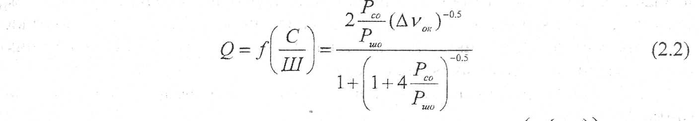
3.1 Q-ФАКТОР - ФАКТОР ЯКОСТІ ПЕРЕДАВАННЯ
Q-фактор - це електричне відношення сигнал/шум (Electrical Signal-to-Noise Ratio (ESNR)) на вході вирішувальної схеми приймача. Питанням виміру Q-фактора присвячена рекомендація ITU O.201. Взаємозв'язок Q-фактора та параметра BER (рівня бітових помилок) описано у ITU G.Sup. 39.
Згідно з
0.201 (див.
рис.1)
Q-фактор
визначається як:
.
Тут
та
-
рівні
напруги передачі «1»
та
«0», а
та
є
девіаціями розподілення
шуму
на рівнях "1"
та
"0".
є положенням порогу
вирішення логічної схеми приймача.
Sampling phase — випадковий період фази.

Рис. 1 Параметри для визначення Q-фактора
Отже Q-фактор є одним з основних параметрів, які характеризують оптичний канал системи передавання, причому неважливо, чи ця система зі спектральним ущільненням, чи вона є одноканальною.
3.2 ЕТАЛОННІ ТОЧКИ ВОСПІ
Приймемо наступні еталонні точки DWDM-системи (див. рис 2):

Рис.2 Еталонні точки ВОСПІ
- Точка MP1-S на вході оптичного волокна (умовно точка 1)
- Точка MPI-R на виході оптичного волокна (умовно точка 2)
Точка 1 включає оптичний сигнал джерела випромінювання, причому вже цей сигнал піддається впливам як мінімум 2-ох факторів:
а) недосконалість спектральної характеристики випромінювача (її розширення),
б) варіації типу джиттер(швидкі коливання) і вандер(повільні коливання) оптичної частоти випромінювача.
Щодо першого випадку, то зміни форми спектральної характеристики мають лежати у межах заявлених виробником, які зазначаються у технічній документації, за умови дотримання умов експлуатації джерел випромінювання. Варіації частоти випромінювання присутні практично у кожному випромінювачі, який випромінює модульований оптичний сигнал. У одних випадках ці зміни незначні, тому ними можна знехтувати. Але існують ситуації, коли система стабілізації частоти лазера не здатна забезпечити реагування на зміну умов експлуатації (зовнішнє середовище, аварійна ситуація) і тоді коливання частоти негативно впливають на якість роботи системи передавання внаслідок наступних причин:
- більшість випромінювачів передбачають фільтрацію сигналу, і тоді сигнальний спектр поза смугою пропускання оптичного фільтру відсікається, що негативно відбивається на потужності канального сигналу, який надалі має передаватися оптичним лінійним трактом.
- частина спектру канального сигналу, все ж буде утворювати перехресні завади із сусідніми оптичними каналами. Причому, тільки використання дорогих фільтрів на різні частоти допоможе уникнути цього.
Обидва формулювання стосуються використанню завідомо прийнятних джерел випромінювання (якісних одно частотних лазерів). Однозначно вони будуть справедливі у тому випадку, якщо якість джерел випромінювання піддається сумнівам, або леєрні випромінювачі безпосередньо посилають оптичне випромінювання на оптичний мультиплексор.
Починаючи з точки 1 і до точки 2 маємо оптичний лінійний тракт. Оптичні волокна, особливо за умови високих оптичних потужностей, що передаються, мають здатність виявляти нелінійні ефекти. Тобто, в околі точки 1 буде спостерігатися розсіювання, що спричинятиме переніс енергії оптичних каналів як у позаканальний діапазон, так і утворення значних паразитних перехресних завад, причому, як правило, низькочастотні канали збагачуються складовими з високочастотних. Крім того, внаслідок дії так званого чотирихвильового змішування утворюються чисельні складові у всьому спектральному діапазоні передавання, частина з яких спричинить ті ж самі перехресні завади. Всі перехресні завади в загальному викликають зниження показника сигнал/шум у кожному з оптичних каналів. Тобто, досягнення високих значень Q-фактора стає все більш проблематичним із збільшенням дії завад.
Якщо у оптичному лінійному тракті застосовані оптичні підсилювачі, то вони вносять як власні шуми, так і шуми, які накопичені до кожного з підсилювачів. Звичайно, накопичені шуми мають значно нижчий рівень, ніж корисний сигнал, але все ж погіршення відношення сигнал/шум має місце.
На точці 2 маємо оптичний сигнал, який необхідно детектувати. Неозброєним оком видно, що всі негативні зміни у спектральному складі сигналу не можуть бути виправлені на приймальному кінці. Отже, аналізові, у першу чергу піддати ділянку між точкою 1 та точкою 2, а також усі фактори які на ній присутні.
Ділянка до точки 1 може бути теоретично проаналізована, але параметри випромінювачів і є тим підґрунтям, на якім буде лежати даний аналіз. Саме туї є можливість оцінити первинний взаємний вплив сусідніх каналів, ще до вводу в оптичний тракт.
Після точки 2 існує лише один критичний параметр, на який слід звернути увагу - це шуми приймача при заданому рівні чутливості. Необхідно відзначити, що при оптичному демультиплексуванні використовується, як правило, дзеркальна копія механізму мультиплексування, тому характеристики взаємних канальних впливів на цій ділянці є аналогічними до тих самих характеристик оптичного мультиплексора.
3.3 ЗВ'ЯЗОК МІЖ Q-ФАКТОРОМ КАНАЛУ ТА КОЕФЩІЄНТОМ ПОМИЛОК
Основним
системним параметром, що характеризує
якісні характеристики системи з цифровим
методом передачі є достовірність
передавання інформації. Як вже відмічалося,
для цифрових систем передачі таким
коефіцієнтом є Кпом
(BER)
або ймовірності Рпом,
що виникають в процесі передачі деякого
числа повідомлень (біт інформації).
Взагалі кажучи Рпом
можна інтерпретувати, як функцію від
відношення с/ш , тобто
.
Для двійкових цифрових каналів такою
функцією є функція Крампа, що протабульована
та широко використовується в інженерних
розрахунках. Таким чином розрахунок
Рпом
еквівалентиний
розрахунку с/ш, а це у свою чергу
реалізується за допомогою аналізу
загальних шумів каналу
системи,
до складу яких включаються перехресні
завади, шуми апаратури, волокна і т.д.
Отже, як було зазначено вище, пропонується розрахувати якісні показники роботи системи передавання інформації - а саме коефіцієнти помилок на виходах. Якщо розглядати коефіцієнт помилок Рпом то для його запису існує формула:

Q - фактор - це системний параметр, що визначається статистичними закономірностями на приймальному кінці системи при прийнятті рішень шодо рівня сигналу у кожен момент часу. Щоб забезпечити визначення якості передавання інформації каналом волоконно-оптичної системи передавання, ці закономірності мають враховувати всі шуми (і, відповідно, завади) цієї системи, описові та визначенню яких і присвячена основна частина даної науково - дослідної роботи.
4 АНАЛІТИЧНИЙ ОПИС МОДЕЛІ ДЛЯ РОЗРАХУНКУ ПЕРЕХРЕСНИХ ЗАВАД СИСТЕМИ DWDM
4.1 ЗАГАЛЬНІ ПОЛОЖЕННЯ
Існує аналітичний запис для знаходження величини Q -фактора:

Відповідно,
в децибелах Q-
фактор
запишеться, як
із
виразу (2).
Таким чином, отримуємо можливість вивести формули для коефіцієнта помилок системи, виходячи з виразів (2) та (1), маючи сумарний оптичний шум системи та потужність за умови передавання рівня нуля.
4.2 РОЗРАХУНОК ЗАГАЛЬНОГО РІВНЯ ШУМІВ СИСТЕМИ
В загальному пропонується рівень шумів розрахувати за допомогою наступного виразу:

Тут N - кількість частотних каналів,
k1, ...k4 - коефіцієнти співвідношень,
Кш.ДВ - значення коефіцієнта шумо-завад для джерел випромінювання,
Кш.ОМ - коефіцієнт шумо-завад оптичного мультиплексора,
Кш.ОП - коефіцієнт шумо-завад для оптичного підсилювача,
М — кількість підсилювачів,
Кш.ФП - коефіцієнт шумо-завад для фотоприймачів ВОСПІ,
Кш.ОВ - коефіцієнт шумо-завад для волокна оптичних трактів.
Всі коефіцієнти мають бути подані для абсолютних потужностей.
4.3 ВРАХУВАННЯ НЕЛІНІЙНИХ ЕФЕКТІВ ОПТИЧНИХ КОМПОНЕНТІВ
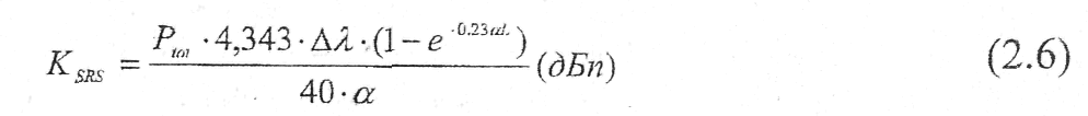
(SRS - Stimulated Raman Scattering) представляє собою значно меншу проблему у порівнянні зі стимульованим Брілюенівським розсіюванням (SBS). Реальні волоконно-оптичні лінії зв'язку (ВОЛЗ) допускають використання оптичного підсилювача (EDFA) c рівнем порядку 25 дБп або декількох підсилювачів з меншим рівнем вихідного сигналу. SRS за своєю природою близьке до SBS, але викликається іншими фізичними явищами.
SRS є частотно-залежним і проявляється більш виражено на коротких хвилях у порівнянні с довгохвилевими (тобто на більш високих частотах). Можна зауважити, що короткохвилеві канали мають набагато меншу амплітуду у порівнянні с довгохвилевими каналами, тобто спостерігається зміна амплітуд сигналів по кожному з каналів. При цьому більшому затуханню піддаються саме більш короткохвилеві (високочастотні) канали. У системах WDM вплив цього типу розсіювання полягає у перерозподілі потужності з короткохвильових у довгохвильові канали. У цьому випадку це явище працює як раманівський підсилювач і довгохвильові канали підсилюються за рахунок короткохвильових до тих пір, доки різниця у довжинах хвиль лежить у смузі частот раманівського підсилення. Це явище може виникнути у кварцовому волокні, де підсилення може стати результатом використання кроку між каналами 200 нм.
Найбільш збіднюються короткохвилеві канали, так як їх потужність може одночасно перекачуватися у багато каналів одночасно. Такий перерозподіл потужності між каналами можна визначити за характеристиками системи, тому що він залежить від характеру розташування біт - підсилення проходить тільки у тому випадку, коли двійкові «1» присутні в обох каналах одночасно. Таке підсилення приводить до збільшення флуктуацій потужності, яка збільшує рівень шуму приймача та погіршує його характеристики. Раманівських перехресних завад можна запобігти, якщо потужності каналів зробити такими малими, що підсилення вийде незначним за всією довжиною волокна. При використанні в системах DWDM Раманівських підсилювачів необхідно враховувати факт виникнення перехресних завад, що викликаються наявністю декількох сигналів, переданих на різних довжинах хвиль.
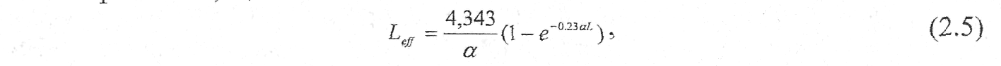
SRS може виникнути у системах, що використовують як одномодове, так і багатомодове волокно. Для того, щоб спостерігати SRS за наявності тільки одного каналу, без використання оптичного підсилювача, необхідно мати рівень сигналу порядку +30 дБп. У літературі для SRS вказується, що поріг, за якого в багатоканальній системі спостерігається погіршення на 1 дБ, що викликається наявністю раманівського випромінювання може бути оцінений з нерівності:

де Рtot
- сумарна
потужність всіх каналів WDM
(мВт),
-
смуга оптичного спектру (нм), у якій
розподілені ці канали, Leff
-
ефективна довжина, виражена в мегаметрах
- Мм, що визначається як:

де а - коефіцієнт загасання волокна (дБ), a L - довжина волокна (км), Отже запишемо з (4),(5):

Поріг SRS для систем, що використовують волокно типу G.653 дещо нижчий, ніж для систем, що використовують волокно типу G.652, завдяки меншій ефективній площі волокна G.653. SRS практично не вносить погіршень в одноканальні системи. Ефект SRS фактично обмежує світлову потужність в каналі.
При використанні одно канальних систем небажані ділянки спектру можуть бути прибрані з допомогою фільтрів. Для WDM систем до цієї пори практично немає технічних прийомів, що дозволили би прибрати вплив SRS. Разом із цим вплив SRS можна знизити шляхом зменшення вхідної оптичної потужності.
(SBS - Stimulated Brillouin Scattering) установлює верхню межу на рівень оптичної потужності, що може бути переданий оптичним волокном. При перевищенні визначеного рівня оптичної потужності, іменованого порогом SBS, в ОВ виникає акустична хвиля, під впливом якої змінюється величина індексу рефракції п. Зміни п викликають розсіювання світла, приводячи до додаткової генерації акустичних хвиль. Для збудження РМБ спектральна густина початкового випромінювання повинна бути значно більшою, ніж для раманівського розсіювання - 10 мВт у смузі частот 10-50 МГц. У кінцевому рахунку, унаслідок цього ефекту, виникає хвиля зі зміщеною частотою (хвиля Стокса - Stokes), що поширюється в зворотньому напрямку до джерела світла, у результаті чого корисна передана оптична потужність послаблюється. Тим самим обмежується гранично досяжна потужність, що може бути передана передавачем у лінію. Наприклад, при довжині хвилі 1550 нм розсіяне світло зсувається вправо приблизно на 11 ГГц. Це розсіювання (SBS) має найнижчу порогову потужність. Було показано, що поріг SBS може змінюватися в залежності від типу волокна і навіть в залежності від конкретного волокна. Поріг має порядок від 5 до 10 мВт для вузькосмугових лазерів із зовнішньою модуляцією. Для лазерів з безпосередньою модуляцією ця потужність може бути порядку 20-30 мВт. Для волокон G.653 поріг SBS дещо менший, ніж для систем G.652. Це виникає завдяки меншій ефективній площі волокон типу G.653. Можна також сказати, що це справедливо для всіх нелінійних ефектів, що розглядаються. Поріг SBS чутливий до спектральної ширини джерела випромінювання і рівня випромінюваної потзокності. Одначе, він не залежить від числа каналів WDM.
Крім ефекту зниження корисної потужності виникають і шуми (підвищується відносна інтенсивність шуму - RIN, наприклад, 3-155 дБ/Гц до – 138 дБ/Гц), що погіршують характеристики BER (імовірність виникнення помилки). Особливо важливо контролювати SBS у високошвидкісних транспортних оптичних системах, обов'язково використовуючи модулятори з зовнішньою модуляцією (External modulators) і лазерні джерела безупинних коливань (CW - Continuous Wave).
Акустична хвиля, що з'являється за своєю природою є гіперзвуковою, і її частотний спектр може розташовуватися до 10...13 ТГц (1013 Гц). SBS обмежує рівень світлової енергії, що може бути передана волокном. Рівень вхідної потужності, яка подається у волокно, за якої проходить різке наростання визначається як поріг SBS та описується формулою:

де g
-
означає
коефіцієнт підсилення Бріллюена, Аeff
-
ефективну
площу серцевини, К
-
постійна,
що визначається ступінню свободи стану
поляризації. Для G.652
- K
= 2. Змінні
та
представляють
спектральну ширину смуги Бріллюена і
джерела накачки відповідно, Leff
- ефективна
довжина.
Погіршення, що викликані SBS не виникнуть у системах, де ширина лінії джерела випромінювання значно перевищує ширину смуги Бріллюена, або там де потужність сигналу менша порогової потужності SBS.
Можна прийняти, що за умови перевищення теоретичного порогу (7) погіршення KSBS складе приблизно 10 дБп на канал, що абсолютно неприпустимо.
Чотирихвильове
змішування (ЧХЗ) виникне, якщо в речовину
ввести два сигнали з різними частотами,
з достатньо великою інтенсивністю -
у
спектрі розсіяного сигналу будуть
компоненти з чотирма частотами (з
врахуванням розсіювання Релея-Мандельштама),
причому у випадку накладання двох з
частот одна на одну, що практично є
можливим, виникають фотони з частотами,
які відрізняються від несучої
.
Частотний
спектр розсіяного випромінювання
розширюється, причому деякі зі складових
можуть підсилюватися за рахунок
подавлення інших. При N
оптичних
несучих у результаті ЧХЗ кількість
складових визначиться співвідношенням:

ЧХЗ може проявлятися і при одному оптичному сигналі, який переносить інформацію методом амплітудної модуляції, тобто його спектр складається з трьох основних складових: центральної частоти та бокових частот, при високих швидкостях передачі бокові частоти є сильно рознесені по відношенню до центральної, тому кожна з них є самостійною несучою з точки зору ЧХЗ. Вплив ЧХЗ на передачу проявляється як додаткові перехресні завади, міжсимвольні завади при високих швидкостях передачі, збіднення потужності сигналів одних каналів за рахунок впливу на інші.
Ефективність ЧХЗ також чутлива до загальної оптичної потужності у волокні. Наближена формула з розрахунку ефективності FWMP для SMF-28 (як найбільш частий випадок на практиці для СНД), з урахуванням частотного кроку розміщення N каналів df. може бути записана у вигляді:

Так, для 8-ми канальної CWDM із іфоком частотного розміщення в df = 200 ГГц (192,4 - 193,8 ТГц) FWMP складе ~ -46,7 дБ, а для 16-ти канального розміщення з частотним кроком у 100 ГГц FWMP складе ~ -37,7 дБ. Нагадаємо, шо електричний еквівалент FWMP дорівнює подвоєному значенню оптичної ефективності FWMP і для останнього випадку буде дорівнює -75,4 дБ.
Найбільший паразитний вплив ЧХЗ справляє на СПІ в яких оптичний тракт побудований на оптичному волокні зі зміщеною нульовою дисперсією G.653 DSF, практично не впливає при одномодовому стандартному волокні G.652 SMF. Досліди показали, що для волокон G.653 ці завади є практично неприйнятними (до 20 дБп ), тоді як для G.652 вони практично відсутні.
Для того, щоб адекватно подавляти генерацію продуктів ЧХЗ в промисловості було запропоновано використання волокна з мінімально допустимою, але ненульовою дисперсією в області підсилення оптичних підсилювачів. Як альтернатива, пропонується використання чергування прольотів з протилежними за знаками дисперсіями. Звичайно, можна забезпечувати збільшення кроку між каналами та існування нерівномірного кроку між ними, за рахунок цього зменшуючи рівень завад від ЧХЗ.
4.4 ВЛАСТИВОСТІ АКТИВНИХ КОМПОНЕНТІВ ОПТИЧНИХ СИСТЕМ ЗІ СПЕКТРАЛЬНИМ УЩІЛЬНЕННЯМ КАНАЛІВ
Якщо визначені специфікації DWDM вимагають дотримання малої ширини смуги випромінювання (0.01...0.5 нм) G.692, G.957, то далеко не всі випромінювачі забезпечують її.
Спектр
сигналу, модульованого за інтенсивністю
нагадує спектр АМ-сигналу. Він містить
бічні складові, причому спектр вихідного
сигналу має бути практично обмеженим
першою гармонікою тактової частоти.
Нестабільність частоти для STM-64
у
10 ГГц
викличе накладання на частоти сусіднього
групового каналу, недопустиме зростання
шуму, подавлення сигналу і зрив
функціонування системи. Для STM-256
навіть
про половину допусків системи STM-64
мову
вести не можна. Тобто, система стабілізації
частоти має бути дуже якісною. Для STM-64
ширина
спектральної лінії не має перевищувати
0.08 нм
при спектральних інтервалах 50
ГГц.
Для STM-16
=
±0.5нм(G.957).
Вихід з вказаних частотних смуг веде до появи недопустимих перехресних завад. В принципі, питання можна розв'язати введенням додаткових фільтрів, але це викличе значне подорожчання системи та необхідність використання додаткових підсилювачів.
Розрахуємо коефіцієнт шумо-завад джерела випромінювання спільно з фотодетектором, використовуючи формули аналізу:

Тут т
- індекс
канальної оптичної модуляції, часто
іменований як ОМІ (Optical
Modulation
Index).
Звичайно виражається у відсотках, але
в розрахункові формули необхідно
підставляти безрозмірну величину, як
m[%]/100.
Наприклад,
т
=
4% еквівалентно т
=
0,04;
- шумова
смуга каналу в виділеній смузі; R
- відносна
інтенсивність шумів RIN
(Relative
Intensity
Noise),
що розраховується, як шумова потужність,
приведена до смуги 1 Гц стосовно оптичної
потужності немодульованій несучій. Має
розмірність дБ/Гц. q
- заряд
електрона, S
- чутливість
оптичного модуля, що залежить від
оптичної довжини хвилі. Типові значення
складають S1310
= 0,85 А/Bт
і SI550
= 0,95 А/Вт на 1310 нм і 1550 нм відповідно.
Фізично параметр S
показує,
який струм (у мА) з'явиться на виході
фотодетектора при впливі на його вході
оптичної потужності в 1 мВт (0 дБп); In
- еквівалентний шумовий тепловий струм
підсилювача, вимірюваний в. пА/
Типова
величина In
для
трансімпедансного каскаду, виконаного
на GaAs
польовому транзисторі, складає 7...8 пА/
.
В
даний час з'явилися малошумлячі
підсилювальні транзистори з дуже великим
вхідним опором, що володіють вхідним
шумовим струмом до 5 пА/
.
Крім того, з обмеженням смуги частот
загальна корисна потужність буде падати,
а із зростанням понад обмеження, вона
буде падати за рахунок перерозподілу
у заборонений позаканальний діапазон
частот, при цьому ініціюється зменшення
відношення сигнал/шум, що у свою чергу
еквівалентне погіршенню якості
передавання інформації у системі.
Запишемо коефіцієнт рівня міжканальних
завад оптичного сигналу, який характеризує
втрати потужності:

тут Ркан
- потужність
оптичного каналу,
-
діапазон частот, виділений на канал.
Далі в розрахунках можна прийняти, що
з врахуванням фільтрації спектру у
якості рівня потужності каналу системи
використовується величина втрат на
перекриття спектрів Ркан.зав,
яку
підсумуємо з експлуатаційними шумами
системи джерело випромінювання -
фотодетектор з виразу.
Оптичний підсилювач підіймає рівень не тільки корисного оптичного сигналу, а й паразитних гармонік, які, власне, й складають основу для перехресних завад оптичних систем. Крім цього, оптичні підсилювачі (як EDFA так і SRS) мають власні шуми.
Наявність коефіцієнта шуму (NF) підсилювача викликана підсиленим спонтанним випромінюванням (ASE). Коефіцієнт шуму ВОП визначається з наступного виразу:

Тут РASE - потужність підсиленого спонтанного випромінювання, h - стала Планка, vc - частота сигналу.

Де пs— коефіцієнт спонтанної емісії. Коефіцієнт спонтанної емісії може приймати значення від 1 до 10 для оптичних підсилювачів з GA >1. Для типових ербієвих підсилювачів сучасних ВОСПІ з GA»10 дБ, типове значення NF лежить у межах 3дБ<NF<6дБ. Якщо підсилювачі вмикаються послідовно каскадами, то можна показати, що шум фактор першого каскаду визначає шум-фактор всього підсилювача. Коефіцієнт шуму NFR раманівського розподіленого підсилювача визначається з виразу:

де GR - коефіцієнт підсилення раманівського підсилювача, який визначається з виразу:

Тут gR - раманівський коефіцієнт, Рн - потужність накачки, Аеф — ефективна площа перерізу, L - довжина волокна. Можна прийняти gR = 7·10-І7км/Вт. Потужність накачки у дійсності лежить у межах від 0.5...0.8 Вт до кількох ват.
Отже, отримуємо загальний коефіцієнт шуму оптичного підсилювача:

NFA - шуми конкретного підсилювача, КА - коефіцієнт підсилення підсилювача, Кш.кан - коефіцієнт шумо-завад каналу передачі, отриманий перед кожним оптичним підсилювачем, М - кількість підсилювачів.
Шуми фотодетектора та, відповідно, коефіцієнт КшФИ задаються, виходячи із даних виробників, які ними подаються.
Кш.ОМ - також розраховується, виходячи з даних виробників обладнання.
Реально враховується 3 дБ запас по відношенню сигнал/шум завдяки кодуванню (FEC), яке застосовується на магістральних ВОСПІ. Цей запас вводиться як покращення с/ш на фотодетекторі і не є максимально можливим.