Кодовое разделение и демодуляция сигналов в системах радиосвязи
Кодовое разделение и демодуляция сигналов в системах радиосвязи
1. ПРИНЦИП РАБОТЫ СИСТЕМ РАДИОСВЯЗИ С КОДОВЫМ РАЗДЕЛЕНИЕМ СИГНАЛОВ
Принцип работы системы сотовой связи с кодовым разделением каналов можно пояснить на таком простом примере. Предположим, что вы находитесь в большом ресторане или магазине, где непрерывно разговаривают на разных языках. Несмотря на окружающий шум (многоголосье), вы понимаете своего партнера, если он говорит на одном с вами языке. На самом деле, в отличие от других цифровых систем, которые делят отведенный диапазон на узкие каналы по частотному (FDMA) или временному (TDMA) признаку, в стандарте CDMA передаваемую информацию кодируют и код превращают в шумоподобный широкополосный сигнал так, что его можно выделить снова, только располагая кодом на приемной стороне. При этом одновременно в широкой полосе частот можно передавать и принимать множество сигналов, которые не мешают друг другу. Центральными понятиями метода многостанционного доступа с кодовым разделением каналов в реализации компании Oualcomm являются расширение спектра методом прямой последовательности (Direct Sequence Spread Spectrum), кодирование по Уолшу (Walsh Coding) и управление мощностью.
Широкополосной называется система, которая передает сигнал, занимающий очень широкую полосу частот, значительно превосходящую ту минимальную ширину полосы частот, которая фактически требуется для передачи информации. Так например, низкочастотный сигнал может быть передан с помощью амплитудной модуляции (AM) в полосе частот, в 2 раза превосходящей полосу частот этого сигнала. Другие виды модуляции, такие как частотная модуляция (ЧМ) с малой девиацией и однополосная AM, позволяют осуществить передачу информации в полосе частот, сравнимой с полосой частот информационного сигнала. В широкополосной системе исходный модулирующий сигнал (например, сигнал телефонного канала) с полосой всего несколько килогерц распределяют в полосе частот, ширина которой может быть несколько мегагерц. Последнее осуществляется путем двойной модуляции несущей передаваемым информационным сигналом и широкополосным кодирующим сигналом.
Основной характеристикой широкополосного сигнала является его база В, определяемая как произведение ширины спектра сигнала F на его период Т.
В результате перемножения сигнала источника псевдослучайного шума с информационным сигналом энергия последнего распределяется в широкой полосе частот, т. е. его спектр расширяется.
Метод широкополосной передачи был открыт К.Е, Шенноном, который первым ввел понятие пропускной способности канала и установил связь между возможностью осуществления безошибочной передачи информации по каналу с заданным отношением сигнал/шум и полосой частот, отведенной для передачи информации. Для любого заданного отношения сигнал/шум малая частота ошибок при передаче достигается при увеличении полосы частот, отводимой для передачи информации.
Следует отметить, что сама информация может быть введена в широкополосный сигнал несколькими способами. Наиболее известный способ заключается в наложении информации на широкополосную модулирующую кодовую последовательность перед модуляцией несущей для получения широкополосного шумоподобного сигнала ШПС (рис. 1).
Узкополосный сигнал умножается на псевдослучайную последовательность (ПСП) с периодом Т, состоящую из N бит длительностью r>0> каждый. В этом случае база ШПС численно равна количеству элементов ПСП.

Рис. 1
Этот способ пригоден для любой широкополосной системы, в которой для расширения спектра высокочастотного сигнала применяется цифровая последовательность.
Сущность широкополосной связи состоит в расширении полосы частот сигнала, передаче широкополосного сигнала и выделении из него полезного сигнала путем преобразования спектра принятого широкополосного сигнала в первоначальный спектр информационного сигнала.
Перемножение принятого сигнала и сигнала такого же источника псевдослучайного шума (ПСП), который использовался в передатчике, сжимает спектр полезного сигнала и одновременно расширяет спектр фонового шума и других источников интерференционных помех. Результирующий выигрыш в отношении сигнал/шум на выходе приемника есть функция отношения ширины полос широкополосного и базового сигналов: чем больше расширение спектра, тем больше выигрыш. Во временной области — это функция отношения скорости передачи цифрового потока в радиоканале к скорости передачи базового информационного сигнала. Для стандарта IS-95 отношение составляет 128 раз, или 21 дБ. Это позволяет системе работать при уровне интерференционных помех, превышающих уровень полезного сигнала на 18 дБ, так как обработка сигнала на выходе приемника требует превышения уровня сигнала над уровнем помех всего на 3 дБ. В реальных условиях уровень помех значительно меньше. Кроме того, расширение спектра сигнала (до 1,23 МГц) можно рассматривать как применение методов частотного разнесения приема. Сигнал при распространении в радиотракте подвергается замираниям вследствие многолучевого характера распространения. В частотной области это явление можно представить как воздействие режекторного фильтра с изменяющейся шириной полосы режекции (обычно не более чем на 300 кГц). В стандарте AMPS это соответствует подавлению десяти каналов, а в системе CDMA подавляется лишь около 25% спектра сигнала, что не вызывает особых затруднений при восстановлении сигнала в приемнике.
2. ИСПОЛЬЗОВАНИЕ СОГЛАСОВАННЫХ ФИЛЬТРОВ ДЛЯ ДЕМОДУЛЯЦИИ СЛОЖНЫХ СИГНАЛОВ
Составные сигналы, используемые в системах с кодовым разделением каналов, помимо большой базы, характеризуются большой избыточностью, поскольку все элементарные сигналы, служащие для передачи одного символа двоичного кода, переносят одну и ту же информацию.
Прием этих сигналов, как и прием любых сигналов с избыточностью, можно осуществлять поэлементно или в целом. Для систем, где применяются ШПС, характерен прием в целом. Только при обработке составного сигнала в целом возможно, в частности, осуществить раздельный прием лучей при многолучевом распространении и реализовать полностью другие преимущества связи посредством ШПС.
Прием ШПС, как, впрочем, и любых других сигналов осуществляется с помощью оптимальных приемников, минимизирующих вероятность ошибки. Известно, что структура оптимального приемника зависит от вида модуляции, а также от того, какое количество параметров сигнала известно в точке приема (когерентный или некогерентный прием и т.п.). Однако в любом случае в состав оптимального приемника входит коррелятор или согласованный фильтр и решающее устройство. Рассмотрим использование СФ для приема фазоманипулированных шумоподобных сигналов ФМШПС (рис.2), являющихся широко распространенной разновидностью сложных сигналов.
Согласованный фильтр (рис.2) согласован с ШПС, который переносит информацию.
Если использовать ШПС Uk(t), то импульсная реакция СФ

где а - некоторая постоянная; Т - длительность ШПС.
Допустим, что для передачи "1" информационной последовательности используется сигнал Uk(t), а для передачи "О" используется противоположный сигнал -Uk(t) (передача ( активной паузой).
В качестве ШПС выберем код Баркера (Nэ=7). Тогда

Форма сигнала Uk(t) показана на рис.3. Согласованные фильтры могут быть аналоговыми и дискретными. Многочастотные ШПС обрабатываются в многоканальных СФ, а для составных сигналов типа ФМШПС используют СФ, которые строятся на основе многоотводной линии задержки (МЛЗ). В качестве МЛЗ применяют отрезки коаксиального кабеля, ультразвуковые линии задержки с использованием поверхностных акустических волн (ПАВ). Известны также дискретно-аналоговые СФ на приборах с зарядовой связью (ПЗС). Полоса пропускания МЛЗ должна быть не меньше ширины спектра ШПС.

Рис.2
Если в дискретном СФ отсчеты преобразовать с помощью АЦП в кодовые группы, то фильтр превращается в цифровой СФ. Для реализации цифровых СФ предполагается использовать специализированные большие и сверхбольшие интегральные микросхемы (БИС и СБИС). Согласованный фильтр обладает свойством инвариантности относительно амплитуды, временного положения и начальной фазы сигнала.
На рис.3 представлен аналоговый линейный СФ на МЛЗ. Вследствие показанному на рис.3 включению фазовращателей (ФВ) такой фильтр согласован с кодовой последовательностью Бартера (N>Э>=7).

Рис.3
Подобный метод приема можно использовать тогда, когда известны форма сигнала Uk(t), момент начала и окончания интервала [0,Т] и несущая частота ВЧ колебания. Неизвестна только начальная фаза несущей, но она одинакова у всех элементов составного сигнала (рис.2). В этом случае говорят о некогерентном приеме с когерентным накоплением. Некогерентность приема связана с тем, что на вход стробирующего устройства СУ подается не сам сигнал, а его огибающая. Таким образом, СФ реализует оптимальный метод приема известного сигнала с неопределенной фазой.
На рис.4,а показано напряжение на выходе СФ Ucф(t), которое повторяет в масштабе реального времени автокорреляционную функцию ШПС, с которым согласован фильтр. Сравнение рис.2 с рис.4,а позволяет убедиться в том, что СФ оказывает значительное влияние на ШПС, и отклик фильтра, повторяя АКФ сигнала, мало похож на сам сигнал, действующий на входе СФ.
На рис.4, 6 представлено напряжение на выходе детектора огибающей.

Рис.4
Решающее устройство РУ должно в момент окончания сигнала (t=T) принять решение:
какой из сигналов (Uk(t) или -Uk(t)) поступил на вход СФ, т.е. какой из информационных символов (1 или 0) был передан.
Напряжение на выходе детектора огибающей СФ представляет собой последовательность АКФ сигнала Uk(t). Для простоты изображены идеальные АКФ в виде треугольных импульсов с длительностью основания 2τо (рис. 5).

Рис.5
Синхронизатор осуществляет поиск ШПС, а затем измеряет время задержки t>з> и создает метки времени, соответствующие окончанию ШПС и совпадающие с центром АКФ (рис.5.б). Физически эти метки представляют собой импульсы, вырабатываемые генератором тактовых импульсов ГТИ. Устройство, осуществляющее указанные измерения, называется схемой слежения за задержкой (ССЗ). В этой схеме используются методы, развиваемые и применяемые в радиолокации.
3. ЭНЕРГЕТИЧЕСКИЕ СООТНОШЕНИЯ В СИСТЕМАХ С КОДОВЫМ РАЗДЕЛЕНИЕМ КАНАЛОВ
Большим достоинством ААСС является отсутствие необходимости точной синхронизации работы всех МС. Это делает систему более простой по устройству и более гибкой в эксплуатации: облегчается доступ новых абонентов в общий канал связи, упрощается конструкция ретрансляторов, легче решается вопрос изменения числа абонентов.
Считают, что ААСС обладает способностью к саморегулированию, которая заключается в том, что по мере роста числа одновременно работающих МС качество связи плавно ухудшается. Это стимулирует тех абонентов, сообщение которых не представляет особой срочности, выходить из системы в ожидании более благоприятного момента для связи, что восстанавливает нормальное качество радиотелефонных переговоров.
Однако работа МС в условиях взаимных помех требует введения системы регулирования мощности передатчиков подвижных абонентов с точностью до 0.5 дБ.
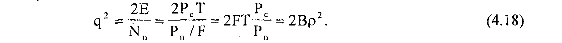
Известно, что помехоустойчивость широкополосных систем определяется соотношением, связывающим отношение сигнал/помеха на выходе приемника (на выходе СФ, т.е. на входе РУ) q2 с отношением сигнал/помеха на входе приемника ρ2

Рс,Р>п> - мощности сигнала и помеха на входе приемника;

Е=РсТ - энергия ШПС;
Nn - спектральная плотность мощности помехи в полосе ШПС;
Т - длительность тактового интервала. В самом деле.

Отношение сигнал/помеха на входе РУ q2 определяет рабочие характеристики приемника ШПС, а отношение сигнал/помеха на входе приемника q2 - энергетику сигнала и помехи.

Из него следует, что даже при ρ2 «1 посредством увеличения базы ШПС можно получить h2 =10... 30 дБ для обеспечения вероятности ошибки порядка Рош=10–4...10–5 . Увеличение базы сигнала практически достигается либо расширением полосы (F), занимаемой спектром ШПС, либо уменьшением скорости передачи информации (увеличением Т).
Прием ШПС согласованным фильтром или коррелятором сопровождается усилением сигнала в 8 раз. Например, если необходимо иметь h2 =20 дБ, а на входе приемника ρ2=-40 дБ, то требуемая база должна быть равна 60 дБ, т.е. В=106.
Соотношения являются фундаментальными в теории систем связи с МДКР. Они получены для помех в виде «белого шума, т.е. с равномерной спектральной плотностью мощности в пределах полосы частот, ширина которой равна ширине спектра ШПС. Вместе с тем приближенно можно считать, что соотношения справедливы для широкого круга помех (узкополосных, импульсных, структурных).
Обозначим через М число абонентов сети ААСС, которые одновременно работают в данной полосе частот F. На вход приемника БС, принимающего информацию от j-ой МС, поступают сигналы от М-1 мешающих абонентов, создающих помехи. Полезный сигнал и мешающие сигналы имеют различные структуры, но мощности их одинаковы и равны Ре. Будем считать, что значение М достаточной велико, вследствие чего результирующая взаимная помеха, образованная (М-1) мешающими сигналами, представляет собой нормальный случайный процесс. В этом случае спектральная плотность мощности взаимных помех постоянна в пределах общей полосы частот и равна

где а
1
- некоторый поправочный коэффициент,
определяемый структурой используемых
сигналов, а именно свойствами их ВКФ.
С учетом собственных шумов приемника имеем

где No- спектральная плотность мощности флуктуационных шумов.
Тогда величина отношения энергии ШПС к результирующей спектральной плотности мощности помеха+шум имеет вид

Разделив числитель и знаменатель на No, получим

Пусть теперь h>τp>2 - требуемая для получения заданной вероятности ошибки Рош=–10–4...10–5 величина h2 . Тогда получаем допустимое число одновременно работающих в заданной полосе МС, которое определяется соотношением

Из формулы видно, что
- допустимое число одновременно работающих радиостанций возрастает при увеличении базы широкополосных сигналов;
величина Мдоп возрастает при улучшении взаимно-корреляционных свойств сигналов,
когда а—>1.
Кроме того видно, что Мдоп зависит от соотношения между h>τp>2 и h>0>2.
Если h>τp>2
–h>0>2,
то, как и следовало ожидать М>доп>=1,
т.е. в системе может работать только
одна абонентская станция. Если же h>0>2—>
,
то максимально возможное в данных
условиях число станций
