Моделирование пассивных и активных фильтров
Министерство образования и науки Украины
Моделирование пассивных и активных фильтров
ЦЕЛЬ РАБОТЫ
Пользуясь программной средой Electronics Workbench смоделировать: пассивные фильтры низкой частоты (ФНЧ), однозвенные и двухзвенные; пассивные фильтры высокой частоты (ФВЧ), однозвенные и двухзвенные; полосовой и режекторный фильтры (ППФ); активный ФНЧ на ОУ; активный ФВЧ на ОУ; полосовой фильтр активного типа.
С помощью программы FilterLab построить АЧХ и ФЧХ, смоделировать электрические схемы для фильтров Баттерворта и Чебышева.
ХОД РАБОТЫ
Параметры
элементов однозвенного пассивного ФНЧ
рассчитываются, исходя из требуемой
частоты среза f>0>
и принятого волнового сопротивления
р. В рассматриваемом примере имеем при
f>0
>=
10 000 Гц и
= 8 Ом:
мкГн,
мкФ.

Рисунок 1 - Пассивный фильтр низкой частоты (ФНЧ), однозвенный.
В случае двухзвенного фильтра по сравнению с однозвенным, удается получить характеристику с более крутым фронтом.

Рисунок 2 - Пассивный фильтр низкой частоты (ФНЧ), двухзвенный.
Параметры
элементов однозвенного ФВЧ рассчитываются,
исходя из требуемой частоты среза f>0>
и принятого волнового сопротивления
р. В рассматриваемом примере имеем при
f>0>=
300 Гц и
=
8 Ом:
мкГн,
мкФ.

Рисунок 3 - Пассивный фильтр высокой частоты (ФВЧ), однозвенный.
В случае двухзвенного фильтра, по сравнению с однозвенным, удается получить характеристику с более крутым фронтом.

Рисунок 4 - Пассивный фильтр высокой частоты (ФВЧ), двухзвенный.
Параметры элементов двухконтурного полосового фильтра рассчитываются, исходя из центральной частоты фильтра f>0>. При С = 1000*10-9 Ф и L = 0,25 мкГн имеем:
МГц.
Далее резонансные частоты контуров раздвигаются, для чего емкость одного увеличивается на 1-2 %, другого - уменьшается. Чем шире должна быть получена полоса пропускания фильтра, тем больше это изменение емкости.

Рисунок 5 - Полосовой фильтр.
Параметры элементов трехконтурного режекторного фильтра, как и в предыдущем случае, рассчитываются исходя из центральной частоты фильтра f>0>. В рассматриваемом случае центральная частота f>0> = 0.32 МГц.

Рисунок 6 - Режекторный фильтр.
Комплексный коэффициент активного ФНЧ 1-го порядка определяется выражением:

для модуля коэффициента передачи имеем:

где Т = R>2>C>2> - постоянная времени фильтра.

Рисунок 7 - Активный ФНЧ на ОУ.
для модуля коэффициента передачи активного ФВЧ имеем

где Т = R>1>C>1> - постоянная времени фильтра.

Рисунок 8 - Активный ФВЧ на ОУ.
Комплексный коэффициент активного фильтра 2-го порядка определяется выражением:

Проводимости равны:
Y>1
>=
g>1
>=
1/R>1>,
Y>2
>=
g>2
>=
1/R>2>,
Y>3
>=
j
C>3>,
Y>4
>=
j
C>4>,
Y>5
>=
g>5
>=
1/R>5>.
При данных величинах для модуля комплексного коэффициент передачи равен:


Рисунок 9- Полосовой фильтр активного типа.
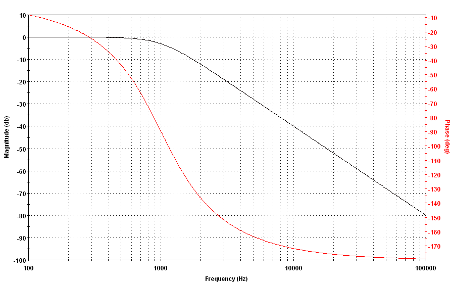
АЧХ и ФЧХ для ФНЧ 1-го порядка Баттерворта и Чебышева:

Рисунок 9- АЧХ и ФЧХ.
Электрическая схема:

Рисунок 10 - Электрическая схема.
АЧХ и ФЧХ для ФНЧ 2-го порядка Баттерворта и Чебышева:

Рисунок 11- АЧХ и ФЧХ.
Электрическая схема:

Рисунок 12 - Электрическая схема.
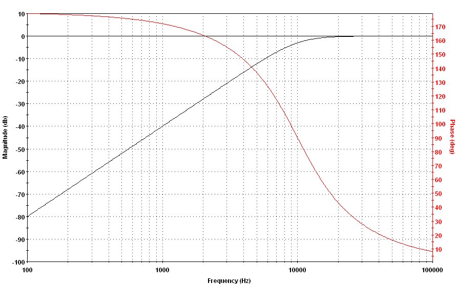
АЧХ
и ФЧХ для ФВЧ 1-го порядка Баттерворта
и Чебышева:
Рисунок 13 - АЧХ и ФЧХ.

Рисунок 14 - Электрическая схема
АЧХ и ФЧХ для ФВЧ 2-го порядка Баттерворта и Чебышева:

Рисунок 15 - АЧХ и ФЧХ.
Электрическая схема:

Рисунок 16 - Электрическая схема
Таблица 1.1- Расчет фильтров 2-го порядка при f=150 KHz
|
Фильтр |
С=, nF |
R1=, KОм |
R2=, KОм |
Rfb=,KОм |
|
Bessel |
1 |
0.779 |
2.338 |
6.234 |
|
Butterworth |
1 |
0.750 |
1.501 |
4.502 |
|
Chebyshev (0.5 dB Ripple) |
1 |
0.779 |
1.045 |
3.648 |
|
Chebyshev (1 dB Ripple) |
1 |
0.815 |
0.891 |
3.411 |
|
Chebyshev (2 dB Ripple) |
1 |
0.898 |
0.705 |
3.207 |
|
Chebyshev (3 dB Ripple) |
1 |
0.996 |
0.585 |
3.163 |
Выводы
В ходе лабораторной работы мы ознакомились со схемотехническими особенностями различных типов фильтров.
Определили то, что АЧХ фильтра должна приближаться к идеальной, а затухания, вносимые им, быть минимальными.
Пассивные фильтры вносят большие затухания по сравнению с активными фильтрами, однако имеют простоту в схемотехническом решении и расчёте составляющих его деталей.
Данные типы фильтров нашли широкое применение в широкополосных усилителях и акустике, которые имеют раздельные тракты НЧ, СЧ, ВЧ.