Виброизмерительные преобразователи
Министерство образования и науки Украины
Запорожский национальный технический университет
Кафедра КПР
Отчет
по лабораторной работе №1
"ВИБРОИЗМЕРИТЕЛЬНЫЕ ПРЕОБРАЗОВАТЕЛИ"
По дисциплине:
"Методы и способы исследования ЭС"
2003
1. Классификация вибропреобразователей
Источником сигнала измерительной информации о значениях измеряемых параметров вибрации является виброизмерительный преобразователь (вибропреобразователь). Современные вибропреобразователи, в основном, построены на принципах электрических измерений не электрических величин (сигналов), когда механические колебания преобразуются в электрические. Виброизмерительные преобразователи классифицируются по ряду независимых признаков:
• по значению – измерительные преобразователи могут предназначаться для измерения различных параметров вибрации. В зависимости от измеряемого параметра вибрации вибропреобразователи могут называть: акселерометрами – для измерения ускорения и велосиметрами – для измерения скорости.
• по связи (взаимодействию) воспринимающей (чувствительной) части с объектом измерения различают контактные и бесконтактные преобразователи. Применение контактных или бесконтактных преобразователей зависит от размеров и массы вибрирующих изделий. Если размеры и массы изделий соизмеримы или меньше размеров и масс контактных преобразователей, то необходимо применять бесконтактные измерительные преобразователи.
• по принципу измерения относительно системы отсчета измерительные преобразователи могут быть основаны: на определении координат отдельных точек изделия относительно неподвижной системы отсчета, с которой ведутся наблюдения – кинематический принцип: на создании искусственной неподвижной системы отсчета в виде инерционного элемента, соединяемого с вибрирующим изделием через упругий подвес (мягкую пружину) – динамический принцип. При осуществлении динамического принципа измерения параметров вибрации изделия, производимое в условиях установившегося процесса, относительно инерционного элемента будет абсолютным. Преобразователи построенные по динамическому принципу часто называют инерционными.
• по принципу преобразования механических колебаний в другие виды колебаний различают активные и пассивные измерительные преобразователи. В активных измерительных преобразователях выходной сигнал получается за счет входной механической энергии и постоянного источника энергии. К активным преобразователям относятся фотоэлектрические, гамма-квантовые, емкостные и др. В пассивных измерительных преобразователях выходной сигнал получается только за счет входной механической энергии. К пассивным преобразователям относятся: пьезоэлектрические, электретные и др.
• по роду измеряемых компонентов вибрации различают преобразователи для измерения линейных компонентов колебаний (однокомпонентные, двухкомпонентные, трехкомпонентные), а также для измерения угловых компонентов.
• по направлению приложения силы при механических воздействиях различают измерительные преобразователи направленного и ненаправленного действия. В инерционных преобразователях ненаправленного действия упругий подвес обеспечивает сохранение положения и ориентации в абсолютном пространстве. По этому они могут выдавать все шесть компонентов вибрации. В преобразователях направленного действия обеспечивается измерение только одного линейного или углового компонента вибрации.
• по физическому явлению доложенному в основу метода измерения параметров механических колебаний, измерительные преобразователи можно объединить в следующие основные группы: механические, акустические (ультразвуковые), электрические, электромагнитные (радиотехнические), оптические (световые) и радиационные.
2. Основные параметры вибропреобразователей
Основные параметры, характеризующие вибропреобразователи (виброметры) и позволяющие осуществить их сравнение и выбор наиболее приемлемых для измерений являются следующие:
• измеряемый параметр линейной вибрации: перемещение (5), скорость (V), ускорение (а), резкость (г), частота (Г), коэффициент нелинейных искажений (р) и т.д.
• диапазон значений измеряемого параметра вибрации, для которого нормированы допускаемые погрешности. При рассмотрении вибропреобразователя совместно с виброметром минимальное значение измеряемого параметра определяется напряжением шума согласующего усилителя

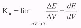
действительный коэффициент преобразования вибропреобразователя – отношение изменения сигнала на выходе вибропреобразователя к вызывающему его изменению параметра вибрации на входе:

где: АЕ – изменение величины сигнала на выходе;
AV – изменение измеряемого параметра вибрации.
При линейной зависимости между Е и V:

• минимальное изменение измеряемого параметра вибрации, вызывающее соответствующее изменение показаний виброметра, называется порогом чувствительности.
• рабочий диапазон частот гармонических вибраций определяется диапазоном частот, в пределах которого неравномерность амплитудно-частотной характеристики по отношению к базовой частоте 1000 Гц не превышает установленного значения.
• основная погрешность вибропреобразователя (виброметра) определяется:
а) при постоянном значении величины измеряемого параметра вибрации в пределах измерения рабочего диапазона частот (неравномерность амплитудно-частотной характеристики);
б) при различных значениях величины измеряемого параметра на неизменной частоте в пределах установленного диапазона измерений (нелинейность амплитудной характеристики).
• коэффициент поперечного преобразования вибропреобразователя отношение изменения сигнала на выходе вибропреобразователя, установленного перпендикулярно направлению действующих колебаний, к вызывающему его изменению параметра вибрации на входе;

где АЕ – изменение величины сигнала на выходе;
AV – изменено измеряемого параметра вибрации.
При линейной зависимости между Е и V:

где Е – максимальное значение сигнала при ряде измерений в различных положениях вибропреобразователя.
• относительный коэффициент поперечного преобразования вибропреобразователя – отношение коэффициента поперечного преобразования к коэффициенту преобразования:

• возможность использования вибропреобразователя при температурных, влажностных и других климатических воздействиях.
• независимость измерения от внешних электрических и магнитных полей.
• возможность использования вибропреобразователя для измерений в эксплуатационных, лабораторных и производственных условиях, а также для метрологических целей.
3. Основные критерии оценки бесконтактных вибропреобразователей
Для сравнения бесконтактных методов измерения параметров вибрации и основанных на них виброизмерительных преобразователей целесообразно пользоваться, помимо перечисленных параметров, следующими критериями оценки: характер физических полей или излучений, взаимодействующих в процессе измерений; величина зазора между вибрирующим изделием и чувствительным элементом вибропреобразователя, а в ряде случаев и источником (излучателем) колебательной энергии; погрешность установки зазора; разрешающая способность метода измерений; критичность к качеству механической развязки вибратора и вибрирующего изделия с источником (излучателем) колебательной энергии или чувствительным элементом вибропреобразователя.
Характер взаимодействия используемых физических полей колебательной энергии (механических или электрических волновых явлений) с поверхностью материала изделия существенно зависит от условий их распространения. При этом, в случае использования энергий электрического или магнитного полей (радиотехнического диапазона частот) необходимо учитывать электрические и магнитные свойства изделия.
Зависимость возможности реализации ряда бесконтактных методов измерений параметров вибрации от характера взаимодействия используемой для измерений колебательной энергии с материалом изделия приводит в ряде случаев к необходимости искусственного придания поверхности изделия определенных свойств (создание зеркального отражения, обеспечения электропроводимости и т.д.). Если при этом происходит заметное изменение габаритов и масс испытываемых изделий, то данный метод нельзя рассматривать как бесконтактный.
Величина зазора между вибрирующим изделием и чувствительным элементом вибропреобразователя или источником (излучателем) колебательной энергии для ряда методов является весьма критичной, поскольку от нее зависит максимальная величина измеряемой амплитуды перемещения, а также порог чувствительности вибропреобразователя. Для некоторых методов погрешность измерений зависит не только от величины зазора, но и от соотношения величины максимальной амплитуды перемещения (Sa max) и величины зазора So. Причем в ряде случаев имеются определенные требования к величине данного соотношения (Sa max/So). Например, для бесконтактного электретного вибропреобразователя Sa max/So < 0,1. Порог чувствительности для ряда методов определяется максимальной величиной зазора, при которой сигнал на выходе вибропреобразователя оказывается соизмеримым с уровнем шумов или минимальное изменение измеряемого параметра вибрации вызывает изменение показаний виброметра, соизмеримое или меньше числа отсчета измеряемой величины. Зависимость точностных характеристик некоторых методов измерений от предельных значений зазора, а ряде случаев от точности его установки, приводит к необходимости введения в рассмотрение параметра – погрешность установки зазора.
Разрешающая способность метода измерений характеризует его способность обеспечивать раздельное наблюдение и измерение параметров вибрации близко расположенный друг к другу элементов конструкций или изделий. При измерении линейной вибрации следует пользоваться разрешающей способностью в плоскости и разрешающей способностью по зазору, т.е. по расстоянию от источника (излучателя) колебательной энергии до вибрирующего элемента конструкции или изделия.
Разрешающей способностью в плоскости называется минимальное расстояние между элементами конструкции или изделия, расположенными в одной плоскости, при котором возможно раздельное измерение их параметров вибрации.
Разрешающей способностью по зазору называется минимальная разность зазоров между элементами конструкции или изделиями и вибропреобразователем или источником (излучателем) колебательной энергии, при котором возможно раздельное измерение их параметров вибрации. При измерении угловой вибрации следует пользоваться разрешающей способностью по зазорам и разрешающей способностью по угловым координатам.
Разрешающей способностью по угловым координатам называется минимальная разность угловых координат элементами конструкции или изделиями, находящимися на одинаковом расстоянии от вибропреобразователя или источника (излучателя) колебательной энергии, при котором возможно раздельное измерение их параметров угловой вибрации.
Критичность к качеству механической развязки вибратора и вибрирующего изделия с виброизмерительной системой (излучатель энергии и вибропреобразователь) связана с тем, что в основу бесконтактных методов положен кинематический метод преобразований.
4. Понятие пьезоэффекта и его основные параметры
В настоящее время наиболее широкое применение контактные пьезоэлектрические вибропреобразователи инерционного действия. Пьезоэлектрические вибропреобразователи основаны на использовании явлений прямого и обратного пьезоэффектов. При прямом пьезоэффекте под действием механических сил на некоторые вещества с кристаллической структурой возникает деформация элементарных ячеек кристалла, приводящая к смещению положительных и отрицательных ионов относительно друг друга, что вызывает электрическую поляризацию вещества. При обратном пьезоэффекте воздействие внешнего электрического поля вызывает относительное смещение положительных и отрицательных ионов, что приводит к деформации вещества. Пьезоэффект наиболее сильно выражен у кварца, сегнетовой соли, титаната бария, цирконата титана свинца (ЦТС), ряда других материалов.
Основными параметрами, характеризующими Пьезоэффект являются: напряженность электрического поля £, поляризация Р (или электрическая индукция D), упругое напряжение <3 и деформация С3. Упругое напряжение (СТ) определяется как сила, действующая на единицу площади. Деформация L, объема пьезоэлемента сопровождается некоторым его смещением Y, которое может быть представлено вектором с компонентами Yx, YY, Yz, направленными по осям симметрии кристалла. Поляризация Р изотропного диэлектрика, помещенного в электрическое поле 8, определяется следующей формулой:

где X – коэффициент поляризации. Величины Р и 8 являются векторами, Электрическая индукция:

где ЕО – электрическая постоянная;
Е – диэлектрическая проницаемость диэлектрика.
Если пренебречь анизотропными свойствами диэлектрика и предположить однонаправленность электрического поля, то математическое выражение прямого пьезоэффекта имеет вид:

где d – пьезомодуль, характеризующий взаимозависимость между механическими и электрическими величинами;
– упругое напряжение; D
– электрическая индукция. При этом
обратный пьезоэффект описывается
выражением:

где
– деформация;
– напряженность
электрического поля. Численное значение
пьезомодуля различно для различных
кристаллических веществ. Из формул (3)
и (4) следует, что

Индекс –
означает, что при прямом пьезоэффекте
напряженное состояние кристалла
создается в отсутствии внешнего
электрического поля (т.е. к обкладкам
кристалла не подводится внешнее
напряжение).
Индекс
означает, что при обратном пьезоэффекте
создается внешнее поле в отсутствии
напряжений в кристалле (кристалл не
задан).
5. Условия применения вибропреобразователей инерционного действия
1. Габаритные
размеры и массы измерительных
преобразователей должны быть достаточно
малы, чтобы они не оказывали обратного
действия на испытываемые изделия, а
также чтобы обеспечивались измерения
вибрации в «точке», а не на «площади».
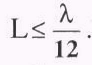
1 Известно, что скорость распространения
продольных колебаний в твердых телах
составляет 5*103 м/с. При воздействии
вибрации в механических элементах
конструкции преобразователя возникают
стоячие волны, длина которых оказывается
соизмеримой с габаритными размерами
указанных элементов, в результате чего
форма частотной характеристики
преобразователя искажается. Поэтому
необходимо, чтобы максимальный габаритный
размер преобразователя L
был бы значительно меньше длины (К)
распространяющейся волны, т.е.
При выполнении данного требования можно
считать, что вибропреобразователь
позволяет измерять параметры вибрации
в определенной точке испытываемого
изделия.
2. С целью уменьшения габаритов преобразователя необходимо изготавливать инерционный элемент из металлических сплавов с большой плотностью.
3. Создание восстанавливающей силы, обеспечивающей демпфирование инерционного элемента, достигается с помощью специальных пружин, обеспечивающих подвес инерционного элемента к корпусу преобразователя. ' При выборе материала пружины следует учитывать, что величина коэффициента упругости, изготовленной из него пружины, существенно влияет на собственную частоту механического резонанса преобразователя, а также, что он определяет статическую прочность упругого подвеса. Необходимо также, чтобы его допустимая деформация была достаточно большой. При этом пределы пропорциональности не должны нарушаться.
4. Как указывалось, наибольшее применение получили преобразователи направленного действия. Однако, при испытаниях, в некоторых случаях, на преобразователь может действовать произвольная вибрация и тогда возникает вопрос, действие какой из компонент измеряется преобразователем. Для уменьшения чувствительности преобразователи к неизмеряемым компонентам прибегают к различным конструктивным усовершенствованиям.
5. Анализ приведенных выше условий применения измерительных преобразователей позволяет сделать вывод о предпочтительном использовании акселерометров, а не велосиметров, т. к. они могут иметь меньшие габариты и более широкий частотный диапазон. Необходимость измерения параметров вибрации в диапазоне высоких частот обусловлена быстрым развитием скоростных видов транспорта и особенно авиации и космонавтики.
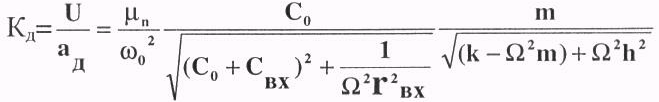
6. Причины неравномерности амплитудно-частотной характеристики пьезоэлектрических вибропреобразователей
Одним из основных параметров вибропреобразователей является действительный коэффициент преобразования (Кл), характеризующий чувствительность преобразователя к ускорению. Пользуясь приводимыми выше формулами можно вывести уравнение для определения Кд, дающее возможность проанализировать амплитудно-частотную характеристику пьезообразователя.

где: Свх – входная емкость вместе с приведенной емкостью кабеля, измеренные на входе измерительной схемы;
– частота колебаний; гвх.
входное сопротивление измерительной
схемы;
k=(k) d=o – коэффициент упругости пьезоэлемента при отсутствии заряда;
h
– коэффициент демпфирования. В области
низших частот можно пренебречь суммой
С0 + Свх по сравнению с
и тогда:

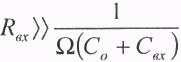
Анализ приведенной формулы показывает, что амплитудно-частотная характеристика пьезопреобразователя имеет завал в области низких частот, который тем ближе к О.=0, чем сильнее неравенства:


Физически этот завал объясняется тем, что заряды на гранях пьезопреобразователя относительно быстро стекают через RBX, а также через изоляцию и по поверхности пьезокристалла. Поэтому с уменьшением частоты колебаний это стекание зарядов заметнее. Уменьшение завала частотной характеристики достигается за счет применения соответствующих пьезоматериалов, улучшения изоляции, укорочения кабеля, использования в измерительной схеме входных устройств с большим RBX, а также включение дополнительных конденсаторов, ёмкость которых позволяет сдвигать завал характеристики ближе к W=0. С целью уменьшения завала амплитудно-частотной характеристики преобразователя в области низших частот целесообразно увеличивать собственную ёмкость Со за счет увеличения толщины кристалла, что ведет к снижению чувствительности, но к возрастанию упругости К и изменению

Сильное шунтирующее действие на собственную ёмкость преобразователя оказывает ёмкость проводов (кабелей), которая может быть сравнима с ёмкостью преобразователя.
В области высших частот амплитудно-частотная характеристика будет равномерной, если выполняется условие, что собственная частота Wo колебательной системы преобразователя значительно выше частоты Q.B в спектре вибрации:

7. Условия осуществления оптимальной конструкции пьезоэлектрического вибропреобразователя
Желательно, чтобы пьезоэлектрический вибропреобразователь имел большой коэффициент преобразования и высокую собственную частоту преобразования (сои) и емкость (С»). Однако, формулы (6) и (7) показывают, что эти требования частично противоречивы. Увеличение модуля упругости (Е) только повышает собственную частоту. Увеличение диэлектрической проницаемости увеличивает собственную ёмкость С» и уменьшает коэффициент преобразования. Увеличение частоты (В) пьезоэлемснта и инерционного элемента увеличивает коэффициент преобразования, но понижает собственную ёмкость (С»). Увеличение площади пьезоэлемента S1 повышает собственную ёмкость (С»), но требует соответственного увеличения площади инерционного элемента S1 чтобы

Увеличение плотности материала инерционного элемента (А), повышает коэффициент преобразования, но снижает собственную частоту.
Таким образом, уменьшение габаритов преобразователя уменьшает коэффициент преобразования и собственную ёмкость, но увеличивает собственную частоту механического резонанса.
В настоящее время для изготовления пьезоэлектрических преобразователей наиболее широкое применение имеет пьезокерамика ЦТС – цирконат титанит свинца, обладающая высокой чувствительностью (ЗООнК/Н), равномерной температурной характеристикой и обеспечивающая возможность измерения при температурах до 260 °С.
8. Основные принципы работы ПВ
По принципу работы пьезоэлектрические вибропреобразователи могут классифицироваться на четыре основные группы.
К первой группе относятся преобразователи с инерционной массой, прижимаемой по периферии к пьезоэлементу, что способствует повышению их чувствительности. При этом корпус выполняется достаточно легким, но с твердым основанием. Если частота вибрации гораздо меньше собственной частоты механического резонанса преобразователя, то ускорение инерционной массы будет равным ускорению места установки преобразователя на испытываемое изделие. При вибрации инерционная масса вызывает переменное сжатие пьезоэлемента, приводящее к возникновению электрического заряда пропорционального колебательному ускорению поверхности изделия, на которую. установлен вибропреобразователь. Измерение величины заряда с помощью специальной измерительной схемы, подключаемой к выходу преобразователя, позволяет определить амплитуду ускорения, частоту и форму колебаний при вибрации. Установлено, что при реализации данной конструкции обеспечивает получение наилучших амплитудных и амплитудно-частотных характеристик преобразователя. К достоинствам этого варианта конструкции также относятся простота, прочность и наличие достаточно большого коэффициента преобразования при относительно малом весе преобразователя. Основными недостатками являются:
• зависимость показаний от изменения температуры окружающей среды;
• чувствительность к акустическим шумам;
• возможность деформации корпуса и основания преобразователя, являющихся частью системы «подвес – инерционная масса», под влиянием деформации колебательной поверхности испытываемого изделия.
Ко второй группе относятся преобразователи, у которых инерционная масса, пружина и пьезоэлемент установлены на центральном зажиме в середине твердого основания. Корпус в данной конструкции выполняет только защитные функции. Преобразователи второй группы лишены большинства указанных недостатков преобразователей первой группы.
К третьей группе относятся преобразователи, у которых устраняется влияние деформации основания на пьезоэлемент за счет того, что инерционная масса, прижатая пружиной к пьезоэлементу, перевёрнута. Недостатком преобразователей является несколько пониженная резонансная частота вследствие резонансов стенок корпуса, на которые опираются инерционная масса и пружина.
Особенностью четвертой группы является то, что пьезоэлемент выполнен в форме цилиндра и напряжение на обкладках появляется вследствие сдвига при восприятии преобразователем механических колебаний по направлению оси поляризации, совпадающей с осью центрального зажима. Данная конструкция хорошо работает в различных условиях окружающей среды. Она отличается малыми габаритами и обеспечивает возможность измерения параметров вибрации на высоких частотах. Съем сигнала с преобразователя производится с торцевых поверхностей перпендикулярных к оси поляризации.
9. Электретные вибропреобразователи
Для измерения параметров вибрации изделий электронной техники и элементов конструкции РЭА, массы и габариты которых соизмеримы с массой и габаритами контактных вибропреобразователей, необходимо использовать бесконтактные вибропреобразователи. Одним из возможных методов бесконтактных измерений параметров вибрации, имеющих практическое промышленное применение, является электретный.
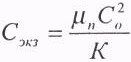
Данный метод использует явление электретного эффекта, основанном на электростатической индукции поляризованных диэлектриков (электретов) и заключающейся в наведении свободных электрических зарядов на проводящих поверхностях изделий, приближающихся к электростатам. При этом поверхностная плотность заряда определяется следующим выражением:

– поверхностная плотность
заряда электрета;
S – зазор между электретом и проводящей поверхностью изделия;
d – толщина электрета;
– диэлектрическая
проницаемость материала электрета.
Под воздействием периодической вибрации (рис. 3) зазор изменяется по закону:
S = S0+S(t)
So – начальный зазор между поверхностями электрета и изделий;
S(t) – закон изменения амплитуды перемещения изделий при вибрации.
При гармонической вибрации:

Изменение зазора приводит к изменению наведенных зарядов во времени и к появлению тока в цепи электрет – измерительный прибор – проводящая поверхность изделия.

где Р – площадь поверхности элемента.
Из выражения
следует, что бесконтактный электретный
вибропреобразователь является источником
тока, величина которого пропорциональна
скорости вибрации
.
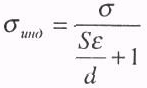
Напряжение на сопротивление нагрузки

определяется выражением, позволяющим оценить амплитудно-частотную характеристику вибропреобразователя:

При этом:
С£=С>0>+С>вх>+С>к>
где Со – ёмкость электретного вибропреобразователя;
Свх – входная ёмкость входного устройства;
Ск – ёмкость кабеля.
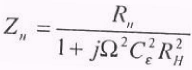
С этой целью стремятся уменьшить постоянную времени.
Размещая входное устройство измерительного прибора (виброметра) в одном корпусе с преобразователями выполняя его по схеме истокового повторителя на полевом транзисторе добиваются уменьшения Ск. и Свх. Уменьшение RII нецелесообразно, так как ведет к увеличению уровня собственных шумов и снижению чувствительности.
Исследования показывают целесообразность выполнения бесконтактных электретных вибропреобразователей из тонких полимерных пленок фторопласта-4 (политетрафторотилена), которые обладают большой поверхностной плотностью заряда ( = 20*10-9Кл/см2), допускают возможность хранения в незакороченном состоянии, имеют хорошую повторяемость и просты в эксплуатации. Для установки начального зазора So между электретом и изделием в конструкции вибропреобразователя применен микрометрический винт. Бесконтактный электретный вибропреобразователь позволяет производить измерения параметров вибрации металлических металлизированных изделий, причем исключается зависимость показаний от толщины и проводящих свойств металла изделий.
Электретный
вибропреобразователь является пассивным
(генераторным) и, следовательно, не
требует для своей работы постоянного
источника энергии.