Виды индукторов и создаваемых ими полей
БЕЛОРУССКИЙ ГОСУДАРСТВЕННЫЙ УНИВЕРСИТЕТ ИНФОРМАТИКИ И РАДИОЭЛЕКТРОНИКИ
Кафедра ЭТТ
РЕФЕРАТ
На тему:
"Виды индукторов и создаваемых ими полей"
МИНСК, 2008
Искусственные постоянные и переменные магнитные поля могут создаваться с помощью постоянных магнитов, катушек индуктивности и электромагнитов. В терминологии, установившейся в научной литературе по магнитобиологии и магнитотерапии, источник искусственного магнитного поля называют индуктором. Постоянные магнитные поля, а, следовательно, аппараты и устройства на основе постоянных магнитов в настоящей книге не рассматриваются.
Для создания переменных, пульсирующих и импульсных магнитных полей в магнитотерапии широко используются индукторы в виде соленоидов, цилиндрических и нецилиндрических коротких катушек, электромагнитов с сердечниками различной конфигурации, выполненными из различных материалов. Любой источник магнитного поля обладает разными полюсами (N - северный, S - южный), имеет замкнутые силовые линии (принято направление от северного к южному). У источников переменного магнитного поля полюса меняются периодически в соответствии с изменением направления тока. Магнитное поле индуктора характеризуется вектором магнитной индукции В, вектором напряженности магнитного поля Н, градиентом магнитной индукции grade.
Рассмотрим основные типы применяемых в медицинской практике индукторов и характеристики создаваемых ими полей.
Соленоид. Цилиндрическую катушку, состоящую из большого числа витков провода, образующих винтовую линию, называют соленоидом. Если витки расположены вплотную друг к другу, катушка представляет собою систему последовательно соединенных круговых витков одинакового радиуса, имеющую общую ось. При протекании по виткам тока образуется магнитное поле, силовые линии которого изображены на рис.1. Часть силовых линий проходит через обмотку. Линии магнитной индукции длинного соленоида (при L >>r, где L - длина катушки, r - радиус намотки) практически параллельны друг другу. Поле внутри такого соленоида равномерно и однородно. Направление вектора магнитной индукции определяется по правилу буравчика и совпадает с направлением оси X. Внутри длинного соленоида существует только аксиальная составляющая индукции Вх. Максимальное значение индукции Вх0 на оси имеет место в точке, лежащей на середине соленоида:
(1)
где I - ток,
протекающий через катушку; N - число
витков;
- магнитная постоянная;
- относительная магнитная проницаемость
среды.
Распределение значений
индукции практически равномерно по
всей длине оси соленоида и снижается
на концах
до
значения (рис.1, в):
(2)
Для соленоидов конечной длины значение индукции на оси рассчитывается по формуле:
(3)
где
Распределение аксиальной составляющей индукции Вх по сечению х = 0 соленоида показано на рис.1, б. Ввиду того, что вне соленоида поле быстро затухает, основной для целей лечения является его внутренняя полость.
Известны экспериментальные
и серийные магнитотерапевтические
установки, в которых используются
рассматриваемые индукторы-соленоиды.
Первые публикации относятся к установкам
I-ON-A-CO,
"Theronoid" и "Vitrona"
(США), основу которых составлял
индуктор-соленоид диаметром 45 см,
питаемый синусоидальным током. В
комплекте аппарата "Полюс~2" (СССР),
имеются два соленоида {размеры
мм),
питаемые синусоидальным током.
Индукторы-соленоиды (диаметры 30 и 50 см)
используются в аппаратах "Магнетотрон",
"Биомагнетик" (Германия), имеющих
несколько режимов питания: непрерывный,
прерывистый и ритмичный (во всех режимах
ток синусоидальный). При проведении
процедур индукторы-соленоиды обычно
надевают на конечности, туловище или
шею пациента. Вектор магнитной индукции
при этом направлен вдоль тела или
конечностей человека.

Рисунок 1 – Однослойный соленоид: а) геометрия; б) распределение индукции Вх по сечению; в) распределение индукции Вх по оси; г) силовые линии.
Имеют применение аппараты, у которых используется торцевое поле соленоида. При этом индукторы-соленоиды располагаются перпендикулярно поверхности тела человека (вектор магнитной индукции Вх также перпендикулярен поверхности тела). В качестве примера можно привести аппарат "Ронефор" (Италия), у которого индуктор-соленоид (диаметр 50 см) установлен вертикально и перемещается относительно неподвижно лежащего пациента.
Имеются сведения о применении соленоида для воздействия магнитным полем на весь организм человека. Это физиотерапевтический комплекс "Магнитор-АМП. В данном случае пациент помещается внутрь камеры с намотанной вокруг катушкой значительных размеров, магнитные силовые линии которой пронизывают все тело в направлении от ног к голове. Индуктор имеет габариты 2100x1190x1300 мм. Диаметр рабочей полости составляет 700 мм. Напитывается индуктор от сети 380 В, 50 Гц через трехфазный преобразователь, создающий однородное вращающееся магнитное поле с частотой вращения 50...160 Гц и индукцией О...7,4 мТл. Управление значением индукции, частотой вращения, видом модуляции магнитного поля осуществляется ПЭВМ IBM РС.
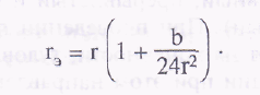
Плоская цилиндрическая катушка (короткий соленоид). Конструкция индуктора представляет собой цилиндрическую катушку, как правило, многослойную, имеющую длину, существенно меньшую по сравнению с диаметром. Поле симметрично относительно оси, неравномерно и неоднородно. Силовые линии поля короткой катушки показаны на рис.2, г. Вектор магнитной индукции имеет аксиальную Вх и радиальную Вг составляющие. Значение максимальной индукции Вх0 на оси в центре катушки со средним радиусом r находится из выражения:
(4)
а в произвольной точке х оси:
(5)
Распределение значений индукции Вх вдоль оси представлено на рис.2, в. Указанные значения и распределения индукции могут быть получены лишь в первом приближении и при условии, что размеры катушки а,b << r (рис.2, а). В этом случае катушка представляет собой кольцо, которое можно рассматривать как эквивалентный виток с током. Распределение значений аксиальной Вх и радиальной Вг составляющих вектора магнитной индукции показано на рис.2, б. Достаточно просто можно учесть геометрические размеры катушки, подставив в выражения (1), (2) вместо среднего радиуса г значение эквивалентного радиуса гэ:
(6)
Одной из разновидностей применяемых конструкций является плоская цилиндрическая катушка (рис.3) с радиусами rt, r2 и толщиной а << b = r2 - r1;. Значение магнитной индукции такой катушки по оси рассчитывается по следующему соотношению:
(7)

Рисунок 2 – Короткая цилиндрическая катушка: а) геометрия; б) распределение индукции Вх (кривая 1) Вг (кривая 2) по сечению; в) распределение индукции Вх по оси; г) силовые линии магнитного поля.
При соизмеримых размерах a, b и г катушки расчет магнитной индукции существенно усложняется. Кроме того приходится учитывать конфигурацию катушки и рассеиваемую мощность. Формулы для расчета радиальной Вг, аксиальной Вх составляющих и градиента gradB магнитной индукции достаточно сложны. Инженерная методика расчетов приведена в.
Короткие цилиндрические
катушки широко применяются в магнитотерапии.
В аппарате "Полюс-101" используются
две катушки (размеры
мм),
которые могут фиксироваться в любом
положении. Питание осуществляется
синусоидальным током. Аппарат "Полемиг"
снабжен несколькими цилиндрическими
(размеры
мм) и эллиптическими (размеры195x79x15мм)
катушками, питаемыми импульсным током.
Аппарату "Алимп-1" придаются восемь
катушек (внутренний диаметр 105 мм и 185
мм), которые питаются импульсным током
и могут создавать бегущее магнитное
поле. В указанных устройствах индукторы
могут как надеваться на конечности
пациента, при этом вектор магнитной
индукции Вх направлен вдоль конечностей,
так и накладываться на различные участки
тела, при этом вектор Вх перпендикулярен
поверхности тела человека. В стационарном
устройстве "Магнетодиафлюкс"
(Румыния) имеются две больших катушки
(
мм
и
мм),
которые надевают на шею и поясницу
пациента. Линии магнитной индукции
направлены вдоль тела от ног к голове.
Питаются индукторы пульсирующими токами
нескольких частот, а в устройстве
предусмотрены различные режимы питания
(непрерывный, прерывистый, ритмичный,
прерывистый неритмичный). Напротив, в
аппарате "Магнит Н-80" (Болгария)
имеются две пары небольших по размерам
индукторов (
мм и
мм), которые накладываются на различные
участки тела, осуществляя локальное
воздействие (вектор магнитной индукции
перпендикулярен поверхности тела
человека). В этом случае магнитные поля
концентрируется в небольшой области,
что дает возможность воздействовать
на биологически активные точки. Питание
индукторов осуществляется синусоидальным
током.

Рисунок 3 – Плоская цилиндрическая катушка.
Таким образом, у коротких цилиндрических катушек для лечения в одинаковой степени используется как внутривитковое поле, где силовые линии направлены вдоль тела и конечностей пациента, так и торцевое поле, у которого аксиальная составляющая вектора магнитной индукции перпендикулярна поверхности тела.
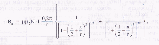
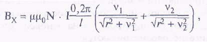
Система двух плоских цилиндрических катушек (катушки Гельмгольца). Две плоские цилиндрические катушки, размещенные так, чтобы разноименные полюса находились друг напротив друга, образуют систему Гельмгольца. Отличительной особенностью системы двух параллельных катушек является то, что в пространстве между ними образуется достаточно однородное и равномерное магнитное поле, картина силовых линий которого изображена на рис.4. Следовательно, в пространстве между катушками существует практически только одна аксиальная составляющая Вх вектора магнитной индукции. С внешних сторон катушек имеется и радиальная составляющая Вг. Значение индукции вдоль оси X для двухконтурной системы рассчитывается по формуле:
(8)
а в точке х = 0:
(9)
Распределение аксиальной составляющей индукции Вх по оси показано на рис.4, в, а по сечению х = 0 - на рис.4, б.

Рисунок 4 – Система двух плоских цилиндрических катушек: а) геометрия; б) распределение индукции Вх по сечению х - 0; в) распределение индукции Вх по оси; г) силовые линии магнитного поля.
Влияние на структуру поля поперечных размеров катушек, отклонения от условия Гельмгольца, спиральности обмоток исследованы в распределение значений магнитной индукции Вх вдоль оси X зависит от расстояния между ними. Подробная методика расчета системы двух катушек приведена, где показано, что оптимальное расстояние между катушками (зазор I) не может превышать средний радиус r.
В упоминавшихся выше промышленных аппаратах "Полюс-101", "Полемиг", "Алимп-1", индукторы которых выполнены в виде колец (коротких цилиндрических катушек), может быть реализован режим работы, определяемый системой Гельмгольца, для осуществления локального воздействия.
Электромагнит. Устройство, состоящее из катушки индуктивности, как правило, многослойной и ферромагнитного сердечника называют электромагнитом. Наличие сердечника с большой относительной магнитной проницаемостью ц многократно усиливает и концентрирует магнитный поток. Это позволяет при одних и тех же параметрах магнитного поля существенно уменьшать габариты индукторов. Кроме того, используя соответствующую конструкцию, технологию и материал сердечника, можно формировать поля заданной формы, обеспечивать требуемую глубину проникновения, необходимую степень локализации и т.п. Охарактеризовать распределение магнитного поля в областях пространства, частично занятых ферромагнитным материалом, представляет собой чрезвычайно сложную задачу. Зависимость скалярного магнитного потенциала (рм и неравномерно распределенной намагниченности М по объему ферромагнетика описывается уравнением Пуассона:
(10)
Решение этого уравнения затруднено, главным образом, тем, что распределение величины М неизвестно. Результаты исследований показывают, что в общем случае векторы индукции В, напряженности магнитного поля Н и намагниченности М не совпадают по направлению, кроме точек, лежащих на оси (рис.5).
Фактически произвести достаточно точный расчет магнитных полей и параметров разомкнутых электромагнитов возможно только методами моделирования с обработкой на ЭВМ.
Распределение магнитной индукции по сечению сердечника неравномерно (Рис.6, б, в).
Максимум индукции Во достигается в среднем сечении. Распределение индукции Вх по оси соответствует выражению:
(11)
где /с - длина сердечника, к - коэффициент, зависящий от конструкции сердечника: к - 0,9 - для сердечника круглого сечения; к = 0,75 - для сердечника прямоугольного сечения.

Рисунок 5 – Распределение магнитной индукции В и напряженности магнитного поля Н в разомкнутом образце ферромагнетиков.
Моделирование на ЭВМ и многочисленные эксперименты, проведенные авторами, показали, что по сечению магнитная индукция Ву распределена как это показано на рис.5, б. Максимум достигается на поверхности сердечника в сечении х = 0. Индукция убывает пропорционально квадрату расстояния.

Рисунок 6 – Индуктор-электромагнит: а) геометрия; б) распределение индукции Вy по сечению х = 0; в) распределение индукции Вх по оси сердечника.
В практике магнитотерапии используются индукторы-электромагниты самых разнообразных форм и конструкций. В первую очередь - это электромагниты с осесимметричными полями (рис.7), у которых полюса располагаются на противоположных торцах прямых сердечников. Такие индукторы различаются формой сечения сердечника (как правило, круглая или прямоугольная), а также отношением длины к диаметру (площади поперечного сечения). Имеют применение электромагниты с расположением полюсов в одной плоскости (П - образный сердечник, рис.8), магнитное поле которых неравномерно и неоднородно, локализовано, в основном, в пространстве между полюсами и в сторону от полюсов.

Рисунок 7 – Индукторы-электромагниты с осесимметричными полями: а) сердечник круглого сечения; б) сердечник прямоугольного сечения.
Ферромагнитные сердечники позволяют создавать направленные магнитные поля требуемой конфигурации. Например, цилиндрический сердечник с центральным вырезом обеспечивает формирование узконаправленного магнитного поля, силовые линии которого показаны на рис.9. Если у осесимметричного электромагнита с плоским сердечником (рис.7, б) ввести полюсные наконечники (рис.10), то симметрия поля в какой-то мере нарушается. При этом с одной стороны несколько увеличивается глубина действия силовых линий магнитного поля.

Рисунок 8 – Электромагнит с П цилиндрическобразным сердечником.

Рисунок 9 – Электромагнит на основе сердечника с центральным вырезом.

Рисунок 10 – Электромагнит на основе плоского сердечника с полюсными наконечниками.
ЛИТЕРАТУРА
Системы комплексной электромагнитотерапии: Учебное пособие для вузов/ Под ред А.М. Беркутова, В.И. Жулева, Г.А. Кураева, Е.М. Прошина. – М.: Лаборатория Базовых знаний, 2000г. – 376с.
Электронная аппаратура для стимуляции органов и тканей / Под ред Р.И. Утямышева и М. Враны - М.: Энергоатомиздат, 2003.384с.
Ливенсон А.Р. Электромедицинская аппаратура.: [Учебн. пособие] - Мн.: Медицина, 2001. - 344с.