Разработка делителя мощности на микрополосковой линии
КАЗАНСКИЙ ГОСУДАРСТВЕННЫЙ ТЕХНИЧЕСКИЙ УНИВЕРСИТЕТ
ИМЕНИ А.Н. ТУПОЛЕВА

Кафедра РТС
Тремаскин Е.В.
Гр.5408
Разработка делителя мощности на микрополосковой линии.
Расчетно-пояснительная записка к курсовому проекту
по дисциплине
Сверхвысокие частоты
Специальность 210300
Казань 2010
Задание
Разработать сумматор на симметричной МПЛ линии:

Содержание
Введение
Делители мощности
Выбор материала
Поправочные коэффициенты
Ширина микрополосков и трансформатор сопротивлений
Набег фаз
Заключение
Список литературы
Введение
В настоящее время область применения радиоэлектронных средств расширяется, комплексы радиосистем становятся все более сложными, это полностью относится и к радиотехнике СВЧ диапазона. В связи с расширением физических возможностей радиоэлектронной аппаратуры во многих случаях необходимо не только излучать и принимать СВЧ сигнал, но также производить его обработку и преобразование, поэтому усложняются СВЧ схемы и в прежнем исполнении становятся громоздкими, поэтому возникает необходимость создания миниатюрных схем работающих в СВЧ диапазоне.
Миниатюризация схемных решений радиоаппаратуры в настоящее время реализуется с помощью гибридных пленочных и твердотельных микросхем. Наибольшие успехи в этом плане были достигнуты в области низких частот. Однако методы конструирования и технология изготовления низкочастотных схем не могут быть перенесены на схемы СВЧ диапазона, так как между этими устройствами в микроисполнении существует большое количество различий.
К радиотехническим устройствам СВЧ диапазона предъявляются жесткие требования по снижению себестоимости, повышению надежности, уменьшению габаритов и веса. Сегодня вес и габариты стали факторами, ограничивающими применение СВЧ аппаратуры, особенно в мобильных установках – на борту наземного и водного транспорта, не говоря уже о летательных аппаратах. Поэтому использование миниатюризации и миниатюризации элементов и узлов на СВЧ в современной радиоэлектронике является актуальной задачей.
По сравнению с обычной аппаратурой микрополосковые и полосковые схемы более трудоемки в разработке, поскольку связь между элементами схемы за счет краевых полей и полей излучения более трудно поддается учету, расчет многих элементов схемы производится приближенно, а подстройка готовых схем затруднена. Окончательные размеры схем приходится отрабатывать путем перебора множества вариантов.
Микрополосковые антенны, изготовленные по печатной технологии интегральных схем, обеспечивают высокую повторяемость размеров, низкую стоимость, малые металлоемкость и массу.
Микрополосковые антенны способны излучать энергию с линейной, круговой и эллиптической поляризацией, допускают удобные конструктивные решения для обеспечения работы в двух- или многочастотных режимах, легко позволяют объединить многие элементарные излучатели в ФАР и разместить их на поверхностях сложной формы.
Делители мощности
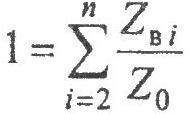
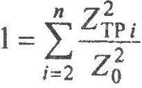
Делителями мощности называют многополюсные устройства, предназначенные для распределения мощности, поданной на вход между другими входами в заданное соотношении. В устройствах без потерь сумма выходных сигналов равна сумме входных.
Таким образом, справедливо
.
Здесь будут рассмотрены взаимные
линейные устройства без потерь. Условие
взаимности делителя мощности означает,
что он может использоваться в режиме
сложения сигналов, если сигналы на его
входы подать в том же амплитудном и
фазовом соотношении, что и на входах в
режиме делителя. Делитель, работающий
в режиме сложения сигналов, называют
сумматором.
В общем случае делители должны
удовлетворять требованиям:
1) деление сигнала в заданном соотношении;
2) согласование всех плеч;
3) развязка выходных плеч;
4) широкополосность.
В зависимости от схемы делителя и его конструкции эти требования выполняются по-разному.

а б
Рис. 1
Простейшим делителем мощности является разветвление линии передачи. Разветвление может быть последовательным и параллельным (рис.1).
При последовательном разветвлении (рис.1а) входное сопротивление в точке соединения линий будет определяться суммой волновых сопротивлений выходных плеч делителя:
(1.1)
Здесь
— волновое сопротивление входного
плеча (обозначим его
);
-сопротивления
выходных плеч. На практике удобнее
пользоваться нормированными
сопротивлениями. Входное нормированное
сопротивление делителя:
(1.2)
Условием согласования делителя с входной линией передачи будет
(1.3)
Доля мощности, отводимая в i-e
плечо, пропорциональна
.
и, соответственно, коэффициент передачи
в i-e
плечо будет
(1.4)
Обычно все выходные плечи делителя
приводятся к одному волновому сопротивлению
,
для чего в плечи делителя включаются
трансформаторы волновых сопротивлений.
Для четвертьволнового трансформатора
в i-м
плече можно записать:
(1.5)
где
- волновое сопротивление четвертьволнового
трансформатора (рис.2 а). Для согласованного
по входу делителя мощности с одинаковым
сопротивлением выходных плеч из (1.2) и
(1.5) получим:
(1.6)
При параллельном разветвлении линий передачи (рис. 1 б) справедливы соотношения (1.1)- (1.6), записанные для проводимостей, т.е. входная проводимость делителя:
(1.7)
Нормированное входное сопротивление:
(1.8)
Делитель, согласованный по входу
и приведенный к одному волновому
сопротивлению
,
будет:
(1.9)
Трансформаторы сопротивлений
обычно подключаются непосредственно
к точке разветвления линии, но возможно
подключение трансформатора
к отрезку линии
,
произвольной длины
.

Расчет согласованного по входу
делителя параллельного и последовательного
типов с помощью формул (1.1), (1.6), (1.7) и
(1.9) сводится к следующему. По заданному
волновому сопротивлению тракта и
требуемому распределению сигнала по
выходам
определяют волновые сопротивления плеч
, где
-
коэффициенты деления для i-го
плеча.
Для последовательного разветвления
,
для параллельного
,
а волновое сопротивление трансформатора
i-го
плеча определяется из (1.5).
Практическая реализация разветвления линий в одной точке при n>5 затруднена, так как соединение большого числа линий в одной точке образует неоднородность, которая приводит к искажению всех параметров устройства.
Выбор материала
Учитывая требования данных в задании выберем материал. Как правило, диэлектрический материал следует выбирать с минимальным значением тангенса угла диэлектрических потерь, большой стабильностью относительной диэлектрической проницаемости и линейных размеров, так как реальные параметры устройств без их учета будут значительно отличатся от расчетных данных.
Выбираем материал листы из
фторопласта – 4 фольгированные с
относительной диэлектрической
проницаемостью
.
Найдем волновое сопротивление МПЛ линии:


Толщина печатной проводящей
полоски t=0,1мм,
толщина диэлектрика b=1мм,
тогда
и по волновым сопротивлениям фидерных
линий СВЧ находим
,т.е.
W=0,68931мм
ширина линии.
Далее в зависимости от уровня первого бокового лепестка, выберем закон изменения амплитуды поля и вычислим поправочные коэффициенты.
Поправочные коэффициенты
Так как уровень боковых лепестков
-17Дб , то закон изменения амплитуды поля
запишется так:
,
∆=0,5.

А(-1)=0,5
А(-0,5)=0,875
А(0)=1
А(0,5)=0,875
А(1)=0,5
А(х)=0,5+0,875+1+0,5+0,875=3,75
Нормируем к единице, получаем:
А’(-1)=0,13(3)
А’(-0,5)=0,23(3)
А’(0)=0,267
А’(0,5)=0,23(3)
А’(1)=0,13(3)
Тип сумматора – гребенка


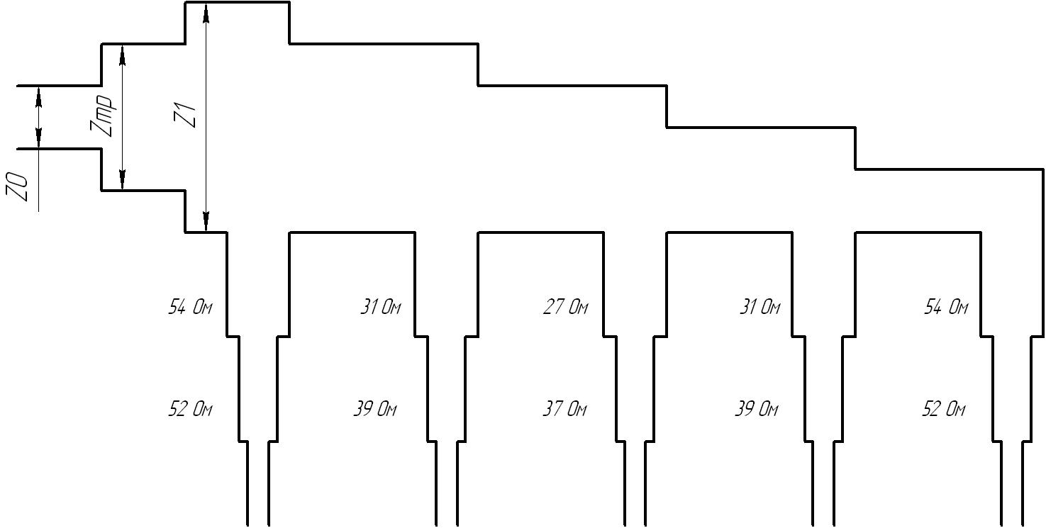
Ширина микрополосков и трансформатор сопротивлений
Для того чтобы было удобнее выполнить чертеж увеличим ширину микрополоска в 10 раз. Тогда получим сопротивление z>1>=5Ом.
Соответственно ширина микрополоска тогда будет:

Вычислим трансформатор сопротивлений:

Вычислим длину волны:

Вычислим ширину остальных линий и их сопротивления в соответствии с коэффициентами деления.


На каждом из выходов необходимо обеспечить сопротивление такое же как и на входе, т.е. 50 Ом. Поэтому вычислим трансформаторы сопротивлений для выходов.

Для 1-го и 5-го вывода:

Для 2-го и 4-го:

Для 3-го:

Расчет набега фаз
Для того чтобы обеспечить необходимую фазу нужно изменить длину пути.

Возьмем d=6см, тогда ψ=0,9693.
тогда


Таким образом получили что для обеспечения набега фаз длину линии необходимо увеличивать до 24,692 см. При этом получится следующая схема:

Список литературы
Ганстон М.А.Р. Справочник по волновым сопротивлениям фидерных линий СВЧ / Под ред. Фрадина А.З. – М.: Связь, 1976. – 150с.
Авксентьев А.А., Воробьев Н.Г., Морозов Г.А., Стахова Н.Е. Устройства СВЧ для радиоэлектронных систем. Учебное пособие,2004.
Проектирование полосковых устройств СВЧ. Учебное пособие. Ульяновск, 2001
-1-