Проектирование управляемого привода в электромеханических системах
ПОЯСНИТЕЛЬНАЯ ЗАПИСКА
Тема: "Проектирование управляемого привода в электромеханических системах"
Техническое задание на проектирование управляемого электропривода
1. Конструктивная схема (рис. 1) промышленного робота (ПР) с грузоподъемностью от 10 до 30 кг, используемого в сборочных операциях в автомобильной промышленности. ПР – автоматическая стационарная машина, имеющая исполнительный механизм (манипулятор) с тремя степенями подвижности. Два механизма поворота, расположенные в шарнирах 1 и 2, осуществляют программные повороты >1>(t), >2>(t) вокруг вертикальных осей (1–1 и 2–2 соответственно), механизм подъема 3 осуществляет поступательное перемещение С>3>(t) объекта манипулирования, зажатого в захватывающем механизме 4. В механизме подъема 3 использована зубчато-реечная передача с зубчатой рейкой 5 и зубчатой шестерней 6.

Рис. 1. Конструктивная схема промышленного робота
2. Перемещения по степеням подвижности осуществляются последовательно, начиная с перемещения >1>(t).
3. Силовой модуль первого из индивидуальных приводов промышленного робота (рисунок 1) сосредоточен в центре масс шарнира 1. Центр тяжести груза (объекта манипулирования) совпадает с центром приведения масс захватывающего механизма 4.
4. Для данного ТЗ управляемый привод по координате >1>(t) – программный, типа «угол – угол».
5. Описание и параметры программных траекторий рабочих циклов исследуемого привода приведены на рисунках 2 и 3.

Рис. 2. Первая из двух возможных траекторий рабочего цикла для первого привода






Рис. 3. Вторая из двух возможных траекторий рабочего цикла для первого привода





6. Масса зубчатой рейки m>p> = 5 кг, минимальное m>min> = 15,5 кг и максимальное m>max>= 25 кг> >значения массы груза вместе с массой захватывающего механизма.
7. Длина звеньев манипулятора l>1>= 0,5 м> >и l>2>> >= 0,5 м> >(рис. 1).
8. Массы звеньев m>1>> >= 54 кг и m>2 >= 4 кг.
9. Расстояние от центров масс звеньев до соответствующих шарниров
>1 >= 0,25 м и> >>2 >= 0,25 м.
10. Динамические моменты инерции J>1 >= 0,3 кг.м2 и J>2>= 0,25 кг.м2> >первого и второго звеньев относительно вертикальных осей, проходящих через их центры масс. Максимальный J>3max >= 0,3 кг.м2> >и минимальный J>3min>= 0,15 кг.м2 динамические моменты инерции третьего звена: зубчатой рейки с захватывающим механизмом и грузом.
11. Коэффициент вязкого трения К>вт >= 0,04.
12. Момент сухого трения М>о >= 0,05 Н.м.
13. КПД редуктора = 0,65.
14. Передаточное отношение зубчато-реечной передачи i>рп>.
15. Параметры усилителя мощности k>у >= 220, T>>> >= 0,0015 с.
16. Статическая >cт >= 1,0% и динамическая >д> = 0,9% допустимые погрешности привода.
17. Прямые показатели качества: перерегулирование = 25% и время переходного процесса t>пп >= 1,5 c.
Введение
Управляемый электропривод получил широкое применение во всех сферах жизни и деятельности общества от промышленного производства до бытовой техники. Широта применения определяет исключительно большой диапазон мощностей электроприводов и значительное разнообразие их исполнения. В управляемом электроприводе нашли применение и получили развитие основные достижения современной техники управления.
В ходе выполнения курсовой работы необходимо разработать конкретный электропривод, программно управляющий угловым перемещением промышленного робота-манипулятора по одной из трех степеней подвижности.
Для наглядности корректности функционирования синтезированного управляемого электропривода выполнение работы включает построение его цифровой модели и оценку ее качественных показателей, используя средства компьютерного моделирования.
1 Энергетический расчет привода
1.1 Определение заданных программных траекторий
Определим постоянную времени
,
относительно которой рассчитываются
уравнения траекторий
,
(1.1)
.
Приведем максимально возможное значение угловой координаты перемещаемой нагрузки к размерности [рад].
,
(1.2)

Рассчитаем неопределенные параметры для первой возможной траектории движения рабочей нагрузки за время одного цикла работы двигателя.
Таблица 1.1
|
t |
|
|
|
|
[0; t>1>] |
|
at |
a |
|
[t>1>; 2t>1>] |
|
b |
0 |
|
[2t>1>; 13t>1>] |
|
0 |
0 |
|
[13t>1>; 14t>1>] |
|
|
0 |
|
[14t>1>; T>ц>] |
|
|
a |
Для нахождения параметров траектории решим систему уравнений (1.3), приравняв значения угла поворота и скорости нагрузки в общих для сопряженных участках точках.
.
(1.3)
Из второго уравнения системы (1.3) получим зависимость для параметра b и подставим его в первое выражение.
.
(1.4)
Получим численные значения параметров a и b.
(1.5)
По формуле 1.5 найдем параметры a и b:

.
Таблица 1.2
|
|
|
|
|
|
[0; 1.333] |
|
|
0.916 |
|
[1.333; 2.667] |
|
1.2215 |
0 |
|
[2.667; 17.333] |
|
0 |
0 |
|
[17.333; 18.667] |
|
-1.2215 |
0 |
|
[18.667; 20] |
|
|
0.916 |
Максимальные значения:
а) угла поворота нагрузки >1>>m>(t) = 2.443 рад,
б) угловой скорости нагрузки p>1>>m>(t) = 1.2215 рад/c-1,
в) углового ускорения нагрузки p2>1>>m>(t) = 0.916 рад/c-2.
Рассчитаем неопределенные параметры для второй возможной траектории движения рабочей нагрузки за время одного цикла работы двигателя.
Таблица 1.3
|
t, c |
|
|
|
|
[0; t>1>] |
|
at |
a |
|
[t>1>; 2t>1>] |
|
|
|
|
[2t>1>; 13t>1>] |
|
0 |
0 |
|
[13t>1>; 14t>1>] |
|
|
|
|
[14t>1>; T>ц>] |
|
|
a |
Для нахождения параметров траектории решим систему уравнений (1.6), приравняв значения угла поворота и скорости нагрузки в общих для сопряженных участках точках.
,
(1.7)
.
(1.8)



Рис. 1.1. Первая из двух возможных траекторий рабочего цикла для первого привода
Из первого уравнения системы (1.8) получим формулу для параметра b и подставим его в третье выражение, а затем функциональные зависимости для параметров a и b – во второе уравнение
,
(1.10)
Получим численные значения параметров a, b и :
,
,

Таблица 1.4
|
t, c |
|
|
|
|
[0; 1.333] |
|
1.374t |
1.374 |
|
[1.333; 2.667] |
|
|
|
|
[2.667; 17.333] |
|
0 |
0 |
|
[17.333; 18.667] |
|
|
|
|
[18.667; 20] |
|
|
1.374 |
Максимальные значения:
а) угла поворота нагрузки >1>>m>(t) = 2.443 рад,
б) угловой скорости нагрузки p>1>>m>(t) = 1.833 рад/c-1,
в) углового ускорения нагрузки p2>1>>m>(t) = 1.374 рад/c-2.


Рис. 1.2. Вторая из двух возможных траекторий рабочего цикла для первого привода
1.2 Расчет статической и динамической нагрузки на проектируемый привод

Рис. 1.3. Многомассовая нагрузка привода
При определении энергетических
параметров проектируемого привода
сложную многомассовую нагрузку привода
(рис. 1.3) приводят к одному валу – валу
двигателя. Для этого многомассовую
нагрузку с мощностью
заменяют маховиком той же мощности на
валу двигателя
и вращающимся со скоростью вала двигателя.
,
(1.11)
где
– к.п.д. механической
передачи от вала нагрузки к валу
двигателя.
С другой стороны,
,
(1.12)
где
– момент приведенной
нагрузки к валу двигателя,
– момент на валу нагрузки,
,
– угловые скорости вала двигателя и
вала нагрузки, соответственно (рис.
1.3),
.
Подставляя (1.12) в (1.11), получаем:
,
откуда:
,
где
–
передаточное отношение механической
передачи между валом двигателя и валом
нагрузки (передаточное число редуктора).
Моменты, действующие на
валу нагрузки, можно разделить на две
группы. К первой группе относятся
динамические моменты
,
величина которых пропорциональна
ускорениям и моментам инерции движущихся
масс нагрузки. Ко второй группе относятся
моменты статические
,
связанные с противодействующими
усилиями: моменты сухого и вязкого
трения, момент статического сопротивления
подъему груза.
Таким образом, момент нагрузки, приведенный к валу двигателя,
.
(1.13)
Динамические моменты нагрузки приводов
Динамический момент нагрузки первого привода определяется уравнением
,
(1.14)
где
–
ускорение на валу нагрузки;
–
момент инерции нагрузки.
Нагрузка первого привода
является телом сложной конфигурации,
поэтому
определим как сумму моментов инерции
отдельных частей нагрузки относительно
оси вращения 1–1:
(1.15)
Динамический момент инерции третьего звено J>3> принимает значения в диапазоне от J>3 >>min> до J>3 >>max>>.> Масса груза, зажатого в захватном устройстве m, может меняться в пределах от m>min> до m>max>. Изменение данных параметров приводит к изменению момента инерции нагрузки J>>.
Определим минимальное и максимальное значение момента инерции нагрузки J>>:


Наибольшего значения величина динамического момента нагрузки привода достигает при максимальном угловом ускорении рабочей нагрузки
(1.16)
Определим максимальный динамический момент нагрузки привода для первой возможной траектории рабочего цикла первого привода по формуле 1.16.

Определим максимальный динамический момент нагрузки привода для второй возможной траектории рабочего цикла первого привода:

Статические моменты нагрузки приводов
Движению в механизмах поворота противодействуют статические моменты сопротивления: моменты вязкого и сухого трения, характерные для зубчатых передач механизмов поворота.
Момент вязкого трения пропорционален угловой скорости вала нагрузки и определяется уравнением:
(1.17)
где
– коэффициент вязкого трения, зависящий
от вязкости и температуры смазывающих
масел.
Момент сухого трения в большинстве случаев считают независимым от скорости и направленным против нее:
(1.18)
здесь
.
Согласно (1.17), (1.18), статический момент нагрузки первого привода
(1.19)
а его максимальное значение
(1.20)
По формуле 1.20 найдем максимальный статический момент нагрузки привода для первой возможной траектории рабочего цикла:
.
По формуле 1.20 найдем максимальный статический момент нагрузки привода для второй возможной траектории рабочего цикла:
.
1.3 Предварительный выбор двигателя
Исходными данными для выбора
двигателя являются приведенный к валу
двигателя момент рабочей нагрузки
,
максимальные значения скорости и
ускорения нагрузки, определяемые по
возможным траекториям рабочего цикла.
Выбор исполнительного
двигателя начнем с расчета требуемой
максимальной мощности
на валу двигателя в рабочем режиме. При
этом предположим, что нагрузка перемещается
с максимально возможными скоростью и
ускорением. Мощность двигателя должна
быть достаточной для обеспечения этого
режима, наиболее тяжелого для двигателя.
Для первого привода,
осуществляющего поворот
,
требуемая мощность
исполнительного двигателя, с учетом
(1.14) и (1.19):
.
(1.21)
По формуле 1.21 вычислим требуемую мощность двигателя для отработки первой из двух возможных траекторий движения рабочей нагрузки:
.
По формуле 1.21 вычислим требуемую мощность двигателя для отработки второй из двух возможных траекторий движения рабочей нагрузки
.
Выберем исполнительный
двигатель с номинальной мощностью не
меньшей
.
Выбор будем осуществлять согласно следующим критериям:
1.
– привод ПР работает в интенсивных
динамических режимах требующих высокого
быстродействия, поэтому необходимо
выбирать двигатель с минимальным
собственным моментом инерции,
2.
– при уменьшении массы двигателя –
уменьшается статические и динамические
нагрузки на 1 и 2 приводы в ПР,
3.
– т. к. увеличивается качество
регулирования,
4.
– поскольку уменьшение сопротивления
в якорной цепи приводит к снижению
нагрева двигателя,
5.
– чем ниже скорость вращения двигателя,
тем меньшее передаточное число требуется
обеспечить, а, следовательно, выбрать
более простой редуктор, подходящий по
массогабаритным характеристикам и его
КПД,
6.
– больший ток в якорной цепи обеспечивает
выше номинальный момент двигателя
(мощность).
(1.22)
Согласно (1.22), для
первой траектории будем выбирать
двигатель, придерживаясь данных значений
мощности:
.
Для обеспечения движения рабочей нагрузки по первой из двух рассматриваемых траекторий наиболее подходящими приводами являются двигатели [1], приведенные в таблице 1.5.
Таблица 1.5
|
Серия двигателя |
Тип двигателя |
P>д> >ном,> Вт |
n>д> >ном,> рад/с |
U>я ном,> В |
I>я> >ном,> А |
R>я,> Ом |
J>д>.10-6 кг∙м2 |
T>яц,> мс |
m>д,> кг |
|
ДВИ |
ДВИ-211–02 |
120 |
628 |
27 |
7.4 |
1.3 |
23 |
0.50 |
3.4 |
|
СД |
СД-150 |
150 |
786 |
60 |
4.2 |
2.8 |
193 |
0.3 |
2.7 |
Для второй траектории,
.
Для обеспечения движения рабочей нагрузки по второй траектории наиболее подходящими приводами являются двигатели [1], приведенные в таблице 1.6.
Таблица 1.6
|
Серия двигателя |
Тип двигателя |
P>д> >ном> Вт |
|
U>я ном,> В |
I>я> >ном,> А |
R>я,> Ом |
J>д>, кг∙м2 |
T>яц,> мс |
m>д,> кг |
|
2П |
2ПБ90МУХЛ4 |
280 |
167.6 |
110 |
3.9 |
2.69 |
0.004 |
23.05 |
24 |
|
ДВИ |
ДВИ-321–02 |
340 |
111 |
110 |
4.0 |
2.85 |
0.005 |
22.63 |
27 |
1.4 Выбор передаточного числа редуктора
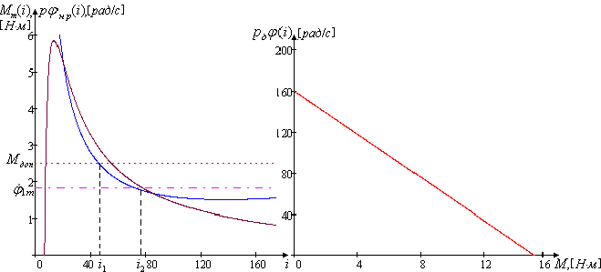
Для определения передаточного числа редуктора привода используется графический метод, позволяющий просто учесть нежесткость механической характеристики двигателя.
.
(1.23)
По уравнению требуемого
момента на валу двигателя (1.23)
строится график зависимости максимального
значения момента
от передаточного числа редуктора i.
На график наносят прямую, параллельную
оси абсцисс, ограничивающую значения
момента, допустимого на валу двигателя
с учетом возможной перегрузки его по
мощности:
,
(1.24)
где
– номинальный момент выбранного
двигателя.
Минимальное значение
требуемого
достигается при передаточном отношении
редуктора
,
которое обращает в ноль производную
.
Если
,
то возможных значений
не существует, следует выбрать другой
двигатель и повторить расчеты.
Выбранный диапазон возможных
значений i
корректируют, исходя из условия
обеспечения требуемого максимального
значения угловой скорости нагрузки
:
(1.25)
где
–
располагаемая скорость двигателя при
максимальном требуемом моменте на его
валу.
На другом графике строят механическую характеристику двигателя по уравнениям:
,
(1.26)
где
,
.
Индексом >ном> обозначены номинальные параметры выбранного двигателя.
– коэффициент потерь, вводимый для
обеспечения запаса по скорости,
рекомендуется выбирать
.
Теперь найдем передаточное число редуктора для каждого выбранного двигателя.
1.4.1 Первый двигатель для первой траектории
Зависимость
имеет вид:
,
(1.27)
Подставим данные двигателя
сети ДВИ (таблица 1.5) в уравнение момента
(1.27), получим зависимость максимального
значения момента
от передаточного числа редуктора i:
,
.
Найдем значение номинального
момента
по формуле:
.
(1.28)
.
Используя (1.24) найдем
:
.
При помощи программного
пакета MathCad
построим графики зависимости максимального
момента
(рис.
1.4), а также по формуле 1.26 механическую
характеристику (рис. 1.5).
,
.
Выберем
,
тогда механическая характеристика
двигателя примет вид:
,
,
.
Построим графики зависимости максимального момента и располагаемой скорости нагрузки от передаточного числа редуктора, и механическую характеристику двигателя.

Рис. 1.4. Зависимость максимального момента Рис. 1.5. Механическая и располагаемой скорости нагрузки характеристика двигателя от передаточного числа редуктора
Найдем граничные значения
и
,
используя пакет MathCAD
2001:
.
При выборе конкретного значения передаточного числа i редуктора необходимо остановиться на минимально возможном значении из диапазона.
Для первого двигателя первой
траектории выбираем
.
1.4.2 Второй двигатель для первой траектории
Подставим данные двигателя
серия СД (таблица 1.5) в уравнение момента
(1.27), получим зависимость максимального
значения момента
от передаточного числа редуктора i:
,
.
Найдем значение номинального
момента
по формуле 1.28:
.
Используя (1.24) найдем
:
.
При помощи программного
пакета MathCad
построим графики зависимости максимального
момента
(рис.
1.6), а также по формуле 1.26 механическую
характеристику (рис. 1.7).
,
.
Выберем
,
тогда механическая характеристика
двигателя примет вид:
,
.
Построим графики зависимости максимального момента и располагаемой скорости нагрузки от передаточного числа редуктора, и механическую характеристику двигателя.

Рис. 1.6. Зависимость максимального момента Рис. 1.7. Механическая и располагаемой скорости нагрузки характеристика двигателя от передаточного числа редуктора
Найдем граничные значения
и
,
используя пакет MathCAD
2001:
.
Для второго двигателя первой
траектории выбираем
.
Проведя проверку на нагрев
двигателей первой траектории, мы получили
очень высокие значения передаточных
чисел (
,
).
Выбор редуктора с таким передаточным
отношением и при допустимой массе
редуктора, не превышающей массу двигателя
больше, чем в 2 раза, невозможен.
1.4.3 Первый двигатель второй траектории
По формуле 1.23 найдем
зависимость
:
,
Подставим данные двигателя
серии 2П (таблица 1.6) в уравнение момента
(1.27), получим зависимость максимального
значения момента
от передаточного числа редуктора i:
,
.
.
Используя (1.24) найдем
:
.
При помощи программного
пакета MathCad
построим графики зависимости максимального
момента
(рис.
1.8), а также по формуле 1.26 механическую
характеристику (рис. 1.9).
,
.
Выберем
,
тогда механическая характеристика
двигателя примет вид:
,
.
Построим графики зависимости максимального момента и располагаемой скорости нагрузки от передаточного числа редуктора, и механическую характеристику двигателя.

Рис. 1.8. Зависимость максимального момента Рис. 1.9. Механическая и располагаемой скорости нагрузки характеристика двигателя от передаточного числа редуктора
Найдем граничные значения
и
,
используя пакет MathCAD
2001:
.
Для первого
двигателя второй траектории выбираем
.
Наиболее подходящим по своим параметрам из найденных в справочных источниках информации редукторов является червячный одноступенчатый редуктор 5Ч 80 [2].
Основные характеристики выбранного редуктора:
– максимальный передаваемый
крутящий момент
;
– коэффициент полезного
действия
;
– подводимая расчетная
мощность
;
– масса
;
– передаточное отношение
;
– габариты
.
Максимальный передаваемый крутящий момент на тихоходном (выходном) валу редуктора к валу двигателя
.
(1.29)

Так, как значение момента
больше, чем величина
допустимого момента на валу двигателя
,
следовательно, редуктор подобран верно.
1.4.4 Второй двигатель второй траектории
Подставим данные двигателя
серии ДВИ (таблица 1.6) в уравнение момента
(1.27), получим зависимость максимального
значения момента
от передаточного числа редуктора i:
.
Найдем значение номинального
момента
по формуле 1.28:
.
Используя (1.24) найдем
:
.
При помощи программного
пакета MathCad
построим графики зависимости максимального
момента
(рис.
1.10), а также по формуле 1.26 механическую
характеристику (рис. 1.11).
,
.
Выберем
,
тогда механическая характеристика
двигателя примет вид:
,
.
Построим графики зависимости максимального момента и располагаемой скорости нагрузки от передаточного числа редуктора, и механическую характеристику двигателя.

Рис. 1.10. Зависимость максимального момента Рис. 1.11. Механическая и располагаемой скорости нагрузки характеристика двигателя от передаточного числа редуктора
Найдем граничные значения
и
,
используя пакет Mathcad
2001:
.
Для второго
двигателя второй траектории выбираем
.
Наиболее подходящим по своим параметрам из найденных редукторов является цилиндрический двухступенчатый редуктор 1Ц2У 100 [4].
Характеристики выбранного редуктора:
– максимальный передаваемый
крутящий момент
;
– коэффициент полезного
действия
;
– масса
;
– передаточное отношение
;
– габариты
.
Максимальный передаваемый крутящий момент на тихоходном (выходном) валу редуктора к валу двигателя определим по формуле 1.29:

Поскольку значение момента
больше, чем допустимый
момент на валу двигателя
,
следовательно, редуктор подобран верно.
1.5 Проверка двигателя привода на нагрев
Двигатель будет работать
не перегреваясь, если среднее значение
потерь его мощности в якорной цепи
за время рабочего цикла
не превышает потерь мощности в номинальном
режиме
:
.
(1.30)
Среднее значение потерь
мощности за время рабочего цикла
пропорционально квадрату среднего
значения момента за названное время:
.
(1.31)
Из неравенства (1.30) и уравнения (1.31) следует, что условием нормального теплового режима двигателя является требование:
,
(1.32)
,
где
– эквивалентный момент двигателя за
время рабочего цикла, поэтому условие
нормального теплового режима принимает
вид
.
(1.33)
Таким образом, при проверке
двигателя на нагрев необходимо знать
закон изменения момента двигателя,
в течение всего рабочего цикла. Разобьём
рабочий цикл привода на характерные
участки
и для каждого из них найдём описание
.
Эквивалентный момент двигателя находим
в удобном для практического использования
виде:
,
(1.34)
.
(1.35)
где
– эквивалентные моменты двигателя на
соответствующих
участках цикла.
Режим разгон двигателя.
При проверке двигателя на нагрев необходимо учесть, что скорость двигателя не может изменяться мгновенно, поэтому траекторию необходимо сгладить в участках разгона и торможения. Максимально возможный момент двигателя определяется допустимой величиной тока в якорной цепи. Обычно
>,>
(1.36)
тогда и момент
.>
>(1.37)
Моменту, развиваемому при разгоне, препятствует сила трения, поэтому ускорение в механизме:
.
(1.38)
Время, необходимое для разгона:
.
(1.39)
Режим торможение двигателя
Режиму торможения способствуют
силы трения в механизмах поворота и
силы тяжести нагрузки в механизмах
подъема при подъеме груза. Двигатель
должен развивать тот же максимально
возможный момент
.
Ускорение, развиваемое двигателем при
торможении в механизмах поворота и
подъема груза в механизмах подъема:
.
(1.40)
Время, необходимое для торможения
.
(1.41)
1.5.1 Проверка на нагрев первого двигателя первой траектории
Из рисунка 1.1 видно, что скорость в моменты времени t=2t>1> и t=13t>1> изменяется скачком. Двигатель не сможет обеспечить такой режим работы, поэтому необходимо предусмотреть участок разгона и участок торможения.
Разобьём время рабочего цикла на 7 интервалов времени:
[0; t>1>],
[t>1>; 2t>1>-t>торм>> >],
[2t>1>-t>торм>; 2t>1>],
[2t>1>; 13t>1>],
[13t>1>; 13t>1>+t>разг>> >],
[13t>1>+t>разг>; 14t>1>],
[14t>1>; T>ц>].
Режим разгона
Момент, развиваемый двигателем на участке разгона:
.
Для
первого двигателя первой траектории
.
По формуле 1.38 определим ускорение при разгоне:
.
Время, необходимое для разгона:
.
Режим торможения
На
участке торможения двигатель должен
развивать тот же максимально возможный
момент
.
По формуле 1.40 рассчитаем ускорение при торможении:
.
Время, необходимое для торможения:
.
Графики траектории, скорости и ускорения нагрузки, с учётом введённых участков разгона и торможения, показаны на рис. 1.12.



Рис. 1.12. Первая измененная траектория рабочего цикла
Состояние покоя
Момент, требуемый от двигателя на любом из участков траектории, определяется в соответствие с (1.14) и (1.23):
(1.42)
Рассчитывая моменты для
любого из участков траектории, рассуждаем
следующим образом: составляющие уравнения
1.42, в которые входит ускорение, берем с
теми знаками, как показывает диаграмма.
Знак статического момента, приведенного
к валу двигателя, выбираем так: если
сопротивление нагрузки помогает режиму
на данном участке (например, режим
торможения), тогда знак статического
момента берется противоположным знакам
слагаемых, в которые входит
.
Если сопротивление нагрузки мешает
(например, режим разгона), от двигателя
требуется момент больший, значит, знак
статического момента выбирается такой
же, как у слагаемых, в которые входит
.
Таблица 1.7
|
|
Интервал времени |
Формула
для расчета
|
Значение
|
|
1 |
|
|
0.28687 |
|
2 |
|
|
0.00063 |
|
3 |
|
|
0.47771 |
|
4 |
|
|
0.00032 |
|
5 |
|
|
0.47771 |
|
6 |
|
|
0.00063 |
|
7 |
|
|
0.28561 |
При расчете момента
необходимо учесть то,
что на участке
угловая скорость нагрузки
p>1>>m>(t)
= 0, значит момент вязкого
трения
.
Следовательно, статический момент на
данном участке будет равен моменту
сухого трения.
Из таблицы видно, что
,
а
.
Находим эквивалентный момент двигателя по формуле (1.33):

.
Проверяем условие нормального теплового режима:
.
Поскольку условие выполняется,
значит, двигатель типа ДВИ-211–02
с передаточным числом
подходит для данной траектории.
Определим энергетический запас двигателя, используемого при отработке первой траектории:
.
(1.43)
.
1.5.2 Проверка на нагрев второго двигателя первой траектории
Из пункта 1.4.2 возьмем значение номинального момента:

Режим разгона
Момент, развиваемый двигателем на участке разгона:
.
Для
второго двигателя первой траектории
.
По формуле 1.38 определим ускорение при разгоне:
.
Время, необходимое для разгона:
.
Режим торможения
На
участке торможения двигатель должен
развивать тот же максимально возможный
момент
.
По формуле 1.40 рассчитаем ускорение при торможении:
.
Время, необходимое для торможения:
.
Момент, требуемый от двигателя на любом из участков траектории, определяется по формуле 1.42.
Таблица 1.8
|
|
Интервал времени |
Формула
для расчета
|
Значение
|
|
1 |
|
|
0.28547 |
|
2 |
|
|
0.00052 |
|
3 |
|
|
0.4771 |
|
4 |
|
|
0.00026 |
|
5 |
|
|
0.4771 |
|
6 |
|
|
0.00052 |
|
7 |
|
|
0.28443 |
Из таблицы видно, что
,
а
.
Находим эквивалентный момент двигателя по формуле (1.33):

.
Проверяем условие нормального теплового режима:
.
Поскольку условие выполняется,
значит, двигатель типа СД-150
с передаточным числом
подходит для данной траектории.
Определим энергетический
запас двигателя:
.
1.5.3 Проверка на нагрев первого двигателя второй траектории
Из пункта 1.4.3 возьмем значение номинального момента:

Для
второго двигателя первой траектории
выбираем
.
Момент, требуемый от двигателя на любом из участков траектории, определяется по формуле 1.42.
Таблица 1.8
|
|
Интервал времени |
Формула
для расчета
|
Значение
|
|
1 |
|
|
2.485 |
|
2 |
|
|
-2.476 |
|
3 |
|
|
0.0017 |
|
4 |
|
|
-2.485 |
|
5 |
|
|
2.476 |
Находим эквивалентный момент двигателя по формуле (1.33):

.
Проверяем условие нормального теплового режима:
.
Поскольку условие выполняется,
значит, двигатель типа 2ПБ90МУХЛ4
с передаточным числом
подходит для второй траектории.
Определим энергетический запас двигателя:
.
1.5.4 Проверка на нагрев второго двигателя второй траектории
Из пункта 1.4.4 возьмем значение номинального момента:

Для
второго двигателя первой траектории
выбираем
.
Момент, требуемый от двигателя на любом из участков траектории, определяется по формуле 1.42.
Таблица 1.9
|
|
Интервал времени |
Формула
для расчета
|
Значение
|
|
1 |
|
|
4.442 |
|
2 |
|
|
-4.427 |
|
3 |
|
|
0.0032 |
|
4 |
|
|
-4.442 |
|
5 |
|
|
4.427 |
Находим эквивалентный момент двигателя по формуле (1.33):
,
.
Проверяем условие нормального теплового режима:
.
Поскольку условие выполняется,
значит, двигатель типа ДВИ-321–02
с передаточным числом
подходит для второй траектории, т.е. с
двигателем при отработке траектории
не произойдет перегрева.
Определим энергетический запас двигателя:
.
1.6 Выбор рабочей траектории
Для выбора программной траектории движения нагрузки необходимо проанализировать достоинства и недостатки каждой из двух возможных траекторий, а также пар двигателей, чтобы в итоге остановиться на одной траектории и выбрать один из четырех двигателей.
Сравним двигатели, выбранные
для данных траекторий. Скорости вращения
двигателей типа ДВИ-211–02 и СД-150 для
первой траектории очень большие (
и
соответственно), нежели для второй
траектории (
и
).
Чем ниже скорость вращения двигателя,
тем меньшее передаточное число требуется
обеспечить, а, следовательно, выбрать
более простой редуктор, подходящий по
массогабаритным характеристикам и его
КПД.
Как для первой, так и для второй траектории, все двигатели обеспечивают достаточный энергетический запас, но двигатели для второй траектории типа 2ПБ90МУХЛ4 и ДВИ-321–02 обеспечивают больший запас энергии.
Необходимо отметить, что изменения, которым подвергается первая программная траектория, снижают качество управляемого привода.
Остановим свой выбор на второй из двух возможной траекторий.
Для второй траектории движения необходимо выбрать двигатель из двух возможных 2ПБ90МУХЛ4 и ДВИ-321–02. Сравнивая технические характеристики двигателей (таблица 1.6), можем отметить, что двигатель 2ПБ90МУХЛ4 обладает меньшей массой по сравнению с двигателем ДВИ-321–02, и меньшим сопротивлением в якорной цепи, что уменьшает тепловые потери, и меньшим энергетическим запасом.
Таким образом, выбираем
двигатель типа 2ПБ90МУХЛ4 и соответственно
подобранный для него редуктор 5Ч
80 типа червячный
одноступенчатый с передаточным отношением
.
2. Синтез системы управления электроприводом
2.1 Выбор информационных элементов привода
Информационными элементами привода являются элементы измерителя рассогласований: задающее устройство, датчик обратной связи, сумматор.
Вид управляемого привода обуславливает выбор типа информационных элементов: датчиков линейных или угловых перемещений.
Приведем статическую ошибку системы, заданную в ТЗ в относительных единицах, к абсолютным единицам.
.
(2.1)

Допустимая погрешность
измерителя рассогласования
находится по заданной
в ТЗ статической погрешности привода
,
которая складывается из статических
погрешностей привода по задающему и
возмущающему воздействиям, статической
погрешности измерителя рассогласований
и погрешностей элементов прямого канала
привода: усилителя мощности, преобразователя,
двигателя, редуктора. Точность измерителя
рассогласования удовлетворительна,
если составляет не более трети допустимой
статической погрешности, оговариваемой
ТЗ на проектируемый привод.
.
(2.2)

Ошибка измерителя
рассогласования
определяется способом среднеквадратического
суммирования ошибок задающего устройства
(ЗУ) и датчика обратной связи (ДОС).
(2.3)
Будем считать, что датчики ДОС и ЗУ абсолютно идентичны, поэтому они вносят одинаковый вклад в статическую ошибку измерителя рассогласования.
(2.4)
Тогда из выражения 2.4 статические ошибки ДОС и ЗУ:
.
(2.5)

При выборе информационных элементов необходимо исходить из требований технического задания на разработку привода:
вида
управляемого привода и статической
погрешности датчика
,
максимальных
перемещений
,
скорости
.
Исходя из выше изложенных требований к информационным элементам, выберем потенциометр проволочный, характеристики которого представлены в таблице 2.1.
Таблица 2.1. Параметры выбранного датчика
|
Серия |
ПЛП-8 |
|
Тип |
Круговой |
|
Максим. допустимая скорость движения |
18 об/мин |
|
Максимальная накопленная погрешность |
|
|
Диапазон измеряемых перемещений |
|
|
Масса, кг |
2.0 |
2.2 Синтез структурной схемы управляемого привода
Синтез структурной схемы привода начинают с разработки его функциональной схемы.

Рис. 2.1. Функциональная схема управляемого привода
На рис. 2.1 обозначено:
ЗД − задающий датчик (преобразовывает механический сигнал в электрический);
ЭС − элемент сравнения (в данном случае сумматор);
КУ − корректирующее устройство;
УМ − усилитель мощности (формирует напряжение в якорную цепь двигателя);
Дв – двигатель, преобразующий напряжение на его входе в угловое перемещение на его выходном валу;
Ред – редуктор, понижающий значение углового перемещения на выходном валу двигателя до величины перемещения, необходимого для управления положением рабочей нагрузки;
ДОС – датчик обратной связи, обеспечивающий преобразование физического сигнала в форму, удобную для сравнения.
Линеаризованная структурная схема двигателя постоянного тока (ДПТ) с независимым возбуждением при управлении по цепи якоря, составленная для приращений переменных двигателя в относительных единицах (о.е.), представлена на рис. 2.2.

Рис. 2.2. Линеаризованная структурная схема ДПТ в о.е.
На схеме (рис. 2.2) обозначено:
– приращение напряжения управления,
.
– приращение ЭДС,
.
>
>– приращение тока
в цепи якоря,
.
– значение магнитного потока двигателя
в рабочей точке.
.
(2.6)
– относительное
сопротивление якорной цепи.
.
(2.7)
– приращение приведенного к валу
двигателя статического момента нагрузки,
.
– приращение момента, развиваемого
двигателем,
.
– постоянная якорной цепи, определяемая
отношением реактивного
и активного
сопротивлений цепи.
– приращение угловой скорости вала
двигателя,

.
– механическая постоянная
двигателя.
,
(2.8)
где
– динамический
момент инерции на валу двигателя,
.
(2.9)
За
базовые значения угловой скорости вала
двигателя
,
момента двигателя
,
напряжения
и тока в цепи якоря
принимают их номинальные значения.
Двигатель имеет переменный
параметр –
,
меняющийся от некоторого минимального
до максимального
значения
вслед за изменением
моментов нагрузки. При синтезе управляющего
устройства выбирают регулятор, способный
обеспечить требуемое качество управления
приводом при любом значении
из известного диапазона.
Величину статического момента нагрузки
,
являющегося возмущающим воздействием
для двигателя, при синтезе привода
принимают максимальной.
Для использования структурной схемы двигателя в общей структуре привода необходимо осуществить в схеме переход от относительных единиц измерения (о.е.) к абсолютным единицам (а.е.).
Передаточные функции двигателя по управляющему и возмущающему воздействиям в а.е. могут быть получены из соответствующих им выражений в о.е. при использовании базовых значений параметров, выбранных для совершения прямого перехода в схеме.
За базовое значение магнитного
потока двигателя
примем его номинальное
значение
.
Рабочее значение магнитного потока
выбираем в рабочем
интервале
.
Пусть
.
Используя структурную схему
двигателя в относительных единицах
(рис. 2.2) и приведенные выше базовые
значения переменных, преобразуем схему,
введя масштабирующие коэффициенты,
обеспечивающие измерение в абсолютных
единицах передаточных функций двигателя
по управляющему
и возмущающему
воздействиям (рис.
2.3).

Рис. 2.3. Линеаризованная структурная схема ДПТ с передаточными функциями в абсолютных единицах (а.е.)
Приведем все необходимые параметры для дальнейших расчетов схемы.
Двигатель 2ПБ90МУХЛ4
;
;
;
;
;
;
;
;
.
Редуктор червячный одноступенчатый 5Ч 80
;
.
Траектория рабочего цикла
;
;
;
;
.
Магнитный поток двигателя в рабочей точке (формула 2.6):
.
.
Относительное сопротивление якорной цепи (формула 2.7):

Возмущающее воздействие
;
.
Для нахождения механической
постоянной двигателя
определим суммарные минимальное и
максимальное значения момента инерции
на валу двигателя согласно формуле 2.9:
,
.
Минимальное и максимальное значение механической постоянной двигателя
,
.
Передаточная функция двигателя по управляющему воздействию
,
,
Разделим числитель и
знаменатель передаточной функции на
:
,
где
.
Найдем минимальное и
максимальное значение электромеханической
постоянной времени двигателя
:
,
.
Заметим, что если представить,
что
,
тогда полученная передаточная функция
эквивалентна передаточной функции
колебательного звена:
.
(2.10)
Если
< 1, то выражение (2.10) – произведение
передаточных функций интегратора и
колебательного звена.
Если
1, то выражение (2.10) – произведение
передаточных функций интегратора и
двух последовательно соединенных
апериодических звеньев.
Определим параметры данной передаточной функции из следующей пары уравнений:
,
(2.11)
.
(2.12)
Из уравнения 2.12 выразим
параметр
:
(2.13)
Из уравнения (2.11) определим
минимальное и максимальное значения
постоянной времени
:
,
.
Определим значения параметра
при максимальном и минимальном значениях
механической постоянной времени:
,
.
Найденные значения
,
поэтому представим передаточную функцию
двигателя как передаточную функцию
двух последовательно соединенных
апериодических звеньев. Для этого решим
уравнения:
,
(2.14)
(2.15)
Решим уравнение (2.14):
.
Корни уравнения:

,
где
.
.
.
(2.16)
Аналогично решим уравнение 2.15:

Корнями данного уравнения являются:

Таким образом, получим:
.
Определим коэффициент передачи двигателя:
.
.
(2.17)
Передаточная функция двигателя по возмущающему воздействию

Разделим числитель и
знаменатель передаточной функции на
:
.
.
(2.18)
Заметим, что знаменатель передаточной функции двигателя по возмущающему воздействию совпадает со знаменателем передаточной функции по управляющему воздействию. Поэтому представим знаменатель функции (2.18) в следующем виде:
,
где
.
,
где
.
Коэффициенты передачи двигателя:
,
,
.
Для дальнейшего использования составим таблицу со всеми найденными параметрами передаточных функций двигателя (таблицу 2.2).
Таблица 2.2. Значения параметров ПФ двигателя
|
Параметр |
Значения |
|
|
|
|
|
|
Т>М>, c |
3.196 |
3.936 |
|
Т>ЭМ>, c |
0.686 |
0.845 |
|
Т>К>, c |
0.1257 |
0.1395 |
|
|
2.727 |
3.027 |
|
Т>1>, c |
0.024 |
0.821 |
|
Т>2>, c |
0.662 |
0.024 |
|
К>ДВ> Вб-1 (ПФ по управляющему воздействию) |
3.501 |
|
|
К>ДВ>, Вб-1 (ПФ по возмущению) |
21.5232 |
Изобразим структурную схему управляемого привода (рис. 2.4).

Рис. 2.4. Структурная схема управляемого привода
Передаточные функции отдельных звеньев привода:
–
– передаточная функция задающего
устройства;
–
– передаточная функция корректирующего
устройства;
–
– передаточная функция усилителя
мощности;
–
– передаточная функция двигателя по
управляющему воздействию;
–
–
передаточная функция двигателя по
возмущающему воздействию;
–
– передаточная функция редуктора;
–
–
передаточная функция датчика обратной
связи.
2.3 Синтез структуры регулятора
В структуре управляемого привода два модуля: силовой и управляющий. Управляющий модуль состоит из измерителя рассогласований и регулятора. Для того чтобы система удовлетворяла требованиям технического задания, необходимо провести синтез регулятора.
При помощи правил преобразования
структурной схемы, перенесем звено
через первый сумматор, при этом необходимо
включить звено
в обратную связь. Поскольку
,
преобразовав, таким образом, схему, мы
получим единичную отрицательную обратную
связь. Аналогично перенесем второй
сумматор через два звена:
и
,
добавив эти звенья в локальную обратную
связь.

Рис. 2.5. Преобразованная структурная схема привода
Запишем передаточную функцию неизменяемой части системы:
,
(2.19)
где
– коэффициент исходной системы без
учета регулятора.
Выражение 2.19 при минимальной и максимальной нагрузках примет следующий вид:
,
(2.20)
.
(2.21)
Проанализируем устойчивость исходной системы и соответствие системы требованиям по качеству. Об устойчивости системы можно судить по ее реакции на единично ступенчатую функцию, т.е. по ее переходной характеристике. Построим соответствующие графики в программном пакете MATLAB. Графики переходной характеристики представлены на рис. 2.6 – 2.7.

Рис. 2.6. Переходная характеристика исходной системы при минимальной нагрузке на управляемый привод

Рис. 2.7. Переходная характеристика исходной системы при максимальной нагрузке на управляемый привод
Таким образом, мы получили, что исходная система не устойчива. Необходимо введение в исходную систему корректирующего устройства (КУ) для обеспечения требуемого качества как в установившемся (задано в виде динамической ошибки), так и в переходном (ограничения на прямые показатели качества) режимах.
Проведем синтез при помощи метода логарифмических амплитудно-частотных характеристик (ЛАЧХ). Разобьем синтез на условные стадии:
Построение ЛАЧХ исходной системы.
Построение желаемой ЛАЧХ в соответствие с требованиями ТЗ.
Определение передаточной функции КУ.
1) Для построения логарифмических амплитудно-частотных характеристик (ЛАЧХ) неизменяемой части системы проведем расчеты.
.

Осуществим переход:
.
Тогда выражение для построения ЛАЧХ
примет вид:
.
.

.
В
ТЗ заданы относительная динамическая
ошибка, максимальные скорость и ускорение
траектории движения. В соответствие с
этим для построения границы запретной
области необходимо найти координаты
контрольной точки
.
.
(2.22)
.
(2.23)
В соответствие с (2.22–2.23)
найдем
.
,
,
.
Таким образом,
.
Для
того чтобы входное воздействие
воспроизводилось с ошибкой, не
превосходящей динамическую ошибку,
ЛАЧХ системы не должна попадать в
запретную область. По
рис. 2.8 можно сделать вывод о выполнении
требования ТЗ по качеству системы в
установившемся режиме, т.к. при минимальном
и максимальном значениях электромеханической
постоянной двигателя
ЛАЧХ располагаемой разомкнутой системы
не заходит в запретную область. Однако
система не удовлетворяет требуемому
качеству в переходном режиме
.
Среднечастотный участок определяет устойчивость и запасы устойчивости системы, а, следовательно, и качество системы в переходном режиме. Для построения среднечастотного участка будем использовать методику Бесекерского [3, с. 369].
Для определения левой и правой границ среднечастотного участка используются неравенства:
,
(2.24)
где
– базовая частота,
–
показатель колебательности.
Значение
определим по номограмме [3, c.378]:
.
Подставим значения в формулу 2.24:

В формулу подставляем
значение показателя колебательности:
.
Таким образом,
,
.
,
(2.25)
где
.
Сначала рассчитаем значение
и сравним его с постоянными времени
исходной системы.

Для вычисления
необходимо вычесть из
постоянные времени исходной системы,
меньшие чем
.
Исходные данные:

По правилу сначала нужно
вычесть наименьшие постоянные времени,
поэтому отнимем от
только
исходной системы:

Найдем значение
из формулы 2.25:




Таким образом, мы рассчитали значения границ среднечастотного участка:
,


Расширяя
среднечастотный участок, мы добьемся
требуемого качества в переходном режиме.
Левую границу будем смещать до тех пор,
пока не будет выполняться требуемое
значение запаса по модулю
,
которое необходимо выбрать по заданному
значению перерегулирования по номограмме
[3, с. 358]:
.
Правая граница должна обеспечить запас
как минимум
.
Высокочастотный участок
определяет помехозащищенность системы,
поэтому наклон высокочастотных асимптот
должен быть большим. В то же время с
целью упрощения модели корректирующего
устройства высокочастотные асимптоты
выполняют параллельными высокочастотным
асимптотам исходной характеристики,
то есть на частоте
наклон становится 80
– дБ/дек.
3) Определим передаточную
функцию регулятора. Построение
представлено на рис. 2.8.
Определим передаточную функцию последовательного КУ:
.
(2.26)
Составим передаточную
функцию
по виду
:
,
.
По формуле 2.26 найдем
:
.
2.4 Обеспечение требуемой точности проектируемого привода
В ТЗ на проектирование
указаны допустимые статическая
и динамическая
ошибки
привода.
Статическая ошибка системы
оценивается в типовом режиме: при
постоянных значениях задающего и
возмущающего воздействий. В п. 2.1 уже
использовалась допустимая
при выборе элементов измерителя
рассогласований. На измеритель
рассогласования была выделена третья
часть
.
Оставшиеся две трети
составляют: статическая ошибка элементов
прямого канала системы (усилителя,
двигателя, редуктора), ошибки системы
по задающему и возмущающему воздействиям.
В соответствии с вышесказанным, уравнение
статической ошибки системы:
,
(2.27)
где
– ошибка элементов прямого канала,
– ошибка по задающему воздействию,
– ошибка по возмущению.
Таким
образом, статическая погрешность
элементов прямого канала
.
Статическая
погрешность по задающему значению
,
так как система является
астатической по задающему воздействию.
Статическая
погрешность привода по возмущающему
воздействию
–
.
Определим допустимую статическую погрешность привода по возмущающему воздействию:
.
Для определения ошибки скорректированной системы по возмущающему воздействию воспользуемся методом коэффициентов ошибок, описываемым формулой [3, с. 198]:
,
(2.28)
где
– передаточная функция замкнутой
системы по ошибке относительно возмущения
,
– статический момент
нагрузки приведенного к валу двигателя,
являющийся возмущающим
воздействием (
).
Найдем
передаточную функцию
по структурной схеме (рис. 2.5)
скорректированной системы управляемого
привода.
.
.
.
.
Таким образом, получили,
что
,
значит, рассчитанный коэффициент
передачи корректирующего устройства
удовлетворяет требованиям к статической
точности системы.
Далее
проведем оценку динамической точности
системы. Допустимая
динамическая ошибка системы
указывает заданную
точность воспроизведения программного
входного сигнала.
Амплитуда ошибки определяется по формуле:
,
(2.29)
где
– ордината контрольной точки запретной
области, найденная в пункте 2.3.
Найдем значение динамической ошибки при минимальной и максимальной нагрузках на управляемый привод:
,
.
Таким
образом, рассчитанная динамическая
ошибка системы
меньше, чем динамическая ошибка
системы, заданная в ТЗ
.
Значит, скорректированная система
удовлетворяет требованиям ТЗ по
динамической точности при максимальной
массе нагрузки.
3. Моделирование спроектированного управляемого привода
3.1 Модель скорректированной системы при отработке ступенчатого сигнала
3.1.1 Цифровая модель скорректированной системы при отработке ступенчатого сигнала при минимальной нагрузке на управляемый привод
На рис. 3.1 приведена цифровая модель скорректированной системы при отработке ступенчатого сигнала при минимальной нагрузке на управляемый привод, разработанная в программном пакете MATLAB версии 7.3.

Рис. 3.1. Цифровая модель скорректированной системы при отработке ступенчатого сигнала при минимальной нагрузке на управляемый привод

Рис. 3.2. Реакция выхода системы на единичный ступенчатый сигнал при минимальной нагрузке
По графику (рис. 3.2) найдем
установившееся и максимальное значения
:

Расчетное выражение для перерегулирования:
.
(3.1)
Для определения время
регулирования
построим «коридор»:
.
(3.2)
Определим прямые показатели качества желаемой системы при минимальной массе нагрузки на проектируемый привод и сравним с соответствующими значениями, заданными в ТЗ:
Требования ТЗ:
,
.
Реальные значения показателей определим по формулам 3.1 – 3.2:
,
.
Границы коридора:
,

Статическую ошибку системы можно определить по графику ошибки, представленном на рис. 3.3.

Рис. 3.3. Ошибка системы при отработке ступенчатого сигнала при минимальной массе нагрузки на управляемый привод
В ТЗ определена статическая
допустимая погрешность:
.
.
(3.3)
Реальное значение ошибки:
.
3.1.2 Цифровая модель скорректированной системы при отработке ступенчатого сигнала при максимальной нагрузке на управляемый привод
Цифровая модель скорректированной системы при отработке ступенчатого сигнала при максимальной массе нагрузки на управляемый привод представлена на рис. 3.4.

Рис. 3.4. Цифровая модель скорректированной системы при отработке ступенчатого сигнала при максимальной нагрузке на управляемый привод

Рис. 3.5. Реакция выхода системы на единичный ступенчатый сигнал при максимальной нагрузке
По графику (рис. 3.5) найдем
установившееся и максимальное значения
:

Реальные значения показателей:
,
.

Рис. 3.6. Ошибка системы при отработке ступенчатого сигнала при максимальной массе нагрузки на управляемый привод
Результаты моделирования приведены в приложении 5.
Реальное значение ошибки:
.
Требование ТЗ к статической
точности:
.
Проанализировав найденные показатели качества скорректированной системы, можно сделать, что полученная скорректированная система удовлетворяет заданным требованиям к качеству переходного процесса и статической точности, как при минимальной, так и при максимальной массе нагрузки на управляемый привод.
3.2 Модель желаемой системы при отработке выбранной траектории
3.2.1 Цифровая модель скорректированной системы при отработке выбранной траектории движения при минимальной нагрузке на управляемый привод
На рис. 3.7 представлена цифровая модель скорректированной системы при отработке выбранной траектории движения при минимальной массе нагрузки, построенная в программной среде MATLAB.

Рис. 3.7. Цифровая модель скорректированной системы при отработке программной траектории при минимальной нагрузке на управляемый привод

Рис. 3.8. Реакция выхода системы при отработке программной траектории движения при минимальной массе нагрузки на управляемый привод
Динамическую ошибку системы определим по графику ошибки, представленном на рисунке 3.9.

Рис. 3.9. Ошибка системы при отработке программной траектории движения при минимальной массе нагрузки на управляемый привод

Реальное значение ошибки:

Требование ТЗ к динамической
точности:
.
3.2.2 Цифровая модель скорректированной системы при отработке программной траектории движения при максимальной массе нагрузки на управляемый привод
На рис. 3.10 представлена цифровая модель скорректированной системы при отработке выбранной траектории движения при максимальной массе нагрузки, построенная в программном пакете MATLAB.

Рис. 3.10. Цифровая модель скорректированной системы при отработке программной траектории при максимальной нагрузке на управляемый привод

Рис. 3.11. Реакция выхода системы при отработке программной траектории движения при минимальной массе нагрузки на управляемый привод
Динамическую ошибку системы определим по графику ошибки, представленном на рисунке 3.12.

Рис. 3.12. Ошибка системы при отработке программной траектории движения при минимальной массе нагрузки на управляемый привод

Реальное значение ошибки:

Требование ТЗ к динамической
точности:
.
Цифровая модель спроектированного электропривода для максимальной и минимальной массы нагрузки удовлетворяет ограничению на динамическую ошибку, представленному в ТЗ.
Заключение
В курсовом проекте был разработан электропривод, предназначенный для программного управления линейным перемещением механизма подъёма промышленного робота-манипулятора.
При выполнении первого этапа проекта рассматривались две программные траектории перемещения нагрузки, предложенные в техническом задании, для которых были рассчитаны параметры (скорость, ускорение). Для каждой из траекторий были определены нагрузки, действующие на привод, выбран двигатель и редуктор, проведена проверка двигателя и редуктора на нагрев. Далее ввиду функциональных особенностей привода была выбрана оптимальная траектория.
На втором этапе проектирования выбраны информационные элементы (потенциометры) по заданной статической точности, проведен синтез регулятора.
На следующем этапе был проведено моделирование цифровой модели спроектированного электропривода с помощью программного пакета MATLAB. Полученная цифровая модель отвечала всем требованиям технического задания по точности и качеству. Соответствие характеристик рассчитанной системы требованиям технического задания приведено в таблице 4.
Таблица 4. Сравнение результатов, полученных при выполнении проекта
|
Основные требования |
По требованиям ТЗ |
Скорректированная система |
|
|
|
|
|
14.81 |
|
|
11.04 |
||
|
|
|
|
0.87 |
|
|
0.95 |
||
|
|
|
|
0.001 |
|
|
0.001 |
||
|
|
|
|
0.78 |
|
|
0.83 |
Спроектированный электропривод удовлетворяет всем требованиям ТЗ как при минимальной, так и при максимальной массах нагрузки.
Список литературы
Подлинева Т.К., Устюгов М.Н. Проектирование управляемого привода в электромеханических системах: Учебное пособие по курсовому проектированию.
http://www.izh-reduktor.ruproductionscherv_reductsreduktoryi _odnostupenchatyie _tipa_5ch.html.
Бесекерский В.А., Попов Е.П. Теория систем автоматического управления. – СПб: Профессия, 2003 – 752с.
http://www.1000a.ru/catalog-12.htm.






























рад/с


























