Метод граничного сканирования Boundary-Scan
Метод граничного сканирования - Boundary-Scan
(стандарт IEEE 1149.1)
С середины 70-х годов структурное тестирование печатных плат основывалось на физическом доступе к устройствам и межсоединениям на плате с помощью так называемого «ложа из гвоздей» (рис. 1). С развитием технологии изготовления печатных плат, стали уменьшаться расстояния между соседними медными дорожками – стало более рискованно каждый раз класть плату на гвозди. Появились двухсторонние платы, и инженерам пришлось прикладывать гвозди с двух сторон. Вопрос о физическом доступе был исчерпан с появлением многослойных печатных плат.

Рисунок 1
С такими проблемами столкнулись в середине 80-х большинство производителей. Для поиска возможных решений была создана группа JTAG (Joint Test Action Group), которая с помощью 200 ведущих фирм в течение 5 лет разработала стандарт Boundary-Scan IEEE 1149.1 (IEEE – Institute of Electrical and Electronic Engineers).
В основу принципа была положена концепция размещения последовательного сдвигового регистра по границам устройства (рис. 2) Причем, сами ячейки такого регистра располагаются непосредственно между первичными входами/выходами устройства и логическим ядром.


Рисунок 2
Таким образом, в устройство добавляется 4 контакта: TDI (Test Data In – вход тестовых данных), TDO (Test Data Out – выход тестовых данных), TMS (Test Mode Select – выбор тестового режима) и TCK (Test Clock – тестовая синхронизация).

Рисунок 3.
Сущность механизма сканирования сходна с методом Scan Path. Однако, есть существенные различия. Во-первых, логика ядра может быть любой, в том числе содержать последовательностные структуры (не нужно разбивать устройство на комбинационную часть и память). Во-вторых, ячейки сканирования располагаются как до, так и после логики.
Несколько устройств на плате могут быть объединены в единый последовательный путь сканирования (рис. 3). Это можно сделать путем соединения TDO с TDI следующего устройства. Таким образом, на плате появляется также 4 дополнительных вывода: TDI и TDO, и общие для всех устройств TCK и TMS.
Таким образом, технология граничного сканирования при относительно небольших аппаратурных затратах позволила реализовать нечто вроде «виртуальных гвоздей», что обеспечивает не только 100% наблюдаемость, но и 100% управляемость входов/выходов устройств.
Несомненно, технология Boundary-Scan является значительным прорывом вперед в DFT. Рассмотрим архитектуру устройства, которую описывает стандарт IEEE 1149.1.
Общая схема устройства представлена на рис. 4.

Рисунок 4.
Само устройство, реализующее требуемые функции (которое, как мы видим, может содержать и некие внутренние регистры), помещается в обрамление из тестовой логики, которое составляют:
Набор из 4 обязательных тестовых ножек: TDI, TDO, TMS и TCK. Также возможно добавление еще одной необязательной тестовой ножки – TR (Test Reset – сброс тестовой логики). Все вместе они называются TAP (Test Access Port – тестовый порт доступа).
Ячейки граничного сканирования на каждой линии первичного входа или выхода, соединенные между собой, таким образом, чтобы организовать последовательный сдвиговый регистр.
Однобитный регистр обхода (Bypass register).
Необязательный 32-битный идентификационный регистр, с возможностью хранения в нем неизменяемого кода устройства.
Регистр команд (Instruction Register), в котором хранится текущая команда. Разрядность регистра команд должна быть больше или равна 2.
TAP controller. По сути, это конечный управляющий автомат для тестовой логики.
Как видно из схемы, тестовая логика предоставляет возможность выбирать путь прохождения данных от TDI к TDO: либо через регистр команд (Instruction Register), либо через регистр данных (Data Register). Регистром данных в каждый момент времени может быть один из следующих регистров:
Последовательный сдвиговый регистр граничного сканирования (Boundary-Scan register).
Какой-либо внутренний регистр, предусмотренный разработчиком устройства (Internal register).
Регистр обхода (Bypass register).
Идентификационный регистр (Identification register).
Рассмотрим регистр сканирования. Ячейки граничного сканирования (Boundary-Scan cells) подразделяются на два типа: входные (размещаются на тех первичных входах устройства, где временной фактор критичен – например, на входе синхронизации) и обычные. Схема входной ячейки показана на рис. 5.

Рисунок 5.
Как видно из этой схемы, сигнал проходит по линии данных без задержек. Однако, там где это возможно на входных линиях, а также на всех выходных линиях располагают обычные ячейки. Структура типичной ячейки граничного сканирования представлена на рис. 6.

Рисунок 6
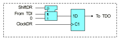
Рассматриваемая ячейка состоит из двух D-триггеров, работающих по прямому фронту, двух мультиплексоров “2-в-1”, четырех входов и двух выходов. Назначение структурных элементов схемы:
Data_In и Data_Out – вход и выход (относительно ячейки) линии данных, на которую эта ячейка и помещена. (PI – parallel input, PO – parallel output).
Scan In и Scan Out – соответственно, вход и выход сканируемых данных (SI – serial scan input, SO – serial scan output). Т.е. на SI данные приходят с SO предыдущей ячейки (либо с TDI, если это первая ячейка в пути), проходят через первый D-триггер и выходят на SO, чтобы попасть на SI следующей ячейки (или на TDO, если это последняя ячейка в пути).
ShiftDR – определяет источник информации для первого D-триггера: Data_In (режим Capture) либо Scan In (режим Shift).
Mode – определяет, что пропускать на линию данных Data_Out: сигнал с Data_In (режим Normal) либо сигнал со второго D-триггера (режим Update).
ClockDR – синхронизирующий вход первого D-триггера, т.е. для режимов Capture и Shift.
UpdateDR – синхронизирующий вход второго D-триггера (режим Update)
Ниже приведена таблица режимов функционирования ячейки:
|
Режим |
ShiftDR |
Mode |
Функционирование |
|
NORMAL |
- |
0 |
PI PO |
|
CAPTURE |
0 |
- |
PI SO по фронту на ClockDR |
|
SHIFT |
1 |
- |
SI SO по фронту на ClockDR |
|
UPDATE |
- |
1 |
SO PO по фронту на UpdateDR |
Как видно из структуры ячейки, путь сканирования TDI SI>1 > SO>1 > SO>i-1 > SI>i>> > SO>i>> > SI>i+1 > TDO физически не пересекается с линиями данных PIPO ячеек граничного сканирования. Таким образом, регистр граничного сканирования является “прозрачным” для самого устройства. Для осуществления операций сканирования отсутствует необходимость переключаться в специальный тестовый режим. Влияние тестовой логики на функционирование устройства сведено к минимуму. На входных линиях задержка прохождения сигнала может отсутствовать вообще, а на выходных – равна задержке выходного мультиплексора (Output Mux).
Внутренний регистр (Internal register), предусмотренный разработчиком устройства, например, для хранения результирующей сигнатуры проверки устройства, если в нем реализованы средства встроенного самотестирования.
Регистр обхода (Bypass register) – простой, но очень важный элемент в рассматриваемой архитектуре. Он создает кратчайший путь между TDI и TDO, не затрагивая при этом все остальные регистры. Необходимость такого регистра обусловлена ранее оговоренной возможностью соединения нескольких устройств в последовательный путь сканирования. Если нам необходимо иметь доступ не ко всем, а только к некоторым устройствам в цепочке, то остальные устройства устанавливаются в режим Bypass, образуя минимальные задержки прохождения сканируемых данных. Bypass register состоит из одного мультиплексора “2 в 1” и одного D-триггера, синхронизированного прямым фронтом (рис. 7). Отсутствует параллельный вывод данных (в связи с чем, сигнал Update_DR отсутствует в схеме), но есть некоторая особенность с операцией Capture – в регистр может записываться аппаратно реализованное значение 0 (т.е. производится захват значения 0).

Рисунок 7
Регистр Идентификации (Identification register) – необязательный 32-битый регистр с режимами сбора данных и сдвига (рис. 8). 32 бита идентифицируют устройство через следующие поля:
Бит 0 (младший разряд) всегда равен 1.
Биты 1 – 11 идентифицируют фирму-изготовителя устройства. Используется краткая форма кода идентификации JEDEC.
Биты 12 – 27 обеспечивают 16-битное поле свободного формата с серийным номером устройства.
Биты 28 – 31 обеспечивают 4-битное поле свободного формата, чтобы описать до 16 различных версий того же основного устройства.
Регистр команд (Instruction Register) состоит из собственно сдвигового регистра, некоторой декодирующей логики (в зависимости от количества и типов реализуемых команд) и секции хранения декодированной команды, в которую как только команда поступает, она сразу же поступает на выполнение (рис. 9). Стандарт IEEE 1149.1, во-первых, предписывает, что есть только 3 обязательные команды, необходимые для функционирования аппарата Boundary-Scan, а все остальные являются необязательными (дополнительными), во-вторых, обязательные и дополнительные команды в стандарте только описываются функционально, а их реализация на аппаратном уровне оставлена полностью на усмотрение разработчика. Последнее, кстати, относится ко всему тестовому обрамлению устройства.
Следующие три команды должны обязательно быть реализованы тестовой логикой :
BYPASS (обход) – команда, устанавливающая Bypass register между TDI и TDO. Код команды – все единицы (число разрядов регистра команд ≥2, поэтому для регистра минимальной длины код команды – 11). Режимы Shift и Capture с «0».

Рисунок 8

Рисунок 9.
EXTEST (внешнее тестирование) – команда, выбирающая сдвиговый регистр и предназначенная для тестирования внешних соединений между устройствами на плате. Режимы Update (для ячеек, находящихся на первичных выходах устройства), Capture и Shift. Код команды – все нули (00).
Выполнение команды предполагает отключение ядра кристалла от внешних контактов (Mode=1).
SAMPLE/PRELOAD (последовательность/предварительная загрузка) используется для сканирования значений сигналов, захваченных с внешних контактов устройств в штатном режиме (параллельно выполнению обычных функций устройств), а также для загрузки в регистр сканирования информации, используемой в дальнейшем для тестирования внешних соединений или других функций. Код команды не фиксирован. Режимы Capture и Shift.
Выполнение команды не предполагает отключение ядра кристалла от внешних контактов (Mode=0).
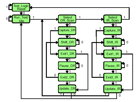
TAP контроллер (TAP controller) (рис. 10 и 11) – необычный автомат. Он имеет вход синхронизации TCK, вход данных TMS и 16 внутренних состояний. Также он имеет 9 выходов (3 – для управления регистром команд, 4 -для управления регистром данных и 2 – общего назначения). Причем переход в некоторое состояние активизируется последовательностью двоичных сигналов на входе TMS.

Рисунок 10 - TAP контроллер

Рисунок 11 – двоичный граф переходов TAP контроллера
Рассмотрим пример использования архитектуры Boundary-Scan для тестирования межсоединений. Пусть дана схема из 3-х устройств с BS-архитектурой (рис. 12), необходимо протестировать целостность линий между 2-м и 3-м устройствами. Последовательность действий состоит из 3-х этапов:
Устанавливаем Instruction Register (IR), между TDI и TDO каждого устройства. Это достигается с помощью подачи определенной последовательности на вход TMS TAP контроллеров.
Предполагая, что размер IR = 2 бит, вводим последовательность “110000”. Это означает, что в IR 1-го устройства будет загружена команда BYPASS (“11”), а в IR 2-го и 3-го – команда EXTEST (“00”).
Подаем очередную последовательность на TMS, которая инициирует выполнение загруженных команд. Таким образом, в 1-м устройстве между TDI и TDO будет включен регистр Bypass, а в двух других - Boundary-Scan register. После этого устройства готовы к выполнению команды EXTEST. Фазы выполнения команды EXTEST:
Shift – задвигается входная тестовая последовательность на Chip2 (SI SO).
Update – задвинутые в ячейки значения фиксируются на выходах Chip2 (SO PO).
Capture – отклик на тестовую последовательность записывается на Chip3 PI(Chip3) = PO(Chip2), PI(Chip3) SO(Chip3).
Shift – сдвигается отклик с Chip3 (SI SO) и одновременно задвигается новая тестовая последовательность на Chip2 и т.д..
Хотя EXTEST позволяет производить тестирование без привлечения каких-либо дополнительных команд, чаще всего она используется совместно с SAMPLE/PRELOAD, выполняющей роль команды, загружающей информацию в регистр сканирования (в режимах Shift (SI SO) или Capture (PI SO)).

Рисунок 12
Следует заметить, что прежде чем тестировать систему, необходимо проверить исправность тестера, т.е. целостность регистра сдвига и остальных регистров данных.
Необходимо понимать, что Boundary-Scan является новым подходом к тестированию систем в том смысле, что с развитием технологии надежность устройств стала гораздо выше, чем надежность соединений между ними. Поэтому основной задачей такой архитектуры, согласно стандарту IEEE 1149.1 является тестирование межсоединений (проверка наличия, размещения и связи соединенных компонентов, а также обнаружение обрывов соединений и замыканий между устройствами).
Преимущества технологии Boundary-Scan:
при современном уровне интеграции ИС, затраты на реализацию метода в среднем составляют около 2% площади кристалла;
обеспечивает простоту управления конфигурированием сложных систем, включающих дочерние платы, многокристальные модули и т.п.
позволяет организовывать on-line тестирование;
обеспечивает доступ к регистрам, шинам, выводам;
простой доступ к BIST возможностям устройств;
облегчает тестирование не приспособленных к сканированию устройств, памяти.
Стандарт IEEE 1149.1 принят в 1990 году, а его усовершенствованная версия IEEE 1149.1а – в 1993. В стандарт IEEE 1149.1 входит BSDL – Boundary Scan Description Language – язык описания организации и архитектуры граничного сканирования в рамках одиночной БИС. Он построен как подмножество языка VHDL. Одной из основных задач, возлагаемых на язык, является созданием программных средств, автоматизирующих процесс создания тестов. HSDL – Hierarchical Scan Description Language (разработка фирмы Texas Instrument) – язык, ориентированный на описание потоков в группе БИС, объединенных JTAG интерфейсом. HSDL является расширением языка BSDL, полностью с ним совместим, входит в состав стандарта IEEE 1149.1а и построен как подмножество языка VHDL.