Аналіз структурних властивостей зображень
Аналіз структурних властивостей зображень
1. Мета і методи аналізу й автоматичної обробки зображень
Необхідно розрізняти обробку зображень, призначених для зорового сприйняття, і обробку в пристроях автоматичного аналізу. В останньому випадку на перший план виходять задачі виділення ознак, формування даних про кількісні характеристики й ін. Головна задача обробки в цьому випадку полягає в підвищенні його якості, оцінюваного візуально.
Обробка зображення часто включає етап попередньої підготовки, що виробляється:
• у координатній або частотній області;
• з уражуванням змісту зображення або без;
• з використанням лінійних або нелінійних алгоритмів обробки;
• з використанням поелементних операторів (діють у межах елемента зображення), локальних операторів (діють у межах окремих вікон у площині зображення) або глобальних операторів (діють у межах всього зображення).
Обробка зображення завершується виділенням тих ознак, що несуть найбільше інформаційне навантаження. У процесі обробки зображення здійснюється його семантичний аналіз. Ефективні операції, які здійснюються з використанням пам'яті:
• корекція геометричних перекручувань;
• перетворення системи координат (ортогональної, полярної й ін.);
• масштабування зображення;
• відеоінтерполяція та ін.
Попередня обробка зображення як етап процедури поліпшення зображення включає
• нелінійні перетворення сигналів зображення для узгодження амплітудних характеристик окремих пристроїв;
• корекція сигналу вздовж зображення (для вирівнювання нерівномірностей, викликаних дефектами висвітлення і чутливості перетворювача зображення);
• операція згортки в просторовій області з локальними операторами вікон (операторами згладжування, усереднення й ін.);
• фільтрація в просторово-частотній області;
• інтерполяція в полі зображення;
• тимчасове підсумовування зображень;
• сегментація зображення й ін.
Перетворення зображень, призначених для автоматичного аналізу, як правило, включає процедури запису його в пам'ять, обробку з затримкою в часі і визначення найважливіших параметрів (ознаковий опис). У процесі автоматичної обробки зображення досліджуваного об'єкта формується список параметрів, часто в матричній формі або у вигляді стилізованого зображення (напівавтоматичний аналіз). Список параметрів формується в залежності від конкретних прикладних задач, тому нижче будуть наведені лише деякі приклади.
Найчастіше використовувані процедури обробки:
• операція згортки в просторовій області;
• фільтрація в просторово-частотній області;
• вирівнювання яскравості по полю зображення;
• нелінійне амплітудне перетворення сигналу зображення;
• операція порівняння з порогом;
• бінаризація зображення;
• рангова фільтрація;
• локальні процедури усереднення;
• градієнтні перетворення;
• інтерполяція зображень у просторовій області;
• інверсія зображення;
• аналіз логічних зв'язків у зображенні;
• підсумовування і вирахування зображень;
• пошук екстремумів у зображенні.
В окрему групу можна виділити геометричні перетворення зображень:
• просторове зміщення;
• масштабні перетворення (збільшення, зменшення);
• обертання.
Процедури функціональних перетворень;
• Фур'є-перетворення;
• косинусне перетворення;
• синусне перетворення;
• перетворення Адамара.
зображення імпульсний сигнал коливання
2. Сигнали, простори сигналів і системи
Сигнал – це залежність його миттєвого значення від часу. Для опису сигналів використовують математичні моделі. У найпростішому випадку значення сигналів і аргументів є скалярними величинами. У деяких випадках для їхнього опису необхідно використовувати комплексні (наприклад, електромагнітні поля) або векторні (наприклад, кольорові зображення) функції.
Сигнал, який описується функцією однієї перемінної, називається одновимірним, а сигнал, який описується функцією М незалежних перемінних, називається багатовимірним. Наприклад, яскравість зображення – двовимірний сигнал I = b(x, y) (рис. 1).

Рисунок 1 – Сигнал I = b(x, y) у площині зображення
У практиці обробки сигналів зустрічаються сигнали, які розглядаються як періодичні. Сигнал називається періодичним, якщо для нього виконується умова
.
(1)
Прикладом найпростішого періодичного сигналу є гармонійне коливання
.
(2)
Такий сигнал являє гармоніку, що характеризується амплітудою А, круговою частотою і початковою фазою .
Сигнали, значення яких змінюються безупинно зі зміною безперервної перемінної (часової t або просторової s), називаються безперервними. Часто такі сигнали називають аналоговими.
Поряд з безперервним способом передачі і перетворення сигналів, широко використовують дискретні способи. При цьому перемінна і сигнал приймають фіксовані, тобто дискретні значення. Таким чином, безперервна функція замінюється решітковою, яка визначається сукупністю ординат або дискрет. Такий сигнал називається дискретним. Якщо ординати приймають значення з безлічі фіксованих, заздалегідь визначених, такий сигнал називають цифровим.
У задачах аналізу сигналів часто використовують так звану дельта-функцію або функцію Дірака, яка є нескінченно вузьким імпульсом з нескінченною амплітудою, розташований при нульовому значенні аргументу функції. Площа цього одиничного імпульсу (рис. 2) дорівнює одиниці:

.
(3)

Рисунок 2 – Одиничний імпульс
Дельта-функція має важливу фільтруючу властивість: якщо дельта-функція знаходиться під інтегралом як множник, то результат інтегрування дорівнюватиме значенню іншої підінтегральної функції в тій точці, де зосереджений дельта-імпульс:
.
(4)
Нарешті, двовимірний дискретний сигнал (або масив, послідовність) – це функція, визначена на безлічі упорядкованих пар цілих чисел. Окремі елементи цього масиву називаються відліками. Значення відліків можуть бути речовинними або комплексними. Відповідно до визначення, двовимірні послідовності мають нескінченну довжину. Однак на практиці для більшості двовимірних послідовностей значення відліків відомі тільки в кінцевій області площини. Тому звичайно вважають, що всі значення відліків за межами визначеної області дорівнюють нулю. Приклади двовимірних дискретних послідовностей різних типів показані на рис. 3 – 6.

Рисунок 3
– Двовимірна одинична імпульсна функція


Рисунок 4 – Два приклади двовимірних лінійних імпульсів

Рисунок 5 – Двовимірна періодична послідовність
Класифікація систем можлива з тих же позицій, що і класифікація сигналів:
безперервні системи —> аналогові системи:
дискретні системи —> цифрові системи.
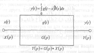
У процесі вивчення системи досліджуватимемо орієнтовану на вирішення прикладних задач математичну модель з декількома входами і виходами, що служить для опису визначених процесів передачі сигналів від входів до виходів. Зв'язок між сигналами на входах і виходах описується за допомогою характеристик системи (рис. 7).

Рисунок 6 – Періодична послідовність
Тут послідовність x(t)
є сукупністю вхідних даних,
y(t) – сукупністю вихідних
даних, а зв'язок між ними встановлює так
звана перехідна характеристика
g(t):
.

Рисунок 7 – Приклад системи
У загальному випадку вхідні і вихідні сигнали подають у вигляді векторів:
(5)
Система обробки сигналів, що має m входів і n виходів називається багатовимірною. Якщо вхідний і вихідний сигнали, а також стан системи визначені в кожний момент часу і час безперервний, то система називається безперервною. Якщо згадані сигнали і стани визначено в дискретні моменти часу, система називається дискретною.
Обмежимося лінійними системами. Для розгляду лінійних процедур може бути використаний простий математичний апарат, водночас їх достатньо для опису багатьох використовуваних алгоритмів обробки сигналів.
Згортка. Нехай на вхід системи поданий дельта-імпульс, а поводження системи описується перехідною характеристикою h. Тоді на виході отримаємо імпульсний відгук системи (рис. 8):

Рисунок 8 – Імпульсний відгук і постановка задачі про згортку
У процесі
квантування, при
,
сума переходить в інтеграл, а h
стає відгуком на -імпульс.
Вираз для інтеграла згортки набуває
вигляду
(6)
Символічно згортка записується у такому вигляді:
.
(7)
Далі
розглянемо функцію, для якої
при
.
Межі інтегрування тепер будуть обмежені
областю
.
Для інтеграла згортки записується відповідно
(8)
Точкою
згортки називається поточна точка ,
для неї знаходиться добуток
і
розраховується площа під ділянкою
кривої цього добутку від нуля до поточної
точки згортки.
3. Опис сигналів і систем за допомогою інтегральних перетворень. Одновимірне перетворення Фур'є
Інтегральні перетворення (функціонали) служать важливим апаратом системної теорії. При цьому розглядається перетворення області визначення деякої вихідної функції в іншу область, що також може бути розглянута як сигнальний простір. Перетворення виконується за допомогою ядра перетворення, що часто називають базисом, наприклад
(9)
Перетворення називається лінійним, якщо функція, що підлягає перетворенню, присутня у функціоналі не більш ніж у першому ступені. Тоді загальний вигляд інтегрального перетворення може бути записаний як
(10)
Тут перетворення вихідної
функції
у
виробляється за допомогою ядра
.
Зворотне перетворення
функції
у вихідну
здійснюється за допомогою ядра
:
(11)
Вихідними функціями можуть бути як самі сигнали, так і функції, що описують систему у вихідній області (наприклад, імпульсний відгук). Найважливішими під час обробки зображень є:
перетворення Фур'є;
косинусне, синусне і Wavelet- перетворення;
перетворення Радемахера, Уолша-Адамара;
перетворення Хаара.
Розглянемо речовинну просторову
функцію розподілу яскравості вздовж
рядка зображення
.
Тоді пряме і зворотне перетворення
Фур'є для неперіодичної функції запишеться
у такий спосіб:
(12)
(13)
Формули (12) і (13) являють
неперіодичний сигнал
,
заданий на нескінченному інтервалі,
відповідно в частотній і часовій
областях. Функція
характеризує
спектральний склад сигналу
і називається спектральною щільністю
сигналу
.
Така назва викликана тим, що для
неперіодичного сигналу частотний
інтервал між суміжними гармоніками
прагне до нуля, і перетворення (13) є
розкладанням сигналу на суму нескінченної
кількості гармонік, амплітуди яких
нескінченно малі.
Вираз (12) дозволяє перейти
від спектральної щільності до сигналу,
а вираз (13) – від сигналу до спектральної
щільності. Для вирішення різних задач
операції над періодичними сигналами
часто замінюють операціями над частотними
спектрами. Це дає можливість досліджувати
властивості сигналів не тільки в часовій
області, аналізуючи безпосередньо
сигнал
,
але і в частотній, оперуючи спектральною
щільністю.
4. Імпульсна і частотна характеристики безперервної системи
Імпульсною характеристикою системи називається функція h(x), що являє реакцію системи на вхідний сигнал, заданий дельта-функцією:
(14)
Знання h(х) дозволяє вирішити будь-яку задачу про проходження детермінованого сигналу через лінійну систему.
Для дослідження лінійних систем у частотній області використовують частотну характеристику H(j). Частотна H(j) і імпульсна h(х) характеристики лінійної системи пов’язані між собою парою перетворень Фур’є:
(15)
(16)
Частотна характеристика має просту інтерпретацію – вона являє коефіцієнт передачі гармонійного сигналу з частотою із входу лінійної системи на її вихід (рис.9).

Рисунок 9 – Система в частотній області
У загальному випадку H(j) має комплексні значення і пов'язує спектральні щільності вхідного і вихідного сигналів простою залежністю:
.
(17)
Відповідно до теореми згортки перетворення Фур'є від двох згорнутих функцій дорівнює добуткові їхніх фур'є-перетворень:
(18)
Це перемножування в частотній області відповідає фільтрації вхідної функції передатною функцією. Поняття фільтрації в техніці обробки зображень часто застосовується і в просторовій області.
Таким чином, система, поводження якої описане в часовій (просторовій) області, може бути описана і в частотній області (рис. 10).

Рисунок 10 – Система в частотно-просторовій і просторовій областях
Перехід до дискретних систем.
Під час обробки зображень функція
піддається дискретизації шляхом
формування послідовності дискретних
відліків
.
Тому необхідно ввести поняття дискретної
системи. У цьому випадку результат
перетворень також дискретний, як в
просторовій, так і в частотно-просторовій
області.
Перехід до дискретного опису може бути зроблений у такий спосіб:
1. Покладемо, що
дискретизується растром, при цьому
— цілочисельні перемінні
,
що описують дискретні координати в
області зображення.
Подамо процес дискретизації символічно:
(19)
Введемо
— цілочисельні перемінні, індекси
дискретних спектральних компонентів
у частотно-просторовій області;
Введене раніше поняття перетворення Фур'є можна поширити і на дискретні системи. Тоді дискретне перетворення Фур'є (ДПФ) записується як
(20)
Зворотне ДПФ:
(21)
Цю відповідність можна позначити символічно:
(22)