Аналіз процесів розвитку оптичних транспортних інфокомунікаційних систем
АНАЛІЗ ПРОЦЕСІВ РОЗВИТКУ ОПТИЧНИХ ТРАНСПОРТНИХ ІНФОКОМУНІКАЦІЙНИХ СИСТЕМ
Содержание
Вступ
Аспекти формування інструментарію для підвищення ефективності транспортних мереж
Визначення концепції розбудови оптичних транспортних мереж
Аспекти формалізації моделі транспортної мережі
Аспекти інтеграції ланки в мережеву структуру
Вступ
У сучасному світі телекомунікацій коло питань щодо модифікації існуючих мережевих структур розглядається як з технічних, так і з економічних позицій.
Отже, концепція розвитку чи модифікації транспортної інфокомунікаційної інфраструктури, яку необхідно визначити має опиратися на обидва підходи. Коли говоримо про сукупність рішень, не слід забувати, що вони групуються та є взаємозалежними.
У концептуальних засадах розвитку оптичних транспортних систем необхідно приділити увагу аналізу вже набутого історичного досвіду проектування та практичної реалізації попередніх технічних телекомунікаційних проектів.
Методологія розбудови сучасної транспортної мережі має містити чітко визначені та пов'язані семантичні складові необхідних в процесі проектування компонентів - мережа, як об'єкт, методика, метод, засіб - операційні елементи для аналізу та конфігурування або синтезу та розбудови оптимальної транспортної мережевої структури.
Аспекти формування інструментарію для підвищення ефективності транспортних мереж
Природнім є той факт, що опис чи розбудову будь-якої системи слід починати у відповідності з певною ієрархічною структурою. В даному випадку найкращим чином підходить ієрархія "концептуальні методики - інструментарій - методики для застосування інструментарію - методики оптимізації".
Отже, опис вирішення для проблеми підвищення ефективності оптичних транспортних мереж слід починати у відповідному порядку:
1) Формування загальної концепції підвищення ефективності оптичних мереж - пошук потрібного набору методик;
2) Вибір найбільш перспективного інструментарію та технологій для вирішення поставленої задачі на основі сформованих методик;
3) Опис методик впровадження, розробки оптимальних за надійністю структур з врахуванням розроблених методик та прикладних рішень
4) Паралельний техніко-економічний аналіз пропонованих рішень з розвитку або ре - конфігурації транспортних мереж
5) Методика оптимізації має опиратися на всі вищезазначені пункти та вносити визначеність для формування однозначних результатів всієї роботи
Інструментарій підвищення ефективності оптичних транспортних мереж - це сукупність методичних та технічних засобів, які задовольняють умові підвищення технічних показників та параметрів, що формують в сукупності поняття "ефективність" (діаграма 1).

Діаграма Інструментарій, як сукупність методів та засобів
Ефективність оптичних транспортних мереж - ступінь оптимальності використання потенційних ресурсів збудованих та проектованих мереж для найкращого можливого за якістю (такою, що незаперечно має підвищуватися) забезпечення користувачів інфокомунікаційними ресурсами.
Отже до інструментарію можна віднести методи та засоби, які підіймають межу пропускної здатності тракту (планованого чи існуючого) як структурної одиниці мережі та мережі в цілому з використанням засобів інструментарію згідно методик, причому передбачається, що пропускна здатність має підвищуватися завдяки використанню наступних концептуальних категоріальних пріоритетів:
а) підвищення пропускної здатності існуючих трактів та мережевих рішень
б) підвищення пропускної здатності за рахунок проектування нових трактів чи рішень
в) підвищення пропускної здатності шляхом дублювання існуючих трактів чи рішень
За функціональними особливостями слід виділити наступні пріоритетні категорії:
1) підвищення пропускної здатності високотехнологічними та високорівневими методами (оптимізація потоків)
2) підвищення пропускної здатності за рахунок використання нових рішень на оптичних трактах та нарощення швидкості старих трактів транспортних мереж
3) внесення змін в структуру мережі та заміну волокон і обладнання
Отже, етапи вибору та дослідження інструментарію для вирішення задач згідно проблематики даної роботи мають бути узгодженими з наведеними пріоритетами.
Визначення концепції розбудови оптичних транспортних мереж
У телекомунікаційному світі склалося так, що вимоги до структури сучасних мереж та їх структури стали визначатися технологіями більше, ніж будь-коли в історії. Основними напрямними осями роботи над аналізом мереж слід вважати: розміщення вузлів комутації, з'єднання їх лініями зв'язку, обробка інформації, структура потоків та технології, які вимагаються користувачами для задоволення власних потреб.
Не можна оминути проблему "дірявих трубопроводів" у зв'язку, коли через низьку якість сервісу користувачі застосовують технологічне розширення вимог до пропускної здатності, що дозволяє, наприклад, при сучасних підходах в ІР-телефонії зняти питання надмірних затримок. Не враховується лише те, що фізичний потік в магістральній мережі - це дороге явище.
В загальному випадку схему підвищення ефективності телекомунікаційних мереж, можна представити у вигляді діаграми 2. Внаслідок неперервного процесу досліджень можливості сучасних телекомунікаційних систем невпинно зростають і на сьогодні, з врахуванням останніх розробок фізичної бази для оптичних систем передавання 100-150 Гбіт/с (для одного каналу) системи передавання безумовно забезпечують зростаючий попит користувачів, крім того повністю використовується потенційна пропускна здатність найпопулярніших на планеті направляючих систем - оптичних волокон.
Слід зауважити, що існує визначена ієрархія пріоритетності інструментарію підвищення ефективності ТК мереж, оскільки при підвищенні, вимог до пропускної здатності вона може бути збільшена як за рахунок модернізації апаратної бази, так із рахунок нарощення об'ємів обладнання та каналів, що використовуватимуться паралельно. Природно, що пріоритетність та наукоємність першого шляху має бути вищою, так само, як і економічний ефект від впровадження запропонованих рішень. Так, зокрема, сталося при впровадженні WDМ технологій на оптичних трасах.

Діаграма 2. Блок-схема процесу підвищення ефективності телекомунікаційних мереж.
Багато проблем стоїть перед операторами та інженерами-проектувальниками при виборі структур та розподілу потоків у нових мережах. Дана робота покликана у значній мірі дати відповідь на важливі питання щодо оптимальності розбудови:
структури мережі (топологія, конфігурації канально-мережевого рівня)
вибору конфігурації фізично-канального рівня
вибору транспортних технологій вищих рівнів
вибору технологій підвищення пропускної здатності тракту
вибору засобів для підвищення надійності роботи з врахуванням вищенаведеного
Аналіз будь-якої мережі слід починати з аналізу ланок, а потім інтеграції (завдяки моделюванню) їх у єдину мережу.
Аспекти формалізації моделі транспортної мережі
Транспортна телекомунікаційна мережа в даній роботі представляється в якості частини навколишнього світу, розглядається самостійно і без зв'язку з оточенням. Але в силу того, що соціум зазнає еволюції шляхом тісної інтеграції в інфокомунікапійний простір, все ж з'являються фактори впливу - система стає квазізамкненою. Основними факторами є ринкові чинники, економічні умови розвитку систем. Тому особливо актуальним стає дослідження поведінки телекомунікаційних систем в динамічному аспекті в умовах ринкових обмежень та нестабільності.
В телекомунікаціях все обладнання має високу вартість та надійність, тому природнім є той факт, що обмеження капіталовкладень на будівництво нових та реконфігурацію існуючих мереж відграє значну роль в процесі формування показників технічної ефективності.
Первинна мережа зв'язку включає вузли (елементи) з лініями зв'язку, що з'єднують ці вузли. Але з різних точок зору телекомунікаційна система є більше чи менше структуризованою.
В деяких випадках при аналізі мережевих транспортних систем міра структуризованості є визначальною, а в деяких - не має значення. Залежно від конкретного випадку і обраного математичного апарату вибирається необхідний нам рівень структуризації.
В цьому розділі структура інфокомунікаційної мережі передбачає інтеграцію в себе економічних факторів для визначення, а в деяких випадках обґрунтування необхідності застосування результатів моделювання для оптимізації структури мережі.
Параметризувати транспортну телекомунікаційну систему вдається за допомогою методик розрахунку телекомунікаційних структур. Але розрахунок структури, як правило, передбачає наявність кількох оптимальних за різними критеріями та майже еквівалентних результатів. Це вносить невизначеність, особливо при формуванні методичних вказівок до впровадження. Доцільність впровадження та його обгрунтування неодмінно пов'язані з економічними сторонами проблеми.
Для розрахунку транспортних систем для впровадження приймемо, що маємо справу з комплексною техніко-економічною моделлю. Запропоновані методики дають можливість оптимізувати транспортну мережу за комунікаційними ресурсами - пропускною здатністю, структурою потоків між у ланках мережі та топологічну структуру мережі.
Таким чином результатом застосування методик стає функціональний набір, який характеризує:
1) пропускну здатність мережі між кінцевими пунктами, що напряму визначає кількість послуг, які потенційно можуть бути надані;
2) резерв операторів, що не використовується, але теоретично може бути використаний для надання додаткових об'ємів послуг користувачам.
Дані методики не враховують та не формують:
1) цінову політику операторів;
2) політику відрахувань на амортизацію та розвиток, що включає модернізацію та перерозподіл ресурсів.
Для підведення підсумків, щодо запропонованих моделей оптимізації мережевих структур та надання рекомендацій про їхнє оптимальне використання слід сформувати узагальнені методи щодо техніко-економічного обгрунтування з акцентом на економічний бік проблеми.
У даному розділі запропоновані методи для оптимізації розподілу ресурсів мережі в умовах економічної обмеженості (кризи) для досягнення максимального економічного ефекту. Крім того для узагальнення стратегії розвитку та оновлення існуючого апаратного та ресурсного парку пропонується представити аналіз транспортної мережі передавання даних, як динамічної моделі керування ресурсами, застосовуючи принцип максимуму Л.С. Понтрягіна. Обидва підходи подаються нижче.
Аспекти інтеграції ланки в мережеву структуру
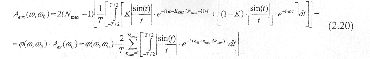
Найважливішою функцією, яка описує оптичний багатоканальний тракт та, в загальному випадку є коефіцієнт передавання тракту.
Виберемо
тестову імпульсну функцію із спектром
в околі постійної складової, який формою
нагадує спектр квазі-когерентного
джерела випромінювання. Нехай такою
функцією буде
.
Спектр функції поданий
на рис.1 нижче (отриманий
за допомогою системи MathCad
2001):

Рис.1 Ненормований спектр тестової імпульсної функції
Запишемо спектральне рівняння балансу енергії, яке включає у себе результуючий енергетичний спектр, що представлений як добуток усередненої передавальної функції на вхідну сукупність спектрів каналів WDM системи у вигляді сукупного амплітудного коефіцієнту у чисельнику, який розбито на завади від N-1 каналів та зміщений внаслідок розсіювань спектр власне інформаційного каналу, вхідний сумарний спектр всіх вхідних оптичних каналів:

Де
- функція амплітудних коефіцієнтів
(енергії) вихідного групового спектру,
- передавальна спектральна функція
тракту,
- вхідний груповий енергетичний спектр
оптичного тракту, N>max>>
- >кількість каналів
системи, K
- середній коефіцієнт
підсилення енергії каналів в тракті.
Таким чином, запишемо спектральну функцію коефіцієнта передавання завад як частку від ділення амплітудних коефіцієнтів вихідного спектру на вхідний:

Вже
після таких перетворень можна бачити,
що функція передавання в дійсній частині
є лінійно залежною від кількості каналів,
які передаються оптичним трактом. Звідси
робимо висновок, що паразитні впливи,
які теж входять до складу цієї функції
залежать від кількості каналів і також
зростають пропорційно їй, оскільки не
враховуються загасання, тобто функція
відповідає
за спектр в каналі, його перетворення,
в тому числі перекручення спектру та
переноси спектральної потужності. У
разі зменшення значення функції при
деяких параметрах частоти та кількості
каналів можна зробити висновок про
збільшення впливу завад - збільшення
відношення сигнал шум.
оптична транспортна інфокомунікаційна мережа
Спектральна функція передачі енергії тракту - енергетичний коефіцієнт передачі у такій інтерпретації є фактично функцією перехресних завад - перерозподілу енергії у спектрі групового оптичного сигналу. Перехресні завади, які утворюються між каналами тракту залежать лінійно від кількості каналів, крім того спектральна густина завад з країв діапазонів є вищою (внаслідок переносу спектральних потужностей - розсіювань).
Якщо врахувати лінійну залежність функції енергетики перехресних завад ланки від числа каналів, а число каналів залежним (для забезпечення прийнятної якості сервісу) від отриманої топологічної завантаженості, то можна записати матрицю відносних рівнів топологічних завантаженостей - величин потоків та кількості каналів тракту для їх обслуговування, які утворять разом із структурним масштабуючим коефіцієнтом матрицю відносних величин завад:

Тут
N -
кількість вузлів області
аналізу, рівна кількості елементів
матриці спряження
,
k -
коефіцієнт розмірності,
- енергетична функція передачі тракту,
-матриця
відносних рівнів завад ланок-трактів
оптичної багатоканальної мережі.
Як видно з отриманих результатів, для оптичного волокна заданої довжини існує така кількість кроків вибору вхідного еліпса поляризації, для якої ефективність методу є максимальною. Також при збільшенні кількості кроків ми спостерігаємо падіння ефективності використання такого методу компенсації. Це пояснюється тим, що під час підбору мінімального значення передача також ведеться, а значення ДГЗ не є мінімальним. Звичайно, при зменшенні динаміки (збільшенні часу, протягом якого ОВ не змінюється) спостерігається зростання ефективності використання методу компенсації. Якщо довжина ОВ зростає, то спостерігається переміщення оптимального значення також в сторону збільшення.
Отже, для ОВ заданої довжини при постійній динаміці існує така кількість еліпсів поляризації вхідного сигналу, для якої поляризаційно-модова дисперсія буде мінімальною. Для конкретного волокна цей параметр (кількість вхідних сигналів) потрібно підбирати, тому що для різних волокон він також є різним (лежить в межах 15 - 30 точок, ефективність відрізняється також несуттєво).
Швидкість визначення одного значення ДГЗ на виході оптичного лінійного тракту і передача цього значення на передавальну сторону є фіксованою, і тому 20 вимірювань і 100 вимірювань (для різної кількості вхідних каналів) також займають даний час. Тому, якщо час 100 вимірювань прийняти за 1, а динаміка виражена в часах вибору мінімуму, то 20 вхідних сигналів призведуть до зменшення динаміки в 5 разів у порівнянні зі 100, що також збільшить ефективність використання методу компенсації саме у випадку з 20 кроками.