Выращивание плёнки GeSi и CaF2 на кремниевых подложках
СОДЕРЖАНИЕ
ВВЕДЕНИЕ
1. ЛИТЕРАТУРНЫЙ ОБЗОР
1.1 Пластическая релаксация напряжений несоответствия
1.1.1 Прорастающие дислокации и дислокации несоответствия
1.1.2 Критическая толщина введения дислокаций несоответствия
1.1.3 Модель энергетического баланса
1.1.6 Движение прорастающих дислокаций в напряженных пленках
1.1.7 Зарождение дислокаций несоответсвия в напряженных пленках
1.2 Молекулярно-лучевая эпитаксия гетероструктур CaF>2>/Si
1.2.1 Молекулярно-лучевая эпитаксия CaF2
1.2.2 Влияние технологических режимов на дефектообразование в CaF>2>
1.2.3 Влияние ориентации подложки на морфологию СaF>2>
1.2.4 Влияние отжигов на морфологию и структуру пленок CaF>2>
2. экспериментальная часть
2.1 Методика проведения эксперимента
2.1.1 Установка МЛЭ "Катунь"
2.1.2 Рентгеновская дифракция
2.1.3 Атомно-силовая микроскопия
2.1.4 Эллипсометрия
2.1.5 I-V характеристики
2.2 Выращивание плёнок GeSi
2.2.1 Исследуемые образцы
2.2.2 Релаксация пленок
2.2.3 Анализ и обсуждение результатов
2.3 Выращивание гетероструктур CaF>2>/Si
2.3.1 Исследуемые образцы
2.3.2 Морфология поверхности гетероструктур
2.3.3 Электрические характеристики плёнок
3. ОХРАНА ТРУДА И ТЕХНИКА БЕЗОПАСНОСТИ
3.1 Общие положения
3.2 Лица, ответственные за безопасность работы
3.3 Требования к рабочим, обучение и проверка знаний
3.4 Требования к размещению экспериментальных установок и лабораторного оборудования, ввод его в эксплуатацию
заключение
список литературы
Приложение 1. копии демонстрационных материалов
Список сокращений
АСМ – атомно-силовая микроскопия
ИС – интегральная схема
ДБЭ – дифракция быстрых электронов
ДН – дислокация несоответствия
ДМЭ – дифракция медленных электронов
ГР – граница раздела
КИТ – кварцевый измеритель толщины
МЗВ – модуль загрузки-выгрузки
МЛЭ – молекулярно лучевая эпитаксия
ПД – прорастающая дислокация
ПЭМ – просвечивающая электронная микроскопия
ВВЕДЕНИЕ
В настоящее время микроэлектроника столкнулась с трудностями на пути дальнейшего уменьшения размеров и увеличения быстродействия элементов ИС. Причём, если проблему уменьшения габаритов приборов ещё удаётся решать (сейчас возможно создание элементов размерами порядка десятков нанометров), то дальнейшее увеличение быстродействия приборов ограничивается физическими свойствами кремния, являющегося основным материалом современной микроэлектроники. Несмотря на все несомненные достоинства кремния, такие как широкая распространённость материала в природе, наличие химически устойчивого природного окисла SiO>2>, изученность физических, химических и механических свойств, у кремния есть существенный недостаток, а именно небольшая подвижность носителей заряда, что и является основной причиной ограничивающей применение Si в создании СВЧ приборов на его основе. В связи с этим в настоящее время проводятся попытки внедрения в полупроводниковое производство новых материалов и технологий.
Так, чрезвычайно перспективным видится использование ГС на основе GeSi/Si в качестве искусственных подложек для роста GaAs – в перспективе это может привести к совмещению приборов, создаваемых на основе кремниевой технологии, с оптоэлектронными приборами, основным материалом для которых является GaAs. Ключевым элементом такого совмещения являются буферные слои на основе Ge>x>Si>1->>x> , позволяющие создавать на их поверхности полностью релаксированные совершенные слои твёрдого раствора германий-кремний с х вплоть до 1.
Ещё одним перспективным направлением использования плёнок твёрдых растворов GeSi является их использование в качестве материалов активной зоны в транзисторах (базовые области в биполярных транзисторах и каналы в МДП структурах). Преимущества таких приборов по сравнению с созданными на основе кремния настолько велики, что ведущие производители интегральных схем уже объявили об их использовании в своих технологических маршрутах по выпуску чипов для СВЧ-электроники и схем памяти с использованием КМОП-технологии [1]. Созданы полевые транзисторы работоспособные до частот 70 – 80 ГГц [2].
Одним из основных направлений развития микроэлектроники сегодня является использование слоёв кремний на изоляторе (КНИ). Существует несколько технологических направлений получения КНИ структур: кремний на сапфире (КНС), SIMOX, SMART CUT и другие. Эпитаксиальные диэлектрические пленки CaF>2>, SrF>2>, BaF>2> также могут быть использованы при разработке и изготовлении перспективных ИС как в качестве разделительного, так и подзатворного диэлектриков. Использование пленок эпитаксиальных диэлектриков делает возможным создание КНД структур, содержащих квантовые точки, формирующиеся по механизму Странского – Крастанова. Такие структуры позволяют осуществлять совместное формирование опто- и микроэлектронных устройств, а также использовать эффект квантового туннелирования. Как эпитаксиальный изолятор, флюорит (CaF>2>) перспективен для создания радиационно-стойких электронных приборов, резонансно туннельных диодов и транзисторов. Эпитаксиальные фториды щелочноземельных металлов также используют в качестве изолирующих буферных слоёв для изготовления многоэлементных инфракрасных и радиационных датчиков на кремниевых подложках.
1. ЛИТЕРАТУРНЫЙ ОБЗОР
В разделе (1.1) данной главы приводятся литературные данные по исследованию механизмов зарождения и распространения дислокаций несоответствия в полупроводниковых гетеросистемах.
В разделе (1.2) рассмотрено влияние технологических режимов и ориентации подложки на морфологию и дефектообразование в плёнках СaF>2>.
1.1 Пластическая релаксация напряжений несоответствия
Создание гетероструктур с относительно высокой разностью параметров решеток плёнки и подложки неизбежно приводит к формированию сетки дислокаций в границе раздела, компенсирующей механические напряжения, возникшие вследствие несоответствия параметров кристаллических решеток. В связи с этим, получение гетероструктур, обладающих низкой плотностью прорастающих дислокаций (ПД), является важнейшей задачей полупроводникового материаловедения. Работы в этой области ведутся более двух десятков лет. Основные прикладные задачи можно разделить на три направления.
Получение псевдоморфных плёнок и многослойных гетероструктур (ГС) без дислокаций несоответствия (ДН). Напряжения в таких ГС модифицируют зонную структуру полупроводника, что приводит к появлению новых полезных электрических и оптических свойств.
Противоположная задача – получение полностью релаксированных плёнок, так называемых искусственных подложек, что необходимо для создания различных приборных ГС на материалах с параметром решетки отличным от параметра имеющихся коммерческих подложек. Здесь основной целью является достижение максимально возможного структурного совершенства такой искусственной композиции, приближение по этим параметрам к стандартным монокристаллическим положкам.
Ещё одной задачей, относящейся к крайнему проявлению релаксации напряжённых плёнок и получившей в последнее время большой научный и практический резонанс, является выращивание ансамблей наноостровков с плотностью более 1010 см-2 – так называемых квантовых точек.
1.1.1 Прорастающие дислокации и дислокации несоответствия
Подложка и плёнка рассогласованы, когда их кристаллические ячейки не совпадают по размеру. Так как для формирования дислокаций несоответствия требуется дополнительная энергия, первоначально слой растёт в напряженном, псевдоморфном состоянии, при котором размеры ячейки плёнки и подложки совпадают в плоскости границы раздела. Если пластическая релаксация прошла полностью, ячейка плёнки возвращается в своё первоначальное состояние, а на границе раздела создаётся сетка ДН. В идеальном случае для плоскости границы раздела (001) это ортогональная сетка дислокаций, лежащих только на границе раздела или вблизи неё. Однако, поскольку плоскостями скольжения в кремнии являются плоскости типа {111}, эта сетка ДН может быть создана только путём скольжения дислокаций в пленке по наклонным плоскостям (111). Пересекающие плёнку концы дислокаций могут оставаться в ней, создавая большую плотность прорастающих дислокаций. Плоскости типа {111} пересекаются с границей раздела по направлениям типа <110>, поэтому во всех наблюдаемых гетероструктурах GeSi/Si(001) ДН лежат в направлениях <110>.
Для гетеропары Ge-Si различаются два основных типа ДН по углу между линией дислокации и направлением вектора Бюргерса, который равен 60° и 90°. Соответственно дислокации первого типа называются 60°-ными, а второго - 90°-ными. 90°-ные (или Ломеровские, L-дислокации) являются "сидячими", так как их вектор Бюргерса не лежит в плоскости скольжения. Энергетически Ломеровские дислокации, будучи чисто краевыми, выгодней для релаксации плёнок по сравнению с 60°-ными, так как доля введённой пластической деформации для них в два раза больше. Однако по причине невозможности их введения путём скольжения, 90°-ные ДН образуются за счет реакции между двумя 60°-ми дислокациями. У другого типа дислокаций - 60°-ного, линия дислокации и вектор Бюргерса лежат в плоскости {111}, которая для материалов Ge и Si является плоскостью скольжения. Этим и объясняется преимущественное появление этого типа дислокаций в релаксирующей напряжённой плёнке.
В пленках Ge>x>Si>1->>x> /Si(001) при малых рассогласованиях (< 1,5 %) наблюдается ортогональная сетка ДН, в основном, 60°-ного типа. При больших рассогласованиях (> 2,3 %) [5] наблюдается, в основном, ортогональная сетка коротких краевых L-дислокаций. Природа дислокационной структуры в границе раздела пластически релаксируемой пленки оказывает большое влияние на совершенство кристаллической структуры основного объема пленки: дислокации несоответствия связаны с поверхностью пленки ветвями ПД, плотность которых, в случае коротких дислокаций несоответствия, достигает величин 1010–1011 см-2.
Задача получения совершенных, полностью релаксированных пленок GeSi/Si распадается на две подзадачи: а) обеспечить приемлемый темп релаксации пленки введением ДН; б) свести до минимума количество прорастающих дислокаций. В определенной степени эти две подзадачи противоречивы, так как введение ДН происходит через прохождение ПД через объем пленки.
1.1.2 Критическая толщина введения дислокаций несоответствия
Еще в 1949 г. Франк и Ван дер Мерве [3] указали на возможность выращивания тонкого кристаллического слоя на подложке с иным параметром решетки без дефектов на границе раздела. В такой гетеропаре рассогласование параметров решеток пленки и подложки компенсируется изменением размеров ячейки слоя. В результате этого слой оказывается биаксиально напряженным, а его граница раздела когерентно сопряжена с подложкой. Энергия деформаций, накапливающаяся в пленке, пропорциональна её толщине. После того, как толщина слоя начинает превосходить некоторую величину, называемую критической толщиной, энергия становится настолько большой, что на границе раздела возникают дислокации несоответствия, частично или полностью снимающие напряжения в объеме пленки.
1.1.3 Модель энергетического баланса
Мэтьюзом была предложена модель энергетического баланса (energy balance model) [4], которая основана на сравнении энергий напряжённой и пластически релаксированной плёнок. Энергия напряжений единицы площади псевдоморфной пленки толщиной h есть
(1)
где G и ν– соответственно модуль сдвига и коэффициент Пуассона в изотропном твёрдом теле, ε – двумерная (плоская) упругая деформация в пленке, возникающая из-за разницы параметров решетки пленки и подложки:
(2)
Энергия единицы площади сетки дислокаций несоответствия, пластически релаксирующих пленку, равна
(3)
Здесь множитель 2 отвечает двум системам дислокаций несоответствия в каждом направлении <110> вдоль границы раздела, ρ – количество дислокаций на единицу длины в плоскости границы раздела, b – величина вектора Бюргерса дислокации, а α – угол между вектором Бюргерса и линией дислокации. Число β называется параметром ядра дислокации и для системы GeSi по современным данным принимается равным 0,76 (для 60°-ных дислокаций) [7]. Количество дислокаций ρ, участвующих в пластической релаксации пленки, равно
(4)
где b>eff> – эффективный вектор Бюргерса (т.е. компонента вектора Бюргерса, лежащая в плоскости границы раздела в направлении, перпендикулярном ДН – величина абсолютной пластической релаксации, являющаяся следствием появления одной ДН). Тогда
(5)
Полная энергия пленки равна E>ε>+E>d>> >. Величина упругих деформаций пленки, ε*, при которых эта сумма минимальна, может быть определена из выражения d(E>ε>+E>d>)/d>ε>=0, и она равна
(6)
Наибольшая возможная величина для ε* равна f. Таким образом, толщина псевдоморфной пленки, при которой становится возможным появление первых ДН, - критическая толщина, равна
(7)
Для сетки краевых дислокаций α = 90° и b/b>eff> =1. Для 60°-ных дислокаций α = 60° и b/b>eff>.= 2. С учетом того, что для системы GeSi ν = 0,28, f = 0,041.x (x – доля Ge в твердом растворе), β = 0,76, для случая с 60°-ными дислокациями получаем упрощенное выражение для критической толщины:
(8)
1.1.4 Движение прорастающих дислокаций в напряженных пленках
Согласно классическим представлениям [8] скорость движения дислокации может быть представлена в виде:
(9)
где V>0> – константа, E>ν> – энергия активации движения дислокации путем скольжения, τ>эфф> – эффективное напряжение, действующее на дислокацию. Величина эффективного напряжения пропорциональна ε (а на начальной стадии релаксации, когда ε ≈ f , она пропорциональна разнице параметров решеток Ge и Si) и возрастает с увеличением толщины пленки h. Таким образом, с помощью этих двух параметров ε и h можно регулировать величину эффективного напряжения, определяющую скорость движения дислокации при конкретной температуре.
1.1.5 Зарождение дислокаций несоответсвия в напряженных пленках
Зарождение дислокационной петли в напряженной пленке аналогично зарождению новой фазы (например, появлению зародыша твердой фазы в переохлажденной жидкости) и требует затраты какого-то количества энергии. Энергия дислокационной петли радиуса R согласно Мэтьюзу [9] равна
(10)
Выигрыш за счет уменьшения напряжений при образовании такой петли внутри напряженной пленки равен
(11)
Видно, что дополнительная энергия появившейся дислокационной петли пропорциональна радиусу, а уменьшение энергии напряжений при этом – квадрату радиуса дислокационной петли. Соответственно, алгебраическая сумма этих энергий в зависимости от R должна иметь максимум, как показано на рисунке 1.1. Этот максимум является тем энергетическим барьером, преодоление которого возможно при флуктуационном достижении дислокационной петлей критического радиуса R (рис. 1.1).

Рис. 1.1 Пример расчёта для определения критического радиуса дислокационной петли и энергии её образования для Ge>0,3>Si>0,7>/Si(001).
На рисунке 1.1 изображены зависимости W>s> и W>l>, а также их суммы W>s> + W>l> , от радиуса дислокационной петли для доли Ge в пленке, равной 0,3. Видно, что расчётный энергетический барьер образования такой петли W>c> составляет около 250 эВ. Более точные расчеты с учетом типа дислокации, энергии ступени, образующейся на поверхности пленки при прохождении дислокационной полупетли через ее объем, учет различных значений параметра ядра дислокации β [10,11] дают несколько меньшие значения W>c>, которые, тем не менее, близки или превышают 100 эВ для концентрации Ge ≤ 0,3 в твердом растворе GeSi. На основе таких расчетов был сделан вывод о невозможности гомогенного зарождения ДН в псевдоморфных пленках Ge>x>Si>1->>x> с х до 0,5 [10]. Тем не менее ДН в таких гетероструктурах возникают.
Хоутон в своей работе работе [12] подошел к зарождению ДН с иных позиций. Он исследовал движение и зарождение дислокаций в напряженных пленках Ge>x>Si>1->>x> /Si(001) следующим образом. Выращивались пленки Ge>x>Si>1->>x>, при температурах роста 350 – 500 °С до толщин, превышающих h>c>. Затем, после кратковременного изохронного отжига пленок при более высоких температурах, с помощью селективного травления на их поверхности выявлялись следы ДН, которые и наблюдались в микроскопе с приставкой Номарского. Количество наблюдаемых следов принималось равным количеству возникших ДН, а их длина вдоль поверхности, деленная на время отжига, соответствовала удвоенной скорости разбегания прорастающих ветвей.
Меняя температуру отжига, Хоутон смог оценить скорости зарождения ДН в большом интервале температур. Далее, построив измеренные зависимости скорости зарождения в осях ln(dN/dt) – 1/T, по наклону кривых Хоутон определил энергию активации зарождения W>n>. Она оказалась равной 2,5±0,5 эВ и не зависит от доли Ge (в пределах до концентрации х = 0,23) и величины эффективного напряжения τ>эфф>.
Таким образом, согласно модели гомогенного зарождения энергетический барьер для зарождения ДН зависит от рассогласования параметров решеток пленки и подложки и пропорционален ε, где ε ~ f. В то же время, экспериментальные данные показывают, что энергия активации зарождения ДН является величиной, не зависящей от х и близкой к 2,5 эВ. Это противоречие Хоутон предлагает преодолеть, предположив существование некоторой структурной конструкции из минимально возможного количества атомов, представляющей дислокационный зародыш, определенный для каждого типа дислокации в конкретном материале. Однако в настоящее время отсутствует четкое понимание устройства такой конструкции, а также ее местоположения в релаксирующей пленке. В представленной работе сделана попытка изучения источников дислокаций, а также их расположения в пленке.
РЕЗЮМЕ
На основе вышеизложенного материала можно сделать следующие выводы:
В эпитаксиальных гетеросистемах с умеренно большим рассогласованием подложки и плёнки, плёнка на начальном этапе растёт псевдоморфно, но при достижении некоторой критической толщины происходит релаксация напряжений, которая приводит к появлению ПД, как следствию введения ДН.
Для создания различных приборных ГС необходимо получение полностью релаксированных плёнок, обладающих высоким структурным совершенством: низкой плотностью прорастающих дислокаций (менее 106 см-2), и по возможности малой шероховатостью поверхности.
В настоящее время отсутствует четкое понимание устройства и местоположения в релаксирующей пленке структурной конструкции состоящей из атомов, делающей возможным зарождение дислокационных петель.
Одним из важнейших параметров плёнок, выращиваемых для приборных ГС, является плотность ПД. Поэтому вопрос о месте их зарождения в плёнке и возможности управления процессом зарождения является ключевым. Нам необходимо выбирать такие режимы роста, чтобы выращенные плёнки при небольшой степени релаксации имели достаточно высокую плотность ПД. Это позволит выявить источники зарождения дислокационных петель в объёме плёнки.
1.2 Молекулярно-лучевая эпитаксия гетероструктур CaF>2>/Si
В слоях CaF>2>, выращенных на Si, механизмы роста и дефектообразования существенно отличаются от известных в гетеросистемах типа полупроводник-полупроводник. Главными отличиями являются отсутствие наблюдения прорастающих дислокаций [15-18]. При этом часто наблюдается разупорядоченная область на гетерогранице CaF>2>/Si [19] и особенно на границе раздела (ГР) CaF>2>/GaAs [20]. Кроме того, по данным просвечивающей микроскопии, в пленках CaF>2> практически полностью отсутствуют напряжения [21].
Понятно, что отсутствие прорастающих дислокаций, наличие разупорядоченной области на ГР и релаксация напряжений связаны между собой и обусловлены особыми механизмами формирования связей между CaF>2> и Si на гетерогранице.
1.2.1 Молекулярно-лучевая эпитаксия CaF2
Осаждение пленок CaF>2> на Si подложки проводилось многочисленными исследовательскими группами [22-26]. Интерес к гетеросистеме CaF>2>/Si объясняется, прежде всего тем, что, как следует из табл. 1.1, система CaF>2>/Si имеет достаточно малое различие в параметрах решеток.
Таблица 1.1
|
Полупроводник |
Параметр решетки, А |
Фторид |
|
Si |
5.43 |
|
|
GaP |
5.45 |
|
|
5.46 |
CaF>2> |
|
|
GaAs |
5.65 |
|
|
Ge |
5.66 |
Фториды ЩЗМ привлекательны для технологии МЛЭ тем, что они имеют малое давление насыщенных паров при комнатной температуре, а при испарении не диссоциируют на ионы фтора и элементы второй группы.
На начальном этапе исследований для сублимации CaF>2> использовались различные конструкции молекулярных источников: в работах [22,25] – танталовые лодочки, в [27,23,24] – тигли из пиролитического нитрида бора (ПНБ), в [28,27,23,24] – тигли из графита. В [26] применялся электронно-лучевой испаритель (ЭЛИ) для осаждения пленок фторидов. Хорошие результаты достигаются при использовании тиглей из графита. В пленках CaF>2>, полученных из тиглей ПНБ, обнаружен бор [25]. При сублимировании CaF>2> с помощью ЭЛИ отсутствуют загрязнения, вносимые материалом тиглей, но возникает нестехиометричность состава, обусловленная диссоциацией фторидов на ионы под действием электронного пучка [25]. Наиболее оптимальными режимами считают температуры сублимации 1100 – 14000С, при которых скорости роста составляют 0.4 – 1.0 мкм/час.
1.2.2 Влияние технологических режимов на дефектообразование в CaF>2>
На структуру и свойства пленок фторидов, выращенных на поверхности полупроводников, в основном влияют два параметра: температура подложки Ts и скорость осаждения Vs. В [27] при осаждении CaF>2> на различные полупроводники при комнатной температуре всегда получались поликристаллические пленки. При этом структура пленки не зависела от начальной или конечной стадии обработки поверхности полупроводника. Различия в химической обработке или в режимах отжига кремниевых пластин в условиях СВВ не приводили к изменению картины электронной дифракции от плёнки: на экране всегда наблюдались концентрические резко очерченные кольца, свойственные поликристаллической структуре. При увеличении температуры подложки T>s>, возможен эпитаксиальный рост пленок фторидов. В [22] осаждали пленки CaF>2> на кремниевые подложки различной ориентации при различных температурах T>s>. Дефектность пленок определялась методом каналирования ионами He с энергией 2 Мэв. Для характеристики структурного совершенства кристалла обычно вводят величину >мин>, которая может изменяться от 100% в полностью неупорядоченных материалах до минимального значения >мин> в совершенных кристаллах.
В реальных объемных монокристаллах CaF>2> высокого качества величина >мин> обычно равна 0.05-0.07 (5-7%). На рис. 1.2(а,б) приведены зависимости параметров каналирования от T>s> для пленок CaF>2>, выращенных на Si(111) и Si(100) (рис.1.2 (а) и (б) соответственно).

Рис.1.2(а) Зависимость параметра каналирования в пленках CaF>2> на подложках Si(111) [22].
дефектообразование полупроводниковый пластический релаксация

Рис.1.2(б) Зависимость параметра каналирования в пленках CaF>2> на подложках Si(100) [22].
На подложках Si (111) монокристаллические слои CaF>2> растут в широком интервале температур T>s> = 500-800 0C при хорошем качестве слоев (>мин> = 0.05) (рис. 1.2(а)).
На Si(100) совершенные пленки CaF>2> (>мин> =0.06) растут в более узком диапазоне T>s> = 500-6000C. На Si(100) для пленок CaF>2>, величина >мин >имеет существенно отличный от Si(100) характер зависимости от T>s>. (Рис. 1.2(б)).
На Si(111) пленки CaF>2> гладкие и зеркальные. Повышение температуры роста слоев CaF>2 >от T>s> =5000C до T>s> > 7000C приводит к образованию морфологических дефектов.
Данные рентгеноструктурного анализа показывают, что на Si(111) пленки CaF>2 >имеют ориентацию (111). Однако с помощью методики каналирования обнаружено, что пленка состоит из двух типов структур: А и В. Области типа А имеют ту же ориентацию, что и кремниевая подложка, а В – это области пленки CaF>2>, развернутые на 1800 относительно направления <111>.
Доля областей А и В существенно зависит от температуры роста T>s>. Слои CaF>2>/Si, выращенные при температуре 6000С, состоят в основном из областей В типа.
Темнопольные изображения этих пленок, полученные с помощью просвечивающего электронного микроскопа (ПЭМ), подтверждают эти выводы [10]. Таким образом, на кремнии с ориентацией подложки (111) пленки CaF>2> при оптимальных условиях растут В-типа. При увеличения рассогласования параметров решеток фторида кальция и кремниевой подложки или отличии температуры роста от оптимальной увеличивается доля включений типа А.
Изучение структуры пленок фторидов, выращенных на поверхности Si(100) методом рентгеноструктурного анализа, показало: слои СаF>2 >растут с ориентацией подложки (100) [22].
Наибольшая плотность дефектов наблюдается вблизи границы раздела CaF>2 >– Si для обеих ориентаций подложки [22].
Данные по росту CaF>2> приведены в табл. 1.2.
Таблица 1.2
|
Фторид |
Ориентация подложки |
Ориентация пленки |
T роста, оС |
Рассогласование, %, (300К) |
Тип структуры |
>мìин> |
|
СaF>2> |
(111) |
(111) |
600-800 |
+0.61 |
В |
0.05 |
|
CaF>2> |
(100) |
(100) |
500-600 |
+0.61 |
- |
0.06 |
1.2.3 Влияние ориентации подложки на морфологию СaF>2>
Из таблицы 1.2 следует, что лучшие результаты по эпитаксии фторидов на Si могут быть получены при использовании CaF>2>. Многие авторы [23,29] ставили своей целью выявление причин более качественного роста пленок CaF>2 >на кремниевых подложках Si (111) в отличие от Si(100).
В [29] эпитаксиальные слои CaF>2 >толщиной 400 нм выращивались на Si(111) и Si(100) при температурах подложки T>s> = 700 и 5500C соответственно. Пленки получались монокристаллическими: параметр каналирования для них не превышал >мин> = 0.05. На рис. 1.3(а) и 1.3(б) представлены микрофотографии полученные РЭМ поверхности структур CaF>2>/Si(111) и CaF>2>/Si(100) соответственно.
На рис. 1.3(а) видно, что поверхность пленки CaF>2 >гладкая, и на ней имеются двумерные образования треугольной формы. Такой тип структуры, как правило, образуется при двумерном механизме роста.

Рис.1.3(а) Микрофотография поверхности структуры CaF>2>/Si(111) [29].

Рис.1.3(б) Микрофотография поверхности структуры CaF>2>/Si(100) [29].
Авторы [29] считают, что в их случае реализуется двумерный механизм роста пленки CaF>2>, так как от начала образования первого монослоя до окончания роста пленки ДБЭ не регистрирует трехмерных механизмов роста.
Поверхность CaF>2>/Si(100) имеет ярко выраженную островковую структуру (рис. 1.3(б)). В этом случае тяжи на дифракционной картине отсутствовали, а размытые рефлексы иллюстрировали наличие шероховатой поверхности пленки. Таким образом, при эпитаксии CaF>2> на Si(100) в отличие от CaF>2>/Si(111) наблюдается наличие шероховатой поверхности пленки. Подводя итог, можно сделать вывод: пленки CaF>2 >растут более совершенными и в более широком диапазоне температур T>s> на подложках кремния с ориентацией (111), чем на кремнии с ориентацией (100). Этот факт объясняется различием в величине свободной поверхностной энергии E>s> для (111) и (100) поверхностей. Экспериментальные данные [30] и теоретические расчеты [31] показали, что для CaF>2>(111) величина E>s> ~ 450-500 эрг/см2, в то время как для CaF>2>(100) она в 1.5-2 раза выше. Более высокое значение E>s> может быть из-за дипольного момента, возникающего перпендикулярно поверхности CaF>2>(100). На рис. 1.4 представлено расположение атомных слоев в направлении {111}. В этом случае отсутствует дипольный момент. В то же время при ориентации поверхности CaF>2>(100) дипольный момент в направлении {100} присутствует всегда (Рис.1.5). За счет энергии электрического поля возникает дополнительное увеличение E>s> на поверхности CaF>2>(100) [29]. Таким образом, при эпитаксии CaF>2>/Si(111) в отличие от CaF>2>/Si(100) становится выгодным не двумерно - слоевой, а трехмерный механизм роста.

Рис. 1.4 Структура атомных слоев CaF>2 >в направлении <100> [29].

Рис.1.5 Структура атомных слоев CaF>2> в направлении <111> [29].
1.2.4 Влияние отжигов на морфологию и структуру пленок CaF>2>
В [32] при анализе методом каналирования пленок CaF>2>, выращенных при различных температурах на Si(100) обнаружено, что качественные слои CaF>2>, (>мин> = 0.05) растут в очень узком интервале температур T>s> = 590-6100C Отклонение всего лишь на 250C от оптимальной T>s> резко увеличивало число дефектов. Вероятно, это следствие конкуренции процесса химического взаимодействия между CaF>2 >и поверхностью кремния при высоких температурах, и процесса островкового роста из-за недостаточной подвижности молекул при низких ростовых температурах [22]. В [32] исследовалось влияние высокотемпературного быстрого отжига в атмосфере аргона на морфологию, структуру и электрофизические свойства слоев CaF>2>. Пленки CaF>2 >толщиной 500 нм выращивались при скоростях роста 40-80 А/мин из графитового тигля. Температура роста варьировалась от 300 до 6250С. Отжиг ex situ проводился при температуре 11000С в течение 20-30 секунд в атмосфере аргона для предотвращения окисления и разрушения эпитаксиального слоя. На рис. 1.6(а) приведена зависимость параметра каналирования >мин> от ростовой температуры T>s> для не отожженных пленок CaF>2>/Si(100) (кривая 1) и пленок, отожженных в атмосфере аргона (кривая 2). Видно, что быстрый отжиг значительно улучшает качество пленок, снижая >мин> от 20-25% до 5-7%. В [33] наряду с быстрым отжигом ex situ (вне ростовой камеры) эксперименты по медленному отжигу пленок CaF>2 >проводились в ростовой камере (in situ). Температура роста составляла T>s> = 5850С, которая после выращивания пленки увеличивалась до необходимой температуры отжига, при которой структура выдерживалась в течение 60 минут. Оптимальная температура отжига T>s>, как это следует из рис. 1.6(б), составляет около 7000С.

Рис. 1.6 (а). Зависимость >мин> от Т>s> для структуры CaF>2>/Si(100). 1 - до отжига, 2 - после отжига ex situ [32].

Рис. 1.6 (б). Зависимость >мин> от Т>s> для структуры CaF>2>/Si(100) после отжига in situ [32].
При отжиге in situ пленки CaF>2 >становятся более совершенными. Возможность отжига позволяет снизить требования к точности установления температуры подложки Si в процессе эпитаксии.
Морфология поверхности пленок CaF>2 >исследовалась с помощью РЭМ. Неотожженная пленка CaF>2> имела грубую морфологию с поверхностными дефектами размером от 100 до 500 нм. После быстрого отжига ex situ пленки CaF>2 >становились более высокого качества по сравнению с пленками, отожженными in situ или неотожженными.
На поверхности пленок иногда видны линии, возникающие после быстрого отжига ex situ, которые появляются, по мнению авторов [33] за счет большого различия в коэффициентах термического расширения (КТP) фторида кальция и кремния, поскольку постоянная решетки Si при нагреве от комнатной температуры до 11000С изменяется на 0.4%, в то время как у CaF>2> на 2.7%.
Измерения C-V характеристик на структурах Al/CaF>2 >/Si(100) [33] показали, что оба вида отжига не влияют на величину плотности поверхностных состояний, которая равна N>ss >= 51011 см-2эВ-1 . Отжиг ex situ приводит к увеличению напряженности поля пробоя до Е>пр> = 210 6 Всм-1, в то время как отжиг in situ не приводит к увеличению Е>пр>, значение которого обычно равно Е>пр >=> >(2-5)105 В/ см.
Важной проблемой сегодня является установление механизма начальной стадии роста гетероэпитаксиальных структур CaF>2>/Si. В то время как при гетероэпитаксии полупроводниковых гетероструктур обычно наблюдается псевдоморфный рост полупроводниковой пленки, в случае гетероэпитаксии CaF>2 >на Si(111) механизм начальной стадии остается неясным/
РЕЗЮМЕ
На основании приведенных материалов можно сделать следующие выводы:
1. На Si(111) пленки CaF>2 >при оптимальных температурных режимах растут монокристаллическими в двойниковой позиции по отношению к подложке (эпитаксия В-типа) с хорошей гладкой поверхностью. Структурное совершенство пленок CaF>2 >сильно зависит от материалов тиглей и чистоты используемого шихтового фторида кальция.
2. При отклонении ростовых условий от оптимальных или увеличении рассогласования постоянных решеток подложки Si и пленоки CaF>2> в них возникают микродвойники - области, развернутые на 180о относительно матричной области пленки (А-типа). Наибольшая плотность дефектов наблюдается вблизи границы раздела CaF>2 >– Si для обеих ориентаций подложки.
Плёнки диэлектриков, выращиваемые для приборных структур, должны обладать такими параметрами как высокая электрическая прочность, хорошая морфология поверхности, а также, в ряде случаев, малая толщина для обеспечения туннельной прозрачности диэлектрика. Исходя из этого, ростовые процессы следует производить на подложках Si(111). Поскольку при данной ориентации подложки возможно выращивание монокристаллических плёнок CaF>2> , обладающих высоким структурным совершенством. При этом рост может осуществляться в более широком диапазоне температур по сравнению с ориентацией подложки (100).
2. экспериментальная часть
2.1 Методика проведения эксперимента
2.1.1 Установка МЛЭ "Катунь"
Выращивание гетероструктур GeSi/Si(001) и CaF>2>/Si производилось в установке молекулярно-лучевой эпитаксии "Катунь".
Автоматизированная многокамерная установка молекулярно-лучевой эпитаксии "Катунь" предназначена для получения многослойных эпитаксиальных пленочных структур в условиях сверхвысокого вакуума. Схема одной из трёх аналогичных камер установки показана на рисунке 2.1.
Модуль загрузки-выгрузки (МЗВ) предназначен для загрузки, выгрузки и транспортировки полупроводниковых подложек в сверхвысоковакуумную установку. В модуле так же производится первичное обезгаживание подложек. МЗВ состоит из вакуумной камеры, вакуумных насосов, двух манипуляторов с кассетами для подложек, натекателя и датчиков давления. Модуль позволяет одновременно загрузить 20 подложек диаметром до 100 мм.
Транспортный узел предназначен для перемещения рейки с подложками из МЗВ в камеру роста.
Модуль эпитаксии моноатомных полупроводников позволяет производить эпитаксиальный рост моноатомных полупроводников, тугоплавких металлов и осуществлять легирование в процессе роста. Модуль содержит в себе следующие устройства: вакуумная камера, система насосов, манипулятор с нагревателем, блок испарителей, датчик масс-спектрометра, криопанель, датчики давления, дифрактометр быстрых электронов, кварцевый измеритель толщины.
Вакуумная система нужна для создания необходимого рабочего давления в модулях и состоит из насосов форвакуумного, адсорбционного, сублимационного и магниторазрядного, обеспечивая предельное остаточное давление 1*10-8 Па.
Манипулятор с нагревателем предназначен для захвата подложки и ориентировки ее относительно молекулярных пучков и аналитических приборов, а также для нагрева и вращения подложки во время эпитаксии. Нагрев подложки осуществляется тепловым излучением нагревателя, который окружен системой многослойных экранов для уменьшения излучения на стенки камеры. Максимальная температура нагрева подложек 1200 °С.

Рис. 2.1 Схема установки МЛЭ "Катунь"
Люминесцентный экран.
Криопанель.
Нагреватель.
Манипулятор.
Транспортная рейка.
Шиберный затвор.
Шлюзовая камера.
Кассеты с подложками.
Система регистрации ДБЭ.
Кварцевый измеритель толщины.
Блок испарителей является одним из основных узлов технологических модулей и предназначен для получения молекулярных пучков. Блок включает в себя два электронно-лучевых испарителя (ЭЛИ) Si, две молекулярных ячейки Кнудсена и криопанель. ЭЛИ позволяет получать молекулярные потоки веществ, имеющих высокую температуру испарения или требующих испарения из автотиглей из-за большой химической активности. Ячейки Кнудсена создают молекулярный поток за счет нагрева тигля с испаряемым веществом. Конструкция ячеек позволяет получать температуры на тигле испарителя в диапазоне 0 – 1300 °С, с точностью поддержания температуры 0.5 °С.
Для контроля за процессом эпитаксии применяется кварцевый измеритель толщины (КИТ), монополярный масс-спектрометр и система дифракции быстрых электронов (ДБЭ). При помощи масс-спектрометра контролируется состав остаточных газов в ростовой камере, а также состав и интенсивность потоков кремния и легирующих примесей. Датчик КИТ используется для измерения скорости осаждения и толщины плёнки, посредством определения собственной частоты колебаний кварца, которая изменяется при напылении полупроводниковых материалов. Сам датчик смонтирован в водоохлаждаемом корпусе для термостабилизации. Контроль структуры поверхности подложки осуществляется при помощи визуального наблюдения дифракционной картины на люминесцентном экране системы ДБЭ или путём записи рефлексов на телевизионную компьютерную систему "ФОТОН-Микро".
2.1.2 Рентгеновская дифракция
Степень релаксации механических напряжений, возникающих в плёнке, оценивалась по кривым качания рентгеновской дифракции [13]. Суть метода состоит в измерении амплитуды рассеяния пучка рентгеновского излучения от определённых кристаллографических плоскостей образца. При этом на дифракционной картине наблюдаются два дифракционных максимума, один из которых соответствует подложке, а другой плёнке. Несовпадение положения дифракционных максимумов объясняется тем, что межплоскостные расстояния в плёнке и подложке различны. Кроме того, углы между плоскостями в биаксиально напряжённой плёнке и подложке так же различны. Они становятся равными по мере релаксации плёнки.
2.1.3 Атомно-силовая микроскопия
Этот метод позволяет получать информацию о рельефе поверхности образца с латеральным разрешением порядка 200 Å и разрешением по высоте около 1 Å. В связи с этим, для анализа морфологии поверхности плёнок фторида кальция использовалась атомно-силовая микроскопия (АСМ).
Этот же метод применялся для оценки малых значений степени пластической релаксации псевдоморфно напряжёных плёнок GeSi, поскольку метод рентгеновской дифракции в этом случае непригоден, т.к. даёт погрешность одного порядка со значением релаксации. Поэтому, оценка степени релаксации при малых её значениях ведётся путём наблюдения следов скольжения дислокаций в АСМ. Методику анализа поверхности методами АСМ можно посмотреть, например, в [14].
2.1.4 Эллипсометрия
Эллисометрия основана на оценке изменения состояния поляризации света, отраженного от подложки. Данный метод позволяет производить измерение толщины диэлектрических плёнок с точностью до долей монослоя. Поэтому толщины выращенных плёнок CaF>2> измерялись с помощью метода эллипсометрии.
2.1.5 I-V характеристики
Электрические характеристики диэлектрических плёнок оценивались по их I-V характеристикам. По сути метод представляет собой измерение ВАХ МДП конденсатора. Одной из обкладок которого является подложка, другой – электрод из золота, а выращенная плёнка CaF>2> – межэлектродным диэлектриком. Измеряя плотность тока, протекающего через диэлектрик при приложении к нему напряжения, можно вычислить удельное сопротивление выращенной плёнки. Кроме того, метод позволяет измерить напряжение пробоя диэлектрика, что является немаловажным параметром.
2.2 Выращивание плёнок GeSi
Для изучения зарождения и распространения дислокаций несоответствия в гетероструктурах GeSi/Si в установке молекулярной эпитаксии "Катунь" были выращены гетероструктуры с псевдоморфными напряжёнными плёнками твёрдого раствора GeSi c заданным составом, на подложке Si (001).
Для введения дислокаций несоответствия в плёнку GeSi образцы гетероструктур отжигались в атмосфере Ar и H>2> . Перед отжигом гетероструктуры были разрезаны на несколько частей, для каждой из которых анализировалась степень релаксации до и после отжига.
Состав слоёв и степень релаксации механических напряжений после отжига определялись из рентгеновских кривых качания, записанных для отражений (113) и (224), а так же вычислялась по результатам непосредственного наблюдения следов скольжения дислокаций в АСМ и по картинам просвечивающей электронной микроскопии.
2.2.1 Исследуемые образцы
Эпитаксиальные слои твёрдого раствора Ge>x>Si>1->>x> выращивались на подложках Si(001) в установке молекулярно лучевой эпитаксии "Катунь". Скорости роста составляли 0.01 – 0.3 нм/с для Si и 0.006-0.04 нм/с для Ge в зависимости от состава выращиваемой плёнки.
Для проведения эксперимента были выращены структуры E9 и F9. Рост эпитаксиальных структур серии Е9 начинался с выращивания 50 нм Si буферного слоя при температуре подложки (Т>п>) 700 °С. После этого, при Т>п> = 350 °С производился рост 50 нм низкотемпературного буферного слоя Si. Затем выращивалась плёнка Ge>x>Si>1->>x> с содержанием Ge = 0.32. После выращивания плёнка закрывались 5 нм слоем кремния.
Для гетероструктур серии F9 состав и порядок выращивания слоев аналогичен, отличие состоит в пониженном содержании Ge в слое Ge>x>Si>1->>x> – доля германия составляет 0.22, а так же в отсутствии прикрывающего слоя Si.
Основные параметры выращенных гетероструктур представлены в таблице 2.1
Таблица 2.1 Состав гетероструктур
|
№ образца |
HT буфер Т = 700°C |
LT буфер Т = 350 °C |
Ge>x>Si>1->>x> слой |
Содержание Ge в слое Ge>x>Si>1->>x> |
Cap-Si слой |
|
E9 |
500 Ǻ |
500 Ǻ |
2000 Ǻ 300 °C |
0.32 |
50 Ǻ |
|
F9 |
500 Ǻ |
500 Ǻ |
1000 Ǻ 350 °C |
0.22 |
нет |
После проведения роста для каждой из гетероструктур была измерена степень релаксации плёнки GeSi, эпитаксиально выращенной на ее поверхности. Степень релаксации измерялась по кривым качания рентгеновской дифракции (рис. 2.2, 2.3) и уточнялась путём наблюдения следов скольжения дислокаций в АСМ (рис. 2.4, 2.5).

Рис. 2.2 Кривые качания рентгеновской дифракции полученные для гетероструктуры Е9. Степень релаксации плёнки: 0%.

Рис. 2.3 Кривые качания рентгеновской дифракции полученные для гетероструктуры F9. Степень релаксации плёнки: 0%.

Рис. 2.4 фотография поверхности образца Е9 полученная с помощью АСМ

Рис. 2.5. фотография поверхности образца F9 полученная с помощью АСМ
На рисунках 2.2 и 2.3 приведены кривые качания рентгеновской дифракции полученные для гетероструктур Е9 и F9. Видно, что между главными пиками, образованными подложкой и пленкой, наблюдаются осцилляции промежуточных максимумов, что свидетельствует о высокой степени совершенства выращенной плёнки.
На рисунках 2.4 и 2.5 представлены фотографии поверхностей гетероструктур Е9 и F9, полученные с помощью АСМ до отжига. Поверхности гетероструктур достаточно гладкие: высота микрорельефа не превышает 15 Ǻ, структура поверхности имеет высокую степень совершенства, следов скольжения дислокаций не наблюдается, чужеродные частицы на поверхности отсутствуют.
По данным рентгеновской дифракции и АСМ для обоих гетероструктур получены нулевые значения релаксации, таким образом, можно говорить, что была выращена псевдоморфная плёнка GeSi.
2.2.2 Релаксация пленок
Отжиг образцов серии Е9 проводился при температуре 350 °С, одинаковой для всех образцов этой серии. Отжиг проводился в атмосфере Ar и H>2> , время отжига варьировалось от 10 мин. до 1,5 часов для разных образцов.
После отжига степень релаксации определялась по кривым качания рентгеновской дифракции. Поскольку для данного метода погрешность измерения релаксации составляет (< 1 %), то при малой степени релаксации для образцов Е9/1 и Е9/5 она уточнялась путём наблюдения следов скольжения дислокаций в АСМ.
Основные параметры отжига образцов серии Е9 сведены в таблицу 2.2
Таблица 2.2 Параметры отжига образцов серии Е9
|
Образец |
E9/1 |
E9/2 |
E9/3 |
E9/4 |
E9/5 |
E9/6 |
|
Температура Отжига, °С |
350 |
|||||
|
Атмосфера отжига |
Ar |
Ar |
Ar |
Ar |
Ar |
H>2> |
|
Время отжига, мин |
10 |
30 |
20 |
90 |
10 |
30 |
|
Степень Релаксации *, % |
1 |
9 |
3 |
12 |
1 |
2 |
* – по данным рентгеновской дифракции
Видно, что степень релаксации механических напряжений с увеличением времени отжига увеличивается, однако для образца Е9/6, отожженного в водороде полученное значение релаксации в 4,5 раза ниже, чем для образца Е9/2 отожжённого в аргоне такое же время. На рисунке 2.6 представлен график зависимость степени релаксации от времени отжига.

Рис. 2.6 Зависимость степени релаксации от времени отжига. Т=350 °С
Более очевидно влияние поверхности проявляется на электронно-микроскопических снимках образца E9/1, отожжённого 10 мин в Ar. Отчётливо видны дислокации несоответствия, оканчивающиеся выходящими на поверхность сегментами – пронизывающими дислокациями (рис. 2.7). Обращает на себя внимание тот факт, что значительная часть дислокационных групп имеет форму креста. Можно считать, что в этих случаях на пересечении взаимно-перпендикулярных дислокаций находится дислокационный источник. На картине ПЭМ видно, что, как правило, изображения отрезков дислокаций многкратно накладываются друг на друга так, что видны только выходящие на поверхность сегменты. Следовательно, дислокационные источники, испускали дислокационные петли многократно, одну за другой. На фрагменте гетероэпитаксиальной плёнки, представленной на рис. 2.7, на каждый источник приходится в среднем, 4 дислокации несоответствия, каждая из которых ограничена 2 пронизывающими дислокациями. После отжига 10 минут плотность пронизывающих дислокаций в плёнках GeSi составляла 1.1*108 см-2, а степень пластической релаксации этого образца – 1%. Увеличение длительности отжига до 30 и 90 минут приводит к образованию сплошной дислокационной сетки, что не позволяет выявить места генерации ДН.
Как видно из таблицы 2, при увеличении длительности отжига от 10 до 90 минут степень релаксации плёнки, а следовательно, и плотность пронизывающих дислокаций возрастает примерно на порядок величины, что свидетельствует о продолжающемся действии уже существующих центров зарождения, и/или о появлении новых источников во время отжига.
На рисунке 2.9 представлен увеличенный фрагмент электронно-микроскопического изображения поверхности образца Е9/1. Стрелками А и В отмечены два участка поверхности, содержащие источники дислокационных полупетель. На участке А отчётливо видно (см. также схему к рисунку 2.9), что дислокационная полупетля малого размера находится на линии, соединяющей выходящие на поверхность плёнки концы пронизывающих сегментов большой дислокационной полупетли. Следовательно, можно считать, что обе дислокационных полупетли были образованы одним дислокационным источником. Этот позволяет предположить, что зарождение дислокационных полупетель происходит на поверхности плёнки. В этом случае только одна полупетля достигла границы раздела, образовав одну дислокацию несоответствия.
Во втором случае (источник В) наблюдается четыре дислокации несоответствия, распространяющиеся за счёт скольжения пронизывающих сегментов, обозначенных буквами a – d. Расположение их в одинаковой плоскости скольжения и один и тот же наклон в направлении скольжения (один из двух возможных в этом случае наклонов) свидетельствуют о том, что эти дислокационные сегменты, по-видимому, имеют одинаковый вектор Бюргерса, а дислокационный источник является многоразовым.
Еще более четко поверхностное зарождение дислокационных петель видно на Рис.2.8, где представлено ПЭМ изображение поперечного среза образца Е9/1 в плоскости (110). Анализ поперечных срезов позволил установить, что источники ДН локализованы в приповерхностной области эпитаксиальной плёнки. На рис. 2.8 кроме изображения двух фрагментов поперечного среза гетеросистемы GeSi /Si представлены соответствующие им схемы конфигураций дислокационных линий. На этих изображениях отчётливо видны дислокационные полупетли, распространяющиеся с поверхности вглубь плёнки, а также полупетли, уже достигшие границы раздела и сформировавшие отрезки дислокаций несоответствия. На основании полученных результатов можно предполагать, что активную роль в зарождении дислокаций несоответствия в гетероструктурах играет поверхность.
С этой точки зрения понятна малая релаксация образца E9/6. Известно, что водород, в отличие от аргона, не является инертным газом. Поэтому, при отжиге в атмосфере водорода ковалентные связи молекул вещества, находящегося в приповерхностной фазе, насыщаются, тем самым снижается поверхностная энергия гетероструктуры. В связи с этим можно предположить, что зарождению дислокаций с поверхности каким-то образом препятствует измененное водородом состояние поверхности.
Для того чтобы проверить предположение о влиянии поверхности был проведен ряд дополнительных экспериментов с образцами серии F9. Идея эксперимента была следующей: если уменьшить движущие силы, приводящие к введению дислокаций, то влияние поверхности образца на этот процесс станет более явным. Основной движущей силой для введения дислокаций являются механические напряжения несоответствия, которые определяются составом пленки GeSi. Для того чтобы уменьшить величину механических напряжений необходимо уменьшить содержание германия в пленках. Состав образцов серии F9 удовлетворяет этому условию, поскольку содержание германия в плёнке GeSi для этих образцов составляет 0,22 (для образцов серии Е9 - 0,32).

Рис. 2.7 ЭМ снимки поверхности образца Е9/1 после 10 мин отжига Т=350 °С

Для серии F9 постоянным для всех образцов было время отжига – 10 мин. Отжиг проводился в атмосфере Ar и H>2> , температура отжига варьировалось от 500 °С до 700 °С для разных образцов.
После отжига степень релаксации определялась по результатам наблюдения следов скольжения дислокаций в АСМ.
Основные параметры отжига образцов серии F9 сведены в таблицу 2.3
Таблица 2.3 Параметры отжига образцов серии F9
|
Образец |
F9/1 |
F9/2 |
F9/3 |
F9/4 |
|
Температура Отжига, °С |
500 |
600 |
600 |
700 |
|
Атмосфера отжига |
H>2> |
H>2> |
Ar |
H>2> |
|
Время отжига, мин |
10 |
|||
|
Степень Релаксации* , % |
0 |
0 |
0,2 |
0,02 |
* – по данным АСМ.
Как видно из таблицы, при отжиге образцов в атмосфере водорода релаксации не наблюдалось вплоть до температур 600 °С. Только по достижении 700 °С плёнка GeSi начала релаксировать. Однако и в этих условиях наблюдаемая величина релаксации незначительна и составляет порядка сотых процента. Отжиг в атмосфере Ar при 600 °С даёт величину релаксации плёнки на порядок большую, по сравнению с отжигом в водороде при 700 °С. Тот факт, что отжиг в водороде вплоть до температуры 600 °С не приводит к релаксации образцов серии F9 позволяет сделать вывод, что в данных условиях дислокации вводятся только с поверхности.
Ниже представлены снимки поверхности образцов F9/3 и F9/4, полученные с помощью АСМ. Видны следы скольжения дислокаций, неодинаковая толщина линий, обусловлена разной высотой ступеней, образованных продвижением дислокаций, что свидетельствует об их многократном прохождении вдоль линий скольжения.

Рис. 2.10 Снимки поверхности образца F9/3 после отжига в Ar 10мин. Т = 600 ° С

Рис. 2.11 Снимки поверхности образца F9/4 после отжига в Н>2> 10мин. Т = 700 ° С
2.2.3 Анализ и обсуждение результатов
Поскольку предварительный анализ результатов был проведён в экспериментальной части, то здесь ограничимся их кратким обзором и перейдём к выводам. Для исследования процессов зарождения и распространения дислокаций в твёрдых растворах GeSi, на поверхности подложки монокристаллического кремния (001) методами МЛЭ была выращена псевдоморфная плёнка GeSi. Вследствие низкой температуры роста (300 °С) удалось получить плёнки с толщинами на порядок большими критических для данного состава. Далее, при последующем низкотемпературном отжиге (350 °С) удалось зафиксировать начальную стадию пластической релаксации плёнки GeSi. При анализе результатов отжига образцов серии Е9 была обнаружена существенная разница в степени релаксации образцов, отожженных в разных атмосферах. Отжиг в атмосфере водорода приводит к существенному снижению темпов релаксации. В связи с этим было выдвинуто предположение о том, что в зарождении дислокаций значительную если не ведущую роль играет поверхность. Это предположение было подтверждено при исследовании поперечных срезов образца Е9/1, полученных с помощью ПЭМ. На снимках отчётливо видно, что зарождение дислокационных петель происходит с поверхности. Так что, судя по всему, на поверхности действуют источники ДН, причём эти источники являются многоразовыми, т. к. испускание дислокационных полупетель источниками происходило многократно. Меньшая степень релаксации при отжиге в атмосфере водорода объясняется тем, что водород, насыщая ковалентные связи, уменьшает поверхностную энергию вещества, блокируя тем самым поверхностную диффузию, что мешает образованию на поверхности атомных структур, которые могли бы являться концентраторами напряжений, приводящими к зарождению дислокационных полупетель с поверхности. К сожалению, для анализа места генерации ДН подходил только один образец серии Е9, отжиг которого проводился в течение 10 минут, т. к. увеличение длительности отжига до 30 и 90 минут приводило к образованию сплошной дислокационной сетки, что не позволило выявить места генерации ДН. Для того чтобы более чётко зафиксировать роль поверхности в зарождении дислокаций несоответствия, был проведен ряд дополнительных экспериментов с образцами серии F9, которые отличались пониженным содержанием германия в плёнке и меньшей толщиной самой плёнки. Отжиг образцов этой серии дал картину еще большей зависимости релаксации от атмосферы отжига: в атмосфере водорода плёнка GeSi начала релаксировать только по достижении 700 °С, в то время как отжиг в аргоне даёт величину релаксации плёнки на порядок большую при 600 °С. Это явилось дополнительным подтверждением предположения о влиянии поверхности на зарождение дислокаций несоответствия.
2.3 Выращивание гетероструктур CaF>2>/Si
2.3.1 Исследуемые образцы
Эпитаксиальные плёнки CaF>2> выращивались на подложках Si(111) в установке молекулярно лучевой эпитаксии "Катунь". Скорости роста составляли 0.041 – 0.091 нм/с, температуры роста 550-750 °С, в зависимости от образца. После проведения роста методами эллипсометрии были измерены толщины выращенных плёнок. После отбраковки по признакам: наличие карбида на поверхности подложки после очистки, невозможность измерения толщины пленки вследствие сильной деформации образца, и т.д., для изучения были отобраны образцы №№ 76, 77 и 253. Основные параметры этих гетероструктур представлены в таблице 2.4
Таблица 2.4 Строение гетероструктур CaF>2>/Si
|
№ образца |
Толщина плёнки CaF>2>, нм |
Ориентация подложки |
Температура роста, °С |
Скорость роста, нм/с |
|
76 |
55 |
(111) |
750 |
0,091 |
|
77 |
33 |
(111) |
750 |
0,091 |
|
253 |
29 |
(111) |
550 |
0,041 |
2.3.2 Морфология поверхности гетероструктур
Морфология поверхности гетероструктур исследовалась с помощью АСМ На рис. 2.12, 2.13 приведены снимки поверхности образцов 76 и 77 соответственно.

Рис. 2.12 фотография поверхности образца 76 (толщина плёнки CaF>2> 550Å) полученная с помощью АСМ

Рис. 2.13. фотография поверхности образца 77 (толщина плёнки CaF>2> 330Å) полученная с помощью АСМ
Поверхности гетероструктур достаточно гладкие: высота микрорельефа не превышает 12 Ǻ, что говорит о двумерно-слоевом механизме роста плёнки. Инородные включения и проколы диаметром 20 нм и более – отсутствуют. Однако, учитывая, что на аналогичной пленке измерены I-V характеристики, и они показали малые токи утечки, можно предположить, что это не сквозные проколы. На образце с меньшей толщиной заметны ступени роста, образующие невысокие (h < 5 нм) холмики роста. Кроме того, на поверхности плёнки отчётливо видны следы скольжения дислокаций.
Картины линий скольжения отличаются от таковых для слабо релаксированной системы GeSi/Si(001) только наличием оси симметрии третьего порядка. Это связано с использованием подложек Si, имеющих ориентацию поверхности, параллельно плоскости (111). Следовательно, можно утверждать, что релаксация механических напряжений несоответствия в данных гетероструктурах происходит таким-же путем, как и в гетероструктурах GeSi/Si, то есть за счет скольжения дислокаций. Так же как и в гетероструктурах GeSi/Si, степень релаксации возрастает с ростом толщины пленки. Это заметно по большей плотности линий скольжения на образце №76 (h=55 нм), по сравнению с образцом №77 (h=33нм).
Необходимо обратить внимание, что типичная длина следов скольжения превышает латеральный размер холмиков роста, являвшихся, по-видимому, центрами зарождения пленки на начальной стадии. Это означает, что скольжение дислокаций началось уже после образования сплошной пленки. То есть, как и система GeSi/Si(001), гетеросистема CaF>2>/Si(111) имеет стадию псевдоморфного роста.
2.3.3 Электрические характеристики плёнок
Основными критериями пригодности диэлектрических пленок для создания приборных структур являются электрическое сопротивление и напряженность электрического поля, при которой наступает пробой.
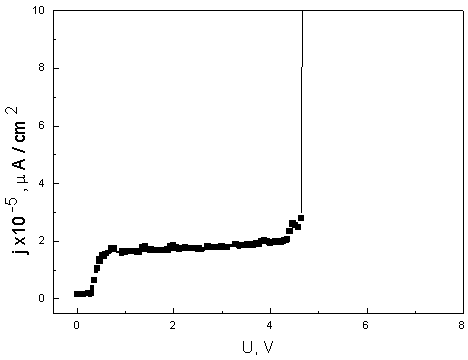
Для образца 253 с помощью I-V метода были измерены электрические характеристики плёнки CaF>2>. На рис 2.15 ВАХ МДП конденсаторов Si/CaF2/Al, сформированных на образце №253.

Рис. 2.14 ВАХ МДП конденсатора Si/CaF>2>/Al
|
Образец |
Толщина плёнки CaF>2>, нм |
Удельное сопротивление, Ωּcm |
Пробивное напряжение, В/см |
|
253 |
29 |
1011 |
1,5ּ106 |
По приведённой характеристике были рассчитаны значения удельного сопротивления плёнки CaF>2>. (ρ) и критическая напряжённость электрического поля, при котором происходит пробой диэлектрика (Е>пр>). Рассчитанное удельное сопротивление оказалось равным ρ ≈1011 Ωcm. Полученное значение примерно на порядок величины превосходит таковое для образцов с низкой температурой (850 °С) очистки поверхности перед ростом, измерявшихся в работе [34]. Температура предростовой очистки образца 253 составляла 1280 °С. Применение столь высокой температуры очистки позволяет удалить с поверхности подложки карбид кремния. Возможно предположить, что именно это является причиной высокого удельного сопротивления диэлектрической плёнки.
Е>пр>=1,5ּ106 В/см, что сравнимо с лучшими показателями для плёнок выращенных на подложкахах Si(100), имеющими лучшие электрические характеристики по сравнению с плёнками выращенными на слоях с ориентацией (111) (см. литобзор).
Необходимо отметить, что в наших экспериментах после роста образец не подвергался отжигу. По имеющимся литературным данным [33], при использовании отжига электрические характеристики плёнок значительно улучшаются (как правило на порядок величины для ρ и Е>пр>). Таким образом, можно говорить о том, что выращенные плёнки могут использоваться для приборных структур, поскольку имеют хорошую морфологию поверхности: малую шероховатость и отсутствие проколов в плёнке. Кроме того они обладают хорошими электрическими характеристиками, сравнимыми с характеристиками плёнок выращиваемых на слоях с ориентацией (100).
Выводы: Выращены образцы гетероструктур с пленками CaF>2> на подложках Si(111), обладающие хорошими стркутрными и диэлектрическими параметрами. Установлено, что релаксация механических напряжений несоответствия в пленках протекает за счет скольжения дислокаций. Получены данные, косвенно подтверждающие наличие псевдоморфной стадии роста пленок. Показано, что повышение температуры очистки поверхности кремния перед выращиванием пленок CaF>2> улучшает диэлектрические характеристики пленок.
3. ОХРАНА ТРУДА И ТЕХНИКА БЕЗОПАСНОСТИ
3.1 Общие положення
Ответственность за организацию и проведение работ по охране труда и технике безопасности (ТБ) возлагается на заведующего лабораторией. Контроль за выполнением правил по ТБ и охране труда в лаборатории осуществляется инженером по ТБ и общественным инспектором по охране труда и ТБ профсоюзной группы лаборатории.
Сотрудники лаборатории, виновные в нарушении правил по ТБ или не принявшие меры к их выполнению, привлекаются к административной или уголовной ответственности согласно действующему законодательству.
Инструкции по ТБ для всех видов работ в лаборатории должны основываться на действующих правилах и отражать условия и меры безопасного выполнения работающим возложенных на него обязанностей. Инструкции должны быть согласованы с инженером по ТБ и утверждены заместителем директора по научной части. Инструкции, связанные с выполнением работ повышенной опасности, согласовываются с Отделом охраны труда.
3.2 Лица, ответственные за безопасность работы
Ответственными за безопасное производство работ в лаборатории являются: ответственные руководители работ, производители работ, члены бригады.
Ответственные руководители работ отвечают за:
1) Необходимость и безопасность работ.
2) Достаточность предусматриваемой меры безопасности.
3) Достаточность квалификации лиц, которым поручается работа.
4) Обеспечение надзора и контроля при работах.
Производителями работ являются младшие научные сотрудники, инженеры, стажеры-исследователи и лаборанты.
Производители работ отвечают за:
1) Выполнение порученной работы.
2) Соблюдение мер безопасности, предусмотренных ответственным руководителем работ и выполнение требований инструкции по ТБ.
Для выполнения работ временного характера (ремонт оборудования, переноска и установка оборудования, и прочие работы) заведующий лабораторией формирует из сотрудников лаборатории бригаду и назначает ответственного руководителя работ (бригадира). Члены бригады отвечают за:
1) Выполнение порученной им работы и указаний ответственного руководителя работ.
2) Соблюдение им лично мер безопасности, предусматриваемых правилами по ТБ.
3.3 Требования к рабочим, обучение и проверка знаний
Персонал лаборатории должен быть технически здоровым и не иметь болезней и увечий, препятствующих выполнению работ. Сотрудники лаборатории при приеме на работу обязаны пройти медицинский осмотр и проходить повторные осмотры в установленные сроки.
При выполнении работ в лаборатории сотрудники обязаны выполнять только разрешенные им виды работ. Сорудники, непосредственно занятые на выполнении работ с электро-техническим оборудованием или осуществляющие руководство и организацию работ, обязаны изучить "Правила технической эксплуатации и безопасности обслуживания электроустановок промышленных предприятий" в соответствующих частях, настоящие правила и инструкции по ТБ в лаборатории.
Студенты-практиканты, сотрудники других лабораторий института, работники других предприятий, проходящие обучение и стажировку, допускаются к работе на экспериментальных установках и лабораторном оборудовании только под руководством и безотлучным наблюдением сотрудника лаборатории, к которому прикреплен обучающийся распоряжением заведующего лаборатории или письменным распоряжением дирекции института. Обучающий работе на экспериментальной установке должен иметь квалификационную группу не ниже четвертой.
Периодическая проверка знаний правил электробезопасности и ТБ у сотрудников лаборатории проводится квалификационной комиссией Института в установленные сроки 1 раз в год с выдачей удостоверения на право допуска к работе. Внеочередная проверка знаний проводится при всех случаях нарушения правил ТБ.
3.4 Требования к размещению экспериментальных установок и лабораторного оборудования, ввод его в эксплуатацию
Все экспериментальные установки и лабораторное оборудование размещаются на производственных площадях по планировкам, согласованным с главным энергетиком, инженером по ТБ и утвержденным заместителем директора по научной части. В планировках должны быть указаны в масштабе: габариты установок и лабораторного оборудования, рабочие проходы, места размещения переносных измерительных приборов, рабочие места для работников, осуществляющих управление, техническое обслуживание и наладку переносных установок и оборудования.
При размещении установок и лабораторного оборудования на производственных площадях лаборатории необходимо руководствоваться "Строительными нормами и правилами проектирования", "Санитарными нормами", "Противопожарными нормами".
Для работников, осуществляющих управление установками и оборудованием, техническое обслуживание и наладку, должны быть предусмотрены рабочие места следующих размеров:
1) С лицевой стороны, где производится работа на установке и управление оборудованием-не менее 1 м при отсутствии общего прохода и открывающихся дверей (снимающихся ограждений); не менее 1.5 м при наличии общего прохода; не менее 2 м при наличии общего прохода и открывающихся дверей (снимающихся ограждений). Расстояние следует отсчитывать от максимально выступающей точки установки, оборудования и до следующего ряда оборудования или стены.
2) С задней и боковой части оборудования, установки, где осуществляется техническое обслуживание и наладка, при отсутствии общего прохода-не менее 0.6м, при наличии общего прохода-не менее 1 м.
Энергетические подводки к установке и оборудованию должны проводиться на высоте не ниже 2м или в полу с учетом требований правил по ТБ.
Установки и нестандартное оборудование, вводимые в эксплуатацию, должны быть укомплектованы следующей документацией: функциональными блок-схемами и схемами электропитания с техническим описанием и инструкцией по эксплуатации, инструкцией по ТБ при работе на установке (оборудовании), протоколами проверки защитного заземления, протоколами проверки сопротивления изоляции установки.
Ввод в эксплуатацию установок и нестандартного оборудования осуществляется комиссией в составе: заведующий лабораторией (председатель), представитель Отдела главной энергетики, инженер по ТБ.
При удовлетворительных результатах осмотра и проверки состояния оборудования, а также защитных устройств, защитных средств и экранировки комиссия составляет акт на ввод установки (оборудования) в эксплуатацию.
заключение
По результатам проведённых ростовых процессов на подложках Si (001) последующего измерения и анализа параметров образцов до и после отжига можно сделать следующие выводы:
Методами низкотемпературной эпитаксии (при температурах роста 250-300 ºС) возможно получение псевдоморфных напряжённых плёнок твёрдых растворов Ge>x>Si>1->>x> с х до 0,33 с толщинами, на порядок превышающими критические при данном несоответствии в постоянных решёток (1,2 %) для материалов гетеросистемы.
Зафиксирована начальная стадия пластической релаксации плёнки GeSi, с содержанием Ge 0,32, где видно действие источников дислокаций несоответствия. Зафиксирован процесс распространения дислокационных полупетель с поверхности вглубь плёнки, а также полупетли, уже достигшие границы раздела и сформировавшие отрезки дислокаций несоответствия.
В зарождении дислокаций несоответствия ключевую роль играет поверхность, поскольку источники ДН локализованы в приповерхностной области эпитаксиальной плёнки.
Возможна частичная блокировка источников ДН, например при отжиге гетероструктур в атмосфере водорода. Предположительно это связывается с поверхностной миграцией атомов. Снижение плотности источников ДН позволяет выращивать плёнки с низкой плотностью (<10-6 см-2) прорастающих дислокаций.
По результатам измерения и анализа параметров гетероструктур CaF>2>/Si(111) можно сделать следующие выводы:
На подложках Si(111) методами молекулярно-лучевой эпитаксии возможно получение плёнок CaF>2> с параметрами делающими возможным их применение в приборных структурах.
Установлено, что гетеросистемы CaF>2>/Si(111) и GeSi/Si(001) имеют сходный механизм релаксации напряжений, то есть релаксация происходит путём скольжения дислокаций.
Наличие косвенных признаков указывают на то, что гетеросистема CaF2/Si(111) имеет стадию псевдоморфного роста.
Применение высокой (1280 °С) температуры предростовой очистки позволяет добиться существенного улучшения электрических характеристик диэлектрических плёнок.
СПИСОК ЛИТЕРАТУРЫ
Ahlgren D. C., Jagannathan B - Solid state technology 43 53 (2000)
Konig V., Gluck V., Hock G. J., - Vacuum sciense technology 16 2609 (1998)
Frank F. C., Van der Merve J. H. Proc. Roy. - Soc. London Ser.198 205 (1949)
Matthews J. W., Blakeslee A. E. - Crystal growth 27 118 (1974)
Kvam E. P., Maher D. M., Humpheys C. J. - Material res. 5 1900 (1990)
Fitzgerald E. A. - Mater. science 7 87 (1991)
Gillard V. T., Nix W. D., Freud L. B. - App. Physicsl 76 7280 (1994)
Alexander H., Haasen P. - Solid stsate Phys. 22 27 (1968)
Matthews J. W., Blakeslee A. E., Mader S. - Thin solid films 33 253 (1976)
Eaglesham D. J. - Phil. Mag 59 1059 (1989)
Hull R., Ben J. C. - Vac. Sci. Technol. 7 2580 (1989)
Houghton D. C. - Appl. Phys. 70 2136 (1991)
Г. Шиммель - Методика электронной микроскопии М. "Мир" (1972) 300 с.
Д. Вудраф, Т. Делчар - Современные методы исследования поверхности М. "Мир" (1989) 568 с.
Fathauer R.W. Lewis N., hall E.L., Scowalter L.J. - Electron microscopy of epitaxial Si/CaF2/Si structures. – J. of Vacuum Science and Technology B, - 1985, v. 3, No2, p. 738-739.
Fathauer R.W. et.al. - Heteroepitaxy of semicondactor - on - insulator structures: Si and Ge on CaF2/Si(111).- J. of Applied Physics, - 1986, v.60, No 11, p. 3886-3894.
Ishiwara H. T., - J. of Applied Physics, - 1984, v. 55, No 11, p.3556-3561.
Sasaci M. et. al.- Electron difraction observation of epitaxial silicon growth on CaF2/Si(100). - Applied Physics Letters, - 1985, v. 46, No 11, p.1156-1158.
Ponce F.A. - Anderson G.B., O`Keefe M.A., Showalter L.J. - Summary Ab-stract: High resolution electron microscopy of CaF2/silicon interfacees. - J. Vac. Sci. Technol. B, - 1986, v.4, No 4, p.1121-1122.
Tromp R.M., LeGoues F.K., Krakow W. - Structural characterization of the CaF2/Si(111) interface by high - resolution transmission electron microscopy. - Phis. Rev. Lett., - 1988, v.61, No 19, p. 2274.
Heral H., Bernard l., Rocher A., Fontane C., Munoz-Yague A. - High-resolushion electron microscopy study of (Ca,Sr)F2/GaAs grown by molecular-beam epitaxy. - J. Appl. Phys., - 1987, v. 61, No 6, p.2410-2411.
Farrow R.F.C., Sullivan P.W., Williams G.M., Jones G.R., Camerun D.C. - MBE grown fluoride films: a new class of epitaxial dielectrics . - J. Vac. Sci. Tech-nol., - 1981, v. 19, No 3, p. 415 - 420.
Phillips J.M., et. al. - Epitaxial growth of alcaline earth fluorides on semi-conductors. - Thin Solid Films, - 1983, v.107, No p, p.217-226.
Asano T., et. al. Heteroepitaxial growth of group II fluoride films on silicon sub>strates. - J. Appl. Phys., - 1983, v. 22, No 10, p. 1474 - 1481.
Scowalter L.J., Fathauer R., Goehner R.P., Turner L.B., DeBlois R.W., Hashimoto S., Peng J.L., Gibson J.M., Krusius J.P. - Epitaxial growth and characteriza-tion CaF2/Si. - J. Appl. Phis., 1985, v.58, No 1, p. 302 - 308.
Sullivan P.W., Cox T.I. Farrow R.F.C., Jones G.R., Gasson D.B., Smith.S.S. - Summary Abstract: Growth of single crystal and polycrystalline insulating fluoride films on semiconductors by MBE. - J. Vac. Sci. Technol., - 1982, v. 20, No 2, p. 731 - 732.
Phillips J.M., Gibson J.M. - The growth and characterisation of epitaxial fluoride films on semiconductors.- Mat. Res. Soc. Simp. Proc.,-1984, v. 25, p. 381.
Hirashita N., Onoda H., Hagiwara S. - Electron diffraction observation of epitaxial silicon grown on CaF2/Si(100).- Appl. Phis. Lett., - 1985, v.46, No 11, p. 1056 - 1058.
Fathauer R., Scowalter L.J.- Surface morfology of epitaxial films on Si sub>strates. - Appl. Phis. Lett., - 1984, v. 45, No 5, p. 519 - 521.
Gillman J.J. - Direct measurment of the serface energies of crystal. - J. of Appl. Phys., -1960, v. 31, No 12, p.2208-2218.
Benson G.C., Glaxton T.A. - Calculation of the serface energy of (110) face of some crystal pocessing the fluorite structure. – Canad. J. of Physics, - 1963, v. 41, No 8, p. 1287-1293.
Preffer J., Phillips J.M., Smith T.P., Augustuniak W.M., West K.W. - Use of rapid anneal to improve CaF2/Si(100). epitaxy. - Appl. Phis. Lett., 1985, v. 46, No 10, p. 947-949.
Величко А. А., Илюшин В. А., Антонова И. В., Филимонова Н. И. - влияние режимов молекулярно-лучевой эпитаксии структур CaF2/BaF2/Si(100) на морфологию поверхности и электрофизические параметры.
Соколов Л. В., Дерябин А. С., Якимов А. И., Пчеляков О. П., Двуреченский А. В. – Самоформирование квантовых точек Ge в гетероэпитаксиальной системе CaF2/Ge/CaF2/Si и создание туннельно-резонансного диода на её основе. – ФТТ, 2004 т. 46, стр. 91-92.
Приложение 1. копии демонстрационных материалов
Выращивание плёнок GeSi и CaF>2> на кремниевых подложках для приборных структур.
Руководитель: в. н. с., к.ф.-м.н. ИФП СО РАН Соколов Л. В.
Кафедра: ППиМЭ
Цель работы:
На подложках Si(001) вырастить плёнки твёрдого раствора GeSi с содержанием германия не более 30 % и посредством отжигов в различных атмосферах зафиксировать начальную стадию пластической релаксации плёнки GeSi.
Изучить возможности блокировки источников дислокаций несоответствия с целью получения в дальнейшем подложек пригодных для изготовления приборных структур.
На подложках Si(111) вырастить плёнки CaF>2>, обладающих высоким структурным совершенством и электрическими параметрами, делающими возможным применение таких плёнок для изготовления приборных структур.
Результаты и выводы:
Зафиксирована начальная стадия пластической релаксации плёнки GeSi.
Подтверждено предположение о локализации источников генерации дислокаций несоответствия на поверхности плёнки.
Исследована возможность блокировки источников дислокаций посредством отжига в атмосфере водорода.
Методами молекулярно-лучевой эпитаксии на подложках Si(111) выращены слои диэлектрика CaF>2> с электрическими свойствами, позволяющими использовать их для приборных структур.
Таблица 1 Состав гетероструктур Ge>x>Si>1->>x>/Si(001)
|
№ образца |
HT буфер Т = 700°C |
LT буфер Т = 350 °C |
Ge>x>Si>1->>x> слой |
Содержание Ge в слое Ge>x>Si>1->>x> |
Cap-Si слой |
|
E9 |
500 Ǻ |
500 Ǻ |
2000 Ǻ 300 °C |
0.32 |
50 Ǻ |
|
F9 |
500 Ǻ |
500 Ǻ |
1000 Ǻ 350 °C |
0.22 |
нет |

Рис. 1 Фотография поверхности образца Е9 до отжига полученная с помощью АСМ
Таблица 2 Основные параметры отжига образцов серии Е9 (температура отжига 350 °С)
|
Образец |
E9/1 |
E9/2 |
E9/3 |
E9/4 |
E9/5 |
E9/6 |
|
Атмосфера отжига |
Ar |
H>2> |
||||
|
Время отжига, мин |
10 |
30 |
20 |
90 |
10 |
30 |
|
Степень Релаксации* % |
1 |
9 |
3 |
12 |
1 |
2 |
* - по данным рентеновской дифракции
Таблица 3 Основные параметры отжига образцов серии F9 (время отжига 10 мин)
|
Образец |
F9/1 |
F9/2 |
F9/3 |
F9/4 |
|
Температура Отжига, °С |
500 |
600 |
600 |
700 |
|
Атмосфера отжига |
H>2> |
H>2> |
Ar |
H>2> |
|
Степень Релаксации, % |
0 |
0 |
0.2 |
0.02 |
*- по данным АСМ

Рис. 2 ЭМ снимки поверхности образца Е9/1 после 10 мин отжига Т = 350 ° С


Рис. 6 Снимки поверхности образца F9/4 после отжига в Н>2> 10мин. Т = 700 ° С

Рис. 7 Фотография поверхности образца 76 (толщина плёнки CaF>2> 550Å) полученная с помощью АСМ.

Рис. 8 фотография поверхности образца 77 (толщина плёнки CaF>2> 330Å) полученная с помощью АСМ.
Таблица 4 Состав гетероструктур CaF>2>/Si(111)
|
№ образца |
Толщина плёнки CaF>2>, Å |
Ориентация подложки |
Температура роста, °С |
Послеростовой отжиг |
Скрорсть роста, нм/с |
|
76 |
550 |
(111) |
750 |
нет |
0,091 |
|
77 |
330 |
(111) |
750 |
нет |
0,091 |
|
253 |
290 |
(111) |
550 |
нет |
0,041 |

Рис. 9 ВАХ МДП конденсаторов Si/CaF>2>/Al
|
Образец |
Толщина плёнки CaF>2>, Å |
Удельное сопротивление, Ωּcm |
Пробивное напряжение, В/см |
|
253 |
290 |
1011 |
1,5ּ106 |