Анализ ассортимента и товароведная характеристика пюреобразных плодоовощных консервов для детского питания
Министерство сельского хозяйства РФ
ФГОУ ВПО Рязанский государственный агротехнологический
университет имени П.А. Костычева
Технологический факультет
Кафедра товароведения и экспертизы товаров
Курсовая работа
по дисциплине «Товароведение и экспертиза товаров»
Тема: «Анализ ассортимента и товароведная характеристика пюреобразных плодоовощных консервов для детского питания»
Выполнил студент
Родионова Ю.А.
Содержание
Введение
1. Теоретическая часть
1.1 Классификация и ассортимент данного вида консервов
1.2 Потребительские свойства, химический состав и показатели качества консервов
1.3 Основные этапы производства данного вида консервов
1.3.1 Требования к сырью при производстве консервов
1.4 Характеристика потребительской тары, маркировки, и хранения плодоовощных консервов
1.5 Возможные причины порчи консервов
2. Практическая часть
2.1 Цель работы, объекты и методы исследования
2.2 Правила приемки и отбора проб для анализа качества консервов
2.3 Оценка органолептических показателей продукта
2.3.1 Результаты сенсорного анализа
2.4 Анализ физико-химических показателей качества
Выводы
Список использованной температуры
Приложения, стандарты на продукцию
Введение
Продукты детского питания предназначены для удовлетворения потребностей детского организма в питании на разных этапах его развития. Поскольку пища играет важную роль в жизни человека, является пластическим материалом для построения основных тканей и костей растущего организма, а также источником энергии, необходимой для восполнения всех энергетических затрат в процессе жизнедеятельности, то роль этой группы продуктов для детского организма чрезвычайно велика. Плоды и овощи являются источником углеводов, минеральных солей и витаминов, особенно витамина С. Большое значение в питании имеют различные вкусовые и ароматические вещества, содержащиеся в плодах и овощах. Они значительно улучшают вкус пищи, что способствует лучшему её усвоению.
В последние годы в России осуществляется ряд мер по расширению производства продуктов для детского питания, например многокомпонентных консервированных продуктов, состав которых соответствует специфике метаболизма детей различного возраста, способствует расширению ассортимента консервов и повышение пищевой и биологической ценности рационов питания.
Фруктовое или фруктово-овощное пюре вводится в рацион ребенка только после того, как в течение 2—3 недель он принимал соки. Пюре имеет полужидкую консистенцию, для придания которой в качестве структурообразователей (загустителей) используют небольшие количества крахмала, пшеничной муки (рисовой, манной и т.д.), пектины, гуаровую камедь и др. Пюре выпускают гомогенизированными, мелкоизмельченными и крупноизмельченными; рекомендуются детям соответственно 4—6, 6—9 и старше 9 мес.
В своей курсовой были использованы фруктовые гомогенизированные пюре для детского питания.
1. Теоретическая часть
1.1 Классификация и ассортимент данного вида консервов
Консервы для детей выпускают в широком ассортименте: фруктовые, овощные, плодоовощные, овощемясные, мясные и др.
Плодовые и ягодные пюреобразные консервы
Ассортимент пюреобразных фруктовых консервов для детского питания включает несколько групп продукции, различающихся по
– количеству входящих в них компонентов:
однокомпонентные плодово-ягодные пюре с сахаром из одного вида сырья с добавлением сахара от 4 до 18 %. Гомогенизированное пюре рекомендуются детям с 2 — 3-месячного возраста, протертые - с 6-месячной .
многокомпонентные плодоовощные пюре с сахаром (7 — 11 %), основой для которых служит яблочное пюре с добавкой одного-двух видов пюре других плодов и овощей. Предназначены для детей той же возрастной группы;
многокомпонентные пюре с крупами и молоком, или сливками. Основу (74 — 82 %) этих продуктов составляют фруктовые пюре, к которым добавляют 10 — 16 % молока или сливок, сахар и в отдельные консервы — крупы. Рекомендуются детям с 4 — 6-месячного возраста;
многокомпонентные пюре из смеси плодов и овощей, а также ягодных соков с сахаром с гарантированным содержанием витамина С (до 20 мг %) и каротина (до 1 мг %). Консервы этой подгруппы предназначены для питания детей с 4 — 6месячного возраста.
– составу входящих в них компонентов:
пюре натуральные без каких-либо добавок из груш, яблок и их смеси;
пюре с сахаром из абрикосов, сливы, алычи, вишни, груш, земляники, малины, персиков, слив, черники, черной смородины, шиповника, яблок одного вида или из смеси двух или трех видов этих плодов и ягод. Сахар добавляется в количестве 5 — 18 % в зависимости от кислотности плодов;
пюре из полуфабрикатов тропических плодов с сахаром;
пюре из яблок или яблок и моркови с соками из ягод (красной смородины, черники, черной смородины, облепихи) или шиповника;
пюре из смеси плодов, ягод, овощей и соков;
пюре из яблок с молоком, сахаром и крупами (манной, рисом);
пюре из яблок, вишни или слив со сливками и с сахаром;
Пюреобразные плодовые и ягодные консервы могут выпускаться витаминизированными, с добавлением 0,05 % аскорбиновой кислоты. Основу всех видов фруктовых пюреобразных консервов составляют пюре из плодов и ягод одного вида или в смеси с другими фруктовыми или овощными пюре.
1.2 Химический состав и показатели качества консервов
Химический состав ПДП.
Вода. Вода в продуктах детского питания находится как в связанном (сухие молочные смеси, крупы, мука для детского питания и др.), так и в свободном состоянии (соки, пюреобразные продукты, молоко для детского питания и т.д.).
По содержанию воды ПДП можно разделить на две группы:
продукты с низким содержанием воды — от 4,0 до 15,0%;
продукты с высоким содержанием воды — от 60,0 и почти до 90,0%.
Сухие вещества :
Углеводы в организме выполняют энергетическую функцию, обеспечивают нормальную функцию кишечника (клетчатка, полуклетчатка), защищают слизистую оболочку кишок от механических и химических раздражителей (пектиновые вещества).
Продукты на фруктово-ягодной основе — фруктовые пюре —обеспечивают организм ребенка углеводами, и прежде всего сахарами — глюкозой, фруктозой, сахарозой, в меньшей степени — крахмалом, клетчаткой, пектиновыми веществами. Соки для детского питания изготавливают чаще всего без добавления сахара, поскольку моносахара и сахароза в достаточном количестве содержатся в плодоовощном сырье.
Клетчатка (целлюлоза) образует клеточные стенки плодов и овощей. Содержание клетчатки зависит от вида растений: в плодах и овощах ее 1—2%, очень мало (0,2—0,5%) в мякоти кабачков, арбузов, дынь и вишни.
Клетчатка не растворима в воде и не усваивается организмом, суточная норма потребления составляет 20,0—30,0 г. Содержание клетчатки в плодах и овощах составляет 0,5—5,0%.
Гемицеллюлоза (полуклетчатка) входит в состав оболочек растительных клеток. К ним относятся гексозаны (галактан, маннан) и пентозаны (арабан, ксилан). Содержание гемицеллюлоз в плодах в среднем 0,1—0,7%.
Пектиновые вещества. Пектиновые вещества входят в состав клеточных стенок и срединных пластинок, в цитоплазму и сок вакуолей растительных клеток. Содержание их в плодах и овощах составляет в среднем 0,3—2,0%. Больше всего пектиновых веществ в яблоках, айве, крыжовнике, черной смородине, облепихе.
Органические кислоты (яблочная, лимонная, щавелевая, молочная и др.), входящие в состав ПДП на плодоовощной основе, придают им кислый вкус. Кроме того, органические кислоты обладают бактерицидными свойствами по отношению к микрофлоре кишечника, а также стимулируют деятельность пищеварительных желез желудка и кишечника, нередко сниженную по различным причинам у детей, особенно дошкольного и младшего школьного возраста.
Витамины играют исключительно важную роль, поскольку обеспечивают нормальное течение биохимических и физиологических процессов. Как уже отмечалось, в организме детей они не синтезируются, а поступают только с пищей. Поэтому ПДП на растительной и животной основе служат для ребенка
основными источниками витаминов. В то же время витамины не обладают энергетическими и пластическими свойствами.
Консервы на фруктово-ягодной основе — пюре — являются основным источником витаминов С, Р и β-каротина для детского организма. Они содержат умеренное количество витаминов группы В, а также РР: от 0,01 до 0,60 мг/100 г и от 0,2 до 0,60 мг/100 г в зависимости от вида консервов соответственно. Содержание витамина С колеблется от 1,4 до 9,6 мг/100 г. Однако аскорбиновая кислота в процессе переработки в большей степени разрушается, поэтому соки дополнительно обогащаются ею в количестве от 15 до 50 мг/100 мл, что удовлетворяет от 30 до 100% суточной потребности детского организма в ней.
Минеральные вещества в ПДП представлены в основном макроэлементами — натрием, калием, кальцием, магнием, фосфором, а также железом. Они обеспечивают построение опорных тканей скелета (кальций, фосфор, магний), поддерживают необходимую осмотическую среду клеток в крови, участвуют в образовании специфических пищеварительных соков (хлор), гормонов (йод, цинк, медь), переносе кислорода в организме (железо, медь).
Дубильные и красящие вещества. Эти вещества обладают Р-активными свойствами. Дубильные вещества придают плодам терпкий вяжущий вкус. В целом в растительном сырье их содержание колеблется от 0,05 до 0,2 %, больше только в черной смородине (до 0,4%) и терне (до 1,7%). В овощах их содержание ниже, чем в плодах. Консервы на фруктово-ягодной и овощной основе представляют собой гомогенизированную пюреобразную массу. При их изготовлении помимо растительного сырья добавляют поваренную соль, сахар, сливочное масло, молоко, рис, муку и т.д.
Показатели качества консервов
Качество консервов во многом зависит от технологических свойств сырья, отсутствия дефектов, особенно критических. Определяющие показатели качества сырья для многих видов консервов во многом аналогичны свежим плодам, овощам, поэтому регламентируются одними и теми же стандартами. Оценка качества консервов производится по следующим показателям: назначению, сохраняемости, эргономическим, эстетическим, безопасности.
Показатели назначения (или физико-химические) характеризуют пищевую и диетическую ценность, функциональное назначение, профилактическую значимость, чистоту и структуру консервов. Основными показателями назначения являются массовая доля сухих или растворимых сухих веществ (чаще устанавливается для фруктово-ягодных консервов), составных частей (для компотов и натуральных консервов), титруемых кислот (для многих видов), витамина С, каротина, (для консервов детского питания), заменителей сахара (сорбита, ксилита — для диетических консервов), жира (для закусочных и обеденных консервов), а также масса нетто (или объем), размер плодов и овощей (или их количество) в упаковочной единице, посторонние примеси, в том числе растительного происхождения. Реже применяются специфические показатели — массовая доля сахара, хлоридов, пектина, мякоти, осадка, минеральных примесей, этилового спирта и др.
К показателям сохраняемости относится основной показатель— состояние внутренней поверхности металлической тары (для всех консервов) и специфический — срок хранения.
Эргономические показатели регламентируют органолептические свойства консервов, которые характеризуются основными показателями: внешний вид, цвет, вкус и запах. Внешний вид, цвет и запах натуральных консервов и компотов должны быть близки к натуральному сырью. Для других групп консервов указываются регламентированные значения показателей, которые приобретены в результате переработки. При оценке внешнего вида устанавливаются равномерность по величине, форме, цвету, отсутствие деформации, повреждений механических, болезнями и вредителями. В ряде случаев устанавливаются допускаемые отклонения.
Эстетические показатели определяются внешним видом потребительской тары: состоянием внешней поверхности, маркировкой и эстетическим оформлением этикетки или литографии.
К показателям безопасности относят качество укупоривания консервов, рН, микробиологические показатели, массовую долю консервантов, тяжелых металлов, пестицидов, микотоксина патулина, герметичность консервов, микробиологическую стабильность, пищевую безвредность (доброкачественность), промышленную стерильность.
1.3 Особенности производства консервов для детского питания
При производстве пюрепродуктов используют новую технологию – подготовленное сырье насыщают диоксидом углерода под давлением с последующим мгновенным сбросом давления, что обеспечивает тонкое измельчение продукта за счет освобождения СО>2> из частичек продукта. Экспериментально доказано существенное снижение микробиальной обсемененности продукта.
Все сырье тщательно моют и инспектируют, ополаскивают под душем, очищают и измельчают.
Назначение мойки — удаление поверхностного загрязнения землей, ядохимикатами, благодаря чему снижается микробиологическая обсемененность и облегчается сортировка по качеству. Эффективность мойки повышается, если ее сочетают с обработкой ультразвуком, моющими агентами, вибрационными колебаниями.
Инспектирование включает в себя отбраковку дефектных, пораженных болезнями и вредителями экземпляров.
Очистка сырья. Заключается в освобождении от несъедобных или малоценных в пищевом отношении частей — кожицы, косточек, семян, плодоножек, семенных камер и т.д., за счет чего увеличивается количество съедобной части. Применяют химический способ очистки: сырье обрабатывают в горячем (80—90°С) растворе каустической соды. При этом происходит ослабление связи между кожицей и прилегающими паренхимными тканями, кожица легко удаляется. Влага под кожицей как бы вскипает, вследствие чего кожица разрывается и частично отделяется. Окончательно кожица отделяется в моечной машине. При этом наблюдаются частичные потери витаминов, в основном за счет кожицы, богатой этими веществами. В то же время инактивируются ферменты и прекращаются биохимические процессы, ведущие к потерям пищевых веществ.
Разваривание. Подготовленное сырье разваривают до такого состояния, чтобы его можно было протереть на протирочной машине. Продолжительность зависит от вида, сорта, степени зрелости, размера плодов или ягод (фруктов) и размера нарезанных кусочков. Разваривание проводят в дигестере, используя острый, предварительно очищенный пар.
Протирание проводят сразу же после тепловой обработки сырья на специальных протирочных машинах при производстве пюреобразных продуктов и соков с мякотью. Его проводят после тепловой обработки, когда окислительные ферменты инактивированы. Трехкратное протирание сырья дает более тонкое измельчение и способствует сокращению отходов. При этом диаметр отверстий сит в первой машине должен быть 1,5—2 мм, во второй — 0,8—1, в третьей — 0,4—0,5 мм. Для более тонкого измельчения массу подают на гомогенизатор ОГБ, что повышает усвояемость продукта. Гомогенизация — тонкое измельчение мякоти до размеров частиц 10—30 мкм.
Протертую и гомогенизированную массу подвергают деаэрации.
Деаэрация — удаление воздуха из продукта. Проводят на разных стадиях технологического цикла с целью предотвращения окисления лабильных компонентов кислородом воздуха. При производстве консервов на фруктово-ягодной основе продукт нагревают и отсасывают воздух, создавая тем самым вакуум на 10—20 мин. Для этого используют деаэраторы непрерывного действия.
После деаэрации смесь подогревают с таким расчетом, чтобы при фасовании температура продукта была не ниже 80ºС. Горячую смесь
Горячую смесь (температура продукта 97—98°С) расфасовывают на непрерывно действующих теплообменниках с автоматическим регулированием температуры. При этом способе в несколько меньшей степени разрушаются витамины и другие полезные вещества. При такой температуре продукт фасуют в горячую подготовленную тару вместимостью не более 0,2 дм3 (для детских учреждений допускается фасование в стеклянные баночки вместимостью не более 1дм3), немедленно укупоривают и стерилизуют.
Асептическая стерилизация — стерилизация продукта путем быстрой тепловой обработки с последующим охлаждением, его фасованием в стерильную тару различной вместимости в стерильных условиях и хранение в герметически укупоренной таре, исключающей возможность попадания извне микроорганизмов. Асептическое консервирование применяют при заготовке пюреобразных и жидких полуфабрикатов, используемых для изготовления консервов для детского питания.
1.3.1 Требования к сырью при производстве консервов
Для детского питания используют сырье, отвечающее требованиям стандарта, предъявляемым к высшему и первому сорту.
ГОСТ 27572-87 Яблоки свежие для промышленной переработки
Таблица 1
|
Наименование показателя |
Норма для товарного сорта |
|
первого |
|
|
Внешний вид |
Плоды здоровые, свежие, целые чистые, вполне развившиеся, без повреждений с/х вредителями, без механических повреждений, типичной для данного помологического сорта формы и окраски, с плодоножкой или без неё |
|
Запах и вкус |
Свойственные данному помологическому сорту, без постороннего запаха и привкуса |
|
Степень зрелости |
Техническая, потребительская. Плоды однородные по степени зрелости |
|
Размер плодов по наибольшему поперечному диаметру, см, не менее |
6,0 |
Таблица 2. ГОСТ Р 51603-2000 Бананы свежие
|
Наименование показателя |
Характеристика и норма для классов |
|
|
экстра |
первого |
|
|
Внешний вид |
Плоды одного помологического сорта |
|
|
Вкус и запах |
Специфический запах спелых бананов, вкус сладкий, без постороннего привкуса и аромата. |
|
|
Зрелость |
Плоды потребительской степени зрелости с зеленовато-желтой, желтой окраской кожуры, но не перезревшие, плотные, округлые, мякоть кремовая |
|
|
Размеры плодов: -по наибольшему поперечному диаметру, см -по длине, см, не менее |
3,0 – 4,0 |
|
|
20,0 |
19,0 |
Характеристика потребительской тары, маркировки и хранения данного вида консервов
Для упаковывания продукции применяют потребительскую тару (банки, бутылки, тубы, тару из полимерных и комбинированных материалов).
Тара с продукцией должна быть целой, чистой, без подтеков продукции.
Не допускается продукция в банках бомбажных, с хлопающими концами и другими дефектами, обусловленными требованиями инструкции о порядке санитарно-технического контроля консервов на производственных предприятиях, оптовых базах, в розничной торговле и на предприятиях общественного питания, утвержденной органами государственного санитарно-эпидемиологического надзора.
Банки и тубы с продукцией должны быть герметично укупорены.
Крышки банок с продукцией должны быть вогнутыми или плоскими.
Маркировка
Маркировка потребительской тары должна включать в себя художественное оформление, текст на этикетке или поверхности тары и условные обозначения
Художественное оформление должно производиться полиграфическими способами и осуществляться наклеиванием бумажной этикетки или печатанием непосредственно на поверхности тары.
Бумажная этикетка должна быть чистой, без подтеков, целой, наклеенной на тару аккуратно, без морщин и перекосов.
Текст на этикетке или поверхности потребительской тары должен содержать следующие данные на государственном языке страны-изготовителя:
штриховой код (по возможности);
наименование предприятия-изготовителя, его адрес и товарный знак;
наименование продукции;
обозначение нормативного документа на продукцию без указания года утверждения;
массу нетто или объем;
сорт (при наличии);
срок годности (в случае невозможности нанесения его на крышку тары), информационные данные о пищевой и энергетической ценности 100 г продукта и другие дополнительные сведения по нормативному документу на продукцию.
На крышке стеклянной и полимерной тары, литографированных металлических банок и тубы должны наноситься условные обозначения, указывающие:
номер смены (бригады) – одна-две цифры;
срок годности – надпись «годен до» и шесть цифр;
число – две цифры;
месяц – две цифры;
год – две последние цифры текущего года.
Хранение
Продукцию хранят в хорошо вентилируемых складских помещениях на деревянных стеллажах или поддонах при относительной влажности не более 75%.
Температура плодовой и ягодной консервированной продукции во всех видах тары – от 0 до 25ºС
Сроки хранения продукции со дня выработки устанавливают в нормативном документе на продукцию конкретного вида. Сроки хранения, гарантирующие бактериологическую стабильность, не устанавливают.
Возможные причины порчи консервов
Изменение качества консервов при хранении вызывается физическими, биохимическими, химическими и микробиологическими процессами.
К физическим процессам относят деформацию тары вследствие небрежного отношения к ней, что приводит к утрате товарного вида консервов, а иногда даже к нарушению герметичности.
К химическим процессам относят меланоидинообразование, химический бомбаж (см. с. 255), электрохимические реакции замещения. Все они вызывают снижение или утрату доброкачественности консервов.
Меланоидинообразование — это неферментативная реакция взаимодействия редуцирующих сахаров с аминокислотами с последующей их конденсацией и полимеризацией, при этом образуются темноокрашенные соединения — меланоидины. Реакция начинается при тепловой обработке и завершается при хранении. Интенсивность меланоидинообразования снижается в кислой среде при наличии достаточных количеств аскорбиновой кислоты, фенольных соединений, при непродолжительной тепловой обработке.
Электрохимические реакции коррозии металлов тары увеличивают в консервах' содержание олова и железа. Коррозию металлов ускоряет кислород из незаполненного пространства банки, яблочная кислота и нитраты в продукте, В икре из кабачков и баклажанов, в яблочных нектарах отмечается наиболее интенсивный переход олова и железа в продукт.
Биохимические процессы при хранении представлены в основном окислительными, приводящими к необратимому разрушению витаминов и других биологически активных веществ. Окисляются кислоты, особенно яблочная и хинная, а также каротин, в результате чего изменяются вкус и цвет консервов, прогоркают жиры и ухудшается вкус.
Микробиологические процессы вызывают микробиологический бомбаж и "плоское скисание".
2. Практическая часть
2.1 Цель работы, объекты и методы исследования
Цель работы
Провести анализ ассортимента и товароведную характеристику пюреобразных плодоовощных консервов для детского питания.
Объекты
1. Яблочно-банановое пюре «Фруто Няня»
ОАО «Прогресс»,398902
Россия, г. Липецк,
ул. Ангарская, владение 2.
2. Яблочно-банановое пюре «Бабушкино лукошко»
ОАО «Завод детского питания «Фаустово»», 140240
Россия, Московская область,
Воскресенский район, пос. Белоозерский,
ул. Пионерская, 23
3. Яблочно-банановое пюре Heinz
H.J/. Heinz,
Plada Industrial S.r.l.,
Via Migliara, 45,
Latina, Italy
Методы исследования
Метод определения титруемой кислотности в соответствии с ГОСТ 25555.0
Рефрактометрический метод определения содержания растворимых сухих веществ в соответствии с ГОСТ 28562.
Метод определения содержания не растворимых сухих веществ
2.2 Правила приемки и отбора проб для анализа качества плодоовощных продуктов для детского питания
Правила приемки – по ГОСТ 26313 – 84. >010009000003681900000000460e00000000460e000026060f00821c574d46430100000000000100f5dc0000000001000000601c000000000000601c0000010000006c000000000000000000000082000000280000000000000000000000660d00003104000020454d4600000100601c00000c00000001000000000000000000000000000000900600001a040000b801000013010000000000000000000000000000c0b6060038320400460000002c00000020000000454d462b014001001c000000100000000210c0db01000000600000006000000046000000ec040000e0040000454d462b224004000c000000000000001e4009000c00000000000000244001000c000000000000003040020010000000040000000000803f214007000c0000000000000008400005380400002c0400000210c0db01000000000000000000000000000000000000000100000089504e470d0a1a0a0000000d494844520000008300000029080200000099780db9000000017352474200aece1ce9000000097048597300000ec400000ec401952b0e1b000003b349444154785eed583d6eea4010c6ef24a034141cc2ee40b4ef06d044694139038216bd066e90368a9b080ee18226c237f19bd9dfd9b58dcdb391362fb34544c6b3b3b3df377f765414c580570008fc0ac0077601116026428903c9447e9c4566adcfa138f71ffb41119f1d7337275627e819b0b6b1cf8d6589e9fac7e838afa348222ed770f121c03eadb4a4ae3a81e6f530052dcd8f64c9c8045dbc5a2020a33fd935a9729f6842a8cb73cc84e7c11f1afab5e698892e4837ed8db745f1b11836a989e7dd9840ce716193d7bfdd7a589236a9994e44aaaadda3ce12aeaba6a7f4ea0e326688116b9a08c5a0421aa954badf7fda0d5a51a0956cf9773b02e909b245b87dc293d886225b10b5252444207acdf47025665507924aaebedbada87578821b4e2b6d0b1feadff221fc1502c788b061cf6f74af49e196717d47ef4c7b75eb73b79cd074e2bd540f8fb7687cf78e1166d7746c5234ff7c4bab6385281985f37e99028d7a4050d63718af3054a0389e4f967bf73408e5fd72328f51058b836b247e815048df3e31e4dbae1bfe77372e9de88709e742c331c47cf655795148f6d165622637b22fbfa4932743977e707e8799c361289ec3eef442ac03b299a0c6acfcb8c90e2fc0925cbe91e1d3c433d196102c569effbd197f0013e25a0e561a9175940c4ec5765e71f1fc2bab4a893a881ca201d974399293a2f8315a9659150fd41223a56362979887b0b9e654a0a1c6ffdbc6dbf1fc28267c582ffb59b4199b1ae63b8725ab22256aef6075b1a52699e83ab6e65e0f59e2bc48f9ef45a0edcc347e1b2b1d7cdb7fbfc5b61e98c8390f6002eacc60e0c19aeeb2dfd71bf31cec59415d2f2d598b684d87e421f50aea10c4f7ead59b14878bd715a4876a1fa25cfa9dab5da06aad7aff7b302e0fe9870973691cfb20f7a7a44acb730858024b5bb0607a443c2b89c07e8c5498969c1f9fb1836be445b72c1f06c6455bdec9f6217819ec12fb410d13e9becf6b35fef7635c825133c5cad14ca128864b3d0bba323520d208730654fb5d45895d81facf9b2985352ba3be58b19656dad5c330c680f4de9e6b658e54e891a3a4dd06ffd5385a6ddc83ac84a7764b9e54c7843becdff8affaeda0f5f69faed8f7fbc47d4597b5ab10207d424f72f71550d19f79dd8b80feac42bed1762a0fa5b2dac9dacfde1c61afe0150002fd4cb1015ce4dbbbc04c84422133c14c848240287e704e3013a120108a1f9c13cc44280884e207e70433110a02a1f8c139c14c848240287e704e3013a120108a1f9c13cc44280884e207e70433110a02a1f8c139110a137f01b36056de221e75130000000049454e44ae42608200000840010824000000180000000210c0db01000000030000000000000000000000000000001b40000040000000340000000100000002000000000000bf000000bf000003430000244203000000000000b3000000b3ffff0243000000b3000000b3ffff23422100000008000000620000000c00000001000000150000000c00000004000000150000000c00000004000000510000001016000000000000000000008200000028000000000000000000000000000000000000008300000029000000500000009c000000ec00000024150000000000002000cc00830000002900000028000000830000002900000001000800000000000000000000000000000000001d0000000000000000000000ffffff00dfffff0000489c00ffbf7400489cdf00df9c4800bf740000bfffff000000740074000000ffffbf009cdfff000000480074bfff0048000000ffdf9c009c480000ffffdf00740048000074bf0074489c00dfffbf0048489c009c4848007400740074747400747448004800480001010101010101010101010101010101010101010101010101010101010101010101010101010101010101010101010101010101010101010101010101010101010101010101010101010101010101010101010101010101010101010101010101010101010101010101010101010101010101010101010101010101010101010101010001010101010101010101010101010101010101010101010101010101010101010101010101010101010101010101010101010101010101010101010101010101010101010101010101010101010101010101010101010101010101010101010101010101010101010101010101010101010101010101010101010101010101010101010001010101010101010101010101010101010101010101010101010101010101010101010101010101010101010101010101010101010101010101010101010101010101010101010101010101010101010101010101010101010101010101010101010101010101010101010101010101010101010101010101010101010101010101010001010101010101010101010101010101010101010101010101010101010101010101010101010101010101010101010101010101010101010101010101010101010101010101010101010101010101010101010101010101010101010101010101010101010101010101010101010101010101010101010101010101010101010101010001010101010101010101010101010101010101010101010101010101010101010101010101010101010101010101010101010101010101010101010101010101010101010101010101010101010101010101010101010101010101010101010101010101010101010101010101010101010101010101010101010101010101010101010001010101010101010101010101010101010101010101010101010101010101010101010101010101010101010101010101010101010101010101010101010101010101010101010101010101010101010101010101010101010101010101010101010101010101010101010101010101010101010101010101010101010101010101010001010101010101010101010101010101010101010101010101010101010101010101010101010101010101010101010101010101010101010101010101010101010101010101010101010101010101010101010101010101010101010101010101010101010101010101010101010101010101010101010101010101010101010101010001010101010101010101010101010101010101010101010101010101010101010101010101010101010101010101010101010101010101010101010101010101010101010101010101010101010101010101010101010101010101010101010101010101010101010101010101010101010101010101010101010101010101010101010001010101010101010101010101010101010101010101010101010101010101010101010101010101010101010101010101010101010101010101010101010101010101010101010101010101010101010101010101010101010101010101010101010101010101010101010101010101010101010101010101010101010101010101010001010101010101010101010101010101010101010101010101010101010101010101010101010101010101010101010101010101010101010101010101010101010101010101010101010101010101010101010101010101010101010101010101010101010101010101010101010101010101010101010101010101010101010101010001010101010101010101010101010101010101010101010101010101010101010101010101010101010101010101010101010101010101010101010101010101010101010101010101010101010101010101010101010101010101010101010101010101010101010101010101010101010101010101010101010101010101010101010001010101010101010101010101010101010101010101010101010101010101010101010101010101010101010101010101010101010101010101010101010101010101010101010101010101010101010101010101010101010101010101010101010101010101010101010101010101010101010101010101010101010101010101010001010101010101010101010101010101010101010101010101010101010101010101010101010101010101010101010101010101010101010101010101010101010101010101010101010101010101010101010101010101010101010101010101010101010101010101010101010101010101010101010101010101010101010101010001010101010101010101010101010101010101010101010101010101010101010101010101010101010101010101010101010101010101010101010101010101010101010101010101010101010101010101010101010101010101010101010101010101010101010101010101010101010101010101010101010101010101010101010001010101010101010101010101010101010101010101010101010101010101010101010101010101010101010101010101010101010101010101010101010101010101010101010101010101010101010101010101010101010101010101010101010101010101010101010101010101010101010101010101010101010101010101010001010101010101010101010101010101010101010101010101010101010101010101010101010101010101010101010101010101010101010101010101010101010101010101010101010101010101010101010101010101010101010101010101010101010101010101010101010101010101010101010101010101010101010101010001010101010101010101010101010101010101010101010101010101010101010101010101010101010101010101010101010101010101010101010101010101010101010101010101010101010101010101010101010101010101010101010101010101010101010101010101010101010101010101010101010101010101010101010001010101010101010101010101010101010101010101010101010101010101010101010101010101010101010101010101010101010101010101010101010101010101010101010101010101010101010101010101010101010101010101010101010101010101010101010101010101010101010101010101010101010101010101010001010101010101010101010101010101010101010101010101010101010101010101010101010101010101010101010101010101010101010101010101010101010101010101010101010101010101010101010101010101010101010101010101010101010101010101010101010101010101010101010101010101010101010101010001010101010101010101010101010101010101010101010101010101010101010101010101010101010101010101010101010101010101010101010101010101010101010101010101010101010101010101010101010101010101010101010101010101010101010101010101010101010101010101010101010101010101010101010001010101010101010101010101010101010101010c0d00000601010101010101010101010101010101010101010101010101010101010101010101010101010101010101010101010101010101010101010101010101010101010101010101010101010101010101010101010101010101010101010101010101010101010101010101000102030000000401010101010101010101010101010e00060101010101010101010101010101010101010101010101010101010101010101010101010101010101010101010101010101010101010101010101010101010101010101010101010101010101010101010101010101010101010101010101010101010101050000000601000102030701010101010101010101010101010101010c0d060101010101010101010101010101010101010101010101010101010101010101010101010101010101010101010101010101010101010101010101010101010101010101010101010101010101010101010101010101010101010101010101010101010101010108090601000102030701010101010101010101010101010101010c0d0601010101010101010101010101010101010101010101010101010101010101010101010101010101010101010101010101010101010101010101010101010101010101010101010101010101010101010101010101010101010101010101010101010101010101080906010001020307010101020300000a0b010c0d00000701010c0d00000000111201010809000006010e00000f101400111201080900000601010c0d00000f100102030011120809000006010e000004010e0000000a0b010809000007010500000f100809000006010e00000f1001010e0000000a0b0101020300000000000a0b01010809060100010203070101010102030a0b0101010c0d070101010c0d0a0b01080911120101080907010101050f100114040507010108090701010e000701010500040101140f10010809060101050f10010e0007010108090401080907010101050f100101080907010101050f1001010e00070101080904010101010e000601010101010809060100010203070101010102030a0b0101010c0d070101010c0d060101010e0004010108090f1001010e0f1001010108190b010809070101140f10010102031112010c0d0701080906010809070102030a0b010101010101080907010101050f10010108090f1001010e0f100102030a0b0101010101010101010e000601010101010809060100010203070101010102030a0b0101010c0d070101010c0d060101010c0d06010108091b1c10010e0f10010101020304010809070108091112010101140a0b0101140f1008090601050f100108090701010101010101080907010101050f10010108091b1c10010e0f1001080907010101010101010101010e000601010101010809060100010203070101010102030a0b0101010c0d070101010c0d060101010c0d0701010809060809040e0f10010101010506010809070108091112010101140f100101010e00000000000a0b010108090000000000000601080900000000000f1001010809060809040e0f1001080900000000000006010101010e000601010101010809060100010203070101010102030a0b0101010c0d070101010c0d060101010c0d0601010809060108091a0f10010101010e07010809070108091112010101140a0b010101050608090602171001010809111201010e000401080907010101050f1001010809060108091a0f10010809111201010e0004010101010e000601010101010809060100010203070101010102030a0b0101010c0d070101010c0d060101010e00040101080906010102030f10010101010c18120809070101140a0b010108091112010108190b080906010e07010101140a0b0101050f1001080907010101050f100101080906010102030f100101140a0b0101050f10010101010e000601010101010809060100010203070101010102030a0b0101010c0d070101010c0d00070108090a0b0101080907010101050f10010101010c130b08090701010c0d0701011400040105040e06010809060102151617100c0d07010809111201080907010101050f100101080907010101050f1001010c0d070108091112010101010e000601010101010809060100010203070101010102030a0b0101010c0d0701010e0000040e00000f1001010809000006010e00000f100101080900000000000601010809000000040101050011120809000006010e000f1001080900001112010809000007010500000f100809000006010e00000f10010108090000111201010101010e000601010101010809060100010203070101010102030a0b0101010c0d0701010101010101010101010101010101010101010101010101010101010101010101010101010101010101010101010101010101010101010101010101010101010101010101010101010101010101010101010101010101010101010101010101010101010e000601010101010809060100010203070101010102030a0b0101010c0d0701010101010101010101010101010101010101010101010101010101010101010101010101010101010101010101010101010101010101010101010101010101010101010101010101010101010101010101010101010101010101010101010101010e0f100e000601010101010809060100010203070101010102030a0b0101010c0d070101010101010101010101010101010101010101010101010101010101010101010101010101010101010101010101010101010101010101010101010101010101010101010101010101010101010101010101010101010101010101010101010101010203000006010101010108090601000102030701010102030000000000000000000701010101010101010101010101010101010101010101010101010101010101010101010101010101010101010101010101010101010101010101010101010101010101010101010101010101010101010101010101010101010101010101010101010101080906010101010108090601000102030000000401010101010101010101010101010101010101010101010101010101010101010101010101010101010101010101010101010101010101010101010101010101010101010101010101010101010101010101010101010101010101010101010101010101010101010101010101010101010101010101050000000601000101010101010101010101010101010101010101010101010101010101010101010101010101010101010101010101010101010101010101010101010101010101010101010101010101010101010101010101010101010101010101010101010101010101010101010101010101010101010101010101010101010101010101010101000101010101010101010101010101010101010101010101010101010101010101010101010101010101010101010101010101010101010101010101010101010101010101010101010101010101010101010101010101010101010101010101010101010101010101010101010101010101010101010101010101010101010101010101000101010101010101010101010101010101010101010101010101010101010101010101010101010101010101010101010101010101010101010101010101010101010101010101010101010101010101010101010101010101010101010101010101010101010101010101010101010101010101010101010101010101010101010101004c0000006400000000000000000000008200000028000000000000000000000083000000290000002900aa0000000000000000000000803f00000000000000000000803f0000000000000000000000000000000000000000000000000000000000000000220000000c000000ffffffff460000001c00000010000000454d462b024000000c000000000000000e000000140000000000000010000000140000000400000003010800050000000b0200000000050000000c0229008300030000001e0004000000070104000400000007010400ed0a0000410b2000cc002900830000000000290083000000000028000000830000002900000001000800000000000000000000000000000000001d0000000000000000000000ffffff00dfffff0000489c00ffbf7400489cdf00df9c4800bf740000bfffff000000740074000000ffffbf009cdfff000000480074bfff0048000000ffdf9c009c480000ffffdf00740048000074bf0074489c00dfffbf0048489c009c4848007400740074747400747448004800480001010101010101010101010101010101010101010101010101010101010101010101010101010101010101010101010101010101010101010101010101010101010101010101010101010101010101010101010101010101010101010101010101010101010101010101010101010101010101010101010101010101010101010101010001010101010101010101010101010101010101010101010101010101010101010101010101010101010101010101010101010101010101010101010101010101010101010101010101010101010101010101010101010101010101010101010101010101010101010101010101010101010101010101010101010101010101010101010001010101010101010101010101010101010101010101010101010101010101010101010101010101010101010101010101010101010101010101010101010101010101010101010101010101010101010101010101010101010101010101010101010101010101010101010101010101010101010101010101010101010101010101010001010101010101010101010101010101010101010101010101010101010101010101010101010101010101010101010101010101010101010101010101010101010101010101010101010101010101010101010101010101010101010101010101010101010101010101010101010101010101010101010101010101010101010101010001010101010101010101010101010101010101010101010101010101010101010101010101010101010101010101010101010101010101010101010101010101010101010101010101010101010101010101010101010101010101010101010101010101010101010101010101010101010101010101010101010101010101010101010001010101010101010101010101010101010101010101010101010101010101010101010101010101010101010101010101010101010101010101010101010101010101010101010101010101010101010101010101010101010101010101010101010101010101010101010101010101010101010101010101010101010101010101010001010101010101010101010101010101010101010101010101010101010101010101010101010101010101010101010101010101010101010101010101010101010101010101010101010101010101010101010101010101010101010101010101010101010101010101010101010101010101010101010101010101010101010101010001010101010101010101010101010101010101010101010101010101010101010101010101010101010101010101010101010101010101010101010101010101010101010101010101010101010101010101010101010101010101010101010101010101010101010101010101010101010101010101010101010101010101010101010001010101010101010101010101010101010101010101010101010101010101010101010101010101010101010101010101010101010101010101010101010101010101010101010101010101010101010101010101010101010101010101010101010101010101010101010101010101010101010101010101010101010101010101010001010101010101010101010101010101010101010101010101010101010101010101010101010101010101010101010101010101010101010101010101010101010101010101010101010101010101010101010101010101010101010101010101010101010101010101010101010101010101010101010101010101010101010101010001010101010101010101010101010101010101010101010101010101010101010101010101010101010101010101010101010101010101010101010101010101010101010101010101010101010101010101010101010101010101010101010101010101010101010101010101010101010101010101010101010101010101010101010001010101010101010101010101010101010101010101010101010101010101010101010101010101010101010101010101010101010101010101010101010101010101010101010101010101010101010101010101010101010101010101010101010101010101010101010101010101010101010101010101010101010101010101010001010101010101010101010101010101010101010101010101010101010101010101010101010101010101010101010101010101010101010101010101010101010101010101010101010101010101010101010101010101010101010101010101010101010101010101010101010101010101010101010101010101010101010101010001010101010101010101010101010101010101010101010101010101010101010101010101010101010101010101010101010101010101010101010101010101010101010101010101010101010101010101010101010101010101010101010101010101010101010101010101010101010101010101010101010101010101010101010001010101010101010101010101010101010101010101010101010101010101010101010101010101010101010101010101010101010101010101010101010101010101010101010101010101010101010101010101010101010101010101010101010101010101010101010101010101010101010101010101010101010101010101010001010101010101010101010101010101010101010101010101010101010101010101010101010101010101010101010101010101010101010101010101010101010101010101010101010101010101010101010101010101010101010101010101010101010101010101010101010101010101010101010101010101010101010101010001010101010101010101010101010101010101010101010101010101010101010101010101010101010101010101010101010101010101010101010101010101010101010101010101010101010101010101010101010101010101010101010101010101010101010101010101010101010101010101010101010101010101010101010001010101010101010101010101010101010101010101010101010101010101010101010101010101010101010101010101010101010101010101010101010101010101010101010101010101010101010101010101010101010101010101010101010101010101010101010101010101010101010101010101010101010101010101010001010101010101010101010101010101010101010101010101010101010101010101010101010101010101010101010101010101010101010101010101010101010101010101010101010101010101010101010101010101010101010101010101010101010101010101010101010101010101010101010101010101010101010101010001010101010101010101010101010101010101010101010101010101010101010101010101010101010101010101010101010101010101010101010101010101010101010101010101010101010101010101010101010101010101010101010101010101010101010101010101010101010101010101010101010101010101010101010001010101010101010101010101010101010101010c0d00000601010101010101010101010101010101010101010101010101010101010101010101010101010101010101010101010101010101010101010101010101010101010101010101010101010101010101010101010101010101010101010101010101010101010101010101000102030000000401010101010101010101010101010e00060101010101010101010101010101010101010101010101010101010101010101010101010101010101010101010101010101010101010101010101010101010101010101010101010101010101010101010101010101010101010101010101010101010101050000000601000102030701010101010101010101010101010101010c0d060101010101010101010101010101010101010101010101010101010101010101010101010101010101010101010101010101010101010101010101010101010101010101010101010101010101010101010101010101010101010101010101010101010101010108090601000102030701010101010101010101010101010101010c0d0601010101010101010101010101010101010101010101010101010101010101010101010101010101010101010101010101010101010101010101010101010101010101010101010101010101010101010101010101010101010101010101010101010101010101080906010001020307010101020300000a0b010c0d00000701010c0d00000000111201010809000006010e00000f101400111201080900000601010c0d00000f100102030011120809000006010e000004010e0000000a0b010809000007010500000f100809000006010e00000f1001010e0000000a0b0101020300000000000a0b01010809060100010203070101010102030a0b0101010c0d070101010c0d0a0b01080911120101080907010101050f100114040507010108090701010e000701010500040101140f10010809060101050f10010e0007010108090401080907010101050f100101080907010101050f1001010e00070101080904010101010e000601010101010809060100010203070101010102030a0b0101010c0d070101010c0d060101010e0004010108090f1001010e0f1001010108190b010809070101140f10010102031112010c0d0701080906010809070102030a0b010101010101080907010101050f10010108090f1001010e0f100102030a0b0101010101010101010e000601010101010809060100010203070101010102030a0b0101010c0d070101010c0d060101010c0d06010108091b1c10010e0f10010101020304010809070108091112010101140a0b0101140f1008090601050f100108090701010101010101080907010101050f10010108091b1c10010e0f1001080907010101010101010101010e000601010101010809060100010203070101010102030a0b0101010c0d070101010c0d060101010c0d0701010809060809040e0f10010101010506010809070108091112010101140f100101010e00000000000a0b010108090000000000000601080900000000000f1001010809060809040e0f1001080900000000000006010101010e000601010101010809060100010203070101010102030a0b0101010c0d070101010c0d060101010c0d0601010809060108091a0f10010101010e07010809070108091112010101140a0b010101050608090602171001010809111201010e000401080907010101050f1001010809060108091a0f10010809111201010e0004010101010e000601010101010809060100010203070101010102030a0b0101010c0d070101010c0d060101010e00040101080906010102030f10010101010c18120809070101140a0b010108091112010108190b080906010e07010101140a0b0101050f1001080907010101050f100101080906010102030f100101140a0b0101050f10010101010e000601010101010809060100010203070101010102030a0b0101010c0d070101010c0d00070108090a0b0101080907010101050f10010101010c130b08090701010c0d0701011400040105040e06010809060102151617100c0d07010809111201080907010101050f100101080907010101050f1001010c0d070108091112010101010e000601010101010809060100010203070101010102030a0b0101010c0d0701010e0000040e00000f1001010809000006010e00000f100101080900000000000601010809000000040101050011120809000006010e000f1001080900001112010809000007010500000f100809000006010e00000f10010108090000111201010101010e000601010101010809060100010203070101010102030a0b0101010c0d0701010101010101010101010101010101010101010101010101010101010101010101010101010101010101010101010101010101010101010101010101010101010101010101010101010101010101010101010101010101010101010101010101010101010e000601010101010809060100010203070101010102030a0b0101010c0d0701010101010101010101010101010101010101010101010101010101010101010101010101010101010101010101010101010101010101010101010101010101010101010101010101010101010101010101010101010101010101010101010101010e0f100e000601010101010809060100010203070101010102030a0b0101010c0d070101010101010101010101010101010101010101010101010101010101010101010101010101010101010101010101010101010101010101010101010101010101010101010101010101010101010101010101010101010101010101010101010101010203000006010101010108090601000102030701010102030000000000000000000701010101010101010101010101010101010101010101010101010101010101010101010101010101010101010101010101010101010101010101010101010101010101010101010101010101010101010101010101010101010101010101010101010101080906010101010108090601000102030000000401010101010101010101010101010101010101010101010101010101010101010101010101010101010101010101010101010101010101010101010101010101010101010101010101010101010101010101010101010101010101010101010101010101010101010101010101010101010101010101050000000601000101010101010101010101010101010101010101010101010101010101010101010101010101010101010101010101010101010101010101010101010101010101010101010101010101010101010101010101010101010101010101010101010101010101010101010101010101010101010101010101010101010101010101010101000101010101010101010101010101010101010101010101010101010101010101010101010101010101010101010101010101010101010101010101010101010101010101010101010101010101010101010101010101010101010101010101010101010101010101010101010101010101010101010101010101010101010101010101000101010101010101010101010101010101010101010101010101010101010101010101010101010101010101010101010101010101010101010101010101010101010101010101010101010101010101010101010101010101010101010101010101010101010101010101010101010101010101010101010101010101010101010101000c00000040092900aa000000000000002900830000000000040000002701ffff030000000000>
Удостоверение качества, сопровождающее партию консервов, должно содержать:
номер документа и дату его выдачи;
наименование продукта;
наименование предприятия-изготовителя и его адрес;
номер партии и дату отгрузки;
вид потребительской тары и её вместимость;
количество потребительских упаковочных единиц
массу нетто продукта в потребительской упаковочной единице;
дату изготовления;
срок годности;
условия хранения;
обозначение стандарта;
информацию о подтверждении соответствия.
Контроль органолептических, физико-химических показателей, массы нетто, качества упаковки и маркировки проводят для каждой партии консервов.
Качество измельчения гомогенизированных консервов определяют при возникновении разногласий в органолептической оценке их качества.
Контроль за содержанием токсичных элементов, пестицидов, микотоксинов патулина, зеаралеона и афлотоксинов В>1> и М>1>, нитратов и радионуклидов проводят с периодичностью, установленной изготовителем по согласованию с терротириальным уполномоченным органом, но не реже одного раза в квартал.
Микробиологический контроль качества партии соков проводят в соответствии с инструкцией о порядке санитарно-технического контроля консервов на производственных предприятиях, оптовых базах, в розничной торговле и на предприятиях общественного питания, утвержденная Госкомитетом санэпиднадзора РФ 21.07.92. № 01-19/9-11
2.3 Оценка органолептических показателей продукта
Сенсорная оценка, проводимая с помощью органов чувств человека, - наиболее древний и широко распространенный способ определения качества пищевых продуктов. Органолептические методы быстро, объективно и надежно дают общую оценку качества продуктов
Характеристика органолептических показателей плодоовощных продуктов для детского питания.
Таблица 3
|
Наименование показателя |
Характеристика |
|
Внешний вид |
Гомогенизированных консервов – однородная пюреобразная тонко измельченная масса. Протертых консервов – однородная пюреобразная протертая масса. Допускаются единичные вкрапления кожицы темного цвета. |
|
Консистенция |
При выкладывании пюре на ровную поверхность должна образовываться холмистая или слегка растекающаяся масса. |
|
Вкус и запах |
Натуральные, хорошо выраженные, свойственные соответствующим фруктам, или смеси использованных компонентов, прошедших тепловую обработку. Не допускаются посторонние вкус и запах. |
|
Цвет |
Однородный по всей массе, свойственный цвету соответствующих фруктов или смеси использованных компонентов. Допускается незначительное потемнение поверхностного слоя или боковой поверхности содержимого банок |
Для органолептической оценки качества консервов для детского питания будет использована 5-балловая шкала с использованием коэффициента весомости.
Распределим коэффициент весомости для единичных показателей качества продуктов детского питания.
Таблица 4
|
Показатель |
Вкус |
Запах |
Консистенция |
Внешний вид |
Цвет |
∑ |
|
Коэффициент весомости |
5 |
5 |
5 |
3 |
2 |
20 |
Коэффициенты весомости варьируются в зависимости от цели исследования и устанавливаются экспертным путем с использованием метода ранжирования. Суть этого метода состоит в том, что показатели располагают в порядке уменьшения их важности.
Дегустационные листы для каждого образца
«Фруто Няня»
Таблица 5
|
Показатель |
Оценка единичных показателей, балл |
|||||
|
1 |
2 |
3 |
4 |
5 |
6 |
|
|
Внешний вид |
5 |
5 |
5 |
5 |
5 |
5 |
|
Вкус |
5 |
5 |
5 |
5 |
5 |
5 |
|
Запах |
5 |
5 |
5 |
5 |
5 |
5 |
|
Цвет |
5 |
5 |
5 |
4 |
5 |
5 |
|
Консистенция |
5 |
5 |
5 |
5 |
5 |
5 |
Таблица 6«Heinz»
|
Показатель |
Оценка единичных показателей, балл |
|||||
|
1 |
2 |
3 |
4 |
5 |
6 |
|
|
Внешний вид |
4 |
4 |
5 |
4 |
4 |
4 |
|
Вкус |
4 |
4 |
4 |
5 |
4 |
4 |
|
Запах |
4 |
4 |
4 |
5 |
4 |
4 |
|
Цвет |
5 |
4 |
5 |
4 |
4 |
4 |
|
Консистенция |
4 |
4 |
4 |
5 |
4 |
4 |
Таблица 7«Бабушкино лукошко»
|
Показатель |
Оценка единичных показателей, балл |
|||||
|
1 |
2 |
3 |
4 |
5 |
6 |
|
|
Внешний вид |
5 |
5 |
4 |
5 |
5 |
4 |
|
Вкус |
5 |
5 |
4 |
5 |
5 |
4 |
|
Запах |
5 |
5 |
4 |
5 |
5 |
4 |
|
Цвет |
5 |
5 |
5 |
5 |
5 |
4 |
|
Консистенция |
5 |
5 |
4 |
5 |
5 |
4 |
Статистическая обработка результатов дегустационных образцов.
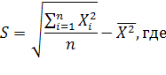
Включает в себя расчет среднеарифметического значения показателей, стандартного отклонения и комплексных показателей качества с учетом коэффициентов весомости.
Сначала усредняют оценки дегустаторов по единичным показателям

>>>
>
- сумма оценок дегустаторов по
данному показателю (вкус, запах и тд.)
одного образца продукции, баллы;
>>>
>
- число дегустаторов.
Для характеристики разброса совокупности оценок дегустаторов определяют стандартное отклонение для каждого единичного показателя по формуле

>>>
>
- сумма квадратов оценок
дегустаторов по данному показателю
(вкус, запах и тд.) одного образца
продукции, баллы;
>>>
>
– квадрат среднего значения
оценок показателя, баллы.
Таблица 8«Фруто Няня»
|
Показатель |
Оценка единичных показателей, балл |
|
|
|
|
|
|||||
|
1 |
2 |
3 |
4 |
5 |
6 |
||||||
|
Внешний вид |
5 |
5 |
5 |
5 |
5 |
5 |
30 |
5 |
25 |
150 |
0 |
|
Вкус |
5 |
5 |
5 |
5 |
5 |
5 |
30 |
5 |
25 |
150 |
0 |
|
Запах |
5 |
5 |
5 |
5 |
5 |
5 |
30 |
5 |
25 |
150 |
0 |
|
Цвет |
5 |
5 |
5 |
4 |
5 |
5 |
30 |
5 |
25 |
150 |
0 |
|
Консистенция |
5 |
5 |
5 |
5 |
5 |
5 |
30 |
5 |
25 |
150 |
0 |
Таблица 9.«Heinz»
|
Показатель |
Оценка единичных показателей, балл |
|
|
|
|
|
|||||
|
1 |
2 |
3 |
4 |
5 |
6 |
||||||
|
Внешний вид |
4 |
4 |
4 |
5 |
4 |
5 |
26 |
4,33 |
18,7 |
114 |
0,3 |
|
Вкус |
4 |
4 |
4 |
5 |
4 |
4 |
25 |
4,16 |
17,3 |
105 |
0,45 |
|
Запах |
4 |
4 |
4 |
5 |
4 |
4 |
25 |
4,16 |
17,3 |
105 |
0,45 |
|
Цвет |
5 |
4 |
5 |
4 |
4 |
4 |
26 |
4,33 |
18,7 |
114 |
0,3 |
|
Консистенция |
4 |
4 |
4 |
5 |
4 |
4 |
25 |
4,16 |
17,3 |
105 |
0,45 |
Таблица 10 «Бабушкино лукошко»
|
Показатель |
Оценка единичных показателей, балл |
|
|
|
|
|
|||||
|
1 |
2 |
3 |
4 |
5 |
6 |
||||||
|
Внешний вид |
5 |
5 |
4 |
5 |
5 |
4 |
28 |
4,67 |
21,8 |
132 |
0,45 |
|
Вкус |
5 |
5 |
4 |
5 |
5 |
4 |
28 |
4,67 |
21,8 |
132 |
0,45 |
|
Запах |
5 |
5 |
4 |
5 |
5 |
4 |
28 |
4,67 |
21,8 |
132 |
0,45 |
|
Цвет |
5 |
5 |
5 |
5 |
5 |
4 |
29 |
4,8 |
23,04 |
141 |
0,67 |
|
Консистенция |
5 |
5 |
4 |
5 |
5 |
4 |
28 |
4,67 |
21,8 |
132 |
0,45 |
Таблица 11. Органолептическая оценка качества образцов
|
Показатели |
Оценка единичных показателей |
||
|
«Фруто Няня» |
«Heinz» |
«Бабушкино лукошко» |
|
|
Внешний вид |
5 |
4,33±0,3 |
4,67±0,45 |
|
Вкус |
5 |
4,16±0,45 |
4,67±0,45 |
|
Запах |
5 |
4,16±0,45 |
4,67±0,45 |
|
Цвет |
5 |
4,33±0,3 |
4,8±0,67 |
|
Консистенция |
5 |
4,16±0,45 |
4,67±0,45 |
Дифференцируем образцы по качеству в зависимости от балловых оценок. Для этого нам необходимо вычислить комплексный показатель для каждого образца. Умножаем средние арифметические оценки единичных показателей на соответствующие коэффициенты весомости и полученные произведения суммируем по каждому образцу продукции.

«Фруто Няня»

«Heinz»

«Бабушкино лукошко»

По единичным и комплексным показателям устанавливается уровень качества (категория качества) оцениваемой продукции
Таблица 12
|
Образцы |
«Фруто Няня» |
«Бабушкино лукошко» |
«Heinz» |
|
Комплексный показатель |
100 |
93,66 |
83,25 |
|
Категория качества |
Высшая |
Первая |
Вторая |
2.3.1 Результаты сенсорного анализа
Органолептический
анализ трех образцов продукции для
детского питания, различавшихся заводами
(странами) – изготовителями, был проведен
шестью дегустаторами. Рассчитаны средние
арифметические значения оценок >>>
>,
стандартные отклонения S
и комплексные показатели. Результаты
свидетельствуют о том, что испытанные
образцы по органолептическим показателям
являются стандартными. Наиболее высокую
оценку получил образец «Фруто Няня»,
отнесенный к высшей категории качества;
образец «Бабушкино лукошко» соответствует
нормам первой категории; образец «Heinz»
имеет более низкий уровень качества.
2.4 Анализ физико-химических показателей качества
Одним из основных физико-химических показателей соков является содержание сухих веществ.
Рефрактометрический метод определения растворимых сухих веществ в соответствии с ГОСТ 28562-90.
«Массовая доля растворимых сухих веществ по рефрактометру» означает: массовая доля сахарозы в водном растворе, имеющем такой же показатель преломления, какой имеет исследуемый раствор.
Содержание растворимых сухих веществ определяют с помощью рефрактометра: найденное значение выражают в единицах массовой доли сахарозы в водном растворе сахарозы. Показатель преломления исследуемого продукта зависит от присутствия в нем, помимо сахаров, других растворимых веществ – органических кислот, минеральных веществ, аминокислот и др.
Проведение измерений: небольшую порцию пробы продукта разбавляют водой не более чем в два раза. Небольшое количество (2–3 капли) исследуемого раствора помещают на рабочую неподвижную призму рефрактометра и сразу же накрывают подвижной призмой, следя за тем, чтобы продукт равномерно покрыл стеклянную поверхность. Затем проводят измерения в соответствии с инструкцией по эксплуатации прибора. Определяют по шкале прибора массовую долю сахарозы в процентах до первого десятичного знака.
Показания рефрактометра
Таблица 13
|
Соки |
Количество водорастворимых сухих веществ, % |
|
«Фруто Няня» |
2,3 |
|
«Heinz» |
2 |
|
«Бабушкино лукошко» |
2,2 |
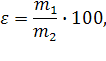
Так как продукт разбавляли водой, то массовую долю растворимых сухих веществ в продукте (X) в процентах вычисляют по формуле

где a – значение массовой доли растворимых сухих веществ, полученное для разбавленного водой продукта, %;
m>1> – масса добавленной воды, г;
ε – массовая доля не растворимых сухих веществ в продукте (пост. 1,8%);
m>2> – масса навески продукта.
Результат округляют до первого десятичного знака.
Рассчитаем массовую долю не растворимых сухих веществ в пюре «Фруто няня»

Пюре «Heinz»

Пюре «Бабушкино лукошко»

Таблица 14
|
Соки |
Количество водорастворимых сухих веществ, % |
|
«Фруто Няня» |
14,0 |
|
«Heinz» |
12,2 |
|
«Бабушкино лукошко» |
13,4 |
Исходя из значений таблицы, делаем вывод, что наибольшее содержание сахарозы в образце «Фруто Няня», а наименьшее в образце «Heinz».
Кислотность в сочетании с количеством сухих веществ характеризует гармоничность вкуса и служит одним из основных признаков при определении режимов термической обработки.
Метод определения титруемой кислотности в соответствии с ГОСТ28562
Метод основан на потенциометрическом титровании стандартным титрованным раствором гидроксида натрия с (NaOH) = 0,1 моль/дм3 в присутствии индикатора фенолфталеина.
Проведение испытаний: в коническую колбу вместимостью 250 см3 вносят 25 см3 затем в колбу приливают дистиллированную воду и доводят до метки 250 см3. Добавляют 2-3 капли индикатора (фенолфталеин) и титруют раствором гидроксида натрия при непрерывном помешивании до получения розовой окраски, не исчезающей в течение 30 с. Измеряют объем раствора, пошедшего на титрование.
Обработка результатов: титруемую кислотность (Х) в расчете на яблочную кислоту в % вычисляют по формуле:

где V>1 >- объем раствора гидроксида натрия, пошедшего на титрование см3;
V>2 >– объем, до которого доведена навеска;
C – точная концентрация раствора гидроксида натрия, моль/дм3;
M – молярная масса, г/моль (для яблочной кислоты 67,0);
m – масса навески пробы продукта;
V>0 >– объем пробы образца, взятого на титрование, см3.
Таблица 15
|
Соки |
Объем гидроксида натрия пошедшего на титрование, мл |
|
«Фруто Няня» |
14,0 |
|
«Heinz» |
12,2 |
|
«Бабушкино лукошко» |
13,4 |
Рассчитаем массовую долю титруемых кислот для пюре «Фруто няня»

Для пюре «Heinz»

Для пюре «Бабушкино лукошко»

Результат округляют до первого десятичного знака.
Таблица 16
|
Соки |
Титруемую кислотность, % |
|
«Фруто няня» |
0,5 |
|
«Heinz» |
0,3 |
|
«Бабушкино лукошко» |
0,7 |
Исходя из значений таблицы, делаем вывод, что наибольшая кислотность соответствует образцу «Фруто Няня», а наименьшая образцу «Heinz».
Также к анализам физико-химических показателей качества относят определение содержания не растворимых в воде сухих веществ в соответствии с ГОСТ 28562-90:
Проведение испытаний: в сухой предварительно взвешенный бюкс помешают навеску массой 5г. Затем бюксы с навесками помещают в сушильный шкаф и размещают в установочной рабочей зоне камеры. Выдерживают непрерывно определенное время, отсчитанное с момента загрузки шкафа. После чего бюксы с пробами извлекают, остужают и взвешивают
Обработка результатов: массовую долю не растворимых в воде сухих веществ (ε) в процентах определяют как отношение массы сухого остатка к массе продукта по формуле:

где m>1> – масса сухого остатка;
m>2> – масса навески
Рассчитаем массовую долю не растворимых в воде сухих веществ для пюре «Фруто няня»

Для пюре «Heinz»

Для пюре «Бабушкино лукошко»

Таблица 17
|
Соки |
Массовая доля не растворимых в воде сухих веществ, % |
|
«Фруто няня» |
26 |
|
«Heinz» |
22 |
|
«Бабушкино лукошко» |
16 |
Наибольший процент содержания не растворимых в воде сухих веществ наблюдается в образце «Фруто няня», наименьший – «Heinz».
Выводы
В ходе курсовой работы была проведена товароведная характеристика пюреобразных плодовых консервов для детского питания. Было выяснено, что яблочно-банановое пюре «Фруто Няня» и «Бабушкино лукошко» по органолептическим показателям имеют более высокие показатели, чем пюре «Heinz». Однако все три образца соответствуют нормативным документам.
В настоящее время ассортимент детского питания очень широк.
Из российских производителей детского питания большой популярностью пользуются торговые марки «Агуша», «Бабушкино лукошко», «Фруто няня», «Тема», «Тип-топ» и другие.
Из зарубежных - достойное место на рынке детского питания занимают швейцарская торговая марка «Nestle», голландская «Nutricia», австрийская «Hipp», чешская «Hame», датская «Dania», шведская «Semper», немецкие «Humana» и «Bebivita», словенская «Bebi», американские «Beech Nut» и «Mead Johnson» и другие. Поинтересуйтесь, какие товарные марки производят то детское питание, которое вам необходимо, пробуйте разные продукты и вкусы, и вы обязательно остановите свой выбор на том, что больше всего будет подходить именно вашему малышу.
Список использованной температуры
Справочник по товароведению продовольственных товаров / Под ред. Родиной Т.Г. – М.: КолосС, 2003. – 608 с.
Экспертиза продуктов переработки плодов и овощей: Учеб. пособие / Цапалова И.Э., Маюрникова Л.А. и др. – Новосибирск: Сиб. Унив. Изд.-во
Николаева М. А./ Товароведение плодов и овощей: Учебник для вузов. – М.: Экономика, 1990 – 228 с.
Марк А.Т. Биохимия консервирования плодов и овощей. – М.: Дашков и К, 2006. – 152с.
Технология переработки продуктов растениеводства / Под ред. Н. М. Личко. – М.: КолосС, 2008, – 616 с.
http://yandex.ru/yandsearch?text=технология+производства+фруктовых+консервов&stpar2
http://www.svprom.info
http://www.zavprogress.ru/TEHNOLOGII.html
http://www.millionmenu.ru/rus/kitchen/facts/posts31/articl25/
http://www.childfood.ru/













