Влияние витаминов группы В на ход технологического процесса при производстве йогурта
Содержание
Организация и управление производством
Инженерный раздел
Экономический раздел
Индивидуальное задание
Литература
Организация и управление производством
Высшим органом управления общества является собрание акционеров. Руководство текущей деятельностью общества осуществляется единоличным исполнительным органом общества – генеральным директором. Он осуществляет оперативное руководство текущей деятельностью общества и наделяется в соответствии с законодательством РФ всеми необходимыми полномочиями для выполнения этой задачи. В непосредственном его подчинении находятся: главный технолог, главный бухгалтер, главный инженер, отдел кадров.
Главный технолог контролирует производство вырабатываемой продукции и её реализацию; заключает договора с поставщиками сырья, основных материалов и с торгово-закупочными фирмами. А также выполняет обязанности заведующего складом. В подчинении у главного технолога находятся старшие мастера и заведующий лабораторией.
Штат лаборатории составляет 5 человек: зав. лабораторией, два лаборанта в сырном цехе и два в кисломолочном. Зав. лабораторией контролирует качество поступающего сырья, заквасок и готовой продукции, а также выписывает сертификат качества при реализации продукции. Лаборанты проводят физико-химический анализ молока, готовят закваски.
Бухгалтера ведут расчёты с поставщиками, авансовые отчёты, материальный расчёт, амортизацию.
Экономист занимается расчётом затрат себестоимости выпускаемой продукции.
Сыродельный цех работает в одну смену по штатному расписанию. В цехе работают 10 человек, работу которых контролирует мастер. Аппаратчики принимают молоко от поставщиков, взвешивают, сепарируют и пастеризуют. Сыроделы вносят в молоко закваску и компоненты, следят за образованием сгустка, контролируют температуру второго нагревания. Формовщики прессуют сгусток, разрезают сырный пласт, укладывают в формы и ставят под пресс. Сыросолы контролируют посолку сыра и его мойку во время созревания. Мойщица стирает салфетки и моет формы.
Инженерный раздел
Теплоснабжение предприятия
Молочный завод использует тепло собственной котельной. Котельная служит для обеспечения предприятия горячей водой и паром.
В котельной имеются два котла ДКВР-2/10 (производительность 2 т. пара в час, 10 атмосфер рабочего давления).
Как топливо для работы, котельная использует природный газ. Каждый котел подогревается двумя горелками, потребляющими по 60 м3 газа в час. В качестве теплоносителей используют горячую воду и пар с объемным весом 1,023 кг/м3 , температура 134°С. В производстве используется смесь газа с воздухом 1:10. На каждом котле имеются автоматические приборы регулирования, которые контролируют их работу.
Потребность в паре в среднем составляет 2 т/час. В летнее время пар идет на технологические операции, а в зимнее и на отопление зданий. Расход газа при топке котлов в зимнее время составляет 100 тыс. м3.
Теплоснабжение предприятий осуществляется по средствам теплотрассы, состоящей из труб батарей. Трубы покрывают изоляционным материалом для предотвращения потери тепла и в цели экономии.
Электроснабжение предприятия
Предприятие обеспечивается электроэнергией из районных сетей. На предприятии установлены два трансформатора по 300 кВт. Электроэнергия расходуется на освещение и на работу технологического оборудования. Электрообслуживающий персонал составляет 5 человек.
На электроподстанции установлены счетчики электроэнергии, показания счетчиков ежемесячно подаются в горсеть. Стоимость электроэнергии составляет по установленному тарифу 1 кВт заявленной мощности 1 руб. 17 коп..
На предприятии разрабатываются мероприятия по рациональному использованию электроэнергии и снижению удельных норм расхода путем замены электрооборудования большей мощности на электрооборудование меньшей мощности. Основным мероприятием по технике безопасности при эксплуатации электрического оборудования являются замеры.
Хладоснабжение предприятия
Компрессорный цех служит для обеспечения производства холодом (для охлаждения и хранения продуктов). Компрессорная установка состоит из конденсаторной площади, машинного и испарительного отделений.
Оборудование компрессорного цеха состоит из компрессоров марки АН-200 и АН-400, испарителей панельного типа АТП-180, АТП-320, в которых кипит аммиак. Аммиак нагнетается в конденсатор, а от туда в линейный ресивер. На батареях и на испарителях смонтированы датчики уровня. Система безнасосная под естественным давлением. Роль изоляции выполняет полистирол (марки ПСБС). Холодильная установка работает на трех температурах кипения аммиака:
-25 °С- на охлаждение камер хранения;
-15 °С- охлаждение рассола;
-8 °С- на охлаждение ледяной воды.
Суммарная холодопроизводительность компрессорной 2 млн. ккал/ч. В камере хранения стоят батареи змеевикового типа, где хранят цельномолочную продукцию. В батареи подается рассол. В камере хранения масла в батареях используется непосредственно аммиак-охладитель. Все пары аммиака поступают в конденсаторы кожухотрубного типа.
Водоснабжение и сантехника
Источником водоснабжения служит районный водопровод. С муниципальным предприятием «Водоканал» заключается договор на водоподведение и водоотведение.
Суточная потребность в воде составляет до 1000 м3 , водоотведение 800 м3 воды в сутки. Стоимость 1 м3 воды 7,90 руб.
Вода используется на технологические нужды, мойку оборудования, хозяйственно-бытовые нужды, для производства пара и горячей воды в котельных, а также для восстановления молока зимой.
На предприятии осуществляется дополнительное обеззараживание воды с помощью бактерицидных и ультрафиолетовых ламп. В целях экономии воды проводят следующие мероприятия: устранение утечки в трубах и засорной арматуре.
В цехах молочного завода используются оконные вентиляторы , их устанавливают в тех помещениях где высокая температура (маслоцех, заквасочное отделение). В зимнее время эти вентиляторы работают как калориферы, нагнетают теплый воздух. Также имеются аварийные вентиляторы, которые подключаются только в случаи утечки аммиака в компрессорном цехе.
Экономический раздел
Таблица 1 - Стоимость технологического оборудования
|
Наименование |
Тип, марка оборудования |
Занимаемая площадь, м² |
Стоимость по прейскуранту, руб. |
|
Насос центробежный Сепаратор-сливкоотделитель Заквасочник Резервуар для кисломолочных напитков Аппарат для розлива к/м напитков ИТОГО: |
Г2-ОПБ ОЦМ-10 Г6-ОЗ-12 Я1-ОСВ-6 АО-111 |
480 х 250 х 390 1375 х 880 х 1210 855 х 620 х 1080 7,33м2 2010 х 2425 х 2660 |
8 640 53 120 19 200 134 120 130 000 345 080 |
Технологическая трудоёмкость производства продукта равна:
чел./час
К- продолжительность смены, ч.
Ч-численность рабочих, чел.
О- объём производимой продукции в смену, т.
Таблица 2 - Расчёт потребления воды, пара, электроэнергии технологическим оборудованием
|
Технологическое оборудование |
Тип, марка |
Количество часов работы для производства 1 т продукции |
Расход за 1 час |
||
|
Пара, кг |
Воды, м3 |
Электроэнергии, кВт |
|||
|
Насос Сепаратор-сливкоотделитель Заквасочник Резервуар для кисломолочных напитков Аппарат для розлива к/м напитков |
Г2-ОПБ ОЦМ-10 Г6-ОЗ-12 Я1-ОСВ-6 АО-111 |
1,5 0,5 − − 2 |
− − − − − |
− 0,2 0,4 0,2 − |
2 5 − − 3 |
Расчёт себестоимости единицы продукции
1. Стоимость сырья и основных материалов, С>0>

где, С>1> – стоимость сырья
К – нормы расхода сырья на 1 т продукта
руб.
2. Стоимость вспомогательных материалов, С>в>
Стоимость вспомогательных материалов принимаем равным 10% от стоимости сырья и основных материалов.
;
руб.
3. Стоимость энергоносителей, С>э> (по данным табл. 2)
Из расчета W= 1,17 руб./кВт
Вода = 7,90 руб./м3
С>э >= (10 кВт ∙ 1,17 руб.) + ( 0,8 м3 ∙ 7,90 руб.) = 18,02 руб./час
4. Заработная плата, Р>з>
По формуле:
Р>з >= 1,356 К>1 >∙К>2 > Р>ц>
где, К>1> – коэффициент, учитывающий дополнительную зарплату (1,07-1,09).
К>2 >–> >коэффициент, учитывающий доплаты (1,2-1,25).
Р>ц> – расценка за 1 т. продукта, рассчитывается по формуле:
Р>ц >= Т>час >∙Т
где, Т>час> – часовая тарифная ставка, руб./ час
Т – технологическая трудоёмкость, чел./ час
Р>ц >= 84 ∙ 20 = 1680 руб.
Р>з> = 1,356 ∙ 1,08 ∙ 1,23 ∙ 1680 = 3026 руб.
5. Амортизационные отчисления, Р>А>

где, Н>ОБ> и Н>З> – нормы амортизационных отчислений оборудования и зданий (9,2 % и 2,6% соответственно).
Q>г> – годовой объём производства продукции, т/год.
З>ОБ> – прейскурантная стоимость оборудования, руб.
З>з> – стоимость зданий и сооружений, руб.
руб.
6. Содержание и текущий ремонт оборудования и зданий, Р>Т>
(для оборудования – 10%, для зданий – 5%).

руб.
7. Себестоимость 1 тонны продукции, С
С = С>0> + С>в> + С>э> +Р>з> + Р>А >+ Р>Т> + П
где П – прочие расходы, руб. (инструменты, транспортные расходы, спецодежда и т.п).
С = 8570 + 857 + 105,02 + 3026 + 1275,8 + 2320,8 + 1230 = 17384,62 руб.
8. Уровень рентабельности производства, У>р>

где, Ц – оптовая цена единицы продукции
С – себестоимость продукции.
17384,62 – 1т (2000 пакетов по 500 мл.)
1 пакет стоит 8,7 руб.
Ц>опт>= С+10%НДС+3%прибыли
Ц>опт >=8,7+10%НДС+3%=9,83руб

Таблица 3 - Экономические показатели проекта
|
Показатели |
Затраты, руб. |
|
Полная себестоимость 1т продукта в том числе: сырьё и основные материалы, С>0> вспомогательные материалы, С>в> энергозатраты, С>э> заработная плата, Р>з> амортизационные отчисления, Р>А> дополнительные капитальные затраты Оптовая цена Уровень рентабельности, У>р> |
17384,62 8570 857 18,02 3026 1275,8 76 8,7 12,98% |
Индивидуальное задание
Изучение влияния витаминов группы В на свойства болгарской палочки (L. Bulgaricum), в процессе приготовления молочнокислых продуктов.
Витамины представляют собой низкомолекулярные органические соединения. Они, как правило, не синтезируются в организме, или синтезируются в количествах, недостаточных для его обеспечения. Поэтому основным источником большинства витаминов являются продукты питания, в которых они содержатся в больших или меньших количествах.[1]
Поступая в организм с пищей, витамины принимают участие в обмене веществ. Так, например, большинство витаминов группы В вступает в соединение со специфическими белками ферментов, действуя в качестве кофер-ментов. Для других витаминов, в частности растворимых в жирах, такое участие в метаболизме еще не доказано, хотя и вероятно. Витамины в виде коферментов активно участвуют в сложных биохимических реакциях процессов анаболизма и катаболизма, протекающих в клетках и тканях организма, а также на уровне молекулярных механизмов во внутриклеточных частицах, в особенности в митохондриях.[2]
Несмотря на то, что многие витамины представляют собой вещества с хорошо установленным химическим строением, они, по-видимому, в силу хронологической последовательности, связанной с их открытием, сохранили название по буквам латинского алфавита. Буквенный порядок наименования этих витаминов не соответствует их расположению в алфавите и не вполне отвечает исторической последовательности открытия этих веществ.
Витамин В>1 >(тиамин, аневрин) широко распространен в растениях, однако, за исключением некоторых особенно богатых им продуктов (дрожжи, пшеничные зародыши, рисовые отруби), он встречается в них в сравнительно небольших количествах. Большая часть тиамина в растительных продуктах находится в свободном виде, меньшая − в виде тиаминдифосфата (тиаминпирофосфата, кокарбоксилазы). В животных продуктах он встречается в виде комплекса белка, магния и тиаминфосфата. Из животных продуктов тиамином богаче всего печень, почки, сердце и нежирная свинина. Молекула чистого тиамина состоит из пиримидинового и тиазолового колец, связанных с метиленовой группой.
Практически, когда речь идет о чистом препарате, чаще всего имеют дело с тиаминхлоридом. Это бесцветные моноклинические игольчатые кристаллы горьковатого вкуса с запахом орехов. Они имеют максимум поглощения при 235 и 267 ммк. Молекулярный вес 337,3. Тиамин растворим в воде, нерастворим в растворителях жиров, теплоустойчив в кислых и разрушается в нейтральных и щелочных растворах, особенно при кипячении и автоклавировании.
В организме тиамин находится главным образом в виде тиаминдифосфата и в меньшей степени монофосфата и трифосфата. Тиаминдифосфат служит простетической группой ферментов, участвующих в важнейших звеньях углеводного обмена: дегидрогеназа пировиноградной кислоты, дегидрогеназа α-кетоглутаровой кислоты и транскетолаза. Тиаминфосфат действует как кофермент в системе транскетолазы, связанной с прямым окислительным путем глюкозы. Тиамин и пантотеновая кислота участвуют в синтезе ацетилхолина, играющего важную роль в гуморальной передаче нервного импульса. При недостаточности тиамина в организме накапливаются пировиноградная и молочная кислоты.
В природе встречаются вещества, оказывающие антитиаминное действие. Они обнаружены в мясе некоторых пресноводных рыб (карп и др.), в мясе атлантической сельди, в креветках, моллюсках. Некоторые из этих веществ действуют наподобие ферментов. Такой фермент получил название тиаминазы. Антагонисты тиамина были воспроизведены также химическим путем.
Недостаточность организма человека в тиамине бывает экзогенной (первичной), связанной с дефицитом этого витамина в питании, и эндогенной (вторичной), причиной которой является в основном нарушение усвояемости или разрушение тиамина в организме.[4]
Недостаток тиамина в питании относится к так называемым болезням цивилизации. Основными ее причинами являются, с одной стороны, все возрастающее потребление хлебных изделий из пшеничной муки высшего и первого сортов, бедных тиамином, а с другой − высокое потребление сахара и кондитерских изделий, увеличивающих легко всасываемую углеводную часть пищевого рациона, что приводит к повышению потребности организма в тиамине. Из этого следует, что тиаминовая недостаточность не связана только с южным климатом, как об этом много говорилось и печаталось в прежние годы, в связи с проблемой бери-бери вследствие преимущественного питания полированным рисом. Гиповитаминоз B>1> обнаружен также в умеренных широтах и на Крайнем Севере. Запасы тиамина в организме невелики и быстро истощаются при различного рода резких физиологических напряжениях. К ним нужно отнести воздействие очень холодного климата Крайнего Севера, а также влияние жаркого климата. Обнаружение ранних симптомов B>1>-гиповитаминоза представляет значительные трудности вследствие того, что клинические явления в этот период носят большей частью стертый и неясный характер. Поэтому ведущее значение в его распознавании имеют специфические биохимические реакции, устанавливающие ранние нарушения обмена веществ, и не специфические, но достаточно характерные физиологические реакции.[5]
Эндогенная недостаточность тиамина встречается при хроническом алкоголизме, невритах, заболеваниях желудочно-кишечного тракта, тиреотоксикозе, диабете, различных отравлениях: сероуглеродом, тетраэтилсвинцом, ртутью, метиловым спиртом, мышьяком.[3]
Клинические симптомы недостаточности тиамина следующие: постепенная потеря аппетита, тошнота, запоры, астения, адинамия, судороги и слабость нижних конечностей, учащенное сердцебиение, одышка при незначительном физическом напряжении, раздражительность, ослабление памяти.
Тиамин токсичен при применении лишь в больших дозах (100 мг и выше), в особенности парентерально. В этих количествах он угнетает холинэстеразу и гистаминазу и относительно редко вызывает реакции, напоминающие анафилактический шок, со следующими явлениями: ощущение жара, слабость, беспокойство, тошнота, потоотделение, спазм глотки, тахикардия, стенокардия, одышка, гипотензия, крапивница, эозинофилия. Появление реакций и их интенсивность связаны не только с величиной дозы, но и с повышенной чувствительностью к тиамину. У людей, имеющих дело с препаратами витамина В>1> наблюдается дерматит рук и предплечий.[2]
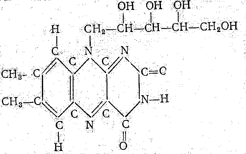
Витамин В>2> (рибофлавин) широко распространен в природе. Из растительных продуктов им наиболее богаты пекарские и пивные дрожжи и бобовые, из животных продуктов − мясо, печень, почки и сердце, коровье молоко, яйца. В животных и растительных продуктах рибофлавин встречается реже в свободном виде и чаще − в связанном, в виде коферментов: рибофлавин-мононукдеотида и рибофлавин-адениндинуклеотида. Рибофлавин представляет собой производное изоаллоксазина, связанного с сахарным спиртом (рибитилом), имеющим 5 углеродных атомов (рис. 1)

Рис. 1
Молекулярный вес рибофлавина 374,4. Максимумы поглощения при 223, 263, 268, 359-372, 445, 475 ммк. Это тонкие оранжево-желтые кристаллы, горькие на вкус, растворимые в воде и спиртах, нерастворимые в растворителях жиров. Рибофлавин теплоустойчив в сухом виде и в кислых растворах и неустойчив в щелочных растворах, а также к свету.[4]
Аналогами-антагонистами рибофлавина являются диэтилфлавин, изорибофлавин, противомалярийный препарат атебрин и др. В организме рибофлавин действует в составе уже упомянутых выше коферментов: рибофлавин-мононуклеотида и рибофлавин-адениндинуклеотида, которые, соединяясь с белками или с минеральными элементами (магнием, железом, медью и молибденом), в виде цитохром-редуктаз, оксидаз, дегидрогеназ и диафораз активно участвуют как переносчики водорода в целом ряде ферментных реакций промежуточного обмена, осуществляя окислительное фосфорилирование в дыхательной цепи.[3]
В большинство этих ферментов входит рибофлавин-адениндинуклеотид и в меньшинство − флавин-моионуклеотид. Входя в различные аминокислотные оксидазы, рибофлавин также необходим для правильного обмена белков. Он проявляет стимулирующее процессы анаболизма действие в зависимости от содержания белков в пище.
Витамин В>2 >влияет на рост и развитие плода. Недостаток его во время беременности может привести к недонашиванию плода и его уродствам. Рибофлавин вместе витамином А и амидом никотиновой кислоты участвует в акте светового и цветового зрения и обладает экранирующим действием на глаз, предохраняя его от вредного влияния ультрафиолетовых лучей.
При экзогенной и эндогенной недостаточности в рибофлавине плохо заживают раны и трофические язвы, а также трещины сосков у женщин. Недостаточность рибофлавина чаще всего встречается наряду с дефицитом животного белка и никотиновой кислоты.
Наиболее частыми симптомами недостаточности рибофлавина являются изменения со стороны слизистой оболочки рта, кожи и глаз. Наиболее ранний симптом − поражение слизистой в углах рта с образованием трещин, эрозий и язв: так называемый ангулярный стоматит, или «заеды» (старое русское название). Затем возникают поражения слизистой губ на месте их смыкания, приводящие к вертикальным трещинам - хейлоз, изменения слизистой оболочки языка, который становится пурпурно-красным с мелкозернистой поверхностью − глоссит. Наряду с этим отмечаются себорейный дерматит кожи лица, ушей, груди, заболевания глаз: блефарит, конъюнктивит и васкуляризирующий кератит со слезотечением, жжением и светобоязнью.[5]
Эндогенная недостаточность рибофлавина встречается при заболеваниях желудочно-кишечного тракта, гепатитах, болезнях кожи. Рибофлавин нетоксичен.
Витамин В>6> встречается в природе в трех видах: пири-доксин, пиридоксаль, пиридоксамин. В небольших количествах он широко распространен в растениях, в значительных − в животных продуктах. Из растительных продуктов хорошими его источниками являются сухие пивные дрожжи, пшеничные отруби, пшеница, ячмень, просо, кукуруза, бобовые; из животных продуктов − говядина, говяжья печень, почки, телятина, свинина, баранина, сыр, треска, лососина, тунец.
Химическое строение витаминов группы В>6> следующее (рис. 2):

Рис. 2
Молекулярный вес пиридоксина 169,2. Максимум поглощения при рН 2,1-291 ммк, рН 6,6-255-324 ммк, при рН 10-247 и 310 ммк. Пиридоксин хлоргидрат представляет собой бесцветные призмы, легко растворимые в воде и спирте, устойчивые к нагреванию, к кислотам и щелочам, но неустойчивые к свету. Молекулярный вес пиридоксаля 167,2; спектры поглощения такие же, как и у пиридоксина; неустойчив к нагреванию. Молекулярный вес пиридоксамина 183,2. Это бесцветные кристаллы, неустойчивые к нагреванию. Аналогами-антагонистами пиридоксина являются 4-дезоксипиридоксин, токсипиримидин и изоникотинилгидразид.
Пиридоксин участвует в обмене веществ в фосфорилированном виде, в основном в виде кофермента пиридоксальфосфата (ПАЛФ), входящего в состав многих трансаминаз и декарбоксилаз, а также в состав кинурениназы, цистотианазы, серии- и треониндегидраз и др. Он играет весьма важную роль в синтезе таких коферментов, как НАД, НАДФ, коэнзим А и др., в синтезе серотоиина и γ-аминомасляной кислоты. Другие коферменты пиридоксина имеют гораздо менее широкий спектр действия.
Витамин В>6 >, по видимому, играет роль в обмене жира, так как при его недостатке нарушается превращение белков в жиры и образование эссенциальных полиненаеыщенных жирных кислот. При расщеплении пиридоксина в организме он в основном выделяется с мочой в виде 4-пиридоксиловой кислоты.
При недостаточности в пиридоксине у грудных детей наблюдаются эпилептиформные судороги и гипохромная микроцитарная анемия. Развитие В>6>-недостаточности у взрослых усугубляется при действии аналогов-антагонистов пиридоксина. При этом наступает потеря аппетита, тошнота, беспокойство, раздражительность, сонливость, сухой себорейный дерматит лица, головы, шеи, груди, хейлоз, конъюнктивит, глоссит, психотические реакции. Вторичная (эндогенная) недостаточность витамина В>6 >была обнаружена при токсикозе беременных с повышенным выделением с мочой ксантуреновой кислоты и резким понижением выделения 4-пиридоксиловой кислоты после нагрузки триптофаном.[4]
Пиридоксин и пиридоксамин нетоксичны. Пиридоксаль обладает относительно высокой токсичностью.
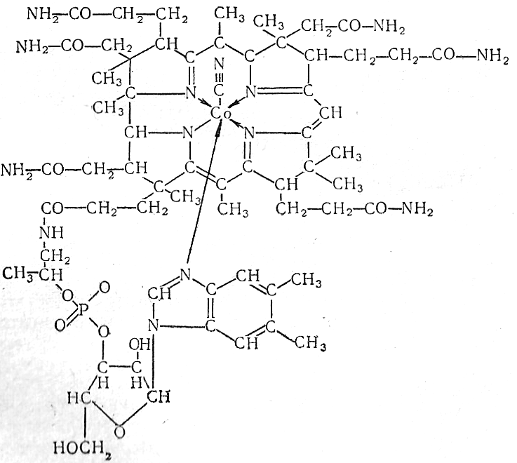
Витамин В>12> (кобаламин)> >в растительных продуктах практически отсутствует, но он синтезируется микроорганизмами. Хорошими его источниками являются мицелий ряда стрептомицетов, пропионовокислые и метанобразующие бактерии. Из животных продуктов он содержится в достаточных количествах в печени ряда рыб, крупного рогатого скота, свиней. В обычных условиях кобаламин синтезируется бактериями кишечной флоры в количествах, достаточных для организма.[2]
Витамин B>12> , используемый человеком и животными, встречается в нескольких формах, химические и физические свойства которых практически одинаковы. Все эти соединения носят название «кобаламины». Наиболее типичный из них − цианокобаламин (рис. 3).

Рис. 3
Он включает рибозонуклеотидную часть, в которой вместо пурина и примидина в качестве основания содержится 5,6-диметилбензимидазол. Структурной основой цианокобаламина является макрокольцо из четырех пиррольных колец, сходных по строению с порфирином.
Атомы азота пиррольных колец и один из атомов азота бензимидазола связаны с атомом кобальта, который в свою очередь координационно связан с анионом − цианидным радикалом. Из 19 углеродных атомов, составляющих макрокольцо, у 13 водород замешен метальными группами или длинными боковыми цепями ацетамидных или пропионамидных радикалов. Молекулярный вес 1490±150. Максимумы поглощения при 278, 361 и 550 ммк. Темно-красные иглы или призмы без вкуса и запаха. Хорошо растворимы в воде и спирте. Нейтральные или слабокислые растворы стойки при комнатной температуре и в темноте. Свет, в особенности солнечный, разрушает витамин B>12>. В водном растворе при рН от 4,0 до 6,0 витамин B>12> практически не разрушается даже при автоклавировании при 120° в течение 15 минут.
Наряду с цианокобаламином выделены еще аквокобаламин, нитритокобаламин, имеющие основной характер, а также группа кислых кобаламинов. Из аналогов витамина B>12> следует отметить фактор А, фактор В, псевдовитамин В>12> и др.[4]
Поступающий в организм витамин B>12> соединяется в тонких кишках с «интринзивным» (внутренним) фактором Касла, выделяемым железами дна желудка. Фактор Касла представляет собой гликопротеид-гастромукопро-теид, имеющий высокий молекулярный вес (40 000 − 70 000), сложного состава, включающий не менее 15 аминокислот, гексозамин, маннозу, галактозу и фруктозу. Механизм действия внутреннего фактора полностью еще не ясен. Он весьма сложен и, возможно, в нем участвует стенка кишечника. Роль этого фактора, по-видимому, заключается в связывании витамина B>12>, предохранении его от использования кишечными бактериями и инактивации продуктами их обмена, а также в облегчении всасывания самого витамина. Из поступающего с пищей кобаламина всасывается очень ограниченное количество, несмотря на добавление гастромукопротеида.
Витамин B>12> относится к веществам с весьма высокой биологической активностью. Основная роль его в обмене веществ полностью еще не раскрыта. Есть основание полагать, что благодаря своей нуклеотидной группе он выполняет главным образом коферментные функции и связывается со специфическими белками. Установлены роль витамина В>12> в биохимических обменных реакциях, связанных с сульфгидрильными ферментными системами, участие его в синтезе лабильных метальных групп, в образовании метионина и холина, участие в синтезе нуклеиновых кислот, в частности пуриновых и пиримидиновых оснований. Участие кобаламина в их синтезе, а также в синтезе аминокислот, по-видимому, сопряжено с фолиевой кислотой. Витамин В>12> способствует образованию тетрагидрофолиевой кислоты, а последняя в виде формильного производного осуществляет перенос одноуглеродного остатка, замыкая кольцо 4,5-амино-5,4-имидазолкарбоксамида. Таким образом, при недостаточности витамина B>12> задерживается синтез ряда незаменимых аминокислот (метионина и др.), белков и блокируется синтез рибонуклеиновых кислот.[1]
Дефицит витамина В>12> у человека наступает вследствие либо недостаточного получения его с пищей, либо недостаточного его всасывания в кишечнике. Алиментарная (экзогенная) недостаточность встречается в старческом возрасте при ограниченном потреблении мяса, рыбы, яиц и молочных продуктов, а также у лиц среднего возраста при строго вегетарианском питании. Недостаточностью витамина B>12> эндогенного происхождения является пернициозная анемия, характеризующаяся мегалобластическим перерождением костного мозга, гиперхромной анемией, поражением языка (глоссит), слизистой оболочки рта, атрофией слизистой дна желудка и фуникулярным миелозом. Как уже указывалось, основной причиной пернициозной анемии является не столько недостаточное поступление в организм витамина В>12>, сколько нарушение его использования в пищеварительном тракте. Для использования и всасывания витамина B>12> необходимо наличие гастромукопротеида, который у больных пернициозной анемией не вырабатывается в организме вследствие атрофии желез дна желудка.[6]
Витамин B>12> нетоксичен, но назначение его в очень больших дозировках, без специфических показаний, в особенности в пожилом возрасте, нецелесообразно вследствие резкой стимуляции белкового обмена и, в частности, обмена нуклеиновых кислот.
Витамин В>3> (пантотеновая кислота) широко распространена в природе. Из растительных продуктов ею богаче всего сухие дрожжи, орехи, бобовые растения, зерновые продукты, грибы, картофель. Из животных продуктов богаты пантотеновой кислотой говяжья печень, говядина, телятина, свинина, яйца, лососина, сельдь.
Пантотеновая кислота является составной частью коэнзима А, который играет важную роль в промежуточном обмене и процессах окисления. По химическому строению это пептид, состоящий из пантоевой кислоты и β-аланина (рис. 4):

Рис. 4
Пантотеновая кислота − это бледно-желтое вязкое масло с молекулярным весом 219. Она является слабым основанием. В таком виде она не могла быть выделена в виде кристаллов, но ее натриевая, калиевая и кальциевая соли представляют собой кристаллы. Пантотеновая кислота хорошо растворима в воде, этиловом спирте, малорастворима в эфире, ацетоне, нерастворима в бензоле и хлороформе. Устойчива к свету и кислороду воздуха. Она стойка в нейтральных растворах, но разрушается в горячих кислых или щелочных растворах. Пантотеновая кислота используется практически главным образом в виде кальциевой соли − пантотената кальция с молекулярным весом 476,6. Это тонкие белые иглы сладкого вкуса, легко растворимые в воде, со щелочной реакцией. Наиболее сильным аналогом-антагонистом пантотеновой кислоты для человека является омега-метилпантотеновая кислота.[2]
Организм человека и животных не может синтезировать пантотеновую кислоту из пантоевой кислоты и β-аланина. В организме человека происходит синтез коэнзима А из пантотеновой кислоты при посредстве специальной киназы (через пантетеин в коэнзим А).
Коэнзим А в виде ацетил-коэнзима принимает участие в одной из самых важных реакций в животных тканях − процессе ацетилирования. Кроме того, он катализирует большое число других, важных ферментных реакций.
Обмен пантотеновой кислоты в организме тесно связан с функцией ряда эндокринных органов; в частности, нормальная деятельность надпочечников зависит от обеспеченности организма пантотеновой кислотой. По-видимому, она необходима для синтеза гормона коры надпочечников. С другой стороны, функции кортикостероидов могут до некоторой степени замещаться пантотеновой кислотой.
Для правильного использования пантотеновой кислоты в организме необходима фолиевая кислота и биотин. Пантотеновая кислота и коэнзим А способствуют росту эпидермальной ткани.[3]
У человека до сих пор еще не обнаружено ясных клинических симптомов экзогенной недостаточности пантотеновой кислоты. Однако они несомненно встречаются при повышенной потребности в этом витамине и понижении кишечного синтеза его. Ряд симптомов, связанных с недостаточностью пантотеновой кислоты, описан при бери-бери, пеллагре, арибофлавинозе.
Признаки недостаточности пантотеновой кислоты у человека проявляются после приема ее антагонистов. К этим признакам относятся: слабость, утомляемость, нервно-психические нарушения, парестезии конечностей, периферический неврит, эпигастральные боли, понижение сопротивляемости инфекциям дыхательных путей, гипо-хлоргидрия, уменьшение холестерина в крови.
Недостаточность пантотеновой кислоты с начала беременности может быть причиной преждевременных родов с высокой смертностью. Выжившие дети часто страдают пороками развития.
Как уже отмечалось, эндогенная недостаточность пантотеновой кислоты возникает в случае подавления кишечной флоры при различных заболеваниях или под влиянием антибиотиков, сульфаниламидных препаратов, противотуберкулезных средств (фтивазид и др.). Она возникает также при восстановительных процессах после операций и ожогов. Пантотеновая кислота нетоксична даже в дозировках до 500 мг в день.[5]
Сущность работы заключается в изучении влияния витаминов группы В на свойства болгарской палочки (L. Bulgaricum) в процессе приготовления молочнокислых продуктов.
Целью работы является изучение влияния витаминов группы В (В>2>, В>6>, В>12>) на развитие L.bulgaricum при приготовлении йогурта.
Задачами исследования является изучение влияния витаминов группы В (В>2>, В>6>, В>12>) на:
1. Органолептические показатели продукта;
2. Нарастание кислотности и скорости сквашивания молока;
3. Динамику развития молочнокислых микроорганизмов;
4. Антагонистическую активность продукта.
Материалы
В процессе эксперимента приготовлен кисломолочный напиток − «Йогурт 2,5%» в соответствии с нормативно-техническим документом ТУ 9222-217-00419785-00. В готовом продукте содержится не менее 2,5 % жира, белка 2,9 %, углеводов 13,1 % , кислотность составляет 120-140˚ Т. Напиток годен в течение 14 суток при температуре хранения не выше 4±2º С.
При производстве напитка была выбрана лиофилизированная закваска состоящая из чистой культуры L.bulgaricus
Для проведения эксперимента использовалось молоко нормализованное, пастеризованное и гомогенизированное с pH 6,72 и титруемой кислотностью 20 Т˚.
Для определения общего количества молочнокислых микроорганизмов бала взята питательная среда - сухая MRS. В состав среды входят: пептон мясной ферментативный, дрожжевой экстракт, агар микробиологический, глюкоза, фосфат калия, ацетат натрия, диамммоний цитрат, сернокислый магний и сернокислый марганец, твин 80, сорбиновая кислота. Готовили среду согласно инструкции, указанной на упаковке. Стерильную среду разливали в стерильные чашки Петри по 15-20 мл и подсушивали.
Методы исследования.
Молочнокислый напиток «Йогурт 2,5 %» с добавлением витамина В готовили следующим образом: в нормализованное, пастеризованное и гомогенизированное молоко вносили концентрации 1,0 и 0,5% витаминов В>2>, В>6 >и В>12 >по отношению к количеству сквашиваемого молока, перемешивали и заквашивали закваской, состоящей из чистой культуры L.bulgaricus, в количестве 5% от объема полученной смеси. В контрольный образец витамин не добавляли. Сквашивание проводили в течение 6 часов при температуре 41±2 ˚С. Каждые два часа проводили органолептическую оценку, измеряли pH и определяли общее количество молочнокислых микроорганизмов в исследуемых образцах.
Определение органолептических показателей.
При оценке органолептических показателей определяли цвет, запах, вкус и консистенцию напитка. Цвет напитка определяли в стеклянной колбе при отражающем дневном свете. Запах определяли при переливании из одного сосуда в другой. Органолептические исследования образцов сравнивали с нормами установленными ТУ 9222-217-00419785-00.
Определение активной кислотности.
Определение активной кислотности исследуемых образцов проводили согласно ГОСТ 26781-85 с помощью ручного pH- метра, марка которого pH ер 2. pH- метр погружали в исследуемый образец и считывали установившееся значение активной кислотности. Для этого каждый анализ проводили 3 раза.
Определение титруемой кислотности.
Титруемую кислотность молока определяли методом титрования молока в присутствие индикатора фенолфталеина. Брали 10 мл исследуемого напитка, добавляли 20 мл дистиллированной воды, 3 капли фенолфталеина и титровали 0,1 раствором NaOH.
Количество щелочи, пошедшего на титрование, умножали на 10 и получали кислотность в градусах Тернера.
Определение общего количества молочнокислых микроорганизмов.
Сущность метода заключается в посеве определенного количества исследуемого субстрата или его разведения в чашки Петри с плотной питательной средой и после термостатирования (в зависимости от видов организмов) подсчитывают выросшие колонии. Исходя, из предлагаемой обсемененности исследуемого продукта готовят разведение для посевов. Если микрофлора исследуемого материала обильная, то рассчитывают такое разведение, в результате посева которого 1 мл этого разведения на чашки Петри находилось десятки колоний. Разведения готовили в пробирках на физиологическом растворе. Стерильной пипеткой 1 мл исследуемого образца вносили в первую пробирку с 9 мл. физиологического раствора. Получаем разведение 1:10. Новой стерильной пипеткой перемешивали разведение 1:10 и 1 мл, его переносили во вторую пробирку с 9 мл. физиологического раствора. Получается разведение 1: 100 и т.д. Делали 8 разведений. Из последних трех разведений делали посев на чашки Петри с плотной средой по 1 мл.
После окончания посевов, подписанные чашки Петри помещали в термостат при температуре 42±2˚С. Через 72 часа подсчитывали выросшие колонии микроорганизмов.
Для подтверждения наличия роста болгарской палочки из выросших колоний делали мазки, которые окрашивали простым способом (метиленовой синью). Для этого на фиксированный мазок пипеткой наливали несколько капель краски. Через 2-3- минуты краску смывали водой, мазок высушивали и рассматривали под масляной иммерсионной системой микроскопа. В поле зрения микроскопа наблюдали формы бактерий, характерные для болгарской палочки, одинарные палочки (рис. 5).

Рисунок 5 - Схема проведения посева на чашки Петри
Для подсчета берут те чашки Петри, на которых колонии хорошо отделены одна от другой. Каждую отсчитанную колонию помечают точкой с нижней стороны чашки Петри. При большом количестве колоний дно чашки делят на сектора, подсчитывают количество колоний в каждом секторе и результаты суммируют. Следует, иметь в виду, что точность метода зависит от числа подсчитанных колоний: лучшим разведением считают то, при высеве из которого на плотной питательной среде вырастает от 50 до 150 колоний. Если число выросших колоний меньше 10, то эти результаты отбрасывают. Желательно, чтобы общее количество подсчитанных колоний при высеве данного разведения было не менее 300.
Зная количество выросших колоний и степень разбавления, легко определить количество микроорганизмов в 1 мл исследуемого материала, пользуясь формулой:
N= (a±2) K/V
Где, N - количество микроорганизмов в 1 мл суспензии;
K - разведение, из которого проведен посев;
A - среднее количество колоний на чашке Петри при разведении K;
V - объем суспензии.
Определение антагонистической активности микроорганизмов
Антагонистическую активность штаммов определяли диффузионным методом. Готовили взвеси патогенных микроорганизмов из суточных культур тест-микроорганизмов, затем засевали газоном на чашки Петри с мясопептонным агаром, подсушивали. В пластине агара с тест – микроорганизмом делали лунки и вносили исследуемые образцы кисломолочных продуктов. Засеянные таким образом чашки Петри термостатировали при 37 0 С в течение 18 – 24 ч, после чего измеряли зону угнетения роста тест-микробов вокруг лунок с контрольными и опытными образцами.
Результаты экспериментальных исследований и их обсуждение
По данным литературы витамины группы В (В>2>, В>6>, В>12>) оказывают стимулирующее действие на развитие микроорганизмов. Определенное практическое значение имеют оптимальные концентрации влияния витаминов. Нами исследованы концентрации 1,0 и 0,5% витаминов по отношению к количеству сквашиваемого молока. Контролем служил кисломолочный напиток без добавления витаминов.
Данные полученные при исследованиях подвергнуты обработке и занесены в таблицы.
Результаты определения органолептических исследований
При определении органолептических показателей исследуемых образцов получены данные, представленные в таблице 4.
Таблица 4 - Сравнительная органолептическая оценка сквашиваемых образцов
-
Показатель
Контроль
Концентрация витамина, %
В>2>
В>6>
В>12>
0,5
1
0,5
1
0,5
1
Цвет
белый
бледно- желтый
желтый
белый
белый
бледно-розовый
розовый
Запах
кислого молока
кислого молока
кислого молока
кислого молока
кислого молока
кислого молока
кислого молока
Консистенция
густая
густая
густая
густая
густая
густая
густая
Вкус
кисло-молочный
кисло- молочный
кисло- молочный
кисло- молочный
кисло- молочный
кисло- молочный
кисло- молочный
Из таблицы 4. видно, что внесение витаминов В>2> и В>12> существенно изменяет цвет молока в процессе сквашивания. Образцы приобретают желтую и розовую окраску. Следовательно витамины В>2> и В>12> могут использоваться в качестве пищевых красителей. В образцах с витаминами скорость образования сгустка увеличивается по сравнению с контролем.
Результаты оценки активной кислотности
Результаты измерения активной кислотности в исследуемых образцах приведены в таблице 5.
Таблица 5 - Результаты измерения активной кислотности в исследуемых образцах
|
Время, час |
Контроль |
Концентрация витамина, % |
|||||
|
В>2> |
В>6> |
В>12> |
|||||
|
1 |
0,5 |
1 |
0,5 |
1 |
0,5 |
||
|
2 4 6 |
6,5 5,6 4,3 |
6,4 5,4 4,2 |
6,4 5,3 4,1 |
6,5 5,4 4,0 |
6,3 5,3 3,9 |
6,5 5,5 3,8 |
6,4 5,5 3,7 |
Из таблицы 5. видно, что при внесении витаминов группы В, молочнокислый процесс протекает интенсивнее. Наиболее интенсивно при внесении витамина В>12> 0,5%. Значение pH принимает 3,7, что ниже контрольного образца (4,3). При увеличении концентрации до 1% скорость процесса замедляется (рис. 6).

Рисунок 6 - Влияние витамина В на активную кислотность образцов в процессе сквашивания
Результаты оценки титруемой кислотности
Результаты измерения титруемой кислотности в исследуемых образцах приведены в таблице 6.
Таблица 6 - Результаты измерения титруемой кислотности в исследуемых образцах
|
Время, час |
Контроль |
Концентрация витамина, % |
|||||
|
В>2> |
В>6> |
В>12> |
|||||
|
1 |
0,5 |
1 |
0,5 |
1 |
0,5 |
||
|
2 4 6 |
31 53 125 |
32 55 128 |
35 58 130 |
37 63 133 |
39 65 136 |
42 67 136 |
44 69 138 |
Из таблицы 5. видно, что при внесении витаминов группы В нарастание кислотности происходит интенсивнее чем у контрольного образца. Наиболее быстрое нарастание кислотности наблюдается при внесении витамина В>12> 0,5%. В течении 6 часов кислотность не превышает 140 ºТ, что соответствует ТУ по данному продукту. Увеличение концентрации до 1% приводит к замедлению процесса (рис. 7).

Рисунок 7 - Влияние витамина В на титруемую кислотность образцов в процессе сквашивания
Результаты определения общего количеств молочнокислых микроорганизмов.
Количество L. bulgaricum, выросшее на чашках Петри с питательной средой MRS, представлены в таблице 7.
Таблица 7 - Количество КОЕ L.bulgaricum, содержащееся в сквашиваемых образцах
|
Время, час |
Контроль |
Концентрация витамина, % |
|||||
|
В>2> |
В>6> |
В>12> |
|||||
|
1 |
0,5 |
1 |
0,5 |
1 |
0,5 |
||
|
2 4 6 |
(17±2)∙10² (15±2)∙10³ (6±2)∙104 |
(17±2)∙10² (15±2)∙10³ (7±2)∙104 |
(17±2)∙10² (16±2)∙10³ (8±2)∙104 |
(18±2)∙10² (16±2)∙10³ (8±2)∙104 |
(19±2)∙10² (17±2)∙10³ (8±2)∙104 |
(20±2)∙10² (17±2)∙10³ (9±2)∙104 |
(20±2)∙10² (18±2)∙10³ (9±2)∙104 |
Из таблицы 6. видно, что количество микроорганизмов увеличивается с течением времени. В образцах с витамином В наблюдается большее количество микроорганизмов по сравнению с контрольным образцом. Следовательно внесение витаминов группы В в сквашиваемые образцы способствует увеличению общего количества молочнокислых микроорганизмов, и уменьшению времени сквашивания. Оптимальная концентрация витамина – 0,5%.
Результаты оценки антагонистической активности
Антагонистическая активность определяется как зона задержки роста тест-культуры, измеряемая в мм, вокруг диска, пропитанного исследуемым образцом. Результаты исследования антагонистической активности представлены в таблице 8.
Таблица 8 - Размеры зон задержки роста тест-культуры (мм) вокруг дисков, пропитанных исследуемыми образцами
|
Тест-культура |
Контроль |
Концентрация витамина, % |
|||||
|
В>2> |
В>6> |
В>12> |
|||||
|
1 |
0,5 |
1 |
0,5 |
1 |
0,5 |
||
|
S.tuphimurium S.aureus E.coli Proteus vulgaris |
16 27 13 15 |
16 22 15 16 |
17 23 17 18 |
16 29 18 16 |
16 30 19 19 |
16 28 16 17 |
17 29 18 18 |
Замечание: цифры – размеры зон угнетения роста (мм) патогенных микроорганизмов вокруг дисков, пропитанных исследуемыми образцами.
Из таблицы 8 видно, что исследуемые образцы кисломолочного продукта с добавлением витамина В влияют на рост и развитие патогенных микроорганизмов. Наибольшей антагонистической активностью обладает образец с добавлением витамина В>6 >0,5% (рис. 8).

Рисунок 8 - Размеры зон задержки роста (мм)
Выводы к экспериментальной части
1. Витамины группы В оказывают влияние на ход технологического процесса при производстве йогурта.
2. Витамин В оказывает влияние на динамику развития болгарской палочки.
3. Витамин В способствует нарастанию кислотности. Однако в течение 6 часов сквашивания кислотность не превышает 140°Т, что соответствует ТУ по данному продукту.
4. Добавление витаминов группы В позволяет сократить время сквашивания молока, накопить достаточное количество болгарской палочки и сократить сроки получения готового продукта при сохранении его вкусовых качеств.
5. Витамины В>2> и В>12> могут быть использованы в качестве пищевых красителей.
6. Исследования позволили выявить наиболее оптимальную концентрацию витамина В. Она составляет 0,5% по отношению к количеству сквашиваемого молока.
7. Увеличение концентрации витамина В до 1% снижает интенсивность накопления биомассы и увеличивает продолжительность технологического процесса;
8. Добавление витаминов группы В к исследуемым образцам способствует накоплению антибиотических веществ в готовом продукте, что приводит к подавлению роста патогенных микроорганизмов таких, как S. aureus, E. coli, S.tuphimurium и тд.
Литература
1. Ефремов В.В. Витамины в питании и профилактика витаминной недостаточности. − М.: Колос, 1983. − 207 с.
2. Букин В.Н. Витамин В>12> и его применение в животноводстве.− М.: Агропромиздат, 1991. − 218 с.
3. Давидов Р.Б. Молоко и молочные продукты в питание человека / Р.Б. Давидов, В.П. Соколовский. − М.: «Медицина», 1968. – 236 с.
4. Кугенев П.В. Молоко и молочное продукты.− М.:Россельхозиздат, 1985.− 80 с.
5. Сосина Н.В, Говорухин Г.Н. Витамины и микроэлементы в рационах скота и птицы. − М.:Россельхозиздат, 1989. − 200 с.
6. Крусь Г.Н. Методы исследования молока и молочных продуктов / Г.Н. Крусь, А.М. Шалыгина, З.В. Волокитина. – М.: Колос С, 2002. – 368 с.