Анализ системы маркетинга ООО "БН-Сервис"
1
Содержание
Введение 2
1. Маркетинг как система управления предприятием 4
1.1 Цель и задачи маркетинга на предприятии 4
1.2 Выбор метода ценообразования на предприятии 9
1.3 Процесс управления маркетинговой деятельностью в современных условиях 15
2. Анализ маркетинговой деятельности ООО «БН-Сервис» 23
2.1 Организационно-экономическая характеристика предприятия 23
2.2 Анализ маркетинговой деятельности предприятия 27
2.3 Совершенствование системы маркетинга на предприятии ООО «БН-Сервис» 39
Заключение 49
Список используемой литературы 51
Введение
Любое предприятие осуществляет свою деятельность не изолированно, а в условиях конкретной внешней среды. Маркетинг является тем инструментом, с помощью которого возможно успешное осуществление рыночной деятельности. Однако в реальной действительности часто оказывается, что предприятие не использует все возможности, предоставляемые маркетингом, мотивируя это нехваткой времени и средств, ненужностью или просто невозможностью в силу складывающихся объективных обстоятельств.
Работая в условиях рынка, нельзя забывать о том, что цена и ценовая политика для предприятия — главный элемент маркетинга. Именно поэтому разработке ценовой политики должно уделяться самое пристальное внимание со стороны руководства предприятия, желающего наиболее эффективно и долговременно развивать свою деятельность на рынке, так как любой ложный или недостаточно продуманный шаг немедленно сказывается на динамике продаж и рентабельности.
Для выбора эффективной конкурентной стратегии именно аспект взаимного применения и сочетания ассортиментной, сбытовой, ценовой, коммуникативной и кадровой стратегий является важнейшим. Выявление главных характеристик этих свойств позволяет определить ту часть информации, которую необходимо собрать и обработать в результате проведения маркетинговых исследований.
Для любой успешной фирмы маркетинговые исследования выступают как начало и логическое завершение любого цикла её маркетинговой деятельности. Они значительно уменьшают неопределенность при принятии важных решений, что позволяет эффективно распределять экономический потенциал для достижения новых высот в бизнесе.
Актуальность исследования заключается в том, что обеспечение эффективности производства в современных условиях на прямую зависит от того, насколько целесообразными и действенными являются методы и средства, используемые фирмой в разработке маркетинговой стратегии, и насколько они отвечают требованиям современного рынка. Для того чтобы добиться оптимального функционирования, предприятие должно выбрать хорошую стратегию, которая, в свою очередь, должна строиться на сильных позициях и использовании возможностей. Одной из главных стратегических задач предприятия является проблема выбора сфер бизнеса, в которых оно намерено осуществлять свою деятельность.
Цель работы – систематизируя теоретические основы практики управления, рассмотреть роль маркетинга в процессе управления предприятием ООО «БН-Сервис».
Методами исследования в курсовой работе являются: анализ экономических, правовых, статистических источников литературы; эмпирический, экономико-математический метод и другие.
Теоретической основой работы стали труды отечественных и зарубежных ученых экономистов и маркетологов – Ф.Котлера, М.Портера, О.Д.Волкогоновой, д.э.н. А.Н.Петрова, д.э.н. Р.А.Фатхутдинова.
Информационной базой работы послужили разработки отечественных и зарубежных ученых в области управления. При написании работы использовались учебные пособия и учебники по менеджменту, маркетингу, экономической теории, производственному менеджменту, монографии и научные статьи, а также учредительные документы, финансовая отчетность за 2007–2009 гг. предприятия ООО «БН-Сервис».
1. Маркетинг как система управления предприятием
1.1 Цель и задачи маркетинга на предприятии
Первые элементы маркетинга появились в XVII веке. Маркетинг зародился в США, с 1902 г. преподавался в университете. С 1906 г. маркетинг проник в бизнес, и появились специальные отделы. В 1926 г. в ССША была создана Национальная Ассоциация Маркетинга и Рекламы. В 1973 г. она переименована в Американскую Ассоциацию Маркетинга, президентом которой является Ф. Котлер. Как система управления на рынке маркетинг развивается по закону крупной монополии, требующей глубокого изучения рынка и поиска новых форм деятельности на рынке.
Маркетинг (англ. market – рынок) – это система управления деятельностью фирмы по разработке, производству и сбыту товаров на основе изучения рынка и в интересах получения прибыли. Сегодня существует более 2000 определений маркетинга. Приведем некоторые из них
маркетинг – вид человеческой деятельности, направленный на продвижение товаров и услуг от того, кто их производит к тому, кто в них нуждается посредством обмена [5].
маркетинг – это наука об управлении рынком, соединившая опыт лучших предприятий с достижениями математики, статистики, социологии, психологии, менеджмента [6].
маркетинг – это управленческая деятельность на рынке по планированию и реализации товарной, ценовой, коммуникативной политики, политики распределения и товародвижения [3].
маркетинг понимают сегодня с двух точек зрения [9, С.15]:
- как практическую управленческую деятельность на коммерческой фирме, осуществляемую службой или отделом маркетинга;
- как философию современного бизнеса, основанную на том, что успех в бизнесе связан с наличием потребителя, изучением и удовлетворением его нужд и потребностей.
Французский экономист Ж.Б. Сей в эпоху промышленной революции сформулировал основное правило управления бизнесом: снижать издержки на производство и реализацию продукции, чтобы увеличить прибыль.
Это правило «работало» в индустриальную эпоху, когда отрасли, рынки, ассортимент были стабильными. В современных условиях информационной эры фирмы должны уделять внимание реализации, сбыту, увеличению доходов, улучшению финансового состояния большее внимание, чем снижению издержек. Если фирма планирует выйти на рынок с традиционным товаром или видом услуг, то нужно знать, какого рода изменения в товаре интересуют потребителя, что представляет собой товар и цена конкурента, каковы перспективы работы на данном рынке. Далее предстоит работа с потребителем, разъясняя ему с помощью рекламы, как он выиграет от потребления данного товара. В индустриальную эру применяются два вида маркетинга:
- маркетинг, ориентированный на продукт;
- маркетинг, ориентированный на потребителя.
Оба эти вида маркетинга связаны с риском для производителя. Если фирма изготовила прекрасный продукт, то работа сделана на половину; его нужно реализовать и получить деньги от потребителя. В современную эпоху снизить риск первого вида маркетинга, можно только создав такой продукт, который положит начало формированию новой отрасли промышленности.
Второй метод маркетинга предполагает, что фирма максимально точно знает, что покупают отдельные потребители, причем эти знания получают не изучением статистики, а из первых уст, но и в этом случае работа сделана на половину, так как может появиться новый продукт. В информационную эру фирмы употребляют оба вида маркетинга – это интегрированный маркетинг и сущность его в том, что и продукт и потребитель создаются одновременно. Переход к интегрированному маркетингу привел к созданию новых организационных форм на предприятии.
Сущность маркетинга заключается в формуле: «производить то, что будет продано». В 1960 г. Д. Маккарти предложил концепцию «5P» как основной инструмент функционирования маркетинга, комплекс маркетинга, маркетинг-микс. (табл. 1.) [8, С. 148]
Таблица 1 - Концепция «5P»
|
PRODUCT |
Продукт, услуга, товарная политика фирмы. |
|
PLACE |
Место продажи, политика распределения и товародвижения. |
|
PRICE |
Ценовая политика. |
|
PROMOTION |
Коммуникативная политика, политика стимулирования сбыта. |
|
PUBLIC RELATIONS (P.R.) |
Формирование имиджа фирмы, благоприятной репутации в глазах общественности. |
В настоящее время ассоциации маркетинга созданы во всех странах. В России ассоциация маркетинга была создана в 1992 г.
Содержание маркетинга связано с его сущностью: изучением и удовлетворением нужд и потребностей целевого потребителя. Главное в содержании маркетинга – это двуединый подход: с одной стороны, это тщательное изучение рынка, спроса, вкусов и потребностей потребителя, ориентация производства на эти требования; с другой стороны, - это активное воздействие на рынок и существующий спрос, на формирование потребностей и покупательских предпочтений. Этим определяется основа маркетинга, содержание его основных элементов и функций.
Основные принципы маркетинга [9, С. 21]:
- сегментация – ориентация деятельности фирмы не на весь рынок в целом (один товар на всех потребителей), а на отдельные группы потребителей, целевые сегменты, предлагая каждому сегменту товар со своими характеристиками, качеством, ценами.
- адаптация – постоянное приспособление производства под изменяющиеся нужды и потребности потребителей;
- ориентация фирмы в бизнесе на долговременный результат.
- инновации – ориентация деятельности фирмы на нововведения – разработку новых товаров, методов сбыта, инструментов продвижения.
- учет возможностей фирмы.
Маркетинг требует управления. Под управлением маркетингом понимают анализ, планирование, претворение в жизнь и контроль за проведением мероприятий, рассчитанных на установление и поддержание обменов с целевыми покупателями ради достижения определенных задач организации, таких как получение прибыли, рост объемов сбыта, увеличение доли рынка. Задача управления маркетингом заключается в воздействии на уровень, время и характер спроса таким образом, чтобы это помогало организации в достижении стоящих перед ней целей, т.е. управление маркетингом - это управление спросом.
Управляющие маркетинга - это должностные лица фирмы, занимающиеся исследованием маркетинговой ситуации, претворением в жизнь намеченных планов и осуществляющие контрольные функции. Сюда относятся управляющие по сбыту и сотрудники службы сбыта, руководящие работники службы рекламы и стимулирования сбыта, исследователи маркетинга, управляющие по товарам и специалисты по проблемам ценообразования.
Существует пять разных подходов в управлении маркетингом:
1. Концепция совершенствования производства, которая утверждает, что потребители предпочитают товары с низкими ценами, следовательно, надо снижать затраты в производстве.
2. Концепция совершенствования товара исходит из того, что потребители предпочитают качественные товары и в этом случае стимулирование сбыта не требуется.
3. Концепция интенсификации коммерческих усилий базируется на том, что товары не будут покупать без значительных усилий в сфере сбыта и стимулирования.
4. Концепция маркетинга строится на утверждении, что фирма должна выявить с помощью исследований запросы и нужды точно очерченного рынка и обеспечить их желаемое удовлетворение.
5. Концепция социально-этического маркетинга провозглашает своим принципом достижение целей организации и ее способность обеспечить потребительскую удовлетворенность и долговременное благополучие и потребителя и общества в целом.
Практически деятельность маркетинга оказывает большое влияние на людей и в качестве покупателей, и в качестве продавцов, и в качестве рядовых граждан.
Цели маркетинга: максимально высокое потребление, достижение максимальной потребительской удовлетворенности, предоставление максимально широкого выбора, максимальное повышение качества жизни.
Эти цели решает маркетинговый цикл, который включает: маркетинговые исследования, маркетинговый синтез, стратегическое планирование, оперативное планирование и реализацию планов, контроль и информационное обеспечение.
Задачи маркетинга:
1. Исследование, анализ и оценка нужд реальных и потенциальных потребителей продукции фирмы в областях, интересующих фирму.
2. Маркетинговое обеспечение разработки новых товаров и услуг фирмы.
3. Анализ, оценка и прогнозирование состояния и развития рынков, на которых оперирует или будет оперировать фирма, включая исследование деятельности конкурентов.
4. Формирование ассортиментной политики фирмы.
5. Разработка ценовой политики фирмы.
6.Участие в формировании стратегии и тактики рыночного поведения фирмы, включая разработку ценовой политики.
7. Сбыт продукции и услуг фирмы.
8. Коммуникации маркетинга.
9. Сервисное обслуживание.
1.2 Выбор метода ценообразования на предприятии
Ценообразование на предприятии — сложный и многоэтапный процесс, состоящий из следующих блоков.
Выбор цели. Любая предприятие должно прежде всего определить цель, которую она преследует, выпуская конкретный товар. Если четко определены цели и положение товара на рынке, то проще и легче установить цену. Существуют три основные цели ценовой политики: обеспечение выживаемости, максимизация прибыли и удержание рынка.
Обеспечение выживаемости предприятия. Это главная цель предприятия, осуществляющего свою деятельность в условиях жесткой конкуренции, когда на рынке много производителей с аналогичными товарами. Эту цель предприятие выбирает в следующих случаях:
- ценовой спрос потребителей эластичен;
- предприятие желает добиться максимального роста сбыта и увеличения совокупной прибыли путем некоторого снижения доходов с каждой единицы товара;
- предприятие предполагает, что увеличение объема реализации сократит относительные издержки производства и сбыта;
- низкие цены отпугивают конкурентов;
- существует большой рынок потребления.
Для захвата большей доли рынка и увеличения объема сбыта используются заниженные цены - цены проникновения.
Прежде чем говорить о максимизации прибыли, следует обратить внимание на противоречивость этой цели. Предположение о том, что производители всегда пытаются максимизировать свою прибыль, верно только отчасти. Рассматривая небольшие промежутки времени, можно легко убедиться в том, что многие предприятия не пытаются получить максимальную прибыль, вполне довольствуясь приемлемым доходом, достаточным для возмещения затрат и начисления «нормальных» дивидендов на акции. Это объясняется во многом тем, что максимизация прибыли в краткосрочном аспекте вступает в противоречие с максимизацией прибыли на перспективу. Средние и крупные предприятия проявляют готовность снизить уровень текущей прибыли для того, чтобы получить большие прибыли в будущем. Для этого им необходимо закрепиться в определенной нише рынка, расширить по возможности его, постоянно обновлять основные средства и т.п. Все это несовместимо с политикой на увеличение краткосрочной прибыли. В небольших предприятиях, руководимых их владельцами, не слишком уверенными в своем будущем, пытающихся максимально использовать выгодную для себя конъюнктуру рынка, прибыль доминирует во всех решениях.
Цель, основанная на максимизации прибыли, имеет несколько разновидностей:
- установление фирмой стабильного дохода на ряд лет, соответствующего размеру средней прибыли;
- расчет роста цены, а следовательно, и прибыли в связи с ростом стоимости капиталовложения;
- стремление к быстрому получению первоначальной прибыли, если компания не уверена в благоприятном развитии бизнеса или ей не хватает денежных средств. Прибыль, к получению которой стремится предприятие, может исчисляться в относительном или абсолютном выражении.
Абсолютная прибыль - это доход, который получает продавец от реализации всех товаров за вычетом расходов. Относительная прибыль -рассчитывается на одно изделие. Таким образом, абсолютную прибыль можно получить и как произведение относительной прибыли на количество единиц реализованного товара. Разный товар имеет разную относительную прибыль. Так, товары первой необходимости (хлеб, молоко) имеют низкую относительную прибыль, а предметы, удовлетворяющие престижные потребности, обладающие высоким качеством, обеспечивают высокие относительные прибыли. Такие прибыли, как правило, опираются на престижные цели. Однако следует заметить, что общий высокий доход получают компании, использующие цены проникновения.
Выбирая цель, основанную на максимизации прибыли, предприятие дает оценку спроса и издержек применительно к разным условиям цен и останавливается на таких ценах, которые обеспечивают в будущем максимальную прибыль.
Цель, основанная на удержании рынка, состоит в сохранении фирмой существующего положения на рынке или благоприятных условий для своей деятельности. Предприятие предпринимает все возможные меры для предотвращения спада сбыта и обострения конкурентной борьбы.
Работая в таких условиях, компании тщательно следят за ситуацией на рынке: динамикой цен, появлением новых товаров, действиями конкурентов. Они не допускают чрезмерного завышения или занижения цен на свою продукцию и стремятся снижать издержки производства и сбыта.
Определение спроса — следующий этап установления цены. Нельзя устранить или отложить этот важный этап, так как совершенно невозможно рассчитать цену, не изучив спрос на данный товар. Однако следует иметь в виду, что высокая или низкая цена, назначенная фирмой, сразу не отразится на спросе на товар. Зависимость между ценой и соответствующим ей уровнем спроса отражена кривой. Кривая спроса показывает, что чем выше цена, тем ниже спрос. При прочих равных условиях покупатель с ограниченным бюджетом откажется от приобретения товара с высокой ценой, если ему будет предложен выбор альтернативных товаров. Однако это соотношение будет другим, если речь идет о сбыте престижных товаров. Практика показывает, что в ряде случаев потребители престижных товаров считают, что рост цен вызван улучшением качества, соответствием моде, в результате спрос растет.
Таким образом, спрос определяет верхний уровень цены, которую может установить предприятие. Также существенное влияние на цену оказывает поведение конкурентов и цены на их продукцию.
Пройдя все указанные этапы, предприятие может приступить к определению цены на товар. Оптимально возможная цена должна полностью возмещать все издержки на производство, распределение и сбыт товара, а также обеспечивать получение определенной нормы прибыли. возможны три варианта установления уровня цены:
- минимальный уровень, определяемый затратами;
- максимальный уровень, сформированный спросом;
- оптимально возможный уровень цены.
Наиболее распространенными являются следующие методы установления цен:
1. Метод установления цены на товар на основе издержек производства – широко используется в предпринимательской практике и отражает традиционную ориентацию на производство и в меньшей степени на рыночный спрос. Может осуществляться с использованием полных или предельных издержек производства.
2. Метод дохода на капитал также базируется на издержках производства продукции, а также на получении запланированного дохода на капитал. Метод основан на том, что к суммарным затратам на единицу продукции добавляется процент на вложенный капитал.
Основные преимущества этого метода заключаются в возможности учета платности финансовых ресурсов, необходимых для производства и реализации продукции. Однако в период инфляции ставки процентов за кредит имеют высокую степень неопределенности, что в значительной степени усложняет использование этого метода. Метод дохода на капитал предназначен для предприятий с большим ассортиментом выпускаемой продукции, часть из которой является новой для рынка.
3. Метод определения цен с ориентацией на спрос (иначе метод оценки реакции покупателей или потребительской оценки). Это один их самых оригинальных методов ценообразования, тек как все больше предпринимателей ориентируется при установлении цен не на издержки производства, а на восприятие товара потребителем.
Производитель исходит из того, что потребитель определяет соотношение между ценностью товара и его ценой и сравнивая его с аналогичными показателями конкурентов.
При этом методе, чем больше степень дифференциации товаров, тем больше эластичность приемлемых для потребителя цен. Товары могут дифференцироваться с учетом технических параметров, дизайна, вкуса, проводимой рекламной кампании надежности, долговечности, экономичности в эксплуатации послепродажного сервиса и т.п. С дифференциацией товаров тесно связана дифференциация рынка. Успешная реализация метода ценообразования основана на том, что производитель хорошо знает потребности своих потенциальных покупателей умеет привлечь внимание к специфическим качествам своего товара и реально оценивает возможных конкурентов.
4. Метод установления цены на уровне текущих цен сосредоточивает в себе, как принято считать «коллективную мудрость отрасли». Он применим на рынках чистой и олигополистической конкуренции. Предприятия-изготовители продукции исходят в этих условиях из факта конкуренции, устанавливая цену на товар чуть выше или чуть ниже уровня цены конкурентов. Если же товар действительно обладает какими-то новым качествами, отличными от товаров конкурентов, или воспринимается покупателями как обладающий новыми качествам, то производитель свободен в определении уровня цены и принимает во внимание уже существующие цены.
Установление окончательной цены - заключительный этап ценообразования. Остановив свой выбор на одной из перечисленных методик, предприятие может приступить к расчету цены, которая должна учитывать психологическое восприятие покупателем товара предприятия. Необходимо также учитывать реакцию конкурентов на предполагаемую цену. В последнее время все чаще перед предпринимателем встает задача страхования рыночной цены.
С этой целью в договоры купли-продажи или в договоры поставки вводится ряд оговорок.
Необходимость этого вызвана тем, что на рынок и уровень сбыта товаров влияют постоянно меняющиеся факторы (политическая нестабильность, общеэкономические факторы, истощение природных ресурсов, изменение экологической обстановки, демографическая ситуация и т. д.).
Постоянной заботой руководства предприятия является управление ценами на свою продукцию.
Оно осуществляется внесением соответствующих изменений в прейскуранты, оговорок в контракты, а также компенсации.
Для осуществления ценовой стратегии на рынке предприятие-производитель должна собрать и тщательно изучить обширную информацию.
Как правило, компании собирают информацию по следующим основным направлениям: рынок товара (тип конкуренции); отрасль промышленности, в которой действует предприятие; конкурирующие отрасли; правительственная деятельность.
Фирме-производителю прежде всего необходима информация о конкурентах и конкурирующих товарах, производстве и затратах, соотношениях между выручкой от реализации товара и прибылью, политике правительства в области экономики и предпринимательства.
Собирая и обрабатывая информацию по ценам, предприятие решить несколько задач: изучить рынок, на котором она продает свои товары; изучить все потенциальные возможности производимого товара; изучить свою и смежную отрасли для выявления существующих и потенциальных конкурентов; принять во внимание решения правительства по экономическим вопросам.
1.3 Процесс управления маркетинговой деятельностью в современных условиях
Каждая фирма заинтересована в эффективном управлении своей маркетинговой деятельности. Ей нужно знать, как анализировать рыночные возможности, отбирать подходящие целевые рынки, разрабатывать эффективный комплекс маркетинга и успешно управлять претворением в жизнь маркетинговых задач. Все это и составляет процесс управления маркетингом, элементы которого представлены на рис. 1.[12]

Рисунок 1 - Процесс управления маркетингом
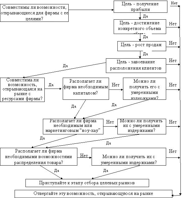
Оценку рыночных возможностей, с точки зрения целей и ресурсов фирмы, можно представить в виде схемы (рис. 2).
Фирме может показаться, что ее рыночные возможности ограничены, но это лишь подтверждает неумение мысленно увидеть будущее и осознать свои сильные стороны. Фирма может заняться выявлением новых рынков, используя, в частности, сетки развития товаров и рынка (рис. 3). С помощью данной сетки возможны следующие варианты:

Рисунок 2 - Оценка рыночной возможности, с точки зрения целей и ресурсов
|
|
Существующие товары |
Новые товары |
|
Существующие рынки |
1. Более глубокое проникновение на рынок |
3. Разработка товара |
|
Новые рынки |
2. Расширение границ рынка |
4. Диверсификация рынка |
Рисунок 3 - Выявление новых рынков с помощью сетки развития товара и рынка
1. Более глубокое внедрение на рынок, т.е. рост продаж имеющихся товаров уже существующей группе покупателей без внесения изменений в сам товар. Используются подходы: снижения цен, увеличения расходов на рекламу, расширение сети торговых точек, более заметная раскладка товаров и т.д.
2. Расширение границ рынка за счет изучения и завоевания новых сегментов.
3. Разработка товаров, предусматривающая предложение нового товара взамен существующего.
4. Диверсификация - одна из стратегий маркетинга, проявляющаяся в отказе от ориентации на единственный продукт или одну форму распределения и переходе на широкую номенклатуру товаров и множественность форм распределения.
Отбор целевых рынков состоит из четырех этапов:
- замеры и прогнозирование спроса;
- сегментирование рынка;
- отбор целевых сегментов;
- позиционирование товара на рынке.
Замеры и прогнозирование спроса предполагают выявление всех аналогичных товаров, продающихся на рынке, оценку объема их продаж и оценку будущего размера рынка. Сегментирование рынка - это процесс разбивки потребителей на группы на основе различий в нуждах и поведении. Сегмент рынка состоит из потребителей, одинаково реагирующих на один и тот же набор побудительных стимулов маркетинга.
При отборе целевых рынков можно использовать 5 возможных путей выхода на этот рынок, представленных на рис. 4, где И - интенсивность покупательской потребности, Г - возрастная группа потребителей. Японский опыт выхода на рынок предполагает освоение одного, обойденного всеми рынка, завоевание имени, а затем освоение новых сегментов и захват доминирующего положения. Крупные компании стремятся к полному охвату рынка. Оценить причины, почему покупатели приобретают один вид товара, а не другой (например аспирин - быстродействующий или медленнодействующий) помогает схема сравнения их свойств, с точки зрения покупателей, или схемы позиционирования товара.
Позиция товара соответствует восприятию покупателей, а не их действительности. Чем ближе расположены друг к другу марки товара, тем по мнению покупателей, они выглядят как удовлетворяющие одну и ту же нужду. Деятель рынка объединяет товары и потребительские предпочтения в сводную схему, которая показывает, что хотели бы приобрести покупатели.

Рисунок 4 - Пять способов охвата рынка
Комплекс маркетинга (рис. 5) включает 4 составляющих:
- товар;
- цена;
- методы распределения;
- методы стимулирования.
Иначе комплекс маркетинга - это набор поддающихся контролю переменных факторов маркетинга, совокупность которых фирма использует для вызова желательной ответной реакции со стороны целевого рынка.

Рисунок 5 - Четыре составляющих комплекса маркетинга
Претворение в жизнь маркетинговых мероприятий требует системы управления маркетингом, которая включает планирование маркетинга, состоящего из стратегического и тактического (текущего) планирования, организацию управления и контроль. Цель системы стратегического планирования - удостовериться, что фирма находит и развивает сильные производства и сокращает или вообще сворачивает слабые.
Под планированием маркетинга понимается разработка планов для каждого отдельного производства и рынка после того, как фирма приняла стратегическое решение относительно того, как поступать с каждым из своих производств. Фактически компания будет разрабатывать два плана: перспективный и годовой. Для реализации планов маркетинга создается на предприятии служба маркетинга по одной из ниже приведенных схем.
Самой распространенной схемой является функциональная организация службы маркетинга (рис. 6).

Рисунок 6 - Функциональная организация
Эта схема обладает простотой управления, однако по мере роста товарного ассортимента и рынков затрудняется составление планов по каждому товару и рынку и координация маркетинга фирмы в целом.
Для компаний, торгующих по всей территории страны, используется другой подход: координация по географическому принципу (рис. 7). Преимущество этой схемы в том, что торговые агенты могут жить в пределах обслуживаемых ими территорий, т.е. лучше узнавать клиентов и эффективно работать с минимальными издержками времени и средств на разъезды.
Фирмы с широкой товарной номенклатурой используют организацию по товарному или товарно-марочному производству. Организация по товарному производству не заменяет функциональной организации, а является еще одним уровнем управления (рис. 8).

Рисунок 7 - Организация по географическому принципу

Рисунок 8 - Организация по товарному принципу
Преимущества этой организационной структуры в том, что управляющие по товару, в том числе по второстепенным товарам, координируют весь комплекс маркетинга по своему товару, быстро реагируют на возникающие на рынке проблемы, и это хорошая школа для молодых руководителей. Недостатки в том, что часто возникают конфликты из-за недостаточности прав у управляющих по товарам и система обходится дороже, чем предполагается вначале.
Суть организационной структуры по рыночному типу в том, что вместо товара, управление организовано по рынкам сбыта (отраслям), как показано на рис. 9. Достоинство этой системы в ориентации фирмы на нужды потребителей, составляющих конкретные сегменты рынка.
Организация по товарно-рыночному типу или матричному принципу представлена на рис. 10. Система обладает преимуществами товарной и рыночной структур, однако основными ее недостатками являются большие затраты и частые конфликты. Однако большинство управляющих считают, что достоинства матричной системы перевешивают ее недостатки.

Рисунок 9 - Организация по рыночному типу

Рисунок 10 - Организация по матричному принципу
Для того, чтобы быть уверенным в эффективности деятельности фирмы, осуществляется маркетинговый контроль. Выделяют три типа маркетингового контроля:
- контроль за выполнением планов;
- контроль прибыльности;
- стратегический контроль;
2. Анализ маркетинговой деятельности ООО «БН-Сервис»
2.1 Организационно-экономическая характеристика предприятия
ООО «БН-Сервис» создано в 2007 г., в настоящее время является одним из ведущих предприятий на рынке г. Брянска в области монтажа, ремонта и технического обслуживания ККМ (контрольно-кассовых машин). Компанией открыты монтажно-торговые представительства во всех районах города Брянска.
Общество с ограниченной ответственностью «БН-Сервис» создано по решению общего собрания участников общества 8 июня 2007 года, в соответствии с Гражданским кодексом РФ и Федеральным законом РФ «Об обществах с ограниченной ответственностью», с целью ведения предпринимательской деятельности и получения прибыли.
ООО «БН-Сервис» является юридическим лицом, действует на основании Устава и закона РФ «Об обществах с ограниченной ответственностью» и в соответствии с ГК РФ. Единственным участником общества является физическое лицо, гражданин РФ, внесшее 100% уставного капитала.
Полное фирменное наименование - Общество с ограниченной ответственностью «БН-Сервис». Сокращенное наименование - ООО «БН-Сервис».
ООО «Метаком» зарегистрировано постановлением Администрации г. Брянска №658 10 июня 2007 года и расположено по адресу 241019, г. Брянск, ул. Щукина, 63.
Уставный капитал ООО «БН-Сервис» полностью состоит из номинальной стоимости долей участников общества, которые не отвечают по обязательствам общества и несут риск убытков, связанных с деятельностью предприятия, в пределах стоимости внесенного им вклада. Величина уставного капитала составляет 10 тыс. руб. и полностью внесена.
ООО «БН-Сервис» имеет в собственности обособленное имущество, учитываемое на его самостоятельном балансе, а также может от своего имени приобретать и осуществлять имущественные и неимущественные права, нести обязанности, быть истцом и ответчиком в суде. Высшим органом ООО «БН-Сервис» является его единственный участник – учредитель.
ООО «БН-Сервис» осуществляет свою деятельность в соответствии с действующим законодательством РФ, ФЗ «Об обществах с ограниченной ответственностью», Уставом общества. Целью деятельности предприятия является извлечение прибыли. ООО «БН-Сервис» для достижения уставных целей осуществляет следующие виды деятельности:
- предоставление услуг по монтажу, ремонту и техническому обслуживанию приборов и инструментов для измерения, контроля, навигации, испытания, локации и прочих целей;
- монтаж приборов контроля и регулирования технологических процессов;
- проведение пусконаладочных работ;
- техническое обслуживание и ремонт офисных машин и вычислительной техники;
- сервисное и постгарантийное обслуживание реализуемой продукции;
- посредническая деятельность;
- торгово-закупочная деятельность, оптовая и розничная торговля;
- комиссионная и коммерческая деятельность;
- маркетинг и брокерские услуги;
- иные виды деятельности, не запрещенные законодательством РФ.
Предметом деятельности исследуемого предприятия являются любые виды деятельности, не противоречащие целям деятельности общества и не запрещенные действующим законодательством РФ, в т.ч. осуществлении деятельности: в сфере материального производства и внепроизводственной сфере. Основным видом деятельности ООО «БН-Сервис» является обслуживание ККМ и ПО (Лицензия №Д411399, рег. №30014390 от 10.07.2007 г.)
ООО «БН-Сервис» имеет круглую печать, содержащую его полное фирменное наименование на русском языке и указание на место нахождения общества. Для осуществления текущей деятельности предприятием открыт расчетный счет в Брянском отделении ОСБ №8605 г. Брянска №40702810808000102763. Как юридическое лицо, ООО «БН-Сервис» зарегистрировано в ИМНС Советского района г. Брянска, ИНН 325007461.
С момента создания ООО «БН-Сервис» директором является Михалев С.В. Штатное расписание предприятия разрабатывается обществом и утверждается директором. Все документы денежного, материального, имущественного, расчетного, кредитного характера, отчеты и балансы подписываются директором» и главным бухгалтером.
Все выпускаемые товары и услуги предприятия сертифицированы, лицензированы и соответствуют ГОСТам, аттестован технический процесс производства (монтажа), осуществляется приемочный контроль качества продукции, работ, услуг. Выпускаемая продукция и услуги предприятия прошли государственные приемочные испытания, деятельность предприятия ООО «БН-Сервис» сертифицирована (Сертификат соответствия №РОСС RU АЕ68. В12922 выдан ЦГСМ г. Брянска и имеет юридическую силу на всей территории РФ). Планово ведутся конструкторско-технологические работы по совершенствованию и модернизации монтажных и ремонтных работ. Предприятие уверенно развивается, наращивая производственные мощности. Относительно его размера (опираясь на показатель численности и данные областного комитета статистики) ООО «БН-Сервис» является средним предприятием, основным видом его деятельности являются услуги по монтажу систем контроля и ограничения доступа.
Главными задачами ООО «БН-Сервис» в 2010 году являются:
- наращивание объемов оказанных услуг, выполненных работ за счет увеличения номенклатуры реализуемых ККМ;
- расширение сферы деятельности, за счет заключения централизованного договора с предприятиями г. Брянска на обучение и повышение квалификации продавцов-кассиров;
- освоение новых объектов и поиск новых заказчиков в крупных компаниях других отраслей промышленности;
- дальнейшая работа по снижению затрат предприятия за счет снижения расходов, оптимизации численности;
- рост рентабельности предприятия.
Основные экономические показатели деятельности ООО «БН-Сервис» представим в таблице 1.
Таблица 1
Основные экономические показатели деятельности ООО «БН-Сервис», 2007-2009 гг.
|
Показатель |
2007 г. |
2008 г. |
2009 г. |
динамика |
|
Величина основных фондов т. р. |
35 |
430 |
389 |
354 |
|
Величина оборотных средств т. р. |
375 |
3586 |
1414 |
1039 |
|
Оборачиваемость оборотных средств |
4,55 |
4,69 |
2,51 |
-2,03786 |
|
Расходы на оплату труда тыс. руб. |
777,4 |
1138,8 |
1247 |
469,6 |
|
Среднесписочная численность, чел. |
23 |
26 |
29 |
6 |
|
Среднегодовая заработная плата тыс. руб. |
33,8 |
43,8 |
43 |
9,2 |
|
Производительность труда руб/чел. |
74,22 |
646,31 |
122,59 |
48,36882 |
|
Издержки обращения тыс. руб. |
1471 |
12866 |
48 |
-1423 |
|
Фондоотдача |
48,77 |
39,08 |
9,14 |
-39,6326 |
|
Выручка тыс. руб. |
1707 |
16804 |
3555 |
1848 |
|
Валовая прибыль тыс. руб. |
236 |
3938 |
-46 |
-282 |
|
Чистая прибыль тыс. руб. |
179 |
2969 |
-46 |
-225 |
|
Собственный капитал тыс. руб. |
189 |
2523 |
1597 |
1408 |
Как видно у предприятия наблюдается нестабильность показателей финансово-хозяйственной деятельности: после резкого подъема в 2008 году, в 2009 г. наблюдается снижение показателей. Поэтому необходимо более подробно рассмотреть организацию деятельности предприятия, его ассортимент и возможность расширения хозяйственной деятельности с максимизацией прибыли.
2.2 Анализ маркетинговой деятельности предприятия
Среда внешнего воздействия – совокупность двух относительно самостоятельных подсистем – макроокружения (косвенные факторы) и непосредственного окружения (прямые факторы). Факторы прямого воздействия – факторы, которые влияют непосредственно на деятельность организации и оказывают наиболее сильное влияние (рисунок 8).

Рисунок 8 - Внешняя среда организации
Анализ внешней среды косвенного воздействия проведем с помощью PESTE-анализа (таблица 2). Оценку произведем по следующим критериям:
- оценка важности фактора для отрасли (Х): 3 – большое значение, 2 – умеренное влияние; 1 – слабое значение.
- оценка влияния на организацию (Y): 3 – сильное влияние, 2 – умеренное влияние; 0 – отсутствие влияния.
- оценка направленности влияния (Z): 1 – позитивная направленность, -1 – негативная направленность (угроза).
Для анализа выберем те факторы, которые оказывают наиболее существенное влияние: открывают дополнительные возможности или несут потенциальную угрозу.
Области значения влияний макросреды: (-441;-147) – неблагоприятное; (-147;147) – нейтральной; (147;441) – благоприятное.
Таблица 2 - Обобщение результатов оценки факторов косвенного воздействия внешней среды ООО «БН-Сервис»
|
Факторы |
Важность для СЗХ1 |
Влияние на организацию |
Направленность влияния |
Сила воздействия |
|
Х |
Y |
Z |
S=X+Y+Z |
|
|
Политические и правовые |
||||
|
1. Состояние законодательства |
2 |
2 |
1 |
5 |
|
2. Экономическая политика государства |
3 |
3 |
1 |
7 |
|
3. Внутриполитическая стабильность |
2 |
2 |
1 |
5 |
|
4. Международное сотрудничество |
1 |
0 |
1 |
2 |
|
5.Последствия внешнеполитических акций |
1 |
0 |
1 |
2 |
|
Итого |
9 |
7 |
5 |
21 |
|
Экономические |
||||
|
1. Уровень экономич-го развития страны |
3 |
2 |
1 |
6 |
|
2. Инфляция |
2 |
2 |
-1 |
3 |
|
3. Уровень доходов населения |
3 |
3 |
-1 |
5 |
|
4. Тенденции потребления населения |
3 |
3 |
-1 |
5 |
|
5. Система налогообложения |
2 |
2 |
-1 |
3 |
|
Итого: |
13 |
12 |
-3 |
22 |
|
Социальные |
||||
|
1. Культурные и нравственные ценности |
2 |
2 |
1 |
5 |
|
2. Уровень образования населения |
1 |
0 |
1 |
2 |
|
3. Стиль жизни |
2 |
2 |
1 |
5 |
|
4. Степень урбанизации |
2 |
2 |
1 |
5 |
|
5. Формы культуры |
1 |
0 |
1 |
2 |
|
Итого: |
8 |
6 |
5 |
19 |
|
Технологические и технические |
||||
|
1. Технологические изменения в отрасли |
2 |
2 |
1 |
5 |
|
2. Технол-е изм-я в смежных отраслях |
2 |
2 |
1 |
5 |
|
3. Внедрение современных ИТ |
2 |
2 |
1 |
5 |
|
4. Ужесточение требований безопасности |
3 |
3 |
1 |
7 |
|
5. Автоматизация оборудования |
2 |
2 |
1 |
5 |
|
Итого: |
11 |
11 |
5 |
27 |
|
Экологические |
||||
|
1. Природные ресурсы |
2 |
2 |
1 |
5 |
|
2. Климатические условия |
3 |
3 |
-1 |
5 |
|
3. Дефицитность отдельных ресурсов |
2 |
2 |
1 |
5 |
|
4. Уровень загрязненности |
3 |
3 |
-1 |
5 |
|
5. Источники сырья |
2 |
2 |
1 |
5 |
|
Итого: |
12 |
12 |
1 |
25 |
|
ВСЕГО: |
53 |
48 |
13 |
114 |
Политические факторы: несомненно предприятие ООО «БН-Сервис» зависит от законодательства и экономической политики государства, особенно от законов, регулирующих деятельность торговых предприятий (например, направленных на регулирование оборота денежной наличности). Международные отношения - несомненно предприятие должно использовать возможности для расширения рынков сбыта (например территория Брянской области).
Экономические факторы: предприятие ООО «БН-Сервис» не пользуется льготами по налогообложению, уровень доходов предприятий в городе не достаточно высок в связи с экономическим кризисом, поэтому покупательная способность достаточно низкая, хотя продукции и услугам предприятия ООО «БН-Сервис» отдается предпочтение по сравнению с подобными предприятиями. Несомненно факторы инфляции и уровня рентабельности предприятий-клиентов оказывают негативное влияние на предприятие. Тенденция потребительских предпочтений имеет отрицательное влияние, т.к. пока во многих случаях направлена на сокращение деятельности.
Социально-культурные факторы: в случае ООО «БН-Сервис» на его деятельность оказывают в общем умеренное влияние: культурные особенности страны; традиции, обычаи населения; демографическая обстановка в стране в целом опосредованно влияют на предприятие.
Научно- технический прогресс оказывает значительное влияние на предприятие ООО «БН-Сервис»: совершенствование техники, появление новых видов оборудования, внедрение новых ресурсосберегающих технологий способствует снижению издержек, большей информированности и оперативности; ужесточение требований безопасности способствует уменьшению травматизма при оказании услуг предприятием (в т.ч. и уменьшению страховых выплат).
Экологические факторы влияют на деятельность предприятия достаточно опосредовано. В целом производство и применяемые технологии не оказывают загрязняющего влияния на внешнюю среду, поэтому ООО «БН-Сервис» выступает в этом отношении как плательщик установленных законодательством РФ налогов и сборов.
В целом влияние косвенного воздействия внешней среды (114) попадает в область значений (-147;147), т.е. оказывает нейтральное влияние.
Анализ прямого воздействия внешней среды характеризует отрасль (рынок), на котором позиционируется объект исследования и осуществляется посредством анализа конкурентов, потребителей, поставщиков, профсоюзов, имеющих прямые деловые контакты с изучаемым предприятием. Для анализа внешней среды ближнего окружения используем модель пяти сил Портера, которая включает следующие факторы:
1. Производители аналогичной продукции (внутриотраслевая конкуренция).
2. Сила влияния поставщика.
3. Конкурентная сила покупателей продукта.
4. Сила потенциальных производителей аналогичной продукции.
5. Сила производителей товаров-заменителей.
Для обобщения результатов анализа составим таблицу 3.
Таблица 3 - Характеристика ООО «БН-Сервис» и его конкурентов
|
Показатели |
«БН-Сервис» |
«Торгтехника» |
«Борус» |
|
Ассортимент товаров |
3 |
2 |
2 |
|
Качество |
3 |
2 |
2 |
|
Цена |
3 |
2 |
2 |
|
Объем реализации |
2 |
3 |
1 |
|
Менеджмент предприятия |
2 |
2 |
1 |
|
Производственные мощности |
8 |
5 |
5 |
|
- по гибкости |
2 |
2 |
2 |
|
- потенциал |
3 |
2 |
1 |
|
- уровень износа |
3 |
1 |
2 |
|
Устойчивость финансовых отношений |
2 |
2 |
2 |
|
Клиентура |
2 |
2 |
2 |
|
Сырьевая база |
2 |
2 |
2 |
|
Организация сбыта |
2 |
2 |
2 |
|
Организация стимулирования продаж |
1 |
1 |
1 |
|
Итого: |
30 |
30 |
27 |
где: 3 - хороший показатель; 2 - средний показатель; 1 - удовлетворительный.
Главный конкурент ООО «БН-Сервис» - «Торгтехника» оказывает услуги не такого широкого ассортимента как исследуемое предприятие (ремонт только отечественных ККМ, нет продукции локации и навигации, более высокая степень износа помещений и оборудования), но за счет постоянной клиентуры, налаженной системы транспорта и более долгого осуществления деятельности в этой сфере занимает достаточно большую долю рынка. Все остальные предприятия конкуренты, в основном, являются торговыми, и не оказывают услуг.
Основные конкуренты ООО «БН-Сервис» – «Торгтехника»; ООО «Борус», ООО «Авангард». Цены на продукцию и услуги в этих фирмах незначительно отличаются от цен исследуемого предприятия, не все из них оказывают услуги и реализуют продукцию такого широкого ассортимента как ООО «БН-Сервис», но у многих из них хорошо развитая сбытовая сеть, свои розничные торговые помщения, постоянная клиентура.
Профсоюзы выполняют различные функции, но главная из них – борьба за повышение уровня заработной платы, профессиональную безопасность, улучшение условий труда. Т.к. ООО «БН-Сервис» является малым предприятием, профсоюза нет. Трудовые отношения между работником и ООО «БН-Сервис» строятся на основе трудового договора в соответствии с КЗОТом РФ. Это соглашение между трудящимися и предприятием, по которому трудящиеся обязуются выполнять работу по определённой специальности, квалификации или должности с подчинением внутреннему трудовому распорядку, а предприятие обязуется выплачивать трудящемуся заработную плату и обеспечить условия труда, предусмотренные законодательством о труде, коллективным договором и соглашением сторон.
Основными поставщиками контрольно-кассовой техники и прочих приборов являются ООО «Оптовик-торг», ООО «Гулливер», ОАО «Торгэкспо». Также предоставляют услуги – ОВО Советского района г.Брянска, воду ОАО «Брянский Горводоканал», тепло - ООО «Тепловые сети», связь - ОАО «Центртелеком».
Для обобщения результатов анализа внешней среды ближнего окружения составим таблицу 4.
Таблица 4 - Обобщение результатов оценки факторов прямого воздействия внешней среды ООО «БН-Сервис»
|
Факторы |
Влияние на организацию |
Направленность влияния |
Сила воздействия |
|
Y |
Z |
S=Y+Z |
|
|
Производители аналогичной продукции/услуг |
12 |
1 |
13 |
|
1. количество отраслевых организаций |
3 |
-1 |
2 |
|
2. темп развития рынка |
3 |
1 |
4 |
|
3. степень дифференцированности товара/услуг |
3 |
1 |
4 |
|
4. сложность выхода из бизнеса |
1 |
1 |
2 |
|
5. вхождение сильных компаний из других отраслей |
2 |
-1 |
1 |
|
Сила влияния поставщика |
9 |
5 |
14 |
|
1. соотношение спроса и предложения |
2 |
1 |
3 |
|
2. количество фирм-поставщиков и уровень конкуренции между ними |
3 |
1 |
4 |
|
3. доля закупок у данного поставщика от общего объема закупок |
2 |
1 |
3 |
|
4. степень уникальности сырья |
1 |
1 |
2 |
|
5. наличие товаров заменителей |
1 |
1 |
2 |
|
Конкурентная сила покупателей продукта: способность требовать наличия определенных потребительских свойств у продукта/услуги и формировать спрос на него |
2 |
1 |
3 |
|
Сила потенциальных производителей аналогичной продукции |
5 |
2 |
7 |
|
1. возможность переключить покупателя на свою продукцию/услуги |
3 |
1 |
4 |
|
2. высота входного барьера в отрасль |
2 |
1 |
3 |
|
Сила производителей товаров/услуг-заменителей |
4 |
0 |
4 |
|
1. вероятность переключения потребителя на заменитель товара/услуги |
2 |
-1 |
1 |
|
2. зависимость вероятности переключения от стоимости процесса |
2 |
1 |
3 |
|
ИТОГО |
32 |
9 |
41 |
Потребители – население, организации и фирмы:
- физические лица (в основном индивидуальные предприниматели);
- организации-покупатели – ООО «Вист-Сервис», ЗАО «ФАРМ», ООО «Нестле».
В целом влияние прямого воздействия внешней среды попадает в область значений (15;45), т.е. оказывает благоприятное влияние.
Внутреннюю среду ООО «БН-Сервис» исследуем с использованием SNW-анализа – усовершенствованного анализа сильных и слабых сторон по сравнению со средневзвешенным рыночным состоянием:
Основными технико-экономическими показателями организации ООО «БН-Сервис» являются: отпускаемые ею в розничную продажу ККМ и технические приборы, а также услуги по гарантийному и постгарантийному обслуживанию, ремонту, пуско-наладочные работы, обучение персонала. Проанализировав эти показатели можно сказать, что с каждым годом наблюдается их рост. Следует отметить, что предприятие ООО «БН-Сервис» достаточно уникально на рынке организации технического оснащения торговых предприятий:
- новое оборудование и высококвалифицированный персонал соответствуют всем современным требованиям для организации успешной деятельности;
- при реализации технической продукции (в т.ч. ККМ, приборов навигации и локации) происходит постоянное обновление и расширение ассортимента за счет появления новых видов технических приборов;
- ассортимент реализуемой продукции носит широкий потребительский характер и отличается достаточно низкими ценами;
- обучение торгового персонала пока недостаточно развито, но у предприятия уже сформировалась постоянная клиентура;
- также привлекает клиентов и организация ремонта, гарантийного и постгарантийного обслуживания.
Также положительно влияет на формирование покупательского спроса тот факт, что коллектив предприятия всегда вежлив, корректен, предупредителен. Организована охрана территории предприятия.
Как отрицательный факт стоит отметить некомпетентность руководства предприятия, экономических служб при организации сбытовой политики. Практически не развита реклама продукции и услуг, оплата покупателями (юридическими лицами) производится хотя и полностью, но сроки оплаты не всегда соответствуют условиям договоров купли-продажи и обычаям делового оборота, а нередко превышают установленные 14 дней для оплаты товаров и услуг.
Некомпетентность руководства проявляется и в отсутствии на предприятии инвестиционной и финансовой деятельности, свободные денежные средства не приносят дополнительный доход (получаемый при вложении их в различные проекты, ценные бумаги и т.д.), а наоборот изымаются из оборота в виде дебиторской задолженности и сверхнормативных запасов сырья и материалов. Также играет отрицательную роль не совсем удачное расположение предприятия в городе. У ООО «БН-Сервис» есть два автомобиля и водители, которые организуют доставку клиентам продукции. Используется мобильная телефонная связь.
В то же время, как положительный факт, следует отметить, что предприятие сохраняет свое место на рынке, обеспечивает высокую социальную защищенность своим работникам, вполне кредитоспособно и, самое главное, у предприятия ООО «БН-Сервис» есть резервы роста и повышения эффективности хозяйственно-экономической деятельности.
Анализ внутренней среды осуществляется по направлениям: менеджмент, маркетинг, производство, финансы, НИОКР, персонал. Результаты анализа представим в таблице 5. Мониторинг внешней и внутренней среды дает возможность структурировать информацию, так или иначе связанную с деятельностью.
В дополнение к таким фундаментальным методам, как системный анализ, целевой и ситуационный, применяется метод SWOT-анализа — оперативный диагностический анализ предприятия и его среды. Анализ среды предприятия осуществляется с целью: выявления в его потенциале силы (S); выявления в ее потенциале слабости (W); установления возможностей (О), предоставляемых организации ее внешней средой; выявления угроз (Т) для предприятия со стороны внешней среды.
Таблица 5 - Обобщение результатов оценки внутренней среды
|
Области компетенции предприятия |
Экспертная оценка (определение позиции) |
||
|
Сильная |
Нейтральная |
Слабая |
|
|
Менеджмент |
|||
|
1. уровень управленческой подготовки руководителей организации |
х |
||
|
2. опыт руководителей в практической работе по управлению |
х |
||
|
3. распределение ответственности и полномочий между руководителями |
х |
||
|
4. степень мотивации руководителей проекта и рядовых исполнителей |
х |
||
|
5. имидж предприятия в глазах общественности |
х |
||
|
Маркетинг |
|||
|
1. наличие понятной маркетинговой концепции |
х |
||
|
2. степень восприятия концепции руководством и работниками |
х |
||
|
3. проведение маркетинговых исследований |
х |
||
|
4. наличие стратегий по 5-Р и т.д. |
х |
||
|
Производство |
|||
|
1. наличие производственной базы |
х |
||
|
2. наличие разработанной конструкторской документации |
х |
||
|
3. наличие разработанной технологии производства |
х |
||
|
Финансы |
|||
|
1. ликвидность/платежеспособность |
х |
||
|
2. рентабельность |
х |
||
|
3. оборачиваемость |
х |
||
|
4. финансовая устойчивость |
х |
||
|
5. наличие обоснованного финансового бюджета |
х |
||
|
6. наличие внешних источников финансирования |
х |
||
|
7. репутация организации как заемщика |
х |
||
|
8. возможность размещения свободных средств |
х |
||
|
НИОКР |
|||
|
1. уровень специальных знаний коллектива |
х |
||
|
2. опыт внедрения научных разработок |
х |
||
|
3. уровень знания достижений в области функционирования предприятия |
х |
||
|
4. наличие финансовой и ресурсной базы |
х |
||
|
Персонал |
|||
|
1. возрастной и образовательный уровень работников |
х |
||
|
2. степень допуска исполнителей к принятию решения |
х |
||
|
3. наличие системы отбора кадров |
х |
||
|
4. наличие системы мотивации персонала |
х |
||
|
5. наличие системы аттестации персонала |
х |
||
|
6. умение сотрудников работать в команде |
х |
||
|
7. наличие системы обучения персонала |
х |
1. Поле SO - «сила-возможности». Фиксируются те сильные стороны потенциала организации, которые обеспечивают ей использование представившихся возможностей.
2. Поле ST - «сила-угрозы». Фиксируются те слабые стороны; потенциала организации, которые не дают шанса использовать предоставившиеся возможности. Могут рассматриваться стратегии развития потенциала.
3. Поле WT - «слабость-угрозы». Это наихудшее сочетание для организации. Снижение угроз возможно лишь разработкой стратегий развития потенциала.
4. Поле WO - «слабость - возможности». Руководству организации следует определить целесообразность использования возможностей при наличии слабых сторон или целесообразность поиска стратегии развития потенциала.
В результате SWOT-анализа получился необходимый материал для планирования дальнейшей деятельности по преодолению недостатков и реализации рыночных преимуществ предприятия ООО «БН-Сервис» с учётом выявленных возможностей и угроз. Построим матрицу SWOT-анализа предприятия ООО «БН-Сервис» (таб. 6)
Как видно из таблицы 6, предприятие имеет ряд сильных сторон, выгодно отличающих его от конкурентов. Самые главные из них – высокое качество реализуемой продукции, в т.ч. и собственного производства и хорошее состояние материально-технической базы, а также широкий ассортимент предоставляемых услуг.
Таблица 6 - SWOT-АНАЛИЗ ООО «БН-Сервис»
|
Сильные стороны - Удержание определенного рынка - Высокое качество продукции и услуг - Большой запас финансовой устойчивости - Новое оборудование и здание - Разнообразие предоставляемых услуг |
Слабые стороны - Усиление государственного регулирования торговли, ужесточение законодательства по обращению денежной наличности - Удаленность от крупных предприятий, плохая транспортная и телефонная связь |
|
Возможности - Получение дополнительных доходов от финансовой и инвестиционной деятельности - Внедрение нового вида услуг – обслуживание на местах – у предприятий-клиентов - Формирование постоянной клиентуры |
Опасности - Неразвитость маркетинговой деятельности - Устаревание оборудования - Высокая конкуренция - Снижение темпов роста - Потеря квалифицированного персонала |
Также предприятие ООО «БН-Сервис» обладает набором возможностей, которые могут способствовать укреплению позиции предприятия на рынке – расширение ассортимента, увеличение объемов производства, привлечение дополнительных источников финансирования и использование собственных средств. Предприятие вполне может получать дополнительные доходы, инвестируя временно свободные денежные средства. Также стоит отметить, что для торговых предприятий и индивидуальных предпринимателей г.Брянска вопрос соблюдения кассовой дисциплины остается наиболее актуальным.
Предприятие ООО «БН-Сервис» может, наладить сотрудничество с такими предприятиями города как ОАО «Электроаппарат», «111 завод ЖД и военной техники» расширять ассортимент не ввозя продукцию из других городов России, оказывать несложные технически и не требующие больших затрат услуги по месту нахождения торговых точек предприятий-клиентов организовав за счет имеющейся машины доставку техника-ремонтника.
Формирование постоянной клиентуры для ООО «БН-Сервис» можно обеспечить также системой скидок и рекламы. Основную направленность при формировании клиентуры можно сформулировать следующим образом:
- организации-поставщики, можно проводить ремонт и техническое обслуживание в счет оплаты за поставленную продукцию, т.е. использовать взаимозачет, что существенно снизит издержки предприятия;
- организации и предприятия г. Брянска, стоит провести рекламную компанию, пригласив представителей этих предприятий;
- разработка системы скидок при проведении мероприятий для большого количества клиентов (прибыль за счет увеличения объема продаж) и для постоянных клиентов (например приезжающих больше трех раз в месяц);
Слабые стороны – необходимо правильно разработать инвестиционную и инновационную политики, систему маркетинга – для улучшения связей с потребителем, увеличения возможностей организации для расширения производства. Угрозы имеют как внутренний, так и внешний характер, и предприятие не может оказать на последние существенного влияния. Потеря хоть одного члена коллектива приведет к дополнительным расходам по набору и обучению нового персонала, особенно страшна потеря поваров и зав. производством. Удержать работников можно только высокими социальными гарантиями, материальным стимулированием и развитием организационной культуры.
Поэтому надо разработать альтернативные варианты действий на случай усиления влияния какого-либо негативного внешнего фактора – использование внутренних резервов, ускоренная амортизация оборудования и постепенная замена его новым (устаревшее оборудование продать розничным предприятиям, медицинским и оздоровительным учреждениям, но не ниже остаточной стоимости), новое оборудование даст возможность повышения рентабельности, привлечение на работу профессионалов высокого класса для повышения уровня оказываемых услуг.
2.3 Совершенствование системы маркетинга на предприятии ООО «БН-Сервис»
Разработка миссии ООО «БН-Сервис».
1. Базис конкурентоспособности предприятия:
- большой ассортимент продукции и услуг;
- постоянный спрос на продукцию/ услуги;
- налаженный процесс производства, не требующий сложного оборудования;
- высокое качество продукции/услуг, контроль качества;
- средние затраты на производство;
- сформировавшийся рынок сбыта;
- высокая социальная защищенность работников;
- устойчивое финансовое состояние;
- сравнительно новая материально-техническая база;
- резервы роста и повышения эффективности хозяйственно-экономической деятельности.
2. Конъюктура рынка:
- масштаб рынка – предприятия г. Брянска, индивидуальные предприниматели;
- наличие полностью платежеспособного спроса сбалансировано предложением как со стороны ООО «БН-Сервис», так и других предприятий отрасли;
- тип рынка – конкурентный;
- динамика рынка: спрос на услуги и продукцию предприятия практически не меняется (наблюдаются только сезонные колебания), но меняются предпочтения покупателей, ассортимент (появление новых видов);
- степень деловой активности ООО «БН-Сервис» ниже, чем у основных конкурентов, предприятие ориентировано на торговые розничные предприятия города;
- сила и размах конкурентной борьбы: в производственном плане основные конкуренты ООО «БН-Сервис» производят продукцию, оказывают услуги достаточно схожего ассортимента и по достаточно близким ценовым параметрам;
- степень государственного регулирования – ФЗ «О защите прав потребителей», ГК РФ в части исполнения хозяйственных обязательств и др., регулирование наличного денежного обращения и «Порядок ведения кассовых операций в РФ», ООО «БН-Сервис» использует дополнительные льготы перейдя на режим упрощенной системы налогообложения;
- условия реализации товаров: 40% выручки ООО «БН-Сервис» получает реализуется продукцию и услуги покупателям – ИП за наличный расчет с применением контрольно-кассовых машин; 60% выручки ООО «БН-Сервис» поступает от покупателей - юридических лиц по безналичному расчету. Договорами купли-продажи предусмотрена рассрочка платежа (14 дней).
3. Способствующие факторы со стороны государства – социальная направленность государственной экономической политики. Противодействующие факторы – достаточно низкий уровень доходов населения, снижение эффективности деятельности предприятий-клиентов в связи с общим экономическим кризисом.
4. Субъективные ценности и принципы со стороны:
- собственника ООО «БН-Сервис» (учредителей) – получение прибыли, расширение сферы деятельности, стабильный рост и развитие предприятия;
- менеджеров - разработка, организация производства и реализации продукции, оказания услуг, позволяющей качественно использовать труд персонала, извлечение прибыли в интересах учредителей с целью развития и укрепления материальной базы ООО «БН-Сервис», предоставление потребителям широкого спектра работ, услуг и товаров, производимых обществом, с приоритетностью для постоянных клиентов.
- персонала – высокий уровень доходов, безопасность труда, социальные гарантии, повышение престижа работы.
5. Проанализировав полученную в ходе настоящего исследования информацию, можно утверждать, что миссия предприятия ООО «БН-Сервис» может быть разработана и приемлема для всех участников предприятия (собственника, руководства, работников).
Развернутая форма миссии:
- потребитель может получить качественную, дешевую продукцию, услуги, которые будет отвечать современным требованиям;
- партнерами ООО «БН-Сервис» могут выступить учебно-производственные комбинаты (подготовка кадров);
- отношения с конкурентами – акцентирование на качестве и цене собственной продукции/ услуг, проведение рекламной
- собственник получит повышение рентабельности предприятия, рост выручки, а соответственно прибыли;
- менеджеры получат расширение рынков сбыта, развитие предприятия, возможность собственного профессионального роста, при замене оборудования на новое – повышение безопасности производства и увеличение выпуска продукции, снижение затрат на производство;
- персонал получит более высокую заработную плату, безопасные условия труда, повышение престижности профессии.
- общество в целом может получить вполне конкурентоспособное предприятие, оказывающие услуги как в сфере организации торгового процесса, так и ремонтные услуги, с перспективой развития рынка тороговой техники.
- у государства появится новый вполне платежеспособный товаропроизводитель, обеспечивающий занятость.
Разработка общекорпоративных целей (рис. 3).

Рисунок 3 - Дерево целей ООО «БН-Сервис»
Рыночные цели - краткосрочные и должны быть реализованы в течение 1 года. Производственные цели, связанные с ростом показателей хозяйственно-экономической деятельности также краткосрочные, развитие собственной розничной торговой сети – среднесрочная, цели, связанные с инвестированием и строительством – долгосрочные. Организационные цели – среднесрочные.
Разработка маркетинговой стратегии ООО «БН-Сервис».
Под стратегией понимается общая концепция того, как достигаются главные цели предприятия, решаются стоящие перед ним проблемы и распределяются необходимые для этого ограниченные ресурсы. Стратегия представляет собой совокупность управленческих решений, отражающих реакцию организации на внешние и внутренние условия. В стратегию входят следующие элементы: система целей (миссия, общеорганизационные и специфические цели); приоритеты распределения ресурсов; правила осуществления управленческих действий; представление о деятельности конкурентов; внутренние и внешние ограничения; курс и программа действий; ситуационные стратегии и финансовый план.
Определим количество стратегических зон хозяйствования по формуле:
NСЗХ = Mпотребн.
Kтехнол.
Lтипклиен.
Sгеографпотреб.
где NСЗХ - количество стратегических зон хозяйствования; Mпотребн. - количество потребностей; Kтехнол. – количество технологий; Lтипклиен. – количество типов клиентов; Sгеографпотреб. – количество географических рынков.
В случае ООО «БН-Сервис»: NСЗХ =
1
2
2
1
= 4
Mпотреб.= 1 – стабильный рост и развитие предприятия; Kтехнол= 2 типа технологии производства (реализация продукции и услуги по ремонту и техобслуживанию); Lтипклиен=2 типа клиентов (физические юридические лица); Sгеографпотреб= 1 географический рынок (город).
Выбор эталонной и конкурентной маркетинговой стратегии осуществляется путем анализа ресурсов, рисков и времени. Сведем выбранные стратегии для ООО «БН-Сервис» в таблицу 7.
Таблица 7 – Конкурентные стратегии ООО «БН-Сервис»
|
Продукт/бизнес |
Стратегическая альтернатива |
Эталонная стратегия |
Конкурентная стратегия |
|
Реализация ККМ и технического оборудования |
Рост |
Усиление позиций на рынке |
Лидерство в области затрат |
|
Оказание услуг по ремонту и техобслуживанию |
Рост |
Развитие рынка |
Стратегия дифференциации |
|
Организация обучения |
Рост |
Развитие рынка |
Дифференциация |
Данные таблицы 7 еще раз подтверждают правильность выводов исследования ООО «БН-Сервис» и выбранной цели деятельности предприятия - «стабильное развитие».
Стратегия лидерства по издержкам не совсем подходит для ООО «БН-Сервис», у предприятия достаточно высокая себестоимость изделий. А стратегия дифференциации означает, что необходимо чем-то отличаться от других. Ключом к успеху при проведении дифференциации является уникальность, которая ценится покупателями (для продукции предприятия это: скидки, постгарантийное обслуживание, высокое качество, разнообразие, консультации и пр.).
Стратегия дифференциации для предприятия ООО «БН-Сервис» подразумевает: ориентацию на самый широкий круг потребителей; предложение за дополнительное вознаграждение сотрудникам привлекать клиентов по собственным каналам; введение дополнительных видов услуг (выезд к клиентам по заявкам на ремонт и пр.), что привлечет новых клиентов; целенаправленная рекламная компания для создания системы ценностей у конечного потребителя (продажа и сопровождение до выбытия купленной техники), организация скидок для постоянным клиентам; повышение имиджа и престижа предприятия среди покупателей; создание качеств продукции и услуг, привлекающих потребителя.
Разработаем комплекс маркетинга 5-Р (план-маркетинг) по каждому направлению деятельности ООО «БН-Сервис» (таб. 9). Составим финансовый план на осуществление намеченных маркетинговых мероприятий (таб. 10).
По данным таблицы 10 заслуживают внимания два факта:
- общая сумма затрат на реализацию маркетинговой стратегии ниже суммы чистой прибыли, полученной ООО «БН-Сервис» за 2009 г., т.е. предприятие вполне может позволить себе такие затраты, не понеся при этом убытков.
- 11500 руб. или 48,9% от суммы затрат составляют затраты на модернизацию оборудования, т.е. капитальные затраты.
Таблица 9 - План-маркетинга ООО «БН-Сервис»
|
Мероприятия/ характеристики |
Реализация ККМ и прочей техники |
Услуги по ремонту и постгарантийному обслуживанию |
Услуги по обучению торгового персонала |
|
Product – формирование товарной стратегии |
|||
|
Характеристики, создающие ценность товара |
Постоянный спрос |
Постоянный спрос |
Постоянный спрос |
|
Уникальные свойства продукта |
Возможность учета мнения заказчика |
Выезд на места торговли |
Выдача свидетельств |
|
Марка (бренд) |
ОКА, Siemens, Баруд |
- |
- |
|
Упаковка |
заводская |
||
|
Price – формирование ценовой стратегии |
|||
|
Выбор ценообразования |
Ориентация на спрос |
Ориентация на издержки |
Ориентация на спрос |
|
Построение ценовой линии |
Следование за рыночными ценами |
Затратный метод |
Следование за рыночными ценами |
|
Компенсирование инфляции |
Да, рост цен на товары и услуги в течение года не меньше 10% |
||
|
Дифференцированные цены (в разных системах скидок) |
да |
да |
да |
|
Place – формирование стратегии сбыта и дистрибьюции |
|||
|
Стратегия «открытых дверей» |
да |
да |
да |
|
Прямые продажи потребителям |
100% |
100% |
100% |
|
Promotion – формирование стратегии стимулирования сбыта |
|||
|
Реклама, размещение рекламы |
Реклама в транспорте и СМИ, штендеры |
||
|
Директ-маркетинг |
нет |
нет |
нет |
|
Public relations – формирование имиджа и репутации предприятия в глазах общества |
|||
|
Редакционные материалы в СМИ |
Публикации в изданиях типа «семейные еженедельники», например «Десница», «Моя реклама» |
||
|
Семинары, приемы |
да |
нет |
да |
|
Спонсорские акции |
Льготы для инвалидов |
На основании проведенного анализа предлагаю следующие инновационные услуги для совершенствования развития предприятия:
1. Создание собственного WEB-сайта предприятия, где будет размещена вся информация касающееся предприятия и ассортимента продукции и услуг. В качестве дополнительной информации на сайте будет размещено следующее: посетителям сайта представляется возможность заказать заранее необходимое техническое оборудование и выбрать способ обслуживания.
2. Создание информационного терминала. Данная услуга будет направлена на привлечение клиента за счет эффективности и скорости обслуживания в виде информационного обеспечения. Эта услуга предоставляется в виде терминала с полной матрицей ассортимента услуг, что обеспечит увеличение качества и скорости обслуживания клиентов. Для удобства обслуживания за терминалом будет закреплен консультант данной системы.
Таблица 10 - Ориентировочные затраты на реализацию маркетинговой стратегии (в течение года)
|
Затраты |
Сумма (ориентировочно) |
|
НИОКР (продукт/услуга) – освоение новых видов ККМ, - повышение классности техников-ремонтников, - устройство консультационного терминала, - оборудование для ремонта и продажи штриховочно-кодировочных сканеров |
7000 руб. До 500 руб. До 5000 руб. До 5000 руб. До 1500 руб. |
|
Реклама (в т.ч. разработка фирменного стиля) |
Не более 10000 руб. возможность оказания рекламных услуг по взаимозачету |
|
Продвижение |
Не более 2500 на скидки. |
|
Public relations |
Не более 1500 руб. (услуги по себестоимости для инвалидов) |
|
Заработная плата |
Не более 2500 руб. или процент участия в прибыли предприятия, от привлечения клиентов по личным каналам |
|
Итого |
23500 руб. |
К задачам консультанта предписано следующее: консультирование клиентов базы отдыха; оказание помощи в поиске нужной группы услуг, оборудования; следить за правилами техники безопасности при работе с данным оборудованием; периодически проводить обновление ассортимента (например меню) и т.д.
Уникальность данной технической, а также информационной услуги заключаться в следующем. Во-первых: это поможет сократить время поиска - покупателю достаточно будет обратиться к консультанту, указать интересующую его услугу и через несколько секунд ему будет представлена вся информация касающиеся искомого товара: там будет указана цена, возможное время использования, обслуживающий персонал и пр. Во-вторых: можно сделать предварительный заказ. Это удобно и просто, так как клиент видит, что он именно заказывает: указывается цена, состав и визуальное представление услуги в виде фотоиллюстрации. Предполагаю разместить терминал в фойе возле стойки администратора.
Объединив все предложенные мероприятия можно сформировать стратегию, которая будет заключаться в следующем: сохранение существующих и привлечение новых клиентов. Иными словами стратегия будет направлена на расширение деятельности, что позволит увеличить объем продаж услуг ООО «БН-Сервис», следовательно, и прибыль. За счет стратегии можно будет повысить конкурентоспособность, привлекая клиентов, тем самым укрепить свои конкурентные преимущества, не смотря на сильно развитую конкуренцию.
Для реализации данной стратегии потребуются финансовые вложения в размере 150 тыс. руб. Расчет эффективности реализации стратегии:
Таблица 11 - Срок окупаемости стратегии
|
шаг, месяц |
0 |
1 |
2 |
3 |
4 |
5 |
6 |
7 |
8 |
9 |
10 |
11 |
12 |
|
чистый денежный поток, т.р. |
-150 |
3,605 |
4,5 |
8,9 |
14,95 |
18,36 |
17,58 |
15,58 |
12,69 |
15,39 |
14,59 |
11,23 |
16,36 |
|
сальдо накоплен-ного денежного потока, т.р. |
-150 |
-146,4 |
-141,9 |
-133 |
-118,05 |
-99,69 |
-82,11 |
-66,31 |
-53,62 |
-38,23 |
-23,69 |
-12,37 |
10,15 |
Из таблицы видно, что срок окупаемости проекта составляет 1 год. На поступление и увеличение денежных средств будет влиять численный поток покупателей. Чистая текущая стоимость стратегии:
NPV = 88474,3/(1+0,12)1-150 = 78844,9 тыс. руб.
Индекс прибыльности: PI = (88474,3/(1+0,12)1)/150 = 526,6 тыс. руб.
По итогам расчетов видно, что применение данной стратегии никак не отразится на финансовом положении предприятия, т.е. внедрение стратегии покажет только положительный результат. Индекс рентабельности больше 1 (PI > 1), следовательно, стратегию следует применять.
Заключение
В ходе выполнения данной работы была маркетинговая деятельность на предприятии ООО «БН-Сервис», проведено маркетинговое исследование. В ходе анализа были сформулированы следующие выводы:
Целью ООО «БН-Сервис» является расширение рынка товаров и услуг, а также извлечение прибыли. Предметом деятельности предприятия является: реализация ККМ и ПО, гарантийное и постгарантийоное обслуживание, обучение и повышение квалификации торгового персонала предприятий-клиентов.
Основными рынками сбыта продукции и услуг ООО «БН-Сервис» являются: г. Брянск: преимущественно юри дические лица и индивидуальные предприниматели.
Основными конкурентами по обслуживанию и реализации ККМ и прочей техники являются: «Авангард»; ООО «Борус», Брянскторгтехника.
От своих конкурентов ООО «БН-Сервис» выгодно отличается более разнообразным ассортиментом реализуемых ККМ, возможностью выезда мастера на места установки ККМ, т.е. на торговые точки предприятий-клиентов, постгарантийным обслуживанием, возможностью предоставления скидок постоянным покупателям.
Следует отметить, что предприятие ООО «БН-Сервис» достаточно уникально на рынке технического обслуживания ККМ, тем не менее, следует отметить достаточно высокий уровень конкуренции на этом рынке, значительное законодательное регулирование кассовых операций на территории РФ, т.е. большое количество нормативных документов и строгие требования к реализации и техническому обслуживанию ККМ, достаточно схожий ассортимент реализуемой техники у конкурентов и незначительное ценовое различие. Кроме того, в условиях общего экономического кризиса многие торговые предприятия-клиенты сокращают свою деятельность, что приводит к задержкам платежей с их стороны и необходимости строгого контроля со стороны ООО «БН-Сервис».
Положительно влияет на формирование покупательского спроса тот факт, что коллектив предприятия всегда вежлив, корректен, предупредителен.
В качестве способа решения возникающих проблем при осуществлении хозяйственно-экономической деятельности, была разработана миссия предприятия и предложена конкурентная стратегия дифференциации. Стратегия дифференциации для предприятия ООО «БН-Сервис» подразумевает: ориентацию на самый широкий круг потребителей; предложение за дополнительное вознаграждение сотрудникам привлекать клиентов по собственным каналам; введение дополнительных видов услуг (техническое и документальное сопровождение вплоть до снятия ККМ с учета в налоговых органах); целенаправленная рекламная компания для создания системы ценностей у конечного потребителя (законодательно безупречное оформление продажи ККМ и его технического обслуживания, скидки постоянным клиентам, обучение торгового персонала с выдачей удостоверений); создание качеств продукции и услуг, привлекающих потребителя.
Список используемой литературы
Андреев П.Л. Обеспечение финансовой устойчивости предприятий // Экономика, управление, 2002, №9
Акимова Т.А. Теория организации: Уч.пособие для вузов. - М.: ЮНИТИ ДАНА, 2003. – с. 367
Бутов В.И. и др. Основы региональной экономики: Учеб. Пособие. – М.: Ростов-на-Дону, 2000. – 448 с.
Виханский О.С. Менеджмент. 3-е изд. М.: Гардарики, 2000. – 528 с.
Виханский О.С. Стратегическое управление–М.: Гардарики, 2001. – 296 с.
Гавриков А.И. Региональная экономика и управление: Учеб. Пособие. – М.: ЮНИТИ – ДАНА, 2002. – 239 с.
Государственное регулирование экономики и социальный комплекс: Учеб. пособие для вузов/ В.А. Пикулькин, Ю.М. Дурдыев и др. Под ред. Т.Г. Морозовой, А.В. Пикулькина/ Всерос. заоч. фин.-экон. Ин-т – М.: Финстатинформ, 2003. - 220 с.
Государственное регулирование рыночной экономики. – М.: Издательский дом «Путь России»; ЗАО «Издательский дом «Экономическая литература»», 2002. – 590 с.
Дурович А.П.Основы маркетинга: Учеб. пособие/ А.П. Дурович.- М.: Новое знание,2004.-512с.
Зенкова И.А. Инвестиционный механизм комплексного развития. – М.: Наука, 2000. – 128 с.
Игнатов В.Г., Бутов В.И. Регионоведение (экономика и управление): Учеб. пособие.–М.: «Тесса», Ростов н/Д.: изд. центр МарТ, 2000.–416 с.
Классики менеджмента / под ред. Уорнера Спб Питер, 2001 – 1168с.
Котлер, Филипп, Армстронг, Гари, Сондерс, Джон, Вонг, Вероника. Основы маркетинга: Пер. с анг.-2-е европ. изд. - М., Спб., К., Издательский дом Вильямс, 2001.-994с. : ил.-Парал. тит. англ.
Коренченко Р.А. Общая теория организации: Учебник для вузов - М.: ЮНИТИ ДАНА, 2003. – с. 286
Крейнина М.Н. Финансовое состояние предприятия. Методы оценки- М. .: ИКЦ «Дис», 2002 - 224с.
Менеджмент, маркетинг и экономика /Под ред. А.П.Егоршина – Н. Новгород: НИМБ – 2001 г. – 526 с.
Мерчандайзинг: управление розничными продажами. – М.: ЮНИТИ-ДАНА, 2002. – 274 с.
Минцберг Г. Структура в кулаке: создание эффективной организации/пер. с англ. под ред. Ю.Н.Каптуревского – СПб: Питер, 2002. – с. 512
Неруш Ю.М. Логистика: учеб. – М.: ЮНИТИ-ДАНА, 2005. – 389 с.
Панкратов Ф.Г. Коммерческая деятельность: учеб. – М.: «Дашков и К», 2004. – 504 с.
Петров В.М., Часовский В.И. Экономическая и социальная география Брянской области: Учебное пособие./ под ред. В.Н. Петрова/ - Санкт-Петербург: Изд-во «Папирус», 2004. – 255 с.
Программа Правительства Российской Федерации «Реформы и развитие Российской Федерации»// Вопросы экономики. 2005. №4
Размещение отраслей народного хозяйства РФ: Учеб. пособие/под ред. Т.Г. Морозовой – М.: Экономическое образование, 2002. – 64 с.
Савицкая Г.В. Экономический анализ: Учеб. – 10-е изд., - М.: Новое знание, 2004. – 640 с.
Самсонов Н.Ф. Финансовый менеджмент: Учебное пособие. М.: ИНФРА-М 2002 – 495 с.
Стоянова Е.С. Финансовый менеджмент Учебник для вузов М.: Перспектива 2005 – 425 с.
Степанов В.И. Логистика: учеб. – М.: ТК Велби, 2006. – 488 с.
ФЗ от 25.05.1995 г. №83 «О внесении изменений и дополнений в Закон РСФСР «О конкуренции и ограничении монополистической деятельности на товарных рынках»// Собрание законодательства РФ. №22. Ст. 1977.
1 СЗХ – стратегические зоны хозяйствования