Компьютеры и маркетинг (интерактивный маркетинг)
Содержание
Введение
Интерактивный маркетинг и электронная торговля
Быстрое развитие интерактивного маркетинга
Электронный покупатель
Заключение
Литература
Введение
Самая современная и быстроразвивающаяся форма прямого маркетинга связана с использованием компьютерных сетей и с таким понятием, как электронная торговля.
Интерактивный маркетинг осуществляется с помощью интерактивных компьютерных служб, предоставляющих информационные услуги в оперативном режиме. Для оперативного маркетинга используются системы, обеспечивающие двустороннюю электронную связь между продавцом и покупателем. Соединение компьютера покупателя (или Web-машины на основе телевизора) с различными службами обеспечивается посредством модема и телефонных линий. Существуют два типа каналов интерактивного маркетинга: коммерческие оперативно-информационные службы и Internet.
В данной работе я раскрою особенности связи маркетинга с компьютерной техникой.
Интерактивный маркетинг и электронная торговля
Самая современная и быстроразвивающаяся форма прямого маркетинга связана с использованием компьютерных сетей и с таким понятием, как электронная торговля.
Интерактивный маркетинг осуществляется с помощью интерактивных компьютерных служб, предоставляющих информационные услуги в оперативном режиме. Для оперативного маркетинга используются системы, обеспечивающие двустороннюю электронную связь между продавцом и покупателем. Соединение компьютера покупателя (или Web-машины на основе телевизора) с различными службами обеспечивается посредством модема и телефонных линий. Существуют два типа каналов интерактивного маркетинга: коммерческие оперативно-информационные службы и Internet1.
Коммерческие оперативно-информационные службы предоставляют своим абонентам информацию и маркетинговые услуги в режиме реального времени, за определенную помесячную оплату.
Самыми известными такими службами являются America Online, CompuServe и Prodigy (с 8 миллионами, 2,5 миллионами и миллионом абонентов соответственно).
Эти коммерческие оперативно-информационные службы предоставляют своим абонентам необходимую информацию (новости, библиотеки, образование, путешествия, спорт, справки), обеспечивают им развлечения (игры и прочее), торговые услуги, организуют диалог между абонентами (электронные доски объявлений, форумы, комнаты для бесед) и предоставляют услуги электронной почты. Щелкнув несколько раз кнопкой мыши на своем домашнем компьютере, абоненты этих служб могут заказывать по соответствующей каталогам самые разнообразные изделия и услуги. Кроме того, они могут выполнять различные банковские операции в своих местных банках, заниматься инвестиционной деятельностью с помощью разнообразных брокерских контор, заказывать авиабилеты, бронировать места в гостиницах, заказывать автомобили на прокат, играть в компьютерные игры, принимать участие во всевозможных викторинах и конкурсах, получать справки о потребительских рейтингах различных товаров и услуг, узнавать результаты спортивных соревнований и знакомиться со спортивной статистикой, знакомиться с прогнозами погоды и обмениваться сообщениями электронной почты с другими абонентами службы.
После периода бурного развития в середине 90-х коммерческие оперативно-информационные службы начали испытывать острую конкуренцию со стороны Internet как главного канала интерактивного маркетинга.
С другой стороны, сами оперативно-информационные службы сейчас предоставляют доступ к Internet в качестве одной из основных своих услуг. Internet - бурно развивающаяся глобальная "паутина" компьютерных сетей. Начало Internet еще в 60-е годы было положено одним из проектов Министерства обороны США, которым предполагалось связать в единую компьютерную сеть государственные научно-исследовательские институты, предприятия-подрядчики и военные объекты.
Сегодня эта колоссальная общедоступная компьютерная сеть связывает компьютерных пользователей всего мира (причем тип компьютера не имеет значения). Любой владелец персонального компьютера, модема и соответствующего программного обеспечения может выполнять поиск в Internet необходимой ему информации (тематика которой практически неограниченна) и загружать ее в свой компьютер. Кроме того, он может общаться с другими людьми, имеющими доступ к Internet.
Широкое использование Internet стимулировалось разработкой "дружественного" стандарта доступа к World Wide Web и программного обеспечения Web-броузера (программы просмотра Web), такого как Netscape Navigator, Microsoft Internet Explorer и Mosaic. Web-броузеры настолько просты и удобны в работе, что даже новички не испытывают особых проблем в своих "странствиях" по Web. Пользователи Web могут обмениваться сообщениями электронной почты, графическими изображениями, совершать "электронные покупки", знакомиться с последними новостями, кулинарными рецептами, шедеврами изобразительного искусства и деловой информацией. Internet в целом является бесплатной сетью, хотя каждому отдельному пользователю, как правило, приходится платить коммерческим провайдерам за обеспечение доступа к Internet.

Рис.1. Пользователи Internet
Быстрое развитие интерактивного маркетинга
В последние годы несколько крупных маркетинговых систем Internet потерпели неудачу из-за слишком малого числа их абонентов, слишком слабого использования или просто потому, что процедуры совершения покупок казались пользователям этих систем чересчур запутанными и сложными, и они решили вернуться к привычным способам покупки товаров. Первые службы оперативной информации и "электронных покупок" появились в США. Несмотря на то, что использование Internet и интерактивный маркетинг переживают пока стадию становления, их развитие носит бурный, лавиноподобный характер. В соответствии с недавно проведенным исследованием, 23% жителей США и Канады в возрасте от 16 лет и старше (что составляет свыше 50 миллионов человек) пользовались услугами Internet. (Сравните с 1 миллионом в конце 2002 года) Кроме того, 12% взрослого населения пользуются услугами коммерческих оперативно-информационных служб, таких как America Online и CompuServe. В настоящее время на нашей планете насчитывается примерно 105 миллионов пользователей Internet. Рис.1 иллюстрирует масштабы использования Internet (пользователи Internet в процентном выражении от всего населения) в десяти ведущих странах мира. По оценке специалистов, использование Internet растет со скоростью 12 тысяч новых пользователей ежедневно. Некоторые аналитики предсказывают, что не так далек тот день, когда число пользователей Internet достигнет одного миллиарда, а объем сделок, заключаемых по Internet, достигнет 150 миллиардов долларов в год. (Кое-кто утверждает, что это произойдет уже в 2010 году) 2
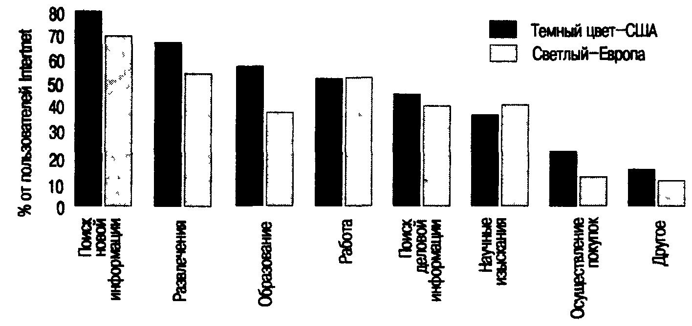
Несмотря на то, что основная доля мирового интерактивного маркетинга приходится на США, a Internet все еще не стала основным средством продвижения товаров на рынок, европейские производители уже не могут игнорировать эти новые технологии. Сейчас в мире насчитывается от 4 до 6 миллионов Web-узлов, а их количество увеличивается примерно на 400 новых узлов каждую неделю. Рис.2 иллюстрирует тот факт, что пользователи входят в Internet по разным причинам: от простого желания посмотреть, что там появилось новенького, до чисто практических потребностей (работа, образование, развлечения).
Таким образом, "электронные покупки" являются далеко не единственной и главной целью обращения к Internet. Co временем, однако, с помощью Internet будет открываться все больше возможностей для продаж и предоставления услуг потребителям на зарубежных рынках. Например, 27% продаж книжного Internet-магазина Атаг. оп. сот (США) совершаются за границу - зачастую для покупателей, которые в противном случае просто не имели бы возможности найти интересующую их книгу [23]. Virgin Radio, осуществившая первый в Европе проект "интерактивной радиостанции", вешает в прямом эфире на компьютеры пользователей Internet, обращающихся к Web-узлу этой радиостанции. Эта служба (www.virginradio. co. uk) доступна для любого пользователя Internet по всему миру. В ней используется современное программное обеспечение RealAudio, которое позволяет всем пользователям Internet "качать" бесплатную информацию с Web-узла Virgin Radio. (Правда, "перекачка" информации в данном случае означает не загрузку файла в свой компьютер с последующим его воспроизведением, а возможность слушать музыку, проигрываемую для пользователей непосредственно по Internet)
Точно так же, как телевидение совершило настоящую революцию в маркетинге 40 лет назад, лавинообразный рост использования Internet известил о наступлении эры так называемой электронной торговли. Электронная торговля - общий термин, обозначающий процесс покупки и продажи, поддерживаемый электронными технологиями. Электронные рынки - это "торговые залы", в которых продавцы, пользуясь новыми электронными технологиями, предлагают свои товары и услуги, а покупатели отыскивают интересующую их информацию, уточняют, что именно им требуется, и размещают заказы с помощью кредитных карточек или других средств электронного платежа. Например, фоторепортер хочет приобрести фотокамеру 35 мм. Он включает свой компьютер, обращается к Web-узлу Shopper's Advantage, щелкает на названии товара "фотоаппарат", затем щелкает на уточняющем названии "фотоаппарат 35 мм", после чего на экране его компьютера появляется перечень имеющихся в продаже моделей фотоаппаратов, сопровождаемый подробной информацией о каждой из этих моделей. Более того, покупатель может получить на своем экране изображение интересующей его модели фотоаппарата и комментарии специалистов. Подобрав подходящую для себя модель, покупатель размещает заказ, введя номер своей кредитной карточки, адрес и указав предпочтительный способ доставки товара3.

Рис.2
Чем больше компаний готовы признать широкие возможности новых электронных технологий, тем чаще нам приходится сталкиваться на практике с понятием "электронная торговля". В соответствии с недавно проведенным исследованием, 39% всех пользователей Internet уже приходилось отыскивать в Internet информацию об интересующих их товарах и услугах. Пятнадцать процентов пользователей Internet уже совершали покупки в Internet, и их количество неуклонно растет. Первые попытки развивать электронную торговлю наталкивались на недоверие со стороны пользователей и их тревогу за безопасность подобных сделок (многие опасались мошенничества, краж, потери товаров и доставки некачественных или поврежденных товаров). Однако по мере развития электронной торговли растет и доверие со стороны потребителей, что связано в первую очередь с усовершенствованием технологии такой торговли, ее стандартов и перечня услуг. Есть все основания полагать, что в XXI веке электронная торговля станет основной торговой технологией.
Электронный покупатель
Когда нормальный человек пытается представить типичного пользователя Internet, воображение рисует ему взлохмаченного и не выспавшегося компьютерного маньяка, изъясняющегося на недоступном простому смертному языке. Другие воображают при этом молодого надменного профессионала высшей пробы. Несмотря на то, что эти стереотипы сегодня безнадежно устарели, "население" страны под названием Internet действительно отличается - с демографической точки зрения - от населения большинства государств, что проиллюстрировано на рис. 3.

Рис.3. Демографический срез пользователей Internet
В целом пользователи Internet представляют собой в некотором смысле элитную группу. Это достаточно молодые, образованные и обеспеченные люди, заметно большую часть которых составляют мужчины. Однако чем больше людей вовлекается в использование Internet, тем больше их демографический состав приближается к тому, который характерен для населения нашей планеты в целом (по крайней мере, для развитых стран). По мере развития Internet будет обеспечивать доступ производителей товаров ко все более широкому спектру демографических сегментов. Например, за последние два года женская часть "населения" Internet практически удвоилась и составляет в настоящее время 41%. Хотя больше половины всех пользователей Internet составляют профессионалы и менеджеры, их относительное количество неуклонно сокращается за счет притока широких масс "дилетантов".
Заключение
Пользователи Internet представляют практически все возрастные группы населения. Например, более 4 миллионов детей - пользователей Internet, привлекли внимание к Internet огромного числа компаний, использующих интерактивный маркетинг. (Кстати, по некоторым оценкам, в 2008 году "детское население" Internet составит почти 40 миллионов) В America Online предусмотрена специальная "Детская зона" (Kids Only area), абоненты которой смогут получать помощь при выполнении своих домашних заданий и пользоваться детскими "электронными журналами" (разумеется, наряду с играми, комнатами для бесед и специальными программами). На узле Microsoft Network предусмотрен так называемый Disney's Daily Blast, который предлагает широкий выбор детских игр, забавных историй и комиксов, героями которых являются как хорошо известные, так и новые персонажи диснеевских мультфильмов; здесь же дети могут познакомиться со специализированными детскими новостями. Десять ведущих мировых разработчиков развлекательных программ для девочек объединили свои усилия в создании специального Web-узла (www.just4girls.com), который способствует продвижению на рынок различных историй, игр, кукол и игрушек, предназначенных для девочек в возрасте от 8 до 12 лет4.
Хотя пользователи Internet в среднем моложе, чем население в целом, возраст 45% пользователей составляет 40 лет и старше. В то время как более молодые группы чаще пользуются Internet для развлечения и общения, пользователи постарше предпочитают заниматься в Internet более серьезными вещами. Например, 24% 50-64-летних людей пользуются услугами Internet для покупки-продажи ценных бумаг и иных способов размещения свободных денежных средств (из тех, кому сейчас от 25 до 29, этими вопросами интересуются лишь 3%). И хотя среди пользователей Internet люди в возрасте свыше 65 лет составляют лишь 5%, 42% из них уже совершали покупки с помощью Internet.
Пользователи Internet отличаются от всех остальных покупателей и с психологической точки зрения. Компания SRI, создатель типологии стилей жизни VALS 2, которая обсуждалась в главе б, в настоящее время разрабатывает типологию iVALS, основное внимание которой акцентируется на предпочтениях, мировоззрении и поведении пользователей оперативно-информационных служб и Internet. Web-узел SRI (wwv. future. sri.com) дает возможность посетителям, ответившим на вопросы специальной анкеты VALS 2, получить исчерпывающее описание своего типа личности в соответствии с методикой VALS 2. Практически 50% тех, кто посещал этот узел, относятся к типу так называемых реалистов, т.е. технарей - профессионалов высшего класса. К этому сегменту принадлежит лишь 10% населения в целом.
Литература
Аникеев С.Н. Методика разработки плана маркетинга. - М.: Фолиум. 2003. - 100 с.
Берл Г. Создать свою фирму. - М.: Дело, 2002. -192 с.
Гибас Дж. Деловые отношения с покупателями - М.: Амалфея, 2006 -272 с.
Котлер Ф., Армстронг Г., Сондерс Дж., Вонг В. Основы маркетинга. - М.; СПб.; К.: Виьямс, 2007. - 1152 с.
Мачадо Р. Маркетинг для малых предприятий. - СПб: Питер Паблишинг, 2006 - 288 с.
Семь нот менеджмента. - М.: ЗАО "Журнал Эксперт", 2006 - 424с.
1 Котлер Ф., Армстронг Г., Сондерс Дж., Вонг В. Основы маркетинга. – М.; СПб.; К.: Виьямс, 2007. – С. 1105.
2 Савьянов Е.С. Новые возможности маркетинга в области Интернета. // Эксперт. №3, 2008.
3 Котлер Ф., Армстронг Г., Сондерс Дж., Вонг В. Основы маркетинга. – М.; СПб.; К.: Вильямс, 2007. – С. 1108.
4 Савьянов Е.С. Новые возможности маркетинга в области Интернета. // Эксперт. №3, 2008.