Концепции маркетинга (работа 2)
Приазовский государственный технический университет
Институт повышение квалификации
Кафедра "Менеджмента и маркетинга"
Контрольная работа
по предмету: "Маркетинг"
Мариуполь, 2009 г.
Содержание
Введение
1. Концепции маркетинга
2. Задача №1
3. Задача №2
Заключение
Список литературы
Введение
Маркетинг — это удивительное сочетание строгой науки и виртуозного искусства эффективной работы на рынке. Маркетинг очень молод (ему еще нет и ста лет), но это не означает, что методы разработаны лишь в последние десятилетия — некоторые из них существовали с незапамятных времен: реклама, известная едва ли не столько же, сколько существует человек; попытки продвижения товаров на рынок, возникшие вместе с товаром; исследования покупателя, появившиеся вместе с первым покупателем. Но все эти методы были разрознены, существовали и развивались сами по себе. До поры до времени. А потом бурное развитие рыночных отношений, подкрепленное взрывом научно-технического прогресса, перевернуло неторопливое течение времени. Рынок (market) и породил новое течение в науке управления — маркетинг (marketing).
Этот термин впервые появился в 1902 году в США, а спустя 20 лет его уже использовали во многих странах мира. Однако наибольшее развитие маркетинг получает во второй половине ХХ века. Причины этого таятся как во внешних, так и во внутренних факторах:
- возросший уровень жизни и уровень располагаемого дохода;
- изменившиеся социальные стандарты, в первую очередь, в образовании, культуре и пристрастиях (хобби);
- улучшенные дороги и транспортные средства, позволившие людям путешествовать и привозить с собой не только новые товары, но и новые впечатления и потребности;
- увеличившееся свободное время.
В связи с этими обстоятельствами деловые люди и руководители компаний нашли для себя целесообразным прибегнуть к тому, что сейчас называется маркетинговыми процедурами, а именно:
- к выявлению и оценке желаний и нужд потребителей;
- разработке и выпуску новых товаров и услуг, способных удовлетворять потребительские нужды;
- побуждению потребителя покупать именно эти, а не другие продукты;
- осуществление контроля над теми усилиями, событиями и процессами, которые служат к обоюдному удовлетворению потребителя и производителя (продавца).
1. Концепции маркетинга
Если исходить из классификации теории "управления маркетингом", предложенной профессором маркетинга Северо-Западного университета США Филиппом Котлером, то под "концепцией маркетинга" понимается "сравнительно новый подход в предпринимательской деятельности", который "утверждает, что залогом достижения целей организации являются определение нужд и потребностей целевых рынков и обеспечение желаемой удовлетворенности более эффективными и более продуктивными, чем у конкурентов, способами".
Рассматривая сущность поставленного вопроса ("какова концепция маркетинга?"), ее возможно, по Ф.Котлеру, "на уровне явления" определить с помощью выражений типа: "Отыщите потребности и удовлетворите их", "Производите то, что можете продать, вместо того чтобы пытаться продать то, что можете произвести", "Любите клиента, а не товар", "Пусть будет по-вашему", "Вы - наш босс", "Делать все, что в наших силах, чтобы максимально возместить каждый затраченный клиентом доллар ценностной значимостью, качеством и удовлетворенностью". Другими словами, объектом основного внимания в "концепции маркетинга" Ф.Котлер объявляет изучение целевых клиентов фирмы с их нуждами, запросами и потребностями. Фирма интегрирует и координирует всю свою деятельность с расчетом на обеспечение максимальной удовлетворенности клиентов, получая соответствующую прибыль именно благодаря созданию и поддержанию потребительской удовлетворенности.
Таким образом, согласно Ф.Котлеру, по своей глубинной сути концепция маркетинга - это ориентация на нужды, запросы и потребности клиентов, подкрепленная комплексными усилиями организации маркетинга, нацеленными на создание потребительской удовлетворенности в качестве основы для достижения целей организации.
Таким образом, исходная "концепция маркетинга" отражает приверженность фирмы теории суверенитета потребителя. Однако, данную "концепцию маркетинга", предложенную Ф.Котлером, имеет смысл сравнить с другими концепциями, видами (или типами) маркетинга. Остановимся первоначально на концепциях маркетинга, взятых в историческом контексте.
Согласно классификации, данной опять – таки Филиппом Котлером, всего в истории (как и в теории и в самой "живой практике") маркетинга (как "стратегий сбыта") имеется пять глобальных, "фундаментально-исторических", концепций маркетинга, на основе которых коммерческие организации вели (и ведут) свою сбытовую деятельность, а именно – это концепции:
- Концепция совершенствования производства;
- Концепция совершенствования товара;
- Концепция коммерческих усилий;
- Концепция маркетинга;
- Концепция социально-этического маркетинга.
Филипп Котлер утверждает, что концепции (1) совершенствования производства и (2) совершенствования товара - это стратегии сбыта в период до начала второй мировой войны; концепции (3) интенсификации коммерческих усилий и (4) собственно маркетинга (или целевого маркетинга) - появились сразу после второй мировой войны; концепция (5) социально-этического маркетинга – наиболее современная и прогрессивная, поскольку она наиболее эффективно для фирмы "направляет усилия персонала фирмы для достижения желаемых уровней сбыта на разных рынках" и, кроме того, представляет собой явление самого последнего времени.
Рассмотрим основные идеи концепции маркетинга, связанные сначала с "довоенными" подходами (1-2).
1. Концепция совершенствования производства.
Совершенствование производства: основной смысл этой концепции заключается в утверждении того, что потребители будут покупать только те товары, которые широко распространены и которые по цене им вполне доступны. Следовательно, лица, принимающие решения, должны направить свои усилия в первую очередь на совершенствование производства и затем - на повышение эффективности системы распределения. В каких ситуациях "работает" эта концепция? (А) – Когда спрос очень высок, а предложение крайне низкое /дефицит/. (В) – Когда себестоимость товара слишком высока и ее необходимо снизить (и тогда, естественно, следует автоматическое повышение производительности труда на уровне технологии выпускаемого продукта).
2. Концепция совершенствования товара.
Совершенствование товара: данная концепция маркетинга "начинает жить" лишь после того, как реализуется первая концепция маркетинга - совершенствования производства.
Концепция совершенствования товара утверждает, что потребители будут покупать только те товары, которые имеют лучшие эксплуатационные свойства, обладают высшим качеством и, главное, - фирма должна учитывать любые пожелания клиента, на основе которых и совершенствовать качественные параметры товара. Следовательно, "на выходе" общее руководство фирмой (ЛПР) и остальной персонал фирмы должны сосредоточить все свои усилия на постоянном совершенствовании товара, согласно пожеланиям клиентов.
При утверждении этой концепции в жизнь должно быть соблюдено очень важное условие: насыщение рынка. Пока нет насыщения рынка, ни о каком качестве нечего говорить.
3. Третья маркетинговая концепция: интенсификации коммерческих усилий.
Эта концепция утверждает, что клиенты не будут покупать товары в достаточном количестве, если организация не предпримет соответствующих (больших) усилий в сфере стимулирования сбыта и стимулирования спроса. Это ситуация - когда есть и количество, и качество товаров на любой вкус, но возникает новый качественный аспект по продажами - фактор "интенсификации коммерческих усилий".
Приведем пример с автомобильным рынком в США. Появление такого автомобиля, как "Фольксваген" в США, означало: это сравнительно дешевый автомобиль для народа, плюс гамма всех цветов, плюс еще, кроме того, развитая сервисная служба - концепция интенсификации коммерческих усилий (кроме того, еще плюс соответствующая психологическая и идеологическая рекламная обработка: автомобиль "Фольксваген" - "жук" - второй автомобиль для американской семьи, что было очень престижным явлением).
Итак, отсюда мы видим, что основная тенденция развития мирового маркетинга связана с переносом акцента маркетинговых усилий с собственно производства, технологий и нового товара - на коммерческие усилия сервиса, на "обработку потребителя", на укрепление, в конце концов, социального и экономического благополучия потребителя товаров и услуг.
4. Концепция собственно "маркетинга", или, точнее, - как это принято понимать в Украине - концепция целевого маркетинга.
Данная концепция утверждает, что залогом достижения целей организации является определение не только нужд, потребностей и запросов клиентов, но и еще - обеспечение желаемой для них удовлетворенности более эффективными, чем у конкурентов способами, на целевых рынках. Мы рассмотрели выше суть целевого маркетинга (выраженного в афоризмах типа: "Отыщите нужды или создайте потребности клиента и - удовлетворите их"; "Любите своего клиента, а не свой товар" и т.п.); но, очевидно, имеет смысл продолжить далее аналогию с рынком легкового автомобиля в США.
Пример реализации концепции собственно "маркетинга", - в США - это появление разновидности японской "Тойоты" – малолитражки "Краун". Это автомашина: (1) была для народа и относительно дешева, (2) имела различную гамму цветов, (3) имела сервисную службу, а, кроме того (4) также и такие "мелочи", как кондиционер, мини-TV, радио, телефон, и - сауну-люкс с прицепом.
Итак, в качестве некоторых предварительных выводов по рассматриваемому вопросу выводов можно утверждать следующее: в 1920-е годы в США, как и во всем мире, практически еще не было "концепции маркетинга" в том виде, в каком представляет это Ф.Котлер; а именно: были концепции совершенствования производства и совершенствования товара. Суть этих концепций можно показать на примере автомобильного рынка. Генри Форд-I вышел на рынок со своим дешевым стандартным автомобилем, который стал производиться на конвейере. Затем на первое место по продажам вышел "Дженерал Моторс", который производил аналогичные по классу автомобили, но с целой гаммой разнообразных цветов, удовлетворявших различные вкусы покупателей. Далее, уже после 2-й мировой войны, на американский рынок прорвался немецкий "Фольксваген" - дешевый автомобиль для народа за счет создания собственной сервисной службы (концепция интенсификации коммерческих усилий).
Наконец, в качестве примера концепции "собственно маркетинга" (или, точнее, "целевого маркетинга") можно привести факт того, как японская фирма "Тойота" разработала специально для этого американского рынка малолитражку "Краун", первую машину этого класса с кондиционером и другими привычными для американского автомобилиста атрибутами и в итоге завоевала 20% рынка ввозимых автомобилей.

- Концепция социально-этического маркетинга предполагает, что товары будут продаваться лишь в том случае, если удастся найти и организовать оптимальное сочетание интересов производителей, потребителей и общества в целом. Актуальность данного подхода состоит в том, что в нем учитываются не только индивидуальные потребности потребителей, экономические интересы производителей, но также требования экологии, общественной морали, региональных особенностей.
Если говорить о 5-м типе маркетинга, то есть, в терминах Ф.Котлера, о "социально-этическом маркетинге", то эта концепция маркетинга считается им самой современной. Она, в частности, утверждает, что задачей фирмы является не только выполнение всех условий, относящихся к концепциям маркетинга вышеприведенных типов 1-4, но и также - с одновременным сохранением и укреплением благополучия общества в целом и каждого его отдельного потребителя в отдельности.
Отличие социально-этического маркетинга от остальных типов маркетинга - в том, что фирма, которая удовлетворяет нужды, потребности и запросы покупателей, должна действовать с учетом долговременного блага общества и потребителей. Именно такого рода направленность имиджа фирмы и должна привлекать покупателей в качестве фактора конкурентоспособности данной фирмы среди остальных.
В качестве завершающего примера автомобильного рынка для данного типа концепции маркетинга можно привести широко разрекламированный шведский электромобиль: шведы разработали и практически уже внедрили такую модель, которая удовлетворяет всем пунктам концепций 1-4, плюс отсутствие выхлопных газов.
Концепция социально-этического маркетинга еще только начинает находить свою рыночную нишу в практике маркетинговой деятельности, и она достаточна перспективна. Однако очевидная рыночная слабость ее в том, что цена электромобиля, как правило, в два раза выше, чем цена легкового автомобиля на бензиновом двигателе.
Итак, концепция социально-этического маркетинга требует сбалансирования всех трех факторов: прибылей фирмы, покупательских потребностей и интересов общества.
2. Задача № 1
Условие: При исследовании рынка были получены данные представленные в таблице. Подберите подходящую кривую спроса от цены N = f (P), и предложения от цены А = f (P), где N, А – соответственно спрос и предложение тыс.шт. Р – цена продукции, грн.
Рассчитайте параметры этих кривых. Аналитическим и графическим способами, определите равновесную цену, равновесные спрос и предложение.
Таблица 1
-
Цена, грн
1,0
1,2
1,4
1,6
1,8
2,0
Спрос, тыс. шт.
41,8
34,8
30,1
22,3
15,0
9,9
Предложение, тыс. шт.
10,7
15,8
20,0
23,8
26,5
31,0
Решение:
Ценой называется количество денег, за которое продается и покупается экономическое благо. Цена определяется на рынке в результате взаимодействия покупателей и продавцов, в ходе которого они сравнивают предложение и спрос на товар и устанавливают цену. Так как цена устанавливается на уровне, когда предложение товара равно спросу на него (предложение и спрос находятся в равновесии), то рыночная цена обычно является равновесной ценой.
Спрос – это количество товара, которое хотят и могут приобрести покупатели за определенный период времени при всех возможных ценах на этот товар.
Предложение – это количество товара, которое хотят и могут предложить на рынок продавцы за определенный промежуток времени при всех возможных ценах на этот товар.
Для решения уравнения спроса рассчитаем в таблице 2 необходимые данные.
Таблица 2
-
Показатели
Значения
Сумма
Цена, грн
1,0
1,2
1,4
1,6
1,8
2,0
9
Спрос, тыс. шт.
41,8
34,8
30,1
22,3
15,0
9,9
153,9
х
1
1,44
1,96
2,56
3,24
4
14,2
ху
41,8
41,76
42,14
35,68
27
19,8
208,18
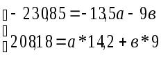
Составим систему:

Подставим полученные в таблице значения в систему и решим ее.

в = -1,5

-230,85-208,18 = 0,7а
-22,67 = 0,7а
а = -32,39
153,9 = 9*(-32,39)+6в
6в = 153,9+291,51
6в = 445,41
в = 74,24
Полученные значения подставим в уравнение спроса.
С = -32,39*у + 74,24
Построим график 1 спроса

Для решения уравнения предложения составим таблицу 3.
Таблица 3
-
Показатели
Значения
Сумма
Цена, грн
1,0
1,2
1,4
1,6
1,8
2,0
9
Предложение, тыс. шт.
10,7
15,8
20
23,8
26,5
31
127,8
х
1
1,44
1,96
2,56
3,24
4
14,2
ху
10,7
18,96
28
38,08
47,7
62
205,44

Подставим полученные значения.



Полученные значения подставим в уравнение предложения.

Построим график 2 предложения:

Для получения равновесной цены приравниваем спрос к предложению и построим график 3.
-32,39*у + 74,24 = -19,63*у - 8,145
(19,63+32,39)*у = 74,24 + 8,145
у = 1,58 грн.
С = -32,39*1,58 + 74,24 = 23
П = 19,63*1,58 – 8,145 = 23
С = П = 23 тыс. шт.
График 3

Вывод: Равновесная цена в данной задаче равна 1 тыс 580 грн., а равновесный спрос и предложение равен 23 тыс. шт.
3. Задача № 2
Анализ затрат на производство показал, что переменные затраты на весь объем выпуска описываются выражением:
Зпер = 3,3 х РП, грн.,
Где РП – объем реализации, шт.
Постоянные расходы составляют 17 тыс. грн.
Определить минимально приемлемую цену единицы продукта, если фирма поставила своей целью получить прибыль не менее 16 тыс. грн., при рыночном спросе на продукт 9 тыс. шт. Определить точку безубыточности фирмы. Задачу решить аналитическим и графическим методами.
Решение:
З пер = 3,3 х РП, грн
З пост = 17 тыс. грн.
Спрос = 9 тыс. грн.
П = 16 тыс. грн.
Аналитическое решение задачи.

Минимальная цена равна 6,97 грн.

Графическое решение задачи

Заключение
Сегодня, как никогда раньше, руководители должны отдавать себе отчет в том, что самая современная техника и самая квалифицированная рабочая сила, огромные затраты на обучение и подготовку рабочих к работе на новом оборудовании - все это само по себе не гарантирует и не может гарантировать ни высокого уровня производительности, ни качества продукции - чисто управленческими средствами можно добиться куда более впечатляющих и результативных успехов.
Без маркетинга сегодня немыслима деятельность ни одной организации, так как его игнорирование рано или поздно приведет к краху. На реальных примерах было продемонстрировано применение маркетинга в управлении фирмой, корпорацией, промышленным предприятием. Умелое и грамотное обращение менеджеров, управляющих всем наличным инструментарием маркетинга, позволит любому предприятию в полном объеме использовать свои конкурентные преимущества и соответственно занимать лидирующее положение в своей отрасли.
В то же время необходимо обратить внимание на такой момент - применение маркетинговых инструментов не является абсолютной гарантией жизнеспособности предприятия и неэффективное их использование, наряду с ошибками в технологии производства и управлении рабочим коллективом вполне может привести к потере рынка сбыта, а затем и гибели предприятия.
То есть мы опять пришли к золотому правилу управления - все должно использоваться комплексно с применением гибкого подхода.
Можно еще долго рассуждать на тему эффективности и необходимости маркетинга, но я считаю, что можно вполне ограничиться следующим выводом: маркетинг является одной из важных составляющих менеджмента, и его необходимо, да и надо использовать, однако во всем нужен разумный предел.
Список литературы
Герасимчук В.Г. Маркетинг: теорія і практика: Навч. посібник. – К.: Вища шк.., 1994. – 327 с.: іл.
Маркетинг: Учебник / А.Н. Романов, Ю.Ю. Корлюгов, С.А. Красильников и др.; Под. ред. А.Н. Романова. – М.: Банки и биржи, ЮНИТИ, 1996. – 560 с.: ил.
Маркетинг / Под. ред.. проф. Уткина Э.А. – М.: Ассоциация авторов и издателей "Тандем". Издательство ЭКМОС, 2002. – 320 с.
Примак Т.О. Маркетинг: Навч. Посіб. – К.: МАУП, 2001. – 200 с.: іл. – Бібліогр.: с 198-199
Ф. Котлер, Г.Армстронг, Дж.Сандерс, В.Вонг, Основы маркетинга,2-е европейское издание, - М.; СПб.; К.: Издательский дом "Вильямс", 1998.
Ф. Котлер, МАРКЕТИНГ МЕНЕДЖМЕНТ, 9-е международное издание, - СПб.: Питер Ком, 1999.
Overview
12
3
4
5
6
7
Sheet 1: 1
| Показатели | Значения | Сумма | ||||||
| Цена, грн | 1,0 | 1,2 | 1,4 | 1,6 | 1,8 | 2,0 | 9 | |
| Спрос, тыс. шт. | 41,8 | 34,8 | 30,1 | 22,3 | 15,0 | 9,9 | 153,9 | |
| х | 1 | 1,44 | 1,96 | 2,56 | 3,24 | 4 | 14,2 | |
| ху | 41,8 | 41,76 | 42,14 | 35,68 | 27 | 19,8 | 208,18 | |
Sheet 2: 2
| Зпер | = | 3,3 х РП, грн., |
Sheet 3: 3
|
||||||
|
||||||
| -1279,66 | -1052,93 | -900,70 | -648,06 | -411,61 | -246,42 |
Sheet 4: 4
| Показатели | Значения | Сумма | |||||
| Цена, грн | 1,0 | 1,2 | 1,4 | 1,6 | 1,8 | 2,0 | 9 |
| Предложение, тыс. шт. | 10,7 | 15,8 | 20 | 23,8 | 26,5 | 31 | 127,8 |
| х | 1 | 1,44 | 1,96 | 2,56 | 3,24 | 4 | 14,2 |
| ху | 10,7 | 18,96 | 28 | 38,08 | 47,7 | 62 | 205,44 |
|
|||||||
|
|||||||
| -218,181 | -318,294 | -400,74 | -475,334 | -528,335 | -616,67 | ||
Sheet 5: 5
| -218,181 | -318,294 | -400,74 | -475,334 | -528,335 | -616,67 | |||||
|
||||||||||
Sheet 6: 6
| Спрос, тыс. шт. | 41,8 | 34,8 | 30,1 | 22,3 | 15,0 | 9,9 | 153,9 | |||
| Предложение, тыс. шт. | 10,7 | 15,8 | 20 | 23,8 | 26,5 | 31 | 127,8 | |||
|
||||||||||
Sheet 7: 7
| 0 | 46,7 | |||||||||
| 0 | 16 | |||||||||
| 17 | 62,7 |
|
||||||||
| 17 | 17 | |||||||||