Маркетинговое исследование рынка джинсовой продукции
Содержание
Введение
Переход России к рыночной экономике обострил целый ряд социальных и экономических проблем: занятость (безработицу) трудоспособного населения, в т.ч. среди специалистов с высшим образованием и молодежи; резкую дифференциацию доходов и снижения уровня потребления у социально незащищенных слоев; структурную ломку ряда отраслей и снижение инновационной деятельности в целом. Все это уже в ближайшей перспективе поставит во главу угла государственного регулирования проблему эффективной самозанятости населения.
Наиболее простой, доступной организационной формой решения данной проблемы является малое предпринимательство.
Малые фирмы питают жизненными силами экономический организм. Например, они способствуют конкурентной борьбе в тех отраслях, где иначе безраздельно господствовал бы большой бизнес, и не позволяют бесконтрольно поднимать цены. Оказалось также, что малый бизнес способен весьма эффективно развивать и эксплуатировать новые революционные технологии.
Для успешного развития рынка требуется обстановка, которая бы стимулировала внедрение широкой гаммы организационных новшеств в процесс производств и сферу обслуживания. Нужны рынки, которые были бы в достаточной степени совершенны и позволяли бы малым и новым фирмам оформляться и достигать оптимального уровня развития.
Преуспевающий малый бизнес жизненно необходим для России, потому что именно он даст людям работу - это- во-первых, а во-вторых, только малый бизнес в состоянии гибко реагировать на нужды людей, чего сейчас так недостает в России.
Данный курсовой проект обусловлен реальным заказом. Его целью является оценка идеи создания фирменного магазина джинсовой одежды.
Таким образом, возникла необходимость в создании бизнес-плана, который включал бы в себя такие аспекты как:
изучение потребителей;
изучение конкурентов;
план маркетинга;
финансовая оценка и.т.д.
Люди хотят получить от бизнеса доход, работу, возможность самостоятельно принимать решения, удовлетворение от работы, возможность эффективно использовать свою квалификацию.
Потому, главная идея проекта состоит в том, чтобы побудить своих потенциальных партнеров к, конкретным действиям для совершенствования своего бизнеса.
1. Обзор. Характеристика предприятия и отрасли, в которой оно функционирует
1.1 Основные направления производственной деятельности предприятия
Название фирмы: « Country - Jeans»
Тип бизнеса: розничная торговля.
«Country - Jeans» начнет свою работу 1 августа 2004 года и будет представлять собой Общество с ограниченной ответственностью, организованного двумя учредителями.
Задачей фирмы является удовлетворение спроса на высококачественный джинсовый товар.
Цели фирмы:
обеспечение выживаемости фирмы;
завоевание лидерства на рынке по показателям качества и по показателям доли рынка;
получение максимальной прибыли.
Ассортимент выпускаемой продукции - брюки, рубашки, жакеты и прочие джинсовые изделия.
Рынком сбыта являются покупатели с высоким доходом и доходом выше среднего.
Основными конкурентами являются фирмы, предлагающие качественный разнообразный товар, по ценам, соответствующим выбранному сегменту рынка.
Планируемый объем продаж джинсовой продукции - 5000 штук в год в новом масштабе цен.
Планируемая численность работающих 11 человек. Финансово - экономические показатели рассчитаны в текущих ценах с учетом существующего и прогнозируемого ежегодного темпа инфляции.
Интегральные показатели проекта приведены ниже:
1. Общая потребность в инвестициях - 434,552 тыс. руб.;
2 В том числе потребность в кредите - 0 тыс руб ,
3 Срок окупаемости - 13 мес,
4 Дисконтированный срок окупаемости - 25 мес,
5 Чистый дисконтированный доход - 87 5 тыс руб ,
6 Внутренняя норма доходности - 85 %
1.2 Характеристика отрасли, к которой относится Ваш продукт
По мнению специалистов отрасль джинсовых товаров занимает два, но частично перекрывающих друг друга экономических сектора - розничная торговля и сервис. Хотя многие магазины больше занимаются розничной торговлей, сектор сервиса играет важную роль в обеспечении прибыльности. Магазин, который не способен и не желает обеспечить обслуживание своих товаров, неизбежно столкнется с потерей прибыли.
В настоящее время номенклатура большинства джинсовых товаров представлена следующими изделиями:
женская джинсовая одежда;
мужская джинсовая одежда;
детская джинсовая одежда;
сопутствующие товары (ремни, сумки, ботинки).
Число магазинов розничной торговли джинсовой одежды, предлагающих услуги, довольно ограничено. Большинство магазинов сводит свои услуги к двум видам:
1) помощь покупателю на месте продажи;
2) возврат дефектных товаров и их замены.
Однако магазины, по меньшей мере, могли бы предоставлять услуги в виде:
1) консультаций по товару;
2) продажи по заказам покупателей.
Во время интервью с руководителем одного магазина была получена следующая информация. Традиционный джинсовый магазин работает по принципу высоких прибылей. Стратегия продаж заключается в установлении высоких надбавок. Эффективные магазины обновляют свои товарные запасы три - четыре раза в год.
Существует много факторов, влияющих на отрасль и которые не может контролировать розничная торговля, но, тем не менее они могут сказываться на ней как положительно, так и отрицательно. Например, такими факторами могут быть:
1. Налоговое законодательство
Ужесточенная налоговая политика в нашей стране приводит к снижению
прибыли и отрасль может понести убытки.
2. Прямое влияние оказывают экономические факторы, с которыми сталкиваются наши потенциальные покупатели. Меняющиеся доходы людей, уровень безработицы, экономическая нестабильность могут вызвать быстрое разорение тех, кто связан с данным рынком.
В настоящее время современные рынки все больше диверсифицируются, покупатели больше разделены на сегменты, чем ранее. Независимые обзоры показали, что молодежь больше привлекает цена. Более зрелые покупатели обращают внимание на качество изделий и обслуживание.
1.3. Описание рыночного сегмента, занимаемого Вашим предприятием (республиканского – российского, регионального, местного)
Т.к. данное предприятие будет продавать продукт в городе Челябинске, то рыночный сегмент – местный.
2. Продукция
2.1 Описание продукции
«Country - Jeans» будет магазином мужской и женской джинсовой одежды, задачей которого будет удовлетворение спроса на высококачественные джинсовые изделия в городе Челябинске. Ниже приводится перечень товаров, предлагаемых нашей фирмой
Группа A «HIS Jeans» 70 %
Группа Б «Глория джинс» 15 %
Группа В «Московские» 10%
Группа Г Аксессуары 5 %
К товарам группы А относятся высококачественные джинсовые изделия, поставщиком которых является известная во всем мире международная корпорация (HIS HENRY I SIEGEL JEANS) В Челябинск джинсы будут поставляться немецким представительством этой корпорации, расположенной в городе Мюнхене.
Тщательный подбор тканей высококвалифицированными дизайнерами гарантирует то качество, которое хотели бы получить наши потенциальные клиенты. Помимо высокого качества товары данной группы отличаются удобмтвом, долговечностью, разнообразием моделей и многофункциональностью
Предполагаемые цены на товар:
джинсы - не более 1700 рублей
рубашки - не более 1000 рублей
жакеты - не более 2000 рублей
Товаром группы Б и В является джинсовая одежда, поставщиками которой будут отечественные фирмы. Особое внимание следует уделить товарной группе Б. Производителем данной одежды является отечественная фирма, находящаяся в Ростове на Дону. Джинсовые изделия отличаются очень хорошим качеством, дизайном, низкой ценой (не более 950 рублей). Товары данной группы призваны помочь нам в захвате определенной доли рынка. Товары группы В будут закупаться в Москве, продажная цена не более 1350 рублей за единицу. Главное назначение этой группы - быть товаром заменителем для товарной группы А (например, в случае «выпадания» размеров).
Товары группы Г (аксессуары) представляют собой пробные образцы и пробные партии.
Ассортимент товаров будет формироваться при помощи каталогов, высылаемых фирмами. Закуп товаров будет производиться коллекционно.
2.2 Характеристика возможных направлений развития предприятия
Дальнейшие направления развития предприятия – это расширение сети магазинов специализированной джинсовой продукции и открытие аналогичной сети в других городах области, а также в ближних областных центрах, например, в Екатеринбурге.
3. Оценка конкурентоспособности Вашего предприятия
На сегодняшний день в Челябинске продажей джинсовых изделий и сопутствующих им товаров занимается множество различных магазинов. Их можно разделить на следующие группы:
1. Джинсовые салоны; к этой категории относятся отдельные магазины, которые занимаются продажей джинсовых изделий и сопутствующих товаров.
2. Специализированные отделы: это отделы в крупных супермаркетах (зачастую отдел является как бы филиалом салона, но не всегда).
3. Небольшие отделы: отделы, торгующие как джинсовой, так и всякой другой продукцией, большое количество таких небольших отделов обнаруживается в Торговом центре.
4. Рынок: сюда входят все торговцы, которые занимаются продажей джинсовых изделий на вещевых рынках и ярмарках («Заречный рынок» и вещевая ярмарка возле магазина «Детский мир»).
Следует отметить, что рынок джинсовой одежды разделен между несколькими крупными предпринимателями, и торговые точки образуют сети. Например, отделы «Magnet», расположенные в Торговом центре, в магазине «Школьник», «Гостиный двор», принадлежат единой сети джинсовых магазинов. В результате проведенного анализа было исследовано 20 торговых точек, находящихся в квадрате, образованным пересечением улиц Свободы и Сони Кривой, проспектами Победы и Свердловским.
Рассчитаем средние продажные цены для каждой торговой точки основываясь на данных из вышеприведенных диаграмм . Результаты расчетов сведены в таблицу 1.5.1. Таблица 1.5.1 - Средние продажные цены фирм-конкурентов
|
Название |
Адрес |
Средняя цена, руб. |
|
Colin's |
Пр.Ленина,43 |
541 |
|
Colin's |
Ул.Каслинская,64 |
650 |
|
Colin's-Lee |
Ул.Каслинская.64 |
650 |
|
Dallas |
Ул.Каслинская.64 |
529 |
|
Expose |
Пр.Ленина,46 |
673 |
|
Expose |
Ул.Каслинская,64 |
659 |
|
Hugo Boss |
Ул.Коммуны,60 |
3300 |
|
Lee Cooper |
Пр.Ленина,46 |
876 |
|
Lee Cooper |
Ул.Каслинская,64 |
974 |
|
Magnet |
Нр.Ленина,46 |
495 |
|
Magnet |
Ул.Каслинская,64 |
510 |
|
Magnet |
Ул.Кирова. 167 |
495 |
|
Magnet |
Ул.С.Кривой,26 |
495 |
|
Stress |
Ул.Каслинская,64 |
890 |
|
Гостиный двор |
Ул.Коммуны.60 |
1000 |
|
Дельта |
Пр.Ленина. 50 |
1241 |
|
Денвералс |
У л. Коммуны, 87 |
969 |
|
Саботаж |
Ул.Васенко.96 |
827 |
|
Юниор |
Пр.Победы, 172 |
849 |
|
Саша |
Ул. Кирова, 147 |
821 |
Среди представленных фирм-конкурентов, выберем тех. средняя цена которых, находится в диапазоне 800 - 3300рублей, что соответствует выбранному сегменту.
Итак, основными конкурентами для нас будут.
Hugo Boss;
Lee Cooper;
Stress,
Гостиный двор;
Дельта;
Денвералс;
Саботаж;
Юниор.
Эти фирмы являются основными конкурентами потому, что:
нацелены на один и тот же сегмент, что и наша компания;
в основном определяют стандартные свойства товара;
сильно воздействуют на потребительские предпочтения;
тратят большие средства на удержание своей доли рынка.
Чтобы определить конкурентную позицию необходимо уделить внимание двум точкам зрения:
внутренней операционной структуре компаний;
оценке предпочтения потребителей.
Анализ внутренней операционной структуры компаний проводился на основе личных наблюдений и опроса.
В настоящее время в продаже имеется огромное количество марок джинсовой одежды (около 40). Проанализировав распространенность марок (уровень распространенности оценивался как частота появления той или иной марки в рассмотренных торговых точках) у фирм- конкурентов мы получили следующий результат:
наибольший процент набрала категория «Прочие». В этой категории объединены марки уровень распростаненности которых около 1 %, что соответствует тому. что они встречались в какой-нибудь одной торговой точке;
на втором месте марки «Levi's» , «Diesel» и «Wrangler»;
остальные марки набрали по 5 %.
По результатам ответов на вопрос о приверженности к той или иной марки были получены следующие ответы:
50 % потребителей вообще не обращают внимания на марку;
“Levi’s”, “Diesel” -25%;
“Wrangler” - 22 %;
«Lee Cooper» - 5 %
Практически 75 % всего ассортимента джинсовой одежды поставляют и Венгрии, Италии и Бельгии (данный процент относится только к mow непосредственным конкурентам и не может быть распространен на все торгующие фирмы в нашем городе). Около 20 % товара завозится из Турции, и 5 ° составляют такие страны как США и Франция. Распространенность стран - производителей джинсовой одежды у фирм конкурентов показана на рисунке 10.
Для оценки конкурентоспособности торговых точек были выделень следующие критерии.
I. Оформление торговой точки.
1) свободное пространство;
2) наличие рекламных постеров,
3) оборудованность примерочных;
4) информативность ценника;
5) уровень обслуживания персонала.
II. Удобство расположения;
III. Широта ассортимента;
IV. Привлечение покупателей (реклама, скидки, распродажи);
V. Цена продукции;
VI. Качество продукции.
Каждая составляющая оценивалась по 5 - ти бальной системе и определялась с точки зрения потребителя:
5 - отлично;
4 - хорошо;
3 - удовлетворительно;
2 - неудовлетворительно,
1 - плохо.
Результат представлен в таблице 1
Таблица 1 - Анализ конкурентов
|
Критерий |
Hugo Boss |
Lee Cooper |
Stress |
Гостинный Двор |
Дельта |
Саботаж |
Юниор |
Денвералс |
|
1. Оформление торговой точки: |
||||||||
|
Свободное пространство |
3 |
2 |
3 |
4 |
4 |
3 |
4 |
3 |
|
Наличие рекламных постеров |
3 |
2 |
2 |
4 |
4 |
4 |
4 |
4 |
|
Оборудованность примерочных |
2 |
2 |
2 |
2 |
2 |
2 |
2 |
2 |
|
Информативность ценника |
4 |
4 |
4 |
4 |
4 |
4 |
4 |
4 |
|
Уровень обслуживания персонала |
4 |
3 |
2 |
4 |
2 |
2 |
4 |
4 |
|
2. Удобство расположения |
4 |
4 |
4 |
4 |
4 |
4 |
4 |
4 |
|
3. Широта ассортимента |
3 |
2 |
2 |
4 |
3 |
1 |
5 |
3 |
|
4.Привлечение покупателей |
||||||||
|
Реклама |
4 |
3 |
3 |
4 |
3 |
4 |
3 |
3 |
|
Скидки |
2 |
2 |
2 |
2 |
2 |
3 |
2 |
2 |
|
Распродажи |
1 |
1 |
1 |
2 |
1 |
2 |
1 |
1 |
|
5 Цена продукции (4 - дорого. 1- дешево) |
5 |
3 |
2 |
4 |
4 |
1 |
2 |
3 |
|
6. Качество продукции |
4 |
2 |
2 |
4 |
3 |
4 |
4 |
4 |
Таким образом, наибольшее количество баллов набрали:
Гостиный двор;
Hugo Boss;
Саботаж;
Юниор.
Основными преимуществами конкурентов являются:
отличное местоположение;
неплохая реклама;
широкий выбор джинсовой одежды. Недостатки конкурентов:
довольно высокие цены для такого качества;
несезонность (негибкость в этом смысле).
4. План развития Вашего предприятия
Точкой безубыточности называется величина объема продаж при которой затраты равны выручке от реализации и нет ни прибыли, ни убытков.
Ключевым в этом анализе является деление затрат на постоянные и переменные.
Существует несколько методов деления затрат, например, такие как:
метод максимума-минимума;
метод визуального контроля;
линейный регрессионный анализ.
Самым точным из этих методов является метод регрессионного анализа, поэтому для деления затрат воспользуемся именно этим методом. Линейный регрессионный анализ манипулирует с изменением среднего количества изменений некоторой переменной (например, издержек производства), которая ассоциируется с возрастанием количества единиц продукции или нескольких других переменных. Это — метод регрессии у (зависимая переменная) по х (независимая переменная). Регрессионный анализ ставит перед собой две задачи. Во-первых, он выполняет аппроксимацию линии для наблюдаемых взаимосвязей между издержками и объемом, называемой линией наилучшей аппроксимации; во-вторых он дает пользователю информацию о степени доверия к качеству аппроксимации, предлагаемой линией регрессии. Применением метода максимума-минимума или графика визуального контроля ни одна из этих целей не достигается.
Регрессионный анализ выполняет приближение данных прямой линией таким образом, чтобы минимизировать сумму квадратов расстояний от линии регрессии до точек фактических наблюдений, т. е. чтобы сумма квадратов этих отклонений была меньше, чем сумма квадратов отклонений от любой другой прямой. Следовательно, этот метод линейной аппроксимации свободен от субъективности. Математический метод, обеспечивающий достижение этой цели, называется методом наименьших квадратов. Метод наименьших квадратов подразумевает использование двух математических уравнений, известных как нормальные уравнения, совместное решение которых определяет значения параметров а и Ь, присутствующих в функции совокупных издержек. Эти уравнения имеют вид:
S(y)=n a+b S(x);
S(xy) = a S(x) + b S(xx).
где n — количество наблюдений;
S(x) - сумма значений независимой переменной (например, х – уровень выпуска продукции;
S(y) - сумма значений зависимой переменной (например, у — совокупные издержки;
S(xx) - сумма квадратов значений х;
s(xy) - сумма произведений пар всех значений х и у;
а - совокупные постоянные издержки;
b - переменные издержки на единицу продукции.
Прежде чем приступить к расчету линии регрессии для исследуемой фирмы нужно привести некоторые предположения, которым подчиняется линейный регрессионный анализ. Имеется по крайней мере три предположения при применении регрессионного анализа. Во-первых, предполагается линейность взаимосвязи между издержками и объемом, во-вторых, предполагается, что существует равномерная дисперсия затрат (полных) относительно линии регрессии; и в-третьих, предполагается, что последовательные измерения издержек взаимонезависимы.
Данные регрессионного анализа приведены в таблице 1.9.4.
Таблица 1.9.4 - Исходные данные для регрессионного анализа
|
Х |
У |
ХY |
XX |
УУ |
|
|
308 411 |
241 065,7 312678,1 |
74248 235,6 128510699,1 |
94864 168921 |
58 112671 716,4 97767594219,6 |
|
|
342 |
257415,5 |
88 036 101 |
116964 |
66 262 739 640,2 |
|
|
Сумма |
1 061 |
811 159,3 |
290 795 035,7 |
380 749 |
222 143 005 576,3 |
Подстановка соответствующих значений из таблицы 1.9.4 в систему уравнений дает следующие результаты:

Умножив обе части уравнения на 1061 и обе части уравнения на 3, получаем:
860640017.3=3183 а+1125721 b 872385107.1 =3183 a-1142247b
Вычитание первого уравнения из второго дает:
11745089.8= 16526 b. т.е. b = 710
Подставляя b = 710 в первое уравнение, получаем:
811 159,300 - 3 а + 753310, т.е. а = 19298
Теперь уравнение прямой линии примет вид:
У - 19298 + 710 х
Произведенная оценка позволяет заключить, что производственные издержки фирмы состоят из фиксированной составляющей в 19298 руб и (линейной) переменной составляющей в 710 руб. на единицу продукции.
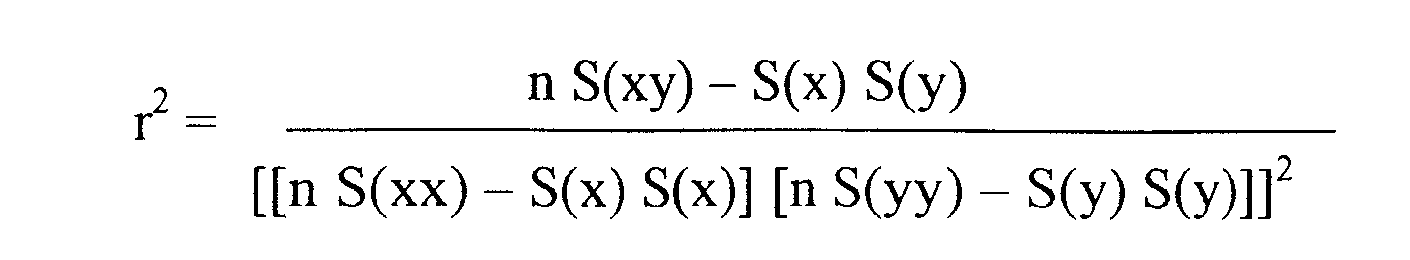
Для оценки качества аппроксимации линии регрессии, используется коэффициент корреляции. Квадрат этого коэффициента, является широко применяемой статистической величиной, известной как мера определенности Она показывает долю вариации в совокупных издержках, которая объясняется изменениями в наблюдаемых значениях уровней выпускаемой продукции. Коэффициент корреляции может быть получен по формуле:

В нашем случае коэффициент корреляции равен 0,99 или 99 %. Это значит, что 99 % вариации совокупных издержек за трехмесячный период объясняются изменениями уровня продукции, проданной за этот же период, хотя и не обязательно вызываются ими. Оставшийся 1% объясняется случайными вариациями, а также влиянием других взаимодействующих, но неизвестных переменных.
Анализ безубыточности приведем при следующих допущениях:
1) издержки обращения являются функцией объема продаж;
2) объем закупа равен объему продаж;
3) постоянные эксплутационные издержки одинаковы для любого объема продаж;
4) переменные издержки изменяются пропорционально объему производства.
5) продажные цены на товар не изменяются во времени.
Поэтому общая стоимость продаж является линейной функцией от продажных цен и количества проданного товара.
Данные для расчета точки безубыточности представлены в таблице 1.9.5.
Таблица 1.9 5 - Исходные данные для расчета точки безубыточности
|
Показатель |
В рублях |
В процентах и в относительном выражении (к выручке от реализации) |
|
Выручка |
930000 |
100 или 1 |
|
Переменные издержки |
753310 |
81 или 0,81 |
|
Валовая маржа |
176690 |
19 или 0,19 |
|
Постоянные издержки |
19298 |
X |
|
Прибыль |
157392 |
X |
Совокупные издержки равны 772608 рублей и находятся по формуле:
TC=FC+VC*Q,
где ТС - совокупные издержки;
FC - постоянные издержки;
VC - переменные издержки;
Q - объем реализованной продукции. Порог рентабельности рассчитывается как:
ПР = FC / ВМ в относительном выражении к выручке,
где ПР - порог рентабельности;
ВМ - валовая маржа. Запас финансовой прочности определяется следующим образом:
ЗФП=ВР -ПР,
где ЗФП - запас финансовой прочности;
ВР - Выручка от реализации продукции. Операционный рычаг находится из формулы:
ОР - ВМ / прибыль,
где ОР - операционный рычаг.
Результаты вычислений сведены в таблицу 2.
Таблица 2 - Элементы операционного анализа
|
Элементы |
В стоимостном выражении, руб. |
В количественном выражении, шт. |
|
Порог рентабельности Запас финансовой прочности |
101 568 828432 руб. |
116 945 |
Таким образом, при выручке 101568 рублей фирма не понесет убытки, по и не получит прибыли. Графическое изображение порога рентабельности представлено на рисунке 1.

Рис. 1. Порог рентабельности
Запас финансовой прочности говорит, что фирма сможет выдержать 89-процентное (828432 в процентах от выручки) снижение выручки без серьезной угрозы для финансового положения.
Величина операционного рычага равна 1,12. Невысокое значение операционного рычага говорит о невысокой степени предпринимательского риска. Расчеты свидетельствуют, что это связано со значительным запасом финансовой прочности, который более чем в 8,2 раза превышает порог рентабельности.
В качестве стратегии проникновения на рынок выберем стратегию дифференцированного маркетинга. Так как наши товары отличаются и по цене и по качеству, то они будут ориентированы на разные сегменты.
Ценообразование является одним из важнейших элементов маркетинга. Правильная ценовая политика - залог успеха предприятия в будущем, поскольку цена одной из важных составляющих, которая имеет прямое отношение к доходам
Различают цену закупки и цену реализации.
Цена закупаемого товара формируется путем суммирования цен поставщика и транспортных расходов. Для импортируемых товаров (в случае для исследуемой фирмы это изделия марки «HIS») прибавляются еще и таможенные расходы.
Результаты расчетов сведены в таблицы 1.6.1 и 1.6.2. Таблица 1.6.1 - Формирование закупочных цен на изделия марки «HIS»
|
Наименование товара |
Расходы, руб. |
Конечная цена, руб. |
||
|
Цена поставщика |
Таможенные расходы |
Транспортные расходы |
||
|
Джинсы |
594 |
386 |
67,5 |
1047,5 |
|
Рубашка |
499.5 |
324,7 |
67,5 |
891,7 |
|
Жакет |
580 |
377,3 |
67,5 |
1025,3 |
|
Футболка |
270 |
175,5 |
67,5 |
513 |
Примечания к таблице 1.6.1:
1. Расчет в рублевом эквиваленте производится по курсу на 1 апреля 2000 г. (1 DM= 13,5руб.).
2. Таможенные расходы составляют 65% от стоимости товара. 3 Транспортные расходы составляют 5DM за единицу товара. Таблица 1.6.2 - Формирование закупочных цен на изделия марок «Gloria Jeans» и различных марок, поставляемых из Москвы
|
Наименование товара |
Расходы, руб |
Конечная цена, руб. |
|
|
Цена поставщика |
Транспортные расходы |
||
|
Джинсы |
193 |
2.7 |
195.7 |
|
Рубашка |
135 |
2,7 |
137,7 |
|
Комбинезон |
208 |
2.7 |
210,7 |
|
Куртка |
221 |
2,7 |
223,7 |
|
«Московские» джинсы |
676 |
2,5 |
678,5 |
Согласно данным из таблиц 1.6.1 и 1.6.2 средняя цена закупки по всей номенклатуре товаров составляет 547 руб.
Анализ конкурентов (см. п, 1.5 ) дает нам средний уровень цен, которого фирма будет придерживаться на этапе выхода на рынок.
Расчет цен производим по методу «средние издержки плюс прибыль». В цену реализации доход нашего предприятия включается в виде торговой наценки, которая определяется в процентах к цене закупки.
Наиболее вероятно, что данным методом пользуются и фирмы-конкуренты, поскольку цены на их товар схожи. Таким образом, ценовая конкуренция сводится к минимуму, и мы получаем дополнительный выигрышный фактор, поскольку в методы конкурентной борьбы для исследуемой фирмы заложена неценовая конкуренция.
При расчете цены реализации нужно учитывать не только экономические, но и психологические факторы. Цена реализации должна обязательно выражаться нечетным числом.
Результаты расчета цен реализации представлены в табл.1.6.3.
Таблица 1.6.3 - Расчет цен реализации на джинсовые изделия, руб.
|
Наименование товара |
Цена закупки |
Надбавка (35%) |
Итого |
|
Изделия «HIS» |
|||
|
Джинсы |
1047.5 |
376,6 |
1424,25 |
|
Рубашка |
891,7 |
296,8 |
1188,6 |
|
Жакет |
1025,3 |
368,9 |
1394,1 |
|
Футболка |
513 |
189,5 |
702,5 |
|
Изделия “Gloria Jeans” |
|||
|
Джинсы |
195 |
78,25 |
273,25 |
|
Рубашка |
137,7 |
58,2 |
195,9 |
|
Комбинезон |
210,7 |
83,75 |
294,5 |
|
Куртка |
223,7 |
88,30 |
311,9 |
|
«Московские» |
678,5 |
247,5 |
925,9 |
Согласно таблице 1.6.3 средняя цена продажи по всей номенклатуре товаров составляет 875 руб.
Так как товар будет находится на стадии внедрения на рынок, то основными задачами ценообразования для фирмы будут:
обеспечение выживаемости фирмы;
завоевание лидерства на рынке по показателям качества и по показателям доли рынка;
получение максимальной прибыли.
На день открытия магазина сбыт продукции будет осуществляться по ценам ниже конкурентов, что обеспечит:
выживаемость предприятия в условиях жесткой конкуренрции;
возможность привлечь большое количество клиентов.
Для окончательного установления цен будет использоваться стратегия дифференцированных цен, т.е. владельцы исследуемого предприятия установят шкалу возможных скидок и надбавок к цене, которую они будут использовать на разных сегментах.
Для стимулирования сбыта будем использовать стратегию привлечения потребителей к товару. Так как наша фирма находится на этапе выведения товара на рынок, то самым эффективным средством стимулирования сбыта будет реклама.
План проведения рекламной кампании:
1. Полиграфия:
Визитки - 200 руб. (на момент открытия бизнеса).
Проспект (в перспективе).
Прайс-листы (на момент открытия бизнеса).
Каталоги продукции (от фирм производителей).
Раздаточный материал (от фирм производителей).
2. СМИ:
Ролик на радио - 1500 руб. (на момент открытия бизнеса).
Ролик на телевидение (перспектива) - 5000 руб.
3. Наружная реклама:
Штендер (дорожный указатель) - 1500 руб. (на момент открытия бизнеса)
Щит (в перспективе) - 10000-20000 руб.
4. Реклама на транспорте:
Фирменный авто - 5000 руб. за борт (в перспективе)
Троллейбус - 10000 руб за борт (очень выгодно, так как охватывает именно наш сегмент) - в перспективе.
Продажи будут осуществляться через собственный магазин розничной торговли.
В магазине будет 3 отдела ( женская одежда, мужская одежда и аксессуары).
Предполагается нанять 3-х продавцов на полную ставку (см. п. 1.7) и расчета один продавец на каждый отдел
Дополнительными методами стимулирования сбыта продукции будут:
скидки;
показы коллекций джинсовых изделий.
В основу конкурентной борьбы заложена неценовая конкуренция. Уникальными преимуществами при продажах является то, что'
планируемый магазин является единственным поставщиком в Уральском регионе джинсовой одежды под маркой «HIS»;
гарантируется отличное качество товаров;
будет продаваться большое количество моделей (особенно женской)
одежды (в смысле посадки на фигуре).
Стратегия обеспечения конкурентоспособности представлена на рисунке 1.6.5.
Рис 3. Стратегия обеспечения конкурентоспособности
Вид конкурентного преимущества Более низкие издержки и специализация

На момент открытия бизнеса фирма будет придерживаться стратегии ориентации на издержки, т.е. освоит продажу при широкой номенклатуре продукции, устанавливая при этом невысокие цены. Эта стратегия позволит увеличить объем продаж, и суммы получаемой прибыли. Так как владельцы бизнеса планируют завоевать своих клиентов высоким качеством, то окончательной стратегией конкурентоспособности для них станет стратегия уникальности и качества.
Заключение
По данным Госкомстата в начале 2007 года, количество предприятий малого бизнеса достигло 6-7 миллионов. Вполне реально, что предложенный вашему вниманию бизнес-план открытия фирменного магазина джинсовой одежды, убедит своих владельцев добавить к этому количеству еще одно малое предприятие.
В курсовом проекте рассмотрены все возможные аспекты экономической среды, окружающей предприятие и дана финансовая оценка. В процессе работы над проектом была получена следующая информация. В результате изучения потребительских предпочтений оказалось, что, потребители, прежде всего, хотят видеть качественный и разнообразный товар, преимущественно покупать его в специализированных салонах. Из-за наводнения рынка джинсовых изделий подделками под знаменитые мировые торговые марки, покупатели не имеют возможности оценить преимущества того или иного товара.
Покупателями являются люди с высоким доходом и доходом выше среднего.
Анализ конкурентов проводился с точки зрения их внутренней операционной структуры и с точки зрения предпочтений. Оказалось, что не так много фирм предлагают разнообразный качественный товар по цене соответствующей этому качеству.
Для достижения своих целей, владельцам бизнеса рекомендуется придерживаться следующих маркетинговых стратегий:
1. Стратегию дифференцированного маркетинга;
2. Стратегию дифференцированных цен;
3. Стратегию, направленную на уникальность и качество продукции;
4. Стратегию привлечения потребителей.
Финансовая оценка показала, что:
исследуемой фирме достаточно продавать 116 штук изделий за один квартал, чтобы покрыть все издержки.
Спрогнозированный, на основании маркетингового исследования и с позиции теории игр, объем продаж говорит о том, что, продавая в среднем 14 штук джинсовых изделий в день, предприниматель будет получать хорошую прибыль, а риск вложения средств в товар будет не велик.
Проведенный анализ чувствительности показал, что наибольшее влияние на результат оказывает цена. Незначительное увеличение цены привело к росту прибыли на 28 %. Таким образом, в подобной ситуации необходимо сосредоточить свое внимание на формировании ценовой политики.
Интегральные показатели проекта следующие:
Потребность в инвестициях - 434.5 тыс.руб.;
« Срок окупаемости -13 месяцев;
Дисконтированный срок окупаемости - 25 месяцев;
Чистый дисконтированный доход - 87.5 тыс.руб.;
« Внутренняя норма доходности - 85 %.
Обобщая вышесказанное, можно сказать, что идея создания собственного магазина вполне реальна, но при условии стабильности валютного курса. При росте курса фирма будет терпеть убытки, и более перспективным в данной ситуации было бы налаживание производства джинсовых изделий. Таким образом, создавая собственные бизнес, предприниматель имеет возможность получить все то, что раньше ему казалось недосягаемым, а именно, работу, доход, положение в обществе, шанс реализовать себя как личность.
Литература
Аникеев С.Н. Методика разработки плана маркетинга: Сер. «Практика маркетинга». -М.: Фолиум.2004. - 100с.
Берл Г. Создать свою фирму. - М.: «Дело Лтд.»,2003. - 192с.
Быкова Е..В., Стоянова Е.С. Финансовое искусство коммерции. - М. Перспектива, 2004. - 154с.
Ветров А.А. Операционный аудит-анализ. -М.: Перспектива, 2005. - 127с.
Вебер М. Коммерческие расчеты от А до Я. - М.: «Дело и Сервис», 2008. -384.
Гибас Дж. Деловые отношения с покупателями. - М.: «Амалфея», 2007. -272с.
Горохов М.Ю. Бизнес-планирование и инвестиционный анализ. - М.:
Информационно-издательский дом «Филинъ», 2007. - 208с.
Ивашкин Б.Н. Бухучет в торговле. - М.: «Дело и Сервис», 2007. - 576с.
Котлер Ф. Основы маркетинга: Пер. с англ. - М.: «Ростинтер», 2005. - 704с.
П.Мешковой. Н.П. Теория игр: Конспект лекций. - Челябинск: ЧПИ. 1974. - 54с.
.Ковелло Дж.А. Бизнес-планы. Полное справочное руководство. - М.: «Издательство Бином», 2007. - 352с.
Ларионов А.И. Экономико-матаматические методы в панировании. - М.: «Высшая школа», 1991. - 240с.
Памбухчиянс В.К. Организация, технология и проектирование торговых предприятий. - М.: ИВЦ «Маркетинг», 2007. - 320с.