Модели управления запасами в условиях оптовых скидок. Структура грузопотока
Кафедра менеджмента
Контрольная работа
по дисциплине
"Логистика"
Содержание
1. Суть и графическое изображение модели управления запасами в условиях оптовых скидок
2. Дайте определение грузопотоку. Структура грузопотока. Правила построения и назначения эпюры и картограммы грузопотоков
3. Задача
Список использованной литературы
1. Суть и графическое изображение модели управления запасами в условиях оптовых скидок
Управление запасами – это определенный вид производственной деятельности, объектом которого является создание и хранение запасов.
Основная цель управления запасами на предприятии – снижение общей суммы ежегодных затрат на содержание запасов до минимума при условии удовлетворительного обслуживания клиентов.
Практика управления запасами состоит в изменении условий или в разработке мероприятий с целью уменьшения общей ежегодной суммы затрат на обеспечение запасов. Объем капиталовложений в запасы, необходимых для удовлетворения предполагаемого спроса, и ежегодная сумма затрат на формирование запасов зависят от совокупности различных мероприятий, условий и решений. Для начала рассмотрим влияние на ежегодную общую сумму затрат для обеспечения запасов следующих видов деятельности:
проектирование изделий;
выбор оборудования;
выбор места для предприятия;
размещение складов;
выбор поставщиков;
выбор методов транспортировки товара;
выбор методов организации и
управления производством;
определение
объема поставок;
подготовка данных для прогноза.
Цель управления запасами – удерживать на минимальном уровне ежегодную общую сумму затрат на обеспечение запасов. Как же определяется эффективность управления запасами? Это зависит от поставленной конкретной задачи.
На практике разработано множество методов, приемов и стратегий управления запасами. Выбор их зависит от особенностей производства, состава используемых показателей для целей управления, характера взаимодействия с поставщиками материальных ресурсов, организации сбыта готовой продукции, наличия квалифицированных специалистов в области управления, их технической оснащенности и др.
Принятие решений в условиях существования оптовых скидок
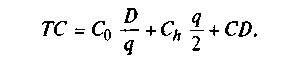
В реальности часто применяются скидки на объем заказа (оптовые скидки): чем больше размер заказа, тем меньшую цену придется уплатить за каждую единицу. В таком случае для того, чтобы определить оптимальный размер заказа, необходимо включить такие скидки в базовую модель. Общая величина затрат на материалы включает в себя стоимость самих материалов, стоимость хранения запасов и стоимость размещения заказов:

где С – исходная цена единицы материала.
Если цена единицы материала не зависит от размера заказа (т.е. скидок нет), включение в формулу стоимости самих материалов не повлияет на оптимальный размер заказа, а кривая суммарных издержек сместится вверх на постоянную величину.
Если же поставщик предоставляет оптовые скидки, цена единицы материала будет зависеть от размера заказа, а в функции суммарных затрат появятся точки разрыва.
Параллельные кривые издержек (по одной на каждый уровень цен) представлены на рис. 1. В точках, соответствующих минимальному размеру заказа, для которого предоставляется скидка, величина издержек «перескакивает» с одной кривой на другую. Из графика видно, что оптимальное значение размера партии может находиться либо в минимальной точке одной из кривых, либо в одной из точек разрыва, поэтому в условиях предоставления оптовых скидок последовательность анализа следующая:
1.
Определить
оптимальный размер заказа для
каждого
уровня цен q>0>>i>,
где i
– индекс соответствующей кривой.
2. Проверить, попадают ли найденные значения q>0>>i> в область соответствующего размера скидки, т.е. в область, где издержки описываются кривой с индексом i.
Если некоторый размер заказа q>0>>i> попадает в область соответствующего размера скидки (см. рис. 6, область I), то он является наилучшим для данного уровня цен, если же не попадает, то самым лучшим для данного уровня цен будет размер заказа, соответствующий точке разрыва – q>1>>i>. Итак, если обозначить оптимальное значение размера заказа в области I как q>i>, то

3. Рассчитать суммарные издержки на материалы для каждого q*>i>. Оптимальным будет такой размер заказа q*, при котором суммарные издержки минимальны.

Рис. 1. Функция общей стоимости запасов при различных условиях предоставления оптовых скидок: I – скидка не предоставляется; II – скидка 1; III – скидка 2
2. Дайте определение грузопотоку. Структура грузопотока. Правила построения и назначения эпюры и картограммы грузопотоков
Грузопотоком называется количество грузов в тоннах, перевозимых в одном направлении за определенный период времени. Грузопоток состоит из различных грузов, структура которых подразделяется на три вида: отраслевую, групповую и родовую.
Отраслевая структура грузопотока определяется принадлежностью груза к какой-либо отрасли народного хозяйства, например, продукция машиностроительной, текстильной, горнорудной или другой отрасли промышленности. Групповая структура характеризуется принадлежностью грузов к определенной группе по их общему назначению (строительные материалы, топливо и т.п.), а родовая – распределением грузов по свойствам, только им присущим, например зерновые, нефтепродукты, овощи. Родовой тип структуры позволяет наиболее правильно решать вопросы планирования и организации перевозок, а также выбирать подвижной состав для выполнения транспортной работы.
Для изучения грузопотоков составляют шахматные (косые) таблицы, в которых устанавливают корреспонденцию между грузоотправителями и грузополучателями. Графически грузопотоки могут быть представлены в виде эпюр, схем или картограмм.
Рассмотрим построение эпюры грузопотока на автомобильном транспорте. Эпюру строят в координатах «объем перевозок Q, т, «расстояние» L, км. Значение Q откладывают по оси ординат, L – по оси абсцисс в соответствии с выбранным масштабом.
Таблица 1
|
Пункт отправления |
Пункт назначения |
Всего отправлено, т |
|||
|
А |
B |
C |
D |
||
|
А |
– |
200 |
– |
500 |
700 |
|
В |
– |
– |
100 |
200 |
300 |
|
С |
500 |
100 |
– |
300 |
900 |
|
D |
500 |
– |
400 |
– |
900 |
|
Всего |
1000 |
300 |
500 |
1000 |
2800 |
Эпюра имеет прямое и обратное направление движения грузов. Прямым направлением считается то, по которому следует наибольшее количество грузов. Отношение размера грузопотока в прямом направлении к размеру грузопотока в обратном направлении называется коэффициентом неравномерности грузопотоков по направлениям.
Объем грузов, перевозимых в прямом направлении, откладывают вверх от нулевой отметки, а в обратном – вниз от неё. Для условий, приведенных в табл. 1, прямое направление: DA = ВА + СА + DA + СВ + DC =500 +500 + 100 + 400 = 1500 т, обратное: AD = АВ + АС + AD + ВС т BD + CD = 200 + 500 + 100 +200 + 300 =1300 т.
Отсюда коэффициент неравномерности грузопотоков: η= Qnp/ Qоб =1500 /1300 =1,15.
Построение эпюры начинают с грузопотока, идущего от пункта D, т.е. самого дальнего, к пункту А. При масштабе 1 см = 200 т на графике откладывают от нулевой отметки 2,5 см и проводят линию, параллельную оси абсцисс, до пересечения с ординатой точки А.
Полученное пространство между осевой и проведенной линией заштриховывают (различно по участкам).
Затем откладывают грузопоток объемом 500 т, следующий из С в А, и проводят линию от ранее отложенной и параллельную ей до пересечения с ординатой точки А. Полученное пространство также заштриховывают. Аналогично откладывают и следующие грузопотоки. Нижняя часть строится таким же способом, как и верхняя. Полученная эпюра (см. рис. 2) предоставляет собой графическое изображение грузопотоков на данном участке трассы.

Рис. 2. Эпюра грузопотоков
Эпюры грузопотоков дают возможность определить:
количество груза, отправляемого из каждого пункта, прибывающего и проходящего через него;
объем перевозок и грузооборот на каждом участке и на всей линии;
среднее расстояние перевозки грузов.
Они также помогают выявить нерациональные встречные перевозки, т.е. перевозки одинакового груза во встречных направлениях.
Грузопотоки могут быть изображены в виде схемы. Для этого используется карта района перевозок, на которую нанесены пункты или микрорайоны отправления и назначение груза, т.е. грузообразующие и грузопоглощающие пункты. Карту района перевозок делят на квадраты последовательным нанесением на равном расстоянии взаимно перпендикулярных линий. Полученные таким образом квадраты кодируют в буквенно-цифровой системе (по типу шахматной доски): по горизонтали – буквы, по вертикали – цифры. Зная количество тонн груза, подлежащего перевозке из пунктов отправления в пункты назначения, выбирают масштаб и в соответствии с ним наносят грузопотоки линиями определенной ширины.
Грузопотоки могут также иметь вид картограммы. Картограмма – это графическое изображение грузопотоков на карте по действительным путям перемещения грузов.
При помощи схем и эпюр создается наглядная схема перевозок между пунктами отправления и назначения грузов, определяется транспортная работа, устанавливается наиболее выгодное расположение стоянки автотранспорта, чтобы непроизводительные пробеги из гаража к месту работы и обратно были минимальные.
3. Задача
Определите какой вид транспорта целесообразней использовать: тягач или бортовой автомобиль при следующих исходных данных: грузоподъемность каждого из них - 11 т, техническая скорость автомобиля – 60 км/ч, тягача - 55 км/ч, коэффициент использования пробега - 0,5, время простоя автомобиля под погрузкой и разгрузкой - 50 мин., время на переприцепку прицепов у тягача - 20 мин., расстояние перевозки - 700 км.
Решение
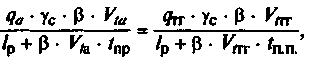
Чтобы ответить на поставленный вопрос, необходимо произвести сравнение выгодности применения бортового автомобиля и тягача со сменным прицепом или полуприцепом. Определим равноценное расстояние, при котором производительность тягача и автомобиля будет одинаковой.
Величина равноценного расстояния определяется следующим образом.
Для автомобиля:

Для тягача:

где q>тг >— грузоподъемность прицепных систем, буксируемых тягачом;
V>тг>—техническая скорость тягача, км/ч;
t>пп >— время перецепки прицепов (полуприцепов), ч.
При Q>ча> = Q>чт>>г>, l>rc>= l>p>. Причем для сопоставления перевозок считаем равными коэффициенты статистического использования грузоподъемности и пробега.
Тогда,

решаем далее это равенство относительно l>P>

Сравнивая полученное расчетным путем равноценное расстояние с расстоянием перевозки, выбираем подвижной состав. Если расстояние перевозки меньше равноценного, то следует применять тягач, если расстояние перевозки больше равноценного, то следует использовать автомобиль, т.е. тягач: l>пер> < l>P,> автомобиль: l>пер> > l>P>.
Такое решение обусловливается тем, что тягач со сменными прицепами рациональнее использовать на короткие расстояния перевозок, так как время на переприцепку меньше времени простоя бортовых автомобилей под погрузкой и выгрузкой. В том случае, если тягач эксплуатируется без прицепов, то его работа приближается к работе автомобилей соответствующей грузоподъемности. Причем с увеличением расстояния перевозки преимущество автомобилей по сравнению с тягачами возрастает, так как первые имеют большую скорость движения.
При определении равноценного расстояния может быть получено отрицательное значение как в числителе, так и в знаменателе. В первом случае следует выбирать автомобиль, а во втором — тягач, так как произведение qV представляет собой часовую производительность, а при отрицательном значении знаменателя часовая производительность тягача больше часовой производительности автомобиля.
По нашему условию:
β = 0,5
V>ta>> >= 60 км/ч
V>t>>т >= 55 км/ч
q> т>> >= q> >>a>> >= 10т
t> >>пр >= 50 мин = 5/6 часа
t> >>п.п >= 20 мин = 2/6 часа

l>P>> >< l>пер> т.е. 165 < 700.
Так как расстояние перевозки больше равноценного, то следует выбрать автомобиль.
Список литературы
Антошкіна Л.І, Амелькін В.І, Шило К.М. Логістика. Курс лекцій: навч. посібник. – Донецьк: Юго-Восток, 2008. – 203 c.
Бевзенко В.Ф., Баширов И.Х, Лазебник Р.М. Маркетинг и логистика в коммерческо-торговой сфере. – Донецк: Юго-Восток, 2006. – 336 с.
Беспалов Р.С. Транспортная логистика. Новейшие технологии построения эффективной системы доставки. – М.; СПб.: Вершина, 2007. – 382 с.
Беспалов Р.С. Транспортная логистика: новейшие технологии построения эффективной системы доставки. – М.; СПб.: Вершина, 2008. – 382 с.
Ларіна Р.Р. Логістика: Навч. посіб. / Донецький держ. ун-т управління. – Донецьк: ДонДУУ, 2006. – 277 с.
Логистика: словарь наиболее употребляемых терминов / Международный ин-т трудовых и социальных отношений / Станислав Иванович… Барановский (авт.-сост.). – Минск: МИТСО, 2007. – 163 с.
Моисеева Н.К. Экономические основы логистики: учебное пособие по спец. «Логистика» / В.И. Сергеев (ред.). – М.: ИНФРА-М, 2008. – 528 с.
Неруш Ю.М. Логистика: учебник / Московский гос. ин-т международных отношений (Ун-т). – 4-е изд., перераб. и доп. – М.: Проспект, 2007. – 517 с.
Смолка А.О. Логістика: навч.-метод. посібник для студ. спец. «Менеджмент організацій» та «Економіка підприємства» / Державна академія житлово-комунального господарства. – К.: ДАЖКГ, 2008. – 148 с.
Стерлигова А.Н. Управление запасами в цепях поставок: учебник для студ. вузов, обучающихся по спец. 080506 «Логистика и управление цепями поставок». – М.: ИНФРА-М, 2008. – 429 с.
Таньков К.М, Тридід О.М., Колодизєва Т.О. Виробнича логістика: Навч. посіб. для студ. вищ. навч. закл. / Харківський національний економічний ун-т. – 2. вид., переробл. – Х.: ВД «ІНЖЕК», 2006. – 352 с.
Тридед А.Н., Таньков К.Н. Логистика: Учеб. пособие для самост. изучения дисциплины / Харьковский национальный экономический ун-т – Х.: ИД «ИНЖЭК», 2006. – 208 с.
Тридід О.М., Азаренкова Г.М., Мішина С.В., Борисенко І.І. Логістика: навч. посібник. – К.: Знання, 2008. – 566 с.