Обгрунтування товарного портфелю торговельного підприємства ЗАТ "Вентиляційні системи"
КНТЕУ
КУРСОВА РОБОТА
з дисципліни «Економіка торгівельного підприємства»
на тему : „Обгрунтування товарного портфелю торговельного підприємства
ЗАТ «Вентиляційні системи»”
ЗМІСТ
ВСТУП
РОЗДІЛ 1. СУТНІСТЬ ТОВАРНОЇ ПОЛІТИКИ ТОРГОВЕЛЬНОГО ПІДПРИЄМСТВА
1.1 Поняття товарної політики торговельного підприємства , етапи її розробки
1.2 Методичні підходи до планування товарного портфелю торговельного підприємства та оцінки його ефективності
1.3 Основні фактори, що впливають на формування товарного портфелю торговельного підприємства
РОЗДІЛ 2. АНАЛІЗ ІСНУЮЧОЇ ПРАКТИКИ ФОРМУВАННЯ ТОВАРНОГО ПОРТФЕЛЮ ЗАТ «ВЕНТИЛЯЦІЙНІ СИСТЕМИ»
2.1. Аналіз обсягів та структури товарообороту в товарному портфелі ЗАТ «Вентиляційні системи»
2.2 Інтегральна оцінка ефективності діяльності торговельного підприємства ЗАТ "Вентиляційні системи"
2.3 Оцінка прибутковості реалізації окремих товарних груп товарного портфелю ЗАТ “Вентиляційні системи”
РОЗДІЛ 3. ОБГРУНТУВАННЯ ПЛАНОВОГО ОБСЯГУ ТА ТОВАРНОЇ СТРУКТУРИ ТОВАРООБІГУ ТОРГОВЕЛЬНОГО ПІДПРИЄМСТВА ЗАТ «ВЕНТИЛЯЦІЙНІ СИСТЕМИ»
ВИСНОВКИ
СПИСОК ВИКОРИСТАНОЇ ЛІТЕРАТУРИ
ДОДАТКИ
ВСТУП
Асортимент, ціни і збут – це три кити, на яких тримається товарна політика торговельного підприємства. Успішна реалізація кожного з них окремо не дає ефекту, який можна було одержати, ув'язавши усіх трьох між собою. Таким чином, залежність асортименту і цін виражається тим, що рівень закупівельних цін впливає на формування асортименту, а існуючий асортимент, його ширина і глибина впливають на установку відпускних цін. Ціна впливає на організацію збутової політики, а збут, у свою чергу, впливає на формування ціни. Також збутова політика повинна бути ув'язана з асортиментом, тому що побажання покупців формують асортимент, а реальний асортимент визначає способи ведення продажів.
Таким чином, керування формуванням асортименту, установкою цін і розробкою збутової політики необхідно здійснювати, з огляду на зв'язку між ними. Приймаючи в увагу постійно мінливу кон'юнктуру ринку, і асортимент, і ціни, і збут, необхідно регулярно переглядати й оцінювати результат від введення тих або інших змін. Для здійснення регулярного аналізу необхідно витрачати і час і кошти. Але це дозволить досягти конкурентних переваг.
Актуальність досліджень товарної політики полягає в тому, що в даний час лише деякі торговельні фірми відносяться до формування асортиментної, цінової і збутової політики так серйозно, як це написано в більшості видань. Це дає їм певні переваги – знати ринок, з найбільшою імовірністю пророкувати поведінку попиту, завойовувати покупців і ін. Здобуваючи, таким чином, фінансову міць такі підприємства є серйозною перешкодою на шляху розвитку дрібних оптових фірм, у результаті чого дрібні фірми, що працюють у близькому сегменті, змушені знаходити обхідні шляхи.
Об’єкт досліджень курсової роботи – виробничо торгівельне підприємство ЗАТ “Вентиляційні системи” (м.Київ).
Предмет досліджень курсової роботи – практика формування торгової політики підприємства на ринку вентиляційних систем з врахуванням умов власного виробництва реалізуємого товару.
Мета досліджень курсової роботи - вивчення закономірностей та принципів маркетингової політики спеціалізації фірми на вузькому сегменті ринку та реалізації принципів М.Портера по формуванню диференційованого товарного портфелю, як заходу по підвищенню прибутковості діяльності.
Методи досліджень : проведення горизонтального(індексно-хронологічного) та вертикального(структурно-хронологічного) аналізу балансу та фінансової звітності підприємства, аналіз фінансових коефіцієнтів, структурний аналіз товарної номенклатури та її класифікація.
Інформаційно-методологічна база досліджень — зведені фінансово-статистичні щорічні документи ЗАТ «ВЕНТИЛЯЦІЙНІ СИСТЕМИ» за 2003-2005 роки та поквартальні журнали виробництва і реалізації продукції за 2005 – 2006 роки.
Практичне значення отриманих результатів курсової роботи - в отриманні аналітичних доказів високої ефективності маркетингової стратегії ЗАТ “Вентиляційні системи” спеціалізації товарного портфелю в вузькому сегменті ринку обладнання для систем вентиляції.. При цьому висока диференціація номенклатурного ряду типорозмірів вентиляційного обладнання дає можливість розвинути кожну з 8-ми спеціалізованих підгруп продукцію в товарну продукцію на самостійному сегменті ринку.
РОЗДІЛ 1. СУТНІСТЬ ТОВАРНОЇ ПОЛІТИКИ ТОРГОВЕЛЬНОГО ПІДПРИЄМСТВА
1.1 Поняття товарної політики торговельного підприємства , етапи її розробки
Торгова діяльність - ініціативна, самостійна діяльність юридичних осіб і громадян по здійсненню купівлі і продажу товарів з метою одержання прибутку. У процесі комерційної діяльності кожний підприємець зіштовхується із проблемою реалізації продукції. Забезпечення успіху при цьому безпосередньо пов'язане з глибоким і всебічним вивченням ринку й ринкових можливостей виробленого продукту. Аналіз ринкових умов господарювання, розробка шляхів і методів впровадження товару на ринок і розширення обсягів його реалізації становлять особливий напрямок у діяльності фірми [10].
Існують два основних способи реалізації: робота на замовлення й робота на вільний ринок [17].
Робота на замовлення. При цьому способі підприємство працює на заздалегідь відомий ринок. Випуск продукції здійснюється відповідно до наявного портфеля замовлень, укладеними контрактами, підрядами й попередніми згодами про поставки виробленої продукції й надання послуг. Заздалегідь обговорюються строки, технічні характеристики товарів, обсяги поставок продукції, ціни.
Робота на вільний ринок. При цьому способі підприємство випускає продукцію на вільний ринок без заздалегідь установлених обмежень щодо кількісних і якісних характеристик товарів. Завдання реалізації товарів включають пошуки можливих ринків збуту (з огляду на їх географічне розташування), вибір конкретних форм реалізації, визначення припустимого рівня цін. Реалізація продукції на вільний ринок здійснюється через оптову й роздрібну торгівлю.
Маркетингова товарна політика – це комплекс заходів, у рамках якого один або кілька товарів використовують як основні інструменти досягнення цілей фірми [28].

Рис.1.1. Складники і цілі маркетингової товарної політики
Рішення, які приймає компанія щодо маркетингової товарної політики:
- рішення щодо створення нових товарів (властивості, дизайн, марочна назва, упаковка, сервіс, гарантії, тощо);
- рішення щодо модифікації товарів;
- рішення щодо товарного асортименту (ширина, глибина);
- рішення щодо товарної номенклатури (ширина, глибина, насиченість, гармонійність);
- рішення щодо припинення випуску товарів.
1.2 Методичні підходи до планування товарного портфелю торговельного підприємства та оцінки його ефективності
Товарний асортимент – це група товарів, тісно пов'язаних між собою схожістю принципів функціонування, продажем одним і тим самим групам покупців, реалізацією через аналогічні канали збуту або належністю до одного й того самого діапазону цін.
Рішення щодо товарного асортименту стосуються сукупності марок певного товарного асортименту. Чітких правил визначення товарного асортименту не існує. Обсяг і структура асортименту характеризуються показниками: глибина і широта асортименту.
Глибина асортименту – кількість моделей, розмірів або відтінків смаку, кількість різновидів товару певного товарного асортименту.
Широта асортименту – різноманітність товару в асортименті (або кількість асортиментних груп). Розширення товарного асортименту означає вихід за його межі, зазвичай у суміжні товарні категорії.
І під час поглиблення, і під час розширення асортименту головний ризик для компанії – "канібалізм". Нові марки, які зазвичай нічого не доповнюють нового, можуть призвести до такої ситуації, коли компанія почне зазнавати витрат, пов'язаних зі збільшенням асортименту, не збільшуючи продаж.
Компанії можуть пропонувати не одну, а кілька асортиментних груп товарів, які створюють товарну номенклатуру.
Товарна номенклатура – сукупність усіх асортиментних груп товарів і товарних одиниць, які компанія пропонує покупцям. Товарній номенклатурі компанії властиві чотири важливі характеристики: широта, насиченість, глибина та гармонійність [10].
Широта товарної номенклатури – кількість асортиментних груп, які випускає компанія.
Насиченість товарного асортименту – загальна кількість окремих товарів, які становлять асортимент.
Глибина товарної номенклатури – кількість варіантів виконання кожної торгової марки (товару) в межах асортиментної групи.
Гармонійність товарної номенклатури – ступінь схожості між товарами різних асортиментних груп з погляду їхнього кінцевого використання, умов виробництва, каналів розповсюдження або інших показників.
Характеристики товарної номенклатури можуть слугувати базовими орієнтирами для розробки стратегії товару. У компанії може бути чотири способи розширення діяльності: створення нових асортиментних груп товарів і таким чином розширення товарної номенклатури; компанія може розширити вже наявні асортиментні групи, щоб отримати статус компанії з невичерпним асортиментом; компанія може збільшити кількість варіантів кожного з уже наявних товарів; компанія може прагнути більшої (або меншої) гармонійності товарів різних асортиментних груп.
Стратегія маркетингу марки або товарного асортименту змінюється впродовж циклу життя товару, тобто стадій, які він проходить від розробки і появи на ринку до зростання, зрілості і занепаду. Життєвий цикл товару складається з п'яти чітко виражених етапів [25].
Розробка – упродовж цього періоду компанія знаходить і втілює в життя нову ідею. Тоді ж обсяг продажу дорівнює нулю, а обсяги інвестицій зростають разом із наближенням до завершальної стадії етапу.
Виведення на ринок починається з першої появи товару на ринку. Завоювання ринку потребує часу, тому обсяг продажу зростає повільно. Прибутки на цьому етапі від'ємні чи невисокі через незначний обсяг продажу чи високі витрати на маркетингові заходи. Витрати на просування товару порівняно високі, оскільки необхідно проінформувати покупців про новий товар і надати їм можливість випробувати його.
Зростання – якщо новий товар користується попитом, він переходить на етап зростання. Зростає обсяг продажу товару. На цьому етапі відбувається постійне зростання прибутку, оскільки витрати на просування співвідносяться з дедалі більшими обсягами продажу, а витрати виробництва на одиницю продукції знижуються. Головним завданням реклами стає не ознайомлення споживачів з товаром, а підтримка прихильності до товару та рішення про купівлю, в певний момент компанія може знизити ціну, щоб залучити нових покупців. На етапі зростання у компанії виникає необхідність шукати компроміс між великою часткою ринку та високим поточним прибутком. Витрачаючи великі кошти на вдосконалення товару, просування та розподіл, компанія може завоювати панівне становище на ринку. У цьому разі, однак, вона відмовляється від максимального поточного прибутку, сподіваючись повернути його на наступному етапі.
Зрілість – зростання обсягу продажу сповільнюється, оскільки основна маса потенційних покупців уже придбала товар. Рівень прибутку залишається незмінним чи знижується внаслідок збільшення витрат на маркетингові заходи, спрямовані на захист товару від конкурентів. Етап зрілості триває довше, ніж попередні етапи. Уповільнення темпів зростання обсягів продажу відбувається внаслідок появи багатьох виробників і великої кількості товару.
Занепад – зниження обсягів продажу та скорочення прибутків. Зменшення обсягів продажу може пояснюватися багатьма причинами, такими як технічний прогрес, зміна смаків споживачів, посилення конкуренції. Компанії можуть припинити свою діяльність на ринку після того, як обсяги продажу та прибутку почнуть зменшуватися. Ті, що залишаються, можуть скоротити бюджет просування, знизити ціни або відмовитися від менших сегментів ринку і другорядних каналів збуту. Підтримка слабкого товару може бути для компанії надто дорогою.

Рис.1.3. Зміна обсягів продажу та прибутку впродовж життєвого циклу товару
Позиція товару – це місце, яке займає певний товар у свідомості споживачів порівняно з аналогічними конкуруючими товарами. Позиціювання товару – спосіб, відповідно до якого споживачі ідентифікують той чи інший товар за його найважливішими характеристиками. Позиція товару – це цілий набір поглядів, вражень і відчуттів, що формується у споживача під час порівняння певного товару з товарами-конкурентами. Формування позитивного ставлення споживачів до товару компанії – наслідок дій її стратегії позиціювання. Особливе місце в цьому процесі займає політика маркетингових комунікацій. Наприклад, завдяки рекламі може бути створено певний імідж марки товару. Хоча престижність товару підтримується також рівнем ціни, місцем продажу та ін. Вибір позиції товару повинен грунтуватися на реальних перевагах товару (послуги). Необхідно враховувати позицію, яку займають у певному сегменті ринку конкуренти, а потім визначати найкращу позицію.
Конкурентні переваги – це сильні сторони товару. Споживачі можуть здійснювати позиціювання самостійно або за допомогою маркетологів. Проте маркетологи розробляють маркетингові програми для зайняття таких позицій, які б забезпечили товарам компанії найбільшу перевагу на визначеному цільовому ринку.
Маркетингова стратегія планування товарного портфелю підприємства охоплює наступні питання [7]:
- який товар вводять на ринок, за якою ціною і на якого споживача він розрахований;
- які умови необхідні для продажу товарів на запланованому рівні, через які канали й у яких обсягах буде проходити реалізація;
- якими засобами доцільно впливати на попит і стимулювання продажів;
- яким повинне бути сервісне обслуговування і хто буде його проводити;
- які будуть отримані результати і які для цього будуть потрібні витрати.
1.3 Основні фактори, що впливають на формування товарного портфелю торговельного підприємства
Основним фактором формування товарного портфелю виробничо-торговельного підприємства є асортимент продукції – сукупність її видів, різноманітність та сортамент, які об’єднані конкретною ознакою [10].
Формування асортименту продукції на підприємстві є складним процесом, який здійснюється з урахуванням дії цілого ряду факторів. Ці фактори поділяються на загальні та специфічні. До загальних факторів відносять споживчий попит та виробництво товарів. Специфічними факторами є умови товаропостачання, чисельність та спеціалізація підприємств або склад населення, яке обслуговується, транспортні умови, наявність інших конкурентних підприємств в зоні діяльності.
Споживчий попит є основним фактором, який впливає на формування асортименту, і направлений на максимальне задоволення попиту споживача і разом з цим – на активний вплив на попит в сторону його розширення.
Формування асортименту та споживчий попит в своєму розвитку взаємозв’язані. Суттєві зміни в попиті повинні відбиватися в сформованому асортименті.
При формуванні асортименту продукції (товарів), враховуються деякі особливості попиту. Попит на непродовольчі товари менш стійкий ніж на продовольчі товари, яким притаманна висока степінь стійкості, а в окремих випадках – консервативність. Споживач звикає до конкретних видів продукції, тому важливо досягнути стабільності в формуванні асортименту таких товарів, забезпечуючи їх безперебійний продаж.
При формуванні асортименту товарів, треба враховувати фактор взаємної заміни. У випадку відсутності у продажі потрібного товару покупець, як правило, не відкладає покупку, а буде шукати йому заміну.
На формування асортименту впливає також характер попиту. Розрізняють попит стійкий, альтернативний та імпульсивний.
Суттєвим фактором формування асортименту являється ціна товару. Покупець обов’язково визначає для себе граничну ціну, або діапазон цін в границях якого він збирається заплатити за покупку. Тому одним із критеріїв раціонального формування асортименту продукції є забезпечення співставлення продукції з різною ціною.
Від складу та своєчасного оновлення асортименту продукції на підприємстві, в значній мірі, залежить степінь задоволення попиту, витрати населення, які пов’язані з покупкою товарів, кількісні та якісні показники господарської діяльності підприємства. Відсутність в пропозиції окремих товарів, їх вузький, нестабільний або не відповідаючий запитам покупців асортимент, породжують незадоволений попит, збільшуючи витрати часу споживача на пошук необхідної продукції, негативно відбивається на економічній ефективності діяльності підприємства. Тому при формуванні асортименту товарів важливою вимогою являється максимальне задоволення попиту споживачів при мінімальних витратах часу на пошук та здійснення покупки і забезпечення найбільшої ефективної роботи підприємства.
Процес формування асортименту продукції (товару) складається з 3-х етапів.
На першому етапі фірма встановлює груповий асортимент продукції. Ця робота проводиться на основі маркетингових досліджень в області цільового ринку. В залежності від цього визначаються місце та роль підприємства в загальній системі цільового забезпечення та обслуговування споживача.
На другому етапі формування асортименту проводяться розрахунки структури групового асортименту, визначаються кількісні співвідношення окремих груп товарів. Структура групового асортименту встановлюється з урахуванням того сегменті що займає підприємство, його територіальне розміщення та багато інших факторів.
На третьому – заключному етапі визначається внутрішньогруповий асортимент, здійснюється підбір конкретних видів продукції в границях кожної групи. Це найбільш відповідальний етап, і від того, наскільки вірно сформовано тут асортимент продукції, залежить задоволення попиту покупців цільового ринку.
На кінцевому етапі робота по формуванню асортименту ведеться з урахуванням очікування змін в попиті споживача, а також виходячи із наявних виробничих потужностей, складських та торгових площ, розрахункових показників товарообігу, контингенту споживачів що обслуговується та інших факторів.
Формування асортименту залежить від асортиментного переліку продукції підприємства. Отже, розробка кожним конкретним підприємством асортиментного переліку продукції та здійснення контролю за його дотриманням веде до кращого обслуговування споживачів цільового ринку та створення стійкого асортименту. У випадку виявлення відсутності в продажі товарів, які передбачені асортиментом, підприємство повинно приймати міри по їх виготовленню та пред’явлення для реалізації споживачу.
Наявність асортиментного переліку дозволяє не тільки раціонально регулювати асортимент товарів, але і систематично контролювати його повноту та стабільність.
Повнота та стійкість асортименту визначається за допомогою загальновідомих показників: коефіцієнти повноти та стійкості товарного асортименту. Якщо коефіцієнт повноти товарного асортименту становить 0,6 то фактичний асортимент товарів фірми є далеким до передбаченого асортиментним переліком. На даний факт впливають різні фактори, зокрема: низький професіоналізм працівників, відповідальних за розробку асортиментного переліку, неврахований реальний попит споживача; а також загальновідомі процеси, пов’язані з економічною кризою промислових підприємств.
Формування товарного портфелю підприємства в умовах ринку пов’язана в основному, з трьома групами ризику: забезпеченням пропорції рівня попиту, тобто необхідністю виробництва та закупівлі тільки тих товарів, на які буде попит та які будуть реалізовані; оптимізацією товарних запасів (забезпеченням задоволення попиту через мінімальні товарні запаси); діяльністю конкурентів (досягнення переваг, які дозволяють підтримувати і розширювати частку ринку, завоювати нові сегменти ринку).
Впровадження маркетингових досліджень в діяльність підприємства пов’язано насамперед з використанням маркетингової інформації, що є основою для ефективного управління формуванням асортименту товарів. Успішно реалізувати цю проблему дозволяє створення товарних систем на основі автоматизації операцій торгово-технологічного процесу.
Автоматизована товарна система охоплює розрахунки із споживачами: аналіз руху товарів (закупку і реалізацію); ринкові дослідження кон’юнктури ринку, товарів та споживачів; оцінку роботи виробничого персоналу та їх продуктивності. Ця система може також включати і виробництво товару (продукції), оскільки працює на зворотній зв’язок з виробництвом товарів.
Пошук шляхів підвищення ефективності управління формуванням товарного портфелю на підприємстві повинен проводитися по всіх її елементах.
Насамперед:
- вивчення ринку, торговельної кон’юнктури, прогнозування попиту на товари;
- вивчення та пошук можливих джерел закупки товарів (сировини або напівфабрикатів для виробництва);
- використання власних можливостей або створення додаткових джерел для поновлення товарних ресурсів;
- здійснення товарообмінних операцій;
- закупка товарів на біржах;
- проведення політики тактичного ціноутворення, яке залежить від попиту та пропозиції товарів;
- проведення рекламних заходів;
- застосування прогресивних форм реалізації товарів;
- сервісне обслуговування споживачів;
- використання кредитних ресурсів для розширення комерційної діяльності тощо.
РОЗДІЛ 2. АНАЛІЗ ІСНУЮЧОЇ ПРАКТИКИ ФОРМУВАННЯ ТОВАРНОГО ПОРТФЕЛЮ ЗАТ «ВЕНТИЛЯЦІЙНІ СИСТЕМИ»
2.1 Аналіз обсягів та структури товарообороту в товарному портфелі ЗАТ «Вентиляційні системи»
Виробничо-торгівельна компанія ЗАТ «Вентиляційні системи» (торгова марка «ВЕНТС»™) спеціалізується на виробництві вентиляційних модульних систем з 1997 року і сьогодні її продукцію є можливість побачити більш ніж в 80 країнах [29].
Таблиця 2.1
Загальна реєстраційна інформація про ЗАТ “Вентиляційні системи”
|
Повне найменування ЗАТ |
ЗАКРИТЕ АКЦIОНЕРНЕ ТОВАРИСТВО "ВЕНТИЛЯЦIЙНI СИСТЕМИ" |
||
|
Код за ЄДРПОУ |
30637114 |
||
|
Номер свідоцтва про державну реєстрацію ЗАТ |
12244 |
||
|
Дата видачі свідоцтва про державну реєстрацію |
07.09.2001 |
||
|
Код території за КОАТУУ |
8039100000 |
||
|
Територія (область) |
м.Київ |
||
|
Місцезнаходження (поштова адреса) |
М.КИЇВ, ВУЛ. МИХАЙЛА КОЦЮБИНСЬКОГО, 1 |
||
|
Міжміський код |
044 |
Телефон |
461-91-13 |
|
|
info@vents.kiev.ua |
Факс |
235-60-85 |
|
Основні види діяльності: |
(Код за КВЕД) |
(Найменування виду діяльності) |
|
|
1 |
25.23.0 |
Виробництво пластмасового обладнання для будівництва |
|
|
2 |
25.24.0 |
Виробництво інших виробів з пластмаси |
|
|
3 |
51.53.2 |
Оптова торгівля будівельними матеріалами |
|
|
Статутний капітал (грн.) |
555 556 |
||
|
Чисельність працівників (чол.) |
471 |
||
|
Фонд оплати праці (тис.грн.) |
3 590 |
Індивідуальний підхід під час продажу – головний принцип роботи компанії ЗАТ “Вентиляційні системи”. Кожний замовник має властиву йому індивідуальність, і задача фірми – надати докладну інформацію про продукцію, запропонувати оптимальний варіант рішення. Модульність елементів ВЕНТС дозволяє вибрати компоненти для будь-якої системи вентиляції. Розумна цінова політика дає можливість кожному дистрибутору зайняти своє місце на ринку. Партнерські взаємовідносини, наявність продукції, маркетингова та максимальна інформаційна підтримка партнерів сформували ефективну систему збуту для взаємовигідної співпраці – понад 3500 точок продажу в Україні, 10000 у Росії і більш ніж 500 000 по всьому світі. За короткий відрізок час зароблена репутація надійного ділового партнера у всьому світі. Дистрибуторами ВЕНТС є понад 100 компаній з 60 країн [29].
Розвинена система логістики дозволяє виконувати замовлення у будь-якій кількості у найкоротші терміни. Автоматизована система складського обліку, постачання усього асортименту продукції з одного складу, налагоджена робота транспортних служб, великий досвід роботи міжнародних постачань з використанням авто-, авіа-, морського транспорту, різноманітні види і типи транспортної упаковки - все це переваги роботи з ВЕНТС.
Не менш важливою складовою частиною успіху підприємства є системний підхід до просування товару на всіх етапах – від виробництва до кінцевого споживача. Розробка нових видів транспортної та індивідуальної упаковки, технічної документації, методологічних положень, рекламно-поліграфічних матеріалів, торговельного й виставкового обладнання допомагають партнерам ВЕНТС забезпечити максимальний ефект при просуванні продукції. Широка гама рекламних матеріалів, зорієнтованих на окремі види продукції і на різноманітні ланки партнерського ланцюга, допомагає дилерам фірми в роботі.
Торговельна марка «ВЕНТС» поєднує широкий спектр товарів таких асортиментних груп (Додаток А):
- Вентилятори побутові
- Гнучкі повітроводи утеплені й не утеплені
- Ґратки вентиляційні з металу й пластику
- Гнучкі повітроводи з алюмінію
- Тарілчасті клапани й стельові дифузори
- З'єднувально-монтажні елементи
- Системи пластикових повітроводів прямокутного й круглого перетину
- Промислові вентилятори

Рис.2.1. Асортиментне оформлення стендів складу-магазину ВЕНТС
Вся продукція, необхідна для створення систем вентиляції, компактно розміщається на торговельних стелажах. Великий асортимент дозволяє скомпонувати систему, необхідну для забезпечення повітрообміну в будь-яких типах побутових й офісних приміщень. Широкий вибір вентиляторів, оснащених набором додаткових функцій, дозволяє вирішувати завдання будь-якої складності. Використовуючи зазначену комплектацію стендів, Ви одержуєте можливість представити повний спектр високоякісної продукції на мінімальній торговельній площі (рис.2.1, 2.2).

Рис.2.2. Демонстраційні стенди фірми ВЕНТС
Використовуючи код продукції по генеральному каталогу продукції ВЕНТС можна виконати заказ на необхідну комплектацію.
Основні переваги роботи з компанією ЗАТ «Вентиляційні системи»:
- широкий асортимент продукції;
- висока якість продукції;
- все необхідне для комплексних рішень побудови вентиляції;
- мінімальні строки виконання замовлень будь-якого об’єму;
- регулярне оновлення асортименту за рахунок нових розробок;
- орієнтація на споживача;
Історія виробництва елементів систем вентиляції під торговельною маркою ВЕНТС розпочалася у 1997 році з двох термопластавтоматів і декількох прес-форм. стрімкий розвиток компанії дозволив досягти неймовірних результатів за дуже короткий період. На сьогоднішній день ВЕНТС – це унікальне підприємство із замкнутим технологічним циклом і один із ведучих світових виробників. Це - підприємство з головним офісом у Києві і виробничою базою у 15 км за межами міста, розташованою на території більш ніж 22 000 кв. метрів, з більш ніж 1500 робітників, 400 з них мають вищу освіту. Це 10 виробничих цехів, кожний з яких можна порівняти з невеликим заводом.
98,9% асортименту ВЕНТС виробляє самостійно, не звертаючись за допомогою до субпідрядників. Це понад 28000 артикулів продукції і щорічне зростання асортименту на більш ніж 35% завдяки новим розробкам і впровадженням та більше 75% зростання обсягу випуску продукції завдяки розвитку мережі з продажу.
Постійне розширення асортименту видів, типів, моделей вентиляторів призвело до того, що ВЕНТС став безперечним лідером серед виробників аналогічної продукції. У цехах ВЕНТС виробляється близько 6% світового обсягу побутових вентиляторів. Усього за 5 років була розроблена така кількість моделей вентиляторів, які мають різноманітний дизайн і комплектацію, що ВЕНТС справді вважається одним із найпотужніших виробників побутових вентиляторів. Асортимент його продукції постійно зростає завдяки новим моделям, що перебувають на стадії проектування або підготовки до виробництва. За 5 років роботи цеху було випущено близько 5 млн. вентиляторів і сьогодні виробляється біля 350 000 вентиляторів на місяць. Система якості та багатоступеневий процес аудиту, також тестування кожного вентилятора дають тільки 0,002% рекламацій. Вперше у світовій практиці надається 5 років гарантії на продукцію, що стало можливим завдяки використанню високоякісних комплектуючих і двигунів, спеціально розроблених технічними фахівцями КБ спільно з постачальниками у відповідності до високих вимог ВЕНТС для забезпечення високих характеристик і показників надійності.
ВЕНТС приділяє велику увагу якості продукції, що виробляється. Виробничий процес сертифікований у відповідності з міжнародними стандартами ISO 9001: 2000. Нормативно-технічна документація, що регламентує виробничі процеси, забезпечує випуск 100% якісної продукції, що підтверджується сертифікаційними іспитами у лабораторіях по всьому світі. Вентилятори ВЕНТС мають міжнародний сертифікат якості TUV (Німеччина), PCBC, EVPU, РосТест, Тестбет, УкрТЕСТ і т. ін., знак відповідності європейським нормам.
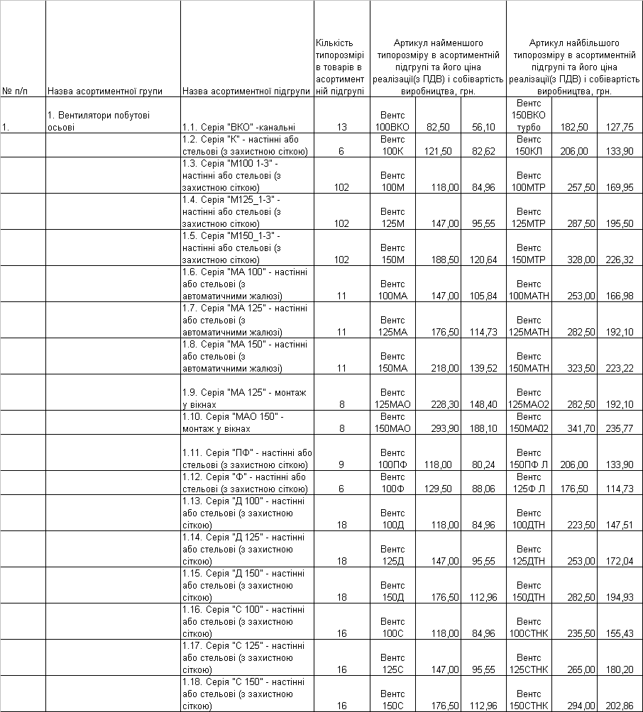
В табл.2.2 – 2.5 наведені основні реалізаційні та собівартістні характеритики основних номенклатурних груп товарного портфелю фірми ВЕНТС.
Таблиця 2.2
Характеристики асортиментної підгрупи товарного портфелю «1.Вентилятори побутові»

Таблиця 2.3
Характеристики асортиментної підгрупи товарного портфелю «2.Вентилятори промислові»

Таблиця 2.4
Характеристики асортиментної підгрупи товарного портфелю «3.Шумоглушники», «4.Гратки вентиляційні», «5. Стельові дифузори та тарілчасті клапани»

Таблиця 2.5
Характеристики асортиментної підгрупи товарного портфелю «6. Пластикові гратки серії "Профіпласт"» «7. Монтажні елементи воздуховодів» «8. Системи воздушних пластикових каналів Plastivent»

На рис 2.3 – 2.6 наведені результати аналізу структури товарообороту ЗАТ «Вентиляційні системи» по валовим доходам від реалізації окремих асортиментних груп продукції товарного портфелю у 1-4 кварталах 2005 року.

Рис.2.3. Аналіз структури товарообороту ЗАТ «Вентиляційні системи» по валовим доходам від реалізації окремих асортиментних груп продукції товарного портфелю у 1 кварталі 2005 року

Рис.2.4. Аналіз структури товарообороту ЗАТ «Вентиляційні системи» по валовим доходам від реалізації окремих асортиментних груп продукції товарного портфелю у 2 кварталі 2005 року

Рис.2.5. Аналіз структури товарообороту ЗАТ «Вентиляційні системи» по валовим доходам від реалізації окремих асортиментних груп продукції товарного портфелю у 3 кварталі 2005 року

Рис.2.6. Аналіз структури товарообороту ЗАТ «Вентиляційні системи» по валовим доходам від реалізації окремих асортиментних груп продукції товарного портфелю у 4 кварталі 2005 року
2.2 Інтегральна оцінка ефективності роботи торговельного підприємства ЗАТ "Вентиляційні системи"
Інтегральна оцінка ефективності формування товарного портфелю (Додаток А) проводиться діагностикою фінансово-економічного стану підприємства на основі його фінансових звітів [3,с.5] :
- Форма №1 “Баланс” – звіт про фінансовий стан, що відображає активи, зобов'язання і капітал підприємства на встановлену дату [4,с.3].
- Форма №2 “Звіт про фінансові результати”, що містить дані про доходи, витрати і фінансові результати діяльності підприємства за звітний і попередній періоди [5,с.3].
У Додатку Б приведені баланси підприємства ЗАТ “Вентиляціні системи” за 2003 - 2005 роки та звіти про фінансові результати за 2003 - 2005 роки.
В Додатку В представлені результати вертикального та горизонтального розрізу при аналізі динаміки статей балансів підприємства та звітів про фінансові результати. Розрахунки виконані з використанням ”електронних” таблиць EXCEL -2000 згідно статистичних алгоритмів робот [17,с.63], [18,с.24].
Аналіз динаміки показників звітів про фінансові результати ЗАТ «Вентиляційні системи», наведених в Додатку Б, показує :
обсяги реалізації продукції в 2003 – 2005 році значно підвищились
з рівня 10,7 млн.грн.(2003) до рівня 18,7 млн.грн. у 2004 році та зросли до рівня 34,1 млн.грн. у 2005 році (рис.2.7);
- темп приросту доходів від реалізації у 2005 році склав 85,2%, що значно перевищує приріст валюти балансу у 2005 році – 53,7%, тобто розвиток підприємства іде інтенсивним шляхом, що підтверджується темпом приросту прибутку 85,6% у 2005 році (зростанння з 1,285 млн.грн. до 2,388 млн.грн.);

Рис.2.7. Динаміка показників фінансової діяльності ЗАТ “Вентиляційні системи” у 2003 – 2005 роках
В Додатку Г наведені результати розрахунків показників фінансового стану підприємства по алгоритмам роботи [18,с.14] з використанням форм фінансової звітності – Форма 1 “Баланс” [4,с.5] та Форма 2 “Звіт про результати фінансової діяльності” [5,с.6].
Аналіз результатів вторинної (коефіцієнтної) статистичної обробки балансових звітів та звітів про фінансові результати діяльності ЗАТ «Вентиляційні системи» за 2003 –2005 роки, проведемо за даними Додатку Г на графіках рис.2.8 – 2.9.
Аналіз рентабельності активів та власного капіталу ЗАТ „Вентиляційні системи” (рис.2.8) показує :

Рис.2.8. Динаміка рівнів рентабельності роботи ЗАТ “Вентиляційні системи”
- рентабельність власного капіталу по чистому прибутку з розширенням діяльності підприємства у 2004 –2005 роках дещо знизилась, але знаходиться в діапазоні 31,0% (2004) – 36,6%(2005), що значно вище альтернативної доходності капіталу по банківським депозитним ставкам 15 – 17% річних;
- зростання рентабельності активів по валовому реалізаційному прибутку у 2005 році до рівня 60,6% у порівнянні з 51,9% у 2004 році свідчить про оптимальність управління товарною номенклатурою підприємства при зростанні обсягу продаж на 85,2%.
На рис.2.9 наведені результати аналізу джерел покриття запасів в ЗАТ «Вентиляційні системи».

Рис.2.9. Динаміка показників покриття запасів джерелами ресурсів в ЗАТ «Вентиляційні системи»
Як видно з графіків рис. 2.9 у 2004 –2005 роках після регуляції співвідношення довгострокових джерел фінансування та обсягів запасів – фінансова стійкість підприємства по джерелам покриття запасів характеризується як достатня.
Таким чином, діагностика фінансового стану ЗАТ “Вентиляційні системи” показує, що за результатами діяльності 2003 – 2005 роках підприємство:
високорентабельне (дивідендна доходність 36,6% річних на акцію);
високоліквідне та фінансово стійке;
має високий темп розширення обсягів реалізації продукції (приріст 85% у 2005 році);
менеджмент управління товарною політикою підприємства може бути оцінений як позитивний та високоефективний.
2.3 Оцінка прибутковості реалізації окремих товарних груп товарного портфелю ЗАТ “Вентиляційні системи”
На рис.2.10 – 2.23 наведені результати оцінки структури абсолютної та відносної прибутковості основних асортиментних груп продукції ЗАТ «Вентиляційні системи». Як показують дані, наведені на рис.2.10 -2.16, товарний портфель по основним 8- ми асортиментним групам продукції розподіляється відносно рівномірно, тобто підприємство займає широкий сектор вентиляторної продукції та побудови систем воздухопроводів систем вентиляції, що дозволяє йому маневрувати на ринку з врахуванням «життєвих циклів» попиту на всі модифікації продукції в асортиментній групі. Як показують графіки рис.2.17 – 2.23 внутри кожних укрупнених асортиментних груп є товари - явні фаворити по доходності і групи товарів, які покидають товарний ринок за падінням попиту.

Рис. 2.10. Структура реалізаційного прибутку ЗАТ «Вентиляційні системи» у 1 кварталі 2005 року по укрупненим асортиментним групам продукції товарного портфелю

Рис. 2.11. Структура реалізаційного прибутку ЗАТ «Вентиляційні системи» у 2 кварталі 2005 року по укрупненим асортиментним групам продукції товарного портфелю

Рис. 2.12. Структура реалізаційного прибутку ЗАТ «Вентиляційні системи» у 3 кварталі 2005 року по укрупненим асортиментним групам продукції товарного портфелю

Рис. 2.13. Структура реалізаційного прибутку ЗАТ «Вентиляційні системи» у 4 кварталі 2005 року по укрупненим асортиментним групам продукції товарного портфелю

Рис. 2.14. Структура реалізаційного прибутку ЗАТ «Вентиляційні системи» у 1 кварталі 2006 року по укрупненим асортиментним групам продукції товарного портфелю

Рис. 2.15. Структура реалізаційного прибутку ЗАТ «Вентиляційні системи» у 2 кварталі 2005 року по укрупненим асортиментним групам продукції товарного портфелю

Рис. 2.16. Структура реалізаційного прибутку ЗАТ «Вентиляційні системи» у 3 кварталі 2005 року по укрупненим асортиментним групам продукції товарного портфелю

Рис. 2.17. Аналіз рівня прибутковості (грн.) окремих асортиментних груп товарного портфелю ЗАТ «Вентиляційні системи» у 1 кварталі 2005 року

Рис. 2.18. Аналіз рівня прибутковості (грн.) окремих асортиментних груп товарного портфелю ЗАТ «Вентиляційні системи» у 2 кварталі 2005 року

Рис. 2.19. Аналіз рівня прибутковості (грн.) окремих асортиментних груп товарного портфелю ЗАТ «Вентиляційні системи» у 3 кварталі 2005 року

Рис. 2.20. Аналіз рівня прибутковості (грн.) окремих асортиментних груп товарного портфелю ЗАТ «Вентиляційні системи» у 4 кварталі 2005 року

Рис. 2.21. Аналіз рівня прибутковості (грн.) окремих асортиментних груп товарного портфелю ЗАТ «Вентиляційні системи» у 1 кварталі 2006 року

Рис. 2.22. Аналіз рівня прибутковості (грн.) окремих асортиментних груп товарного портфелю ЗАТ «Вентиляційні системи» у 2 кварталі 2006 року

Рис. 2.23. Аналіз рівня прибутковості (грн.) окремих асортиментних груп товарного портфелю ЗАТ «Вентиляційні системи» у 3 кварталі 2005 року
РОЗДІЛ 3. ОБГРУНТУВАННЯ ПЛАНОВОГО ОБСЯГУ ТА ТОВАРНОЇ СТРУКТУРИ ТОВАРООБІГУ ТОРГОВЕЛЬНОГО ПІДПРИЄМСТВА ЗАТ «ВЕНТИЛЯЦІЙНІ СИСТЕМИ»
Обґрунтування планового обсягу та товарної структури товарообігу торговельного підприємства ЗАТ «Вентиляційні системи» у 4 кварталі 2006 року в курсовій роботі проведено на основі вивчення фактичних «життєвих циклів» попиту та реалізації асортиментних груп товарного портфелю ЗАТ «Вентиляційні системи» за 7 кварталів 2005 -2006 року.
Як показує аналіз «життєвих циклів» попиту на товари (абсолютний попит у кількості одиниць реалізованої продукції), наведених на рис.3.1 – 3.7,
для товарів ЗАТ «Вентиляційні системи» характерні наступні процеси:
наявність піку сезонного попиту у 3 кварталі кожного року;
процеси зростаючого попиту на побутові вентилятори 125 -150 мм, оскільки прийняті нові стандарти безпеки газової служби України;
процеси падіння попиту на побутові вентилятори 100 мм;
процеси зростання попиту на гнучкі алюмінієві та пластикові воздухопроводи;
процеси падіння попиту на сталеві комплектуючі воздухопроводів вентиляції.
Враховуючи отримані результати, на графіках рис. 3.1 -3.7 наведені прогнозні обсяги реалізації по кожній асортиментній групі, отримані методом пролонгації кривої «життєвого циклу» товару та врахування сезонного коефіцієнту падіння попиту на вентиляторну продукцію у 4 кварталі кожного року.
На рис. 3.8 – 3.9 наведені прогнози валового прибутку від реалізації продукції по кожному артикулу асортиментних груп та очікуємо структура прибутку по укрупнених асортиментних групах товарного портфелю ЗАТ «Вентиляційні системи» у 4 кварталі 2006 року.

Рис.3.1. Аналіз життєвого циклу та прогнозування рівня реалізації та необхідного виробництва товарів (побутові вентилятори – частина 1 торгового асортименту)

Рис.3.2. Аналіз життєвого циклу та прогнозування рівня реалізації та необхідного виробництва товарів (побутові вентилятори – частина 2 торгового асортименту)

Рис.3.3. Аналіз життєвого циклу та прогнозування рівня реалізації та необхідного виробництва товарів (побутові вентилятори – частина 3 торгового асортименту)

Рис.3.4. Аналіз життєвого циклу та прогнозування рівня реалізації та необхідного виробництва товарів (промислові вентилятори торгового асортименту)

Рис.3.5. Аналіз життєвого циклу та прогнозування рівня реалізації та необхідного виробництва товарів (вентиляційні гратки, клапани та дифузори)

Рис.3.6. Аналіз життєвого циклу та прогнозування рівня реалізації та необхідного виробництва товарів (алюмінієві повітропроводи та пластикові канали повітряпроводів)

Рис.3.7. Аналіз життєвого циклу та прогнозування рівня реалізації та необхідного виробництва товарів (сталеві повітропроводи та монтажні елементи повітряпроводів)

Рис. 3.8. Прогноз рівня прибутковості (грн.) окремих асортиментних груп товарного портфелю ЗАТ «Вентиляційні системи» у 4 кварталі 2006 року

Рис.3.9. Прогнозна структура прибутку від реалізації продукції ЗАТ «Вентиляційні системи» у 4 кварталі 2006 року
Наведені прогнози обсягів реалізації та прибутковості по кожній номенклатурній підгрупі продукції дозволяють спланувати обсяги виробництва та товарних запасів як на 4 квартал 2006 року, так і виконати прогнозні розрахунки по наведеній методології на 2007 рік.
ВИСНОВКИ
Досліджена у курсовому проекті виробничо-торгівельна компанія ЗАТ «Вентиляційні системи» (торгова марка «ВЕНТС»™) спеціалізується на виробництві вентиляційних модульних систем з 1997 року і сьогодні її продукцію є можливість побачити більш ніж в 80 країнах.
Торговельна марка «ВЕНТС» поєднує широкий спектр товарів таких категорій єдиної номенклатури товарного ряду обладнання для побудови систем вентиляції:
- Вентилятори побутові
- Гнучкі повітроводи утеплені й не утеплені
- Ґратки вентиляційні з металу й пластику
- Гнучкі повітроводи з алюмінію
- Тарілчасті клапани й стельові дифузори
- З'єднувально-монтажні елементи
- Системи пластикових повітроводів прямокутного й круглого перетину
- Промислові вентилятори 98,9% асортименту ВЕНТС виробляє самостійно, не звертаючись за допомогою до субпідрядників. Це понад 28000 артикулів продукції і щорічне зростання асортименту на більш ніж 35% завдяки новим розробкам і впровадженням та більше 75% зростання обсягу випуску продукції завдяки розвитку мережі з продажу.
Постійне розширення асортименту видів, типів, моделей вентиляторів призвело до того, що ВЕНТС став безперечним лідером серед виробників аналогічної продукції. У цехах ВЕНТС виробляється близько 6% світового обсягу побутових вентиляторів. Усього за 5 років була розроблена така кількість моделей вентиляторів, які мають різноманітний дизайн і комплектацію, що ВЕНТС справді вважається одним із найпотужніших виробників побутових вентиляторів. Асортимент його продукції постійно зростає завдяки новим моделям, що перебувають на стадії проектування або підготовки до виробництва. За 5 років роботи цеху було випущено близько 5 млн. вентиляторів і сьогодні виробляється біля 350 000 вентиляторів на місяць. Система якості та багатоступеневий процес аудиту, також тестування кожного вентилятора дають тільки 0,002% рекламацій.
Аналіз динаміки показників звітів про фінансові результати ЗАТ «Вентиляційні системи» показав:
обсяги реалізації продукції в 2003 – 2005 році значно підвищились
з рівня 10,7 млн.грн.(2003) до рівня 18,7 млн.грн. у 2004 році та зросли до рівня 34,1 млн.грн. у 2005 році (рис.2.5);
- темп приросту доходів від реалізації у 2005 році склав 85,2%, що значно перевищує приріст валюти балансу у 2005 році – 53,7%, тобто розвиток підприємства іде інтенсивним шляхом, що підтверджується темпом приросту прибутку 85,6% у 2005 році (зростанння з 1,285 млн.грн. до 2,388 млн.грн.);
Аналіз коефіцієнтів показників фінансової стійкості та ефективності діяльності показав:
- у 2004 - 2005 роках всі нормативи ліквідності балансу в ЗАТ „Вентиляційні системи” знаходились значно вище нормативного діапазону стійкого ліквідного стану підприємства, тобто підприємство є високоліквідним і фінансово стійким. При цьому з зростанням обсягів валюти балансу запас ліквідності у 2005 році почав знижуватися відносно рівня 2004 року;
- рентабельність власного капіталу по чистому прибутку з розширенням діяльності підприємства у 2004 –2005 роках дещо знизилась, але знаходиться в діапазоні 31,0% (2004) – 36,6%(2005), що значно вище альтернативної доходності капіталу по банківським депозитним ставкам 15 – 17% річних;
- зростання рентабельності активів по валовому реалізаційному прибутку у 2005 році до рівня 60,6% у порівнянні з 51,9% у 2004 році свідчить про оптимальність управління товарною номенклатурою підприємства при зростанні обсягу продаж на 85,2%.
Таким чином, діагностика фінансового стану ЗАТ “Вентиляційні системи” показує, що за результатами діяльності 2003 – 2005 роках підприємство:
високорентабельне (дивідендна доходність 36,6% річних на акцію);
високоліквідне та фінансово стійке;
має високий темп розширення обсягів реалізації продукції (приріст 85% у 2005 році);
менеджмент управління товарною політикою підприємства може бути оцінений як позитивний та високоефективний;
високий рівень дивідендної доходності робить підприємство інвестиційно привабливим, тобто має рацію перерестрація підприємства у відкрите акціонерне товариство з додатковою емісією акцій та підвищенням рівня власного капітала.
Обґрунтування планового обсягу та товарної структури товарообігу торговельного підприємства ЗАТ «Вентиляційні системи» у 4 кварталі 2006 року в курсовій роботі проведено на основі вивчення фактичних «життєвих циклів» попиту та реалізації асортиментних груп товарного портфелю ЗАТ «Вентиляційні системи» за 7 кварталів 2005 -2006 року.
Як показує аналіз «життєвих циклів» попиту на товари (абсолютний попит у кількості одиниць реалізованої продукції), для товарів ЗАТ «Вентиляційні системи» характерні наступні процеси:
наявність піку сезонного попиту у 3 кварталі кожного року;
процеси зростаючого попиту на побутові вентилятори 125 -150 мм, оскільки прийняті нові стандарти безпеки газової служби України;
процеси падіння попиту на побутові вентилятори 100 мм;
процеси зростання попиту на гнучкі алюмінієві та пластикові воздухопроводи;
процеси падіння попиту на сталеві комплектуючі воздухопроводів вентиляції.
Враховуючи отримані результати, в курсовій роботі спрогнозовані обсяги реалізації по кожній асортиментній групі, отримані методом пролонгації кривої «життєвого циклу» товару та врахування сезонного коефіцієнту падіння попиту на вентиляторну продукцію у 4 кварталі кожного року.
СПИСОК ВИКОРИСТАНОЇ ЛІТЕРАТУРИ
1. Господарський кодекс України // від 16 січня 2003 року N 436-IV(діє з 01.01.2004)
2. ЗАКОН УКРАЇНИ «Про господарські товариства» // від 19 вересня 1991 року N 1576-XII (Із змінами і доповненнями, внесеними Законами України станом на 19 лютого 2004 року N 1519-IV)
3. Положення (стандарт) бухгалтерського обліку 1 "Загальні вимоги до фінансової звітності", Наказ Мінфіна України № 87 від 31.03.1999 + № 304 від 30.11.2000.
4. Положення (стандарт) бухгалтерського обліку 2 "Баланс", Наказ Мінфіна України № 87 від 31.03.1999 + № 304 від 30.11.2000.
5. Положення (стандарт) бухгалтерського обліку 3 " Звіт про фінансові результати «, Наказ Мінфіна України № 87 від 31.03.1999 + № 304 від 30.11.2000.
6. Про затвердження Порядку провадження торговельної діяльності та правил торговельного обслуговування населення // КАБІНЕТ МІНІСТРІВ УКРАЇНИ ПОСТАНОВА від 15 червня 2006 р. N 833
7. Армстронг Г., Котлер Ф. Маркетинг. Загальний курс, 5-те видання /
Пер. з англ.: Уч. пос. – М.: Видавничий дім "Вільямс", 2001. – 608 с.
8. Ассэль, Генри. Маркетинг: принципы и стратегия: Учебник для вузов. – М.: ИНФРА - М, 1999. – 804 c.
9. Бойко В.В. Економіка підприємств України. – Дніпропетровськ, НГАУ, 2002. – 535 с.
10. Виноградська А.М. Комерційна діяльність торговельного підприємст-ва : Навчальний посібник. - К.: Київ. нац. торг.-екон. ун-т, 2005. - 278 с.
11. Гаркавенко С.С. Маркетинг: Підручник. – К.: Лібра, 2002. – 712 с.
12. Грещак М.Г., Гребешкова О.М.,Коцюба О.С. Внутрішній економічний механізм підприємства : Навч.посібник. – К.: КНЕУ,2001 – 228 с.
13. Гридчина М.В. Финансовый менеджмент. – К.: МАУП, 2002. – 160 с.
16. Данілова Л.Л., Петровська С.В. Ціноутворення та маркетингова цінова політика : Навчальний посібник. - К.: Київ. нац. торг.-екон. ун-т, 2006. - 130с.
17. Економіка підприємства.Підручник в 2-х томах / Під ред. С.Ф.Покропивного- К.: КНЕУ, 2000 – 528 с.
18. Ізмайлова К.В. Фінансовий аналіз: Навч.посібник.- К.: МАУП,2000
19. Куденко Н.В. Стратегічний маркетинг: Навч.посібник. – К.: КНЕУ,1998 – 202 с.
20. Куденко Н.В. Маркетингові стратегії фірми – Київ, КНЕУ, 2002. – 245 с.
21. Луцій О.П. Міжнародний маркетинг : Конспект лекцій – Київ, Вид-во Європейського університету, 2000 -45 с.
22. Маркетинг / Під ред. М. Бейкера. – СПб: Питер, 2002. – 1200 с.
23. Наливайко А.П. Теорія стратегії підприємства. Сучасний стан та напрямки розвитку: Монографія. — К.: КНЕУ, 2001. — 227 с.
24. Новошинська В.В. Міжнародний маркетинг: навчальний посібник. – Київ, Центр навчальної літератури, 2004. – 176 с.
25. Основы маркетинга / Ф. Котлер, Г. Армстронг, Д. Сондерс, В. Вонг; Пер. с англ. - 2-е европ. изд. – М.: Издательский дом "Вильямс", 1998. – 1056 с.
26. Статистика підприємництва : навч.посібник / під редакцією Вашківа П.Г. – К.: „Слобожанщина”, 1999
27. Циганкова Т.М. Міжнародний маркетинг: теоретичні моделі та бізнес- технології – К.: КНЕУ, 2004.- 400 с.
28. Ф. Котлер, Г. Армстронг, Д. Сондерс, В. Вонг. Маркетинг менедж-мент. – СПб: Питер Ком, 1998. – 896 с.
29. http://www.ventilaton-system.com - Офіційний сайт ЗАТ “Вентиляційні системи”
ДОДАТОК А
Товарний портфель ЗАТ “Вентиляційні системи”









ДОДАТОК Б
Фінансова звітність ЗАТ “Вентиляційні системи” за 2003 – 2005 роки
|
КОДИ |
||||
|
Підприємство |
ЗАТ "Вентиляцiйнi системи" |
Дата |
2003-01-01 |
|
|
за ЄДРПОУ |
30637114 |
|||
|
за КОАТУУ |
8039100000 |
|||
|
Територія |
80000 |
за КФВ |
20 |
|
|
Форма власності |
колективна |
за СПОДУ |
7794 |
|
|
Орган державного управління |
самостiйне |
за ЗКГНГ |
61110 |
|
|
за КВЕД |
25.23.0 |
|||
|
Галузь |
виробництво, торгiвля |
Контрольна сума |
||
|
Вид економічної діяльності |
виробництво, торгiвля |
|||
|
Одиниця виміру: |
тис. грн. |
|||
|
Адреса |
01030, м. Київ, вул. М.Коцюбинського 1 |
|||
|
БAЛAНС |
||||
|
на 2004-12-31 р. |
||||
|
Форма N 1 |
Код за ДКУД |
1801001 |
||
|
Актив |
Код рядка |
На початок звітного періоду (01.01.2004) |
На кінець звітного періоду (31.12.2004) |
|
|
I. Необоротні активи |
||||
|
Нематеріальні активи: |
||||
|
залишкова вартість |
010 |
21.7 |
25 |
|
|
первісна вартість |
011 |
25 |
35.4 |
|
|
накопичена амортизація |
012 |
3.3 |
10.4 |
|
|
Незавершене будівництво |
020 |
0.1 |
215.8 |
|
|
Основні засоби: |
||||
|
залишкова вартість |
030 |
2289 |
3828.3 |
|
|
первісна вартість |
031 |
2677.2 |
4856.8 |
|
|
знос |
032 |
388.2 |
1028.5 |
|
|
Довгострокові фінансові інвестиції: |
||||
|
які обліковуються за методом участі в капіталі інших підприємств |
040 |
0 |
0 |
|
|
інші фінансові інвестиції |
045 |
0 |
0 |
|
|
Довгострокова дебіторська заборгованість |
050 |
0 |
0 |
|
|
Відстрочені податкові активи |
060 |
154.7 |
20.2 |
|
|
Інші необоротні активи |
070 |
0 |
0 |
|
|
Усього за розділом I |
080 |
2465.5 |
4089.3 |
|
|
II. Оборотні активи |
||||
|
Запаси: |
||||
|
виробничі запаси |
100 |
1024.9 |
1394.1 |
|
|
тварини на вирощуванніта відгодівлі |
110 |
0 |
0 |
|
|
незавершене виробництво |
120 |
0 |
0 |
|
|
готова продукція |
130 |
977.6 |
839.4 |
|
|
товари |
140 |
128.2 |
284.4 |
|
|
Векселі одержані |
150 |
0 |
0 |
|
|
Дебіторська заборгованість за товари, роботи, послуги: |
||||
|
чиста реалізаційна вартість |
160 |
1559.4 |
2283.8 |
|
|
первісна вартість |
161 |
1559.4 |
2283.8 |
|
|
резерв сумнівних боргів |
162 |
0 |
0 |
|
|
Дебіторська заборгованість за розрахунками: |
||||
|
з бюджетом |
170 |
434.5 |
1095.8 |
|
|
за виданими авансами |
180 |
0 |
0 |
|
|
з нарахованих доходів |
190 |
0 |
0 |
|
|
із внутрішніх розрахунків |
200 |
0 |
0 |
|
|
Інша поточна дебіторська заборгованість |
210 |
0 |
1732.4 |
|
|
Поточні фінансові інвестиції |
220 |
0 |
0 |
|
|
Грошові кошти та їх еквіваленти: |
||||
|
в національній валюті |
230 |
20.7 |
1092.3 |
|
|
в іноземній валюті |
240 |
0.8 |
463.9 |
|
|
Інші оборотні активи |
250 |
0 |
47.4 |
|
|
Усього за розділом II |
260 |
4146.1 |
9233.5 |
|
|
III. Витрати майбутніх періодів |
270 |
3.8 |
0 |
|
|
Баланс |
280 |
6615.4 |
13322.8 |
|
|
Пасив |
Код рядка |
На початок звітного періоду |
На кінець звітного періоду |
|
|
I. Власний капітал |
||||
|
Статутний капітал |
300 |
555.6 |
555.6 |
|
|
Пайовий капітал |
310 |
0 |
0 |
|
|
Додатковий вкладений капітал |
320 |
0 |
0 |
|
|
Інший додатковий капітал |
330 |
0 |
0 |
|
|
Резервний капітал |
340 |
877.3 |
877.3 |
|
|
Нерозподілений прибуток (непокритий збиток) |
350 |
1424.1 |
2710 |
|
|
Неоплачений капітал |
360 |
0 |
0 |
|
|
Вилучений капітал |
370 |
0 |
0 |
|
|
Усього за розділом I |
380 |
2857 |
4142.9 |
|
|
II. Забезпечення наступних витрат і платежів |
||||
|
Забезпечення виплат персоналу |
400 |
0 |
0 |
|
|
Інші забезпечення |
410 |
0 |
0 |
|
|
Цільове фінансування |
420 |
0 |
0 |
|
|
Усього за розділом II |
430 |
0 |
0 |
|
|
III. Довгострокові зобов'язання |
||||
|
Довгострокові кредити банків |
440 |
1443.2 |
6596.9 |
|
|
Інші довгострокові фінансові зобов'язання |
450 |
0 |
0 |
|
|
Відстрочені податкові зобов'язання |
460 |
0 |
0 |
|
|
Інші довгострокові зобов'язання |
470 |
0 |
432.1 |
|
|
Усього за розділом III |
480 |
1443.2 |
7029 |
|
|
IV. Поточні зобов'язання |
||||
|
Короткострокові кредити банків |
500 |
195.3 |
0 |
|
|
Поточна заборгованість за довгостроковими зобов'язаннями |
510 |
0 |
0 |
|
|
Векселі видані |
520 |
0 |
0 |
|
|
Кредиторська заборгованість за товари, роботи, послуги |
530 |
1802.8 |
1244.6 |
|
|
Поточні зобов'язання за розрахунками: |
||||
|
з одержаних авансів |
540 |
0 |
0 |
|
|
з бюджетом |
550 |
232.5 |
547.8 |
|
|
з позабюджетних платежів |
560 |
0 |
0 |
|
|
зі страхування |
570 |
23.8 |
81.6 |
|
|
з оплати праці |
580 |
56.4 |
124.9 |
|
|
з учасниками |
590 |
0 |
0 |
|
|
із внутрішніх розрахунків |
600 |
0 |
0 |
|
|
Інші поточні зобов'язання |
610 |
4.4 |
152 |
|
|
Усього за розділом IV |
620 |
2315.2 |
2150.9 |
|
|
V. Доходи майбутніх періодів |
630 |
0 |
0 |
|
|
Баланс |
640 |
6615.4 |
13322.8 |
|
|
Керівник: |
Коломiйченко Валерiй Олексiйович |
|||
|
Головний бухгалтер: |
Фiлiмонова Iрина Юрiївна |
|||
|
КОДИ |
||||
|
Підприємство |
ЗАТ "Вентиляцiйнi системи" |
Дата |
2003-01-01 |
|
|
за ЄДРПОУ |
30637114 |
|||
|
за КОАТУУ |
8039100000 |
|||
|
Територія |
80000 |
за КФВ |
20 |
|
|
Орган державного управління |
самостiйне |
за СПОДУ |
7794 |
|
|
за ЗКГНГ |
61110 |
|||
|
Галузь |
виробництво, торгiвля |
за КВЕД |
25.23.0 |
|
|
Вид економічної діяльності |
виробництво, торгiвля |
Контрольна сума |
||
|
Одиниця виміру: |
тис. грн. |
|||
|
ЗВІТ ПРО ФІНАНСОВІ РЕЗУЛЬТАТИ |
||||
|
за 2004 р. |
||||
|
Форма N 2 |
Код за ДКУД |
1801003 |
||
|
І. ФІНАНСОВІ РЕЗУЛЬТАТИ |
||||
|
Стаття |
Код рядка |
За звітний період (2004 рік) |
За попередній період (2003 рік) |
|
|
Доход (виручка) від реалізації продукції (товарів, робіт, послуг) |
010 |
19726.4 |
11842.3 |
|
|
Податок на додану вартість |
015 |
( 910.8 ) |
( 1018.9 ) |
|
|
Акцизний збір |
020 |
( 0 ) |
( 0 ) |
|
|
025 |
( 0 ) |
( 0 ) |
||
|
Інші вирахування з доходу |
030 |
( 106.6 ) |
( 155.3 ) |
|
|
Чистий доход (виручка) від реалізації продукції (товарів, робіт, послуг) |
035 |
18709 |
10668.1 |
|
|
Собівартість реалізованої продукції (товарів, робіт, послуг) |
040 |
( 11797.1 ) |
( 6749.4 ) |
|
|
Валовий: |
||||
|
прибуток |
050 |
6911.9 |
3918.7 |
|
|
збиток |
055 |
( 0 ) |
( 0 ) |
|
|
Інші операційні доходи |
060 |
4989.9 |
0.7 |
|
|
Адміністративні витрати |
070 |
( 1621.5 ) |
( 1091.3 ) |
|
|
Витрати на збут |
080 |
( 2034.3 ) |
( 969 ) |
|
|
Інші операційні витрати |
090 |
( 5996.6 ) |
( 20.6 ) |
|
|
Фінансові результати від операційної діяльності: |
||||
|
прибуток |
100 |
2249.4 |
1838.5 |
|
|
збиток |
105 |
( 0 ) |
( 0 ) |
|
|
Доход від участі в капіталі |
110 |
0 |
0 |
|
|
Інші фінансові доходи |
120 |
0 |
0 |
|
|
Інші доходи |
130 |
0.6 |
5.6 |
|
|
Фінансові витрати |
140 |
( 128.2 ) |
( 0 ) |
|
|
Втрати від участі в капіталі |
150 |
( 0 ) |
( 0 ) |
|
|
Інші витрати |
160 |
( 284.8 ) |
( 26.1 ) |
|
|
Фінансові результати від звичайної діяльності до оподаткування: |
||||
|
прибуток |
170 |
1837 |
1818 |
|
|
збиток |
175 |
( 0 ) |
( 0 ) |
|
|
Податок на прибуток від звичайної діяльності |
180 |
551.1 |
572.3 |
|
|
Дохід з податку на прибуток від звичайної діяльності |
185 |
0 |
0 |
|
|
Фінансові результати від звичайної діяльності: |
||||
|
прибуток |
190 |
1285.9 |
1245.7 |
|
|
збиток |
195 |
( 0 ) |
( 0 ) |
|
|
Надзвичайні: |
||||
|
доходи |
200 |
0 |
0 |
|
|
витрати |
205 |
( 0 ) |
( 0 ) |
|
|
Податки з надзвичайного прибутку |
210 |
0 |
0 |
|
|
Чистий: |
||||
|
прибуток |
220 |
1285.9 |
1245.7 |
|
|
збиток |
225 |
( 0 ) |
( 0 ) |
|
|
ІІ. ЕЛЕМЕНТИ ОПЕРАЦІЙНИХ ВИТРАТ |
||||
|
Найменування показника |
Код рядка |
За звітний період |
За попередній період |
|
|
1 |
2 |
3 |
4 |
|
|
Матеріальні затрати |
230 |
9463.9 |
5503.8 |
|
|
Витрати на оплату праці |
240 |
1959.2 |
1054.4 |
|
|
Відрахування на соціальні заходи |
250 |
851.9 |
438.9 |
|
|
Амортизація |
260 |
692 |
307.5 |
|
|
Інші операційні витрати |
270 |
42.1 |
9 |
|
|
Разом |
280 |
13009.1 |
7313.6 |
|
|
Керівник: |
Коломiйченко Валерiй Олексiйович |
|||
|
Головний бухгалтер: |
Фiлiмонова Iрина Юрiївна |
|||
|
КОДИ |
||||
|
Підприємство |
ЗАКРИТЕ АКЦIОНЕРНЕ ТОВАРИСТВО "ВЕНТИЛЯЦIЙНI СИСТЕМИ" |
Дата |
01.01.2004 |
|
|
за ЄДРПОУ |
30637114 |
|||
|
за КОАТУУ |
8039100000 |
|||
|
Територія |
м.Київ |
за КФВ |
20 |
|
|
Форма власності |
коллективная |
за СПОДУ |
07794 |
|
|
Орган державного управління |
б/н |
за ЗКГНГ |
61110 |
|
|
за КВЕД |
25.23.0 |
|||
|
Галузь |
производство, торговля |
Контрольна сума |
||
|
Вид економічної діяльності |
виробництво пластмасового обладнання для виробництва |
|||
|
Одиниця виміру: |
тис. грн. |
|||
|
Адреса |
М.КИЇВ, ВУЛ. МИХАЙЛА КОЦЮБИНСЬКОГО, 1 |
|||
|
БAЛAНС |
||||
|
на 31.12.2005 р. |
||||
|
Актив |
Код рядка |
На початок звітного періоду(01.01.2005) |
На кінець звітного періоду (31.12.2005) |
|
|
1 |
2 |
3 |
4 |
|
|
I. Необоротні активи |
||||
|
Нематеріальні активи: |
||||
|
залишкова вартість |
010 |
25 |
38,6 |
|
|
первісна вартість |
011 |
35,4 |
62,8 |
|
|
накопичена амортизація |
012 |
10,4 |
24,2 |
|
|
Незавершене будівництво |
020 |
215,8 |
1 164,4 |
|
|
Основні засоби: |
||||
|
залишкова вартість |
030 |
3 828,3 |
5 684,8 |
|
|
первісна вартість |
031 |
4 856,8 |
7 890,2 |
|
|
знос |
032 |
1 028,5 |
2 205,4 |
|
|
Довгострокові фінансові інвестиції: |
||||
|
які обліковуються за методом участі в капіталі інших підприємств |
040 |
0 |
0 |
|
|
інші фінансові інвестиції |
045 |
0 |
0 |
|
|
Довгострокова дебіторська заборгованість |
050 |
0 |
0 |
|
|
Відстрочені податкові активи |
060 |
20,2 |
318,9 |
|
|
Інші необоротні активи |
070 |
0 |
0 |
|
|
Усього за розділом I |
080 |
4 089,3 |
7 206,7 |
|
|
II. Оборотні активи |
||||
|
Запаси: |
||||
|
виробничі запаси |
100 |
1 394,1 |
3 982,3 |
|
|
тварини на вирощуванніта відгодівлі |
110 |
0 |
0 |
|
|
незавершене виробництво |
120 |
0 |
0 |
|
|
готова продукція |
130 |
839,4 |
2 037,4 |
|
|
товари |
140 |
284,4 |
289 |
|
|
Векселі одержані |
150 |
0 |
0 |
|
|
Дебіторська заборгованість за товари, роботи, послуги: |
||||
|
чиста реалізаційна вартість |
160 |
2 283,8 |
4 866,7 |
|
|
первісна вартість |
161 |
2 283,8 |
4 866,7 |
|
|
резерв сумнівних боргів |
162 |
0 |
0 |
|
|
Дебіторська заборгованість за розрахунками: |
||||
|
з бюджетом |
170 |
1 095,8 |
1 005,9 |
|
|
за виданими авансами |
180 |
0 |
0 |
|
|
з нарахованих доходів |
190 |
0 |
0 |
|
|
із внутрішніх розрахунків |
200 |
0 |
0 |
|
|
Інша поточна дебіторська заборгованість |
210 |
1 732,4 |
24,6 |
|
|
Поточні фінансові інвестиції |
220 |
0 |
0 |
|
|
Грошові кошти та їх еквіваленти: |
||||
|
в національній валюті |
230 |
1 092,3 |
211,2 |
|
|
в іноземній валюті |
240 |
463,9 |
812,7 |
|
|
Інші оборотні активи |
250 |
47,4 |
9,3 |
|
|
Усього за розділом II |
260 |
9 233,5 |
13 239,1 |
|
|
III. Витрати майбутніх періодів |
270 |
0 |
29 |
|
|
Баланс |
280 |
13 322,8 |
20 474,8 |
|
|
Пасив |
Код рядка |
На початок звітного періоду |
На кінець звітного періоду |
|
|
I. Власний капітал |
||||
|
Статутний капітал |
300 |
555,6 |
555,6 |
|
|
Пайовий капітал |
310 |
0 |
0 |
|
|
Додатковий вкладений капітал |
320 |
0 |
0 |
|
|
Інший додатковий капітал |
330 |
0 |
0 |
|
|
Резервний капітал |
340 |
877,3 |
877,3 |
|
|
Нерозподілений прибуток (непокритий збиток) |
350 |
2 710 |
5 096,9 |
|
|
Неоплачений капітал |
360 |
0 |
0 |
|
|
Вилучений капітал |
370 |
0 |
0 |
|
|
Усього за розділом I |
380 |
4 142,9 |
6 529,8 |
|
|
II. Забезпечення наступних витрат і платежів |
||||
|
Забезпечення виплат персоналу |
400 |
0 |
0 |
|
|
Інші забезпечення |
410 |
0 |
0 |
|
|
Цільове фінансування |
420 |
0 |
0 |
|
|
Усього за розділом II |
430 |
0 |
0 |
|
|
III. Довгострокові зобов'язання |
||||
|
Довгострокові кредити банків |
440 |
6 596,9 |
8 224,3 |
|
|
Інші довгострокові фінансові зобов'язання |
450 |
0 |
0 |
|
|
Відстрочені податкові зобов'язання |
460 |
0 |
34,3 |
|
|
Інші довгострокові зобов'язання |
470 |
432,1 |
432,1 |
|
|
Усього за розділом III |
480 |
7 029 |
8 690,7 |
|
|
IV. Поточні зобов'язання |
||||
|
Короткострокові кредити банків |
500 |
0 |
0 |
|
|
Поточна заборгованість за довгостроковими зобов'язаннями |
510 |
0 |
0 |
|
|
Векселі видані |
520 |
0 |
0 |
|
|
Кредиторська заборгованість за товари, роботи, послуги |
530 |
1 244,6 |
4 779,4 |
|
|
Поточні зобов'язання за розрахунками: |
||||
|
з одержаних авансів |
540 |
0 |
0 |
|
|
з бюджетом |
550 |
547,8 |
130,4 |
|
|
з позабюджетних платежів |
560 |
0 |
0 |
|
|
зі страхування |
570 |
81,6 |
86,6 |
|
|
з оплати праці |
580 |
124,9 |
197,3 |
|
|
з учасниками |
590 |
0 |
0 |
|
|
із внутрішніх розрахунків |
600 |
0 |
0 |
|
|
Інші поточні зобов'язання |
610 |
152 |
60,6 |
|
|
Усього за розділом IV |
620 |
2 150,9 |
5 254,3 |
|
|
V. Доходи майбутніх періодів |
630 |
0 |
0 |
|
|
Баланс |
640 |
13 322,8 |
20 474,8 |
|
|
Керівник: |
Коломiйченко Валерiй Олексiйович |
|||
|
Головний бухгалтер: |
Фiлiмонова Iрина Юрiївна |
|||
|
КОДИ |
||||
|
Підприємство |
ЗАКРИТЕ АКЦIОНЕРНЕ ТОВАРИСТВО "ВЕНТИЛЯЦIЙНI СИСТЕМИ" |
Дата |
31.12.2003 |
|
|
за ЄДРПОУ |
30637114 |
|||
|
за КОАТУУ |
8039100000 |
|||
|
Територія |
м.Київ |
за КФВ |
20 |
|
|
Орган державного управління |
б/н |
за СПОДУ |
07794 |
|
|
за ЗКГНГ |
13141 |
|||
|
Галузь |
производство, торговля |
за КВЕД |
25.23.0 |
|
|
Вид економічної діяльності |
виробництво пластмасового обладнання для виробництва |
Контрольна сума |
||
|
Одиниця виміру: |
тис. грн. |
|||
|
ЗВІТ ПРО ФІНАНСОВІ РЕЗУЛЬТАТИ |
||||
|
за 2005 р. |
||||
|
Форма N 2 |
Код за ДКУД |
1801003 |
||
|
І. ФІНАНСОВІ РЕЗУЛЬТАТИ |
||||
|
Стаття |
Код рядка |
За звітний період (2005 рік) |
За попередній період (2004 рік) |
|
|
1 |
2 |
3 |
4 |
|
|
Доход (виручка) від реалізації продукції (товарів, робіт, послуг) |
010 |
36 534,2 |
19 726,4 |
|
|
Податок на додану вартість |
015 |
( 2 104,4 ) |
( 910,8 ) |
|
|
Акцизний збір |
020 |
( 0 ) |
( 0 ) |
|
|
025 |
( 0 ) |
( 0 ) |
||
|
Інші вирахування з доходу |
030 |
( 266 ) |
( 106,6 ) |
|
|
Чистий доход (виручка) від реалізації продукції (товарів, робіт, послуг) |
035 |
34 163,8 |
18 709 |
|
|
Собівартість реалізованої продукції (товарів, робіт, послуг) |
040 |
( 21 742,3 ) |
( 11 797,1 ) |
|
|
Валовий: |
||||
|
прибуток |
050 |
12 421,5 |
6 911,9 |
|
|
збиток |
055 |
( 0 ) |
( 0 ) |
|
|
Інші операційні доходи |
060 |
17 511,3 |
4 989,9 |
|
|
Адміністративні витрати |
070 |
( 2 141,6 ) |
( 1 621,5 ) |
|
|
Витрати на збут |
080 |
( 5 365,5 ) |
( 2 034,4 ) |
|
|
Інші операційні витрати |
090 |
( 18 202,9 ) |
( 5 996,6 ) |
|
|
Фінансові результати від операційної діяльності: |
||||
|
прибуток |
100 |
4 222,8 |
2 249,4 |
|
|
збиток |
105 |
( 0 ) |
( 0 ) |
|
|
Доход від участі в капіталі |
110 |
0 |
0 |
|
|
Інші фінансові доходи |
120 |
0,2 |
0 |
|
|
Інші доходи |
130 |
33,1 |
0,6 |
|
|
Фінансові витрати |
140 |
( 600,3 ) |
( 128,2 ) |
|
|
Втрати від участі в капіталі |
150 |
( 0 ) |
( 0 ) |
|
|
Інші витрати |
160 |
( 243,2 ) |
( 284,8 ) |
|
|
Фінансові результати від звичайної діяльності до оподаткування: |
||||
|
прибуток |
170 |
3 412,6 |
1 837 |
|
|
збиток |
175 |
( 0 ) |
( 0 ) |
|
|
Податок на прибуток від звичайної діяльності |
180 |
1 023,8 |
551 |
|
|
Дохід з податку на прибуток від звичайної діяльності |
185 |
0 |
0 |
|
|
Фінансові результати від звичайної діяльності: |
||||
|
прибуток |
190 |
2 388,8 |
1 286 |
|
|
збиток |
195 |
( 0 ) |
( 0 ) |
|
|
Надзвичайні: |
||||
|
доходи |
200 |
12,2 |
0 |
|
|
витрати |
205 |
( 10,4 ) |
( 0 ) |
|
|
Податки з надзвичайного прибутку |
210 |
3,7 |
0 |
|
|
Чистий: |
||||
|
прибуток |
220 |
2 386,9 |
1 286 |
|
|
збиток |
225 |
( 0 ) |
( 0 ) |
|
|
ІІ. ЕЛЕМЕНТИ ОПЕРАЦІЙНИХ ВИТРАТ |
||||
|
Найменування показника |
Код рядка |
За звітний період (2005 рік) |
За попередній період (2004 рік) |
|
|
1 |
2 |
3 |
4 |
|
|
Матеріальні затрати |
230 |
22 933,1 |
9 463,9 |
|
|
Витрати на оплату праці |
240 |
3 590,5 |
1 959,2 |
|
|
Відрахування на соціальні заходи |
250 |
1 432,1 |
851,9 |
|
|
Амортизація |
260 |
1 190,7 |
692 |
|
|
Інші операційні витрати |
270 |
139,2 |
42,1 |
|
|
Разом |
280 |
29 285,6 |
13 009,1 |
|
|
Керівник: |
Коломiйченко Валерiй Олексiйович |
|||
|
Головний бухгалтер: |
Фiлiмонова Iрина Юрiївна |
ДОДАТОК В
Таблиця В.1

Продовження табл. В.1

Таблиця В.2

Таблиця В.3

ДОДАТОК Г



