Организация торговой деятельности в киосках
1
МИНИСТЕРСТВО ОБРАЗОВАНИЯ И НАУКИ УКРАИНЫ
МЕЖДУНАРОДНЫЙ СОЛОМОНОВ УНИВЕРСИТЕТ
ВОСТОЧНОУКРАИНСКИЙ ФИЛИАЛ
ЛЕНИНСКИЙ РАЙОННЫЙ ЦЕНТР ЗАНЯТОСТИ
БИЗНЕС-ПЛАН
"Организация торговой деятельности в киосках"
Выполнил:
слушатель курсов
"Организация малого и
среднего бизнеса"
Ковальчук М.Ю.
ХАРЬКОВ – 2008
СОДЕРЖАНИЕ
1. Резюме
2. Характеристика продукции (услуг) и анализ ситуации в сфере следующей деятельности
3. Оценка рынка сбыта и конкуренции
4. Стратегия маркетинга
5. План продажи продукции (товаров, услуг)
6. Организационный план
7. Юридический план
8. Оценка риска и страхования
9. Финансовый план
1. Резюме
Наименование проекта:
Организация торговой сети киосков.
Цель бизнес-плана:
Данный документ предназначен для лиц, которые получили его с ведома владельца информации. Передача, копирование или разглашение информации, которая содержится в данном бизнес-плане, без письменного согласия владельца запрещается.
Целью разработки бизнес-плана является определение рациональности ведения этого бизнеса.
Денежные средства на развитие и становление бизнеса выделены Ленинским районным центром занятости в размере 6510 грн. Также часть денежных средств будет вложена в бизнес в сумме 52 грн из своих сбережений.
Проведя расчеты в бизнес-плане, я определила уровни таких показателей:
- чистая прибыль после уплаты налогов составила за первый год 25652,9 грн;
- рентабельность составила за первый год 17,415 %;
- срок окупаемости составил 3,8 месяца, при условии получения 5932,2 грн.
2. Классификация продукции (услуг) и анализ ситуации в сфере следующей деятельности
Фирма «Киоск-плюс» будет продавать такие продукты:
шоколад
батончики (Сникерс, Марс)
печенье
рулет
чай
кофе растворимое
кофе-стики|
жвачки|
чипсы
сухари
орешки
пиво стекло
пиво 1 л
пиво 2 л
минеральная вода, 0,5л|
минеральная вода, 1,5л|
напитки 0,5л|
напитки 1,5л|
соки 1л|
соки 0,5л|
соки 0,2л|
рыбка соленая
консервированная рыбка
консервированное мясо
консервированные овощи
сахар
крупы
Продукция рассчитана на длительное хранение, что очень удобно для нас.
Данная продукция ориентированы на все возрастные категории. Взрослые будут покупать соки, минеральную воду, консервированные продукты, сахар, крупы.
Школьники и студенты будут покупать шоколадки, жвачки, чипсы, сухарики, орешки, напитки, соленую рыбку. Также студенты будут приобретать пиво.
Для наибольшего количества привлеченных клиентов, будет проведен анализ ценовой политики конкурентов, и немного снижены цены, а также проведено расширение ассортимента предлагаемых товаров.
3. Оценка рынка сбыта и конкуренции
Для моего бизнеса очень важно выйти на платежеспособного постоянного потребителя, для того чтоб покупки происходили регулярно и поддерживали мой бизнес на стабильном уровне.
Размещение моего киоска очень удобно, т.к. на остановке транспорта люди могут покупать оптовые партии товара по пути, к примеру, на дачу. Это сэкономит их время и деньги на поездку в супермаркет. В первую неделю открытия я планирую интересоваться у потенциальных потребителей, какие товары они бы хотели видеть в моем торговом киоске, таким образом, приобретая постоянных клиентов на определенные виды продукции.
Сильной стороной моих конкурентов является то, что они больше времени на данном рынке услуг и к ним местные покупатели уже привыкли. Слабой стороной можно назвать то, что они не стремятся к чему-то новому, к новым видам продукции, улучшении ее ассортимента и т.д. У них закупается продукция большими партиями и маленьким ассортиментом, а у меня планируется небольшими партиями (чтоб не портилось) и расширенным ассортиментом, что повысит желание потенциальных потребителей покупать продукцию в моем киоске.
Та же продукция, которую продают мои ближайшие конкуренты, у меня будет продаваться по цене немного ниже конкурентной, что обеспечит мне достойный спрос.
4. Стратегия маркетинга
Торговая деятельность в сфере киосков имеет много конкурентов, потому самой желательной стратегией маркетинга в этом случае можно назвать «защиту флангов».
Эта стратегия является эффективным дополнением к стратегии позиционной обороны. Она заключается в предупреждении атак конкурентов на наиболее уязвимые участки линии фронта (флангу), где лидер сооружает дополнительные «сторожевые укрепления».
Я проведу анализ ассортимента киосков, и, сделав соответствующие выводы, начну продавать товары, которых нет в ассортименте конкурентов. Это повысит уровень внимания к торговому киоску.
Таким образом, я разделю на сегменты рынки разных потребителей, а затем пойму потребности отдельных групп.
Выбрав целевые сегменты, я создам отличительное преимущество. Все сегменты являются или становятся конкурентными, и я должна сформулировать основания для преимущества потребителями именно его предложения.
Проведя весь анализ мероприятий, я проведу расширение объемов продаж и увеличу ассортимент, а также определю сезонные колебания спроса и разработаю методы стимулирования продаж вне сезона путем размещения рекламы в газетах, на листовках, билбордах и щитах.
5. План продажи продукции (товаров, услуг)
Для успешной торговой деятельности я должна планировать свои закупки. Подобный план представлен в таблице 3, которая приведена ниже.
В ней я определила, какие товары будут закупаться, в каких количествах, по каким ценам, и уровень расходов, какие я буду нести при закупке товаров в киоск.
Также я должен разработала стратегию относительно прогнозирования объемов реализации продукции. Подобный прогноз представлен в таблице 4.
Киоск арендован мною на остановке городского транспорта.
Товар я планирую приобретать у фирм, давно работающих на рынке Харькова, таких как: «3 корочки», «Сандора», «Насолода», «Биола» и прочие.
6. Организационный план
Мое предприятие будет продвигать свои услуги на рынке города Харькова. Рынок города Харькова является достаточно привлекательным сегментом рынка, поскольку Харьков в сравнении с другими городами содержит много молодого населения, которые и являются основными покупателями торговых киосков, что доказывает, что необходимость в киосках актуальна.
Поэтому арендовать торговый киоск я планирую на остановке городского транспорта.
Для открытия киоска планирую получить инвестиции от центра занятости Ленинского района в виде одноразовой выплаты по безработице в размере 6510 грн.
Сведения об авторе проекта:
Ковальчук М.Ю.
Дата рождения 13 сентября 1960 года.
Образование: не законченное высшее.
Последнее место работы: ООО ПФ «Полимер» в должности сменного мастера.
7. Юридический план
Для начала торговой деятельности я должна зарегистрироваться как субъект предпринимательской деятельности физическое лицо (СПДФЛ) а также получить разрешение на торговую деятельность, встать на учет по упрощенной системе налогообложения.
Адрес проживания: г. Харьков, ул. Социалистическая, д. 70, кв. 66
Для регистрации как СПДФЛ мне необходимо пройти несколько этапов:
Регистрация СПДФО в органе государственной регистрации
Регистрация СПДФО в органе Пенсионного фонда Украины
Регистрация в Фонде страхования от несчастных случаев
Получение разрешения на изготовление печатей и штампов
Взятие СПДФО на учет налогоплательщиков
Регистрация в Фонде страхования на случай безработицы
Регистрация в Фонде страхования на случай безработицы
Регистрация в Фонде страхования из временной потери работоспособности
Открытие СПДФО текущего банковского счета
Для проведения регистрации в органе государственной регистрации необходимо подать документы:
- заполненную регистрационную карточку (форма №10) на проведение государственной регистрации физического лица - предпринимателя;
- копию справки о включении в Государственный реестр физических лиц-налогоплательщиков и других обязательных платежей (справка о присвоении идентификационного кода);
- копию квитанции, выданной банком, который подтверждает внесение регистрационного сбора за проведение государственной регистрации физического лица-предпринимателя
Для проведения регистрации в органе Пенсионного фонда Украины необходимо подать:
заявление установленной формой, а также засвидетельствованные (нотариально) копии таких документов:
- свидетельства о государственной регистрации субъекта предпринимательской деятельности;
- справки о присвоении идентификационного номера из Государственного реестра физических лиц - налогоплательщиков и других обязательных платежей;
- соглашения о найме на работу физического лица (для плательщиков сбора, которые используют труд наемных работников);
справку о присвоении идентификационного кода;
паспорт для предъявления. (Желательно сразу сделать ксерокопии 1, 2 страниц и страницы с пропиской.)
После регистрации плательщику сбора выдается Уведомление установленной формой
Для проведения регистрации в Фонде страхования от несчастных случаев необходимо заполнить документы:
заявление установленной формой;
а также засвидетельствованные нотариально или ответственным лицом рабочего органа исполнительной дирекции Фонда копии таких документов:
свидетельства о государственной регистрации субъекта предпринимательской деятельности или справки о присвоении идентификационного номера из Государственного реестра физических лиц налогоплательщиков и других обязательных платежей;
соглашение о найме на работу первого наемного физического лица.
Факт моей регистрации удостоверяется Страховым свидетельством.
Для получения разрешения на изготовление печатей и штампов необходимо заполнить документы:
заявление, где указывается:
- количество печатей и штампов, которые предусматривается изготовить;
- впервые или нет изготовляются печати и штампы (если не первый раз - указывается основание для изготовления печатей и штампов);
- местожительство;
- фамилия, имя, отчество, паспортные данные СПДФО, а также лица, которое уполномочено получить разрешение оформить заказ на изготовление печатей и штампов и подать ходатайство к органу внутренних дел (если получает разрешение и подает документы лицо, уполномоченное СПДФО);
оригинал и копия свидетельства о государственной регистрации, засвидетельствованная нотариально;
два экземпляра образцов (эскизов) печатей, штампов (рисунок от руки, или на компьютере);
копия справки о присвоении идентификационного номера физического лица - налогоплательщика;
паспорт и ксерокопия паспорта (1,2,11 страницы);
копия справки о присвоении идентификационного кода и ее ксерокопия;
копия справки из ГНИ по ф. № 4-ОПП, которая подтверждает взятие на налоговый учет;
копия справки из банка об открытии счета;
документ, который подтверждает внесение платы за выдачу разрешения на изготовление печатей и штампов.
Для взятия на налоговый учет необходимо обратиться с такими документами:
1 заявление по форме № 5-ОПП;
2 свидетельство о государственной регистрации субъекта предпринимательской деятельности - физического лица и его копию;
3 паспорт и копию первой, второй страницы и страницы с пропиской;
4 справка о присвоении идентификационного кода и ее копия.
Для регистрации в центре занятости подаются:
1 заявление установленной формы, а также засвидетельствованные ответственным лицом центра занятости копии таких документов:
2 свидетельства о государственной регистрации субъекта предпринимательской деятельности;
3 справки о присвоении идентификационного номера из Государственного реестра физических лиц - налогоплательщиков и других обязательных платежей.
Для регистрации в органе Фонда социального страхования Украины из временной потери работоспособности необходимо подать:
1. заявление установленной формы;
2. копию свидетельства о государственной регистрации;
3. копию идентификационного кода;
4. копию патента или свидетельства единого налога;
5. копию договора с наемными работниками.
Для открытия текущего счета в учреждение банка подаются такие документы:
1 заявление на открытие текущего счета установленного образца, подписанное СПДФО;
2 копия свидетельства о государственной регистрации субъекта предпринимательской деятельности, засвидетельствованная нотариально или органом, что его выдал;
3 копия документа, который подтверждает взятие СПДФО на налоговый учет, засвидетельствована органом государственной налоговой службы, нотариально или уполномоченным работником банка (Справка за формой № 4-ОПП);
4 копия сообщения о регистрации СПД в Пенсионном фонде Украины, засвидетельствованная органом, что его выдал, уполномоченным работником ли банка;
5 карточка с образцами подписей, которые относятся при присутствии работника банка, который открывает счет, и удостоверяются этим работником или нотариально;
6 копия документа, который подтверждает регистрацию субъекта предпринимательской деятельности как плательщика социальных страховых взносов, засвидетельствована нотариально или органом, что его выдал, уполномоченным работником ли банка (если СПДФО использует наемный труд);
7 паспорт или другой документ, который удостоверяет личность, и справку, о присвоении идентификационного кода.
В соответствии с Положением об изготовлении, хранении, и реализации торговых патентов, утвержденного Постановлением КМУ от 13 июня в 1998 г. № 1077, основанием для приобретения торгового патента является заявка, составленная в соответствующей форме.
8. Оценка риска и страхования
Исходя из спецификации моего вида деятельности, можно выделить следующие виды рисков и мероприятия по их страхованию:
1. Коммерческий риск, который может увеличиться, если я неправильно рассчитаю спрос на продукцию
В качестве мероприятий во избежание данного вида риска предлагаю:
- планирование организации маркетинговых исследований;
- подходить к выбору поставщиков с наибольшим уровнем оптимальности и экономической выгодности;
- четкое определение необходимых условий по составлению договоров относительно поставки товаров.
2. Действия конкурентов.
В качестве мероприятий во избежание данного вида риска предлагаю:
- прогнозирование возможных действий конкурентов;
- изучение качества ценовой политики конкурентов.
9. Финансовый план
Этот раздел Бизнес-плана позволит мне, как предпринимателю, проанализировать примерные доходы и расходы, расходы в уплату налогов и обнаружить чистую прибыль после уплаты налогов, и уровень рентабельности.
Таблица 1. Сумма средств, необходимых для открытия бизнеса и функционирования
|
№ п/п |
Показатель |
Сумма, грн. |
|
Стартовый капитал |
||
|
1 |
регистрация |
37 |
|
2 |
получение консультации специалистов |
50 |
|
3 |
оформление санитарной книжки |
75 |
|
Текущие расходы на начальной ситуации |
|
|
|
4 |
арендная плата |
500 |
|
5 |
закупка товара |
5200 |
|
6 |
транспортные расходы |
150 |
|
7 |
коммунальные услуги |
350 |
|
8 |
налоговые платежи |
200 |
|
|
Итого текущие затраты |
6562 |
|
Сумма стартового капитала |
6562 |
Таблица 2. Прогноз объемов реализации продукции (товаров)
|
Наименование товара |
цена за ед в грн. |
Первый год |
Второй год |
Третий год |
|||||||||||
|
всего |
1 квартал |
2 квартал |
3 квартал |
4 квартал |
|||||||||||
|
кол-во |
сумма |
кол-во |
сумма |
кол-во |
сумма |
кол-во |
сумма |
кол-во |
сумма |
кол-во |
сумма |
кол-во |
сумма |
||
|
шоколад |
5,13 |
365 |
1872,45 |
80 |
410,4 |
90 |
461,7 |
95 |
487,35 |
100 |
513 |
420 |
2154,6 |
450 |
2308,5 |
|
батончики (сникерс, марс, натс) |
3,23 |
1350 |
4360,5 |
300 |
969 |
330 |
1065,9 |
350 |
1130,5 |
370 |
1195,1 |
1400 |
4522 |
1450 |
4683,5 |
|
печенье |
2,4 |
275 |
660 |
60 |
144 |
65 |
156 |
70 |
168 |
80 |
192 |
300 |
720 |
320 |
768 |
|
рулет |
5,15 |
170 |
875,5 |
35 |
180,25 |
40 |
206 |
45 |
231,75 |
50 |
257,5 |
180 |
927 |
200 |
1030 |
|
чай |
4,68 |
190 |
889,2 |
40 |
187,2 |
45 |
210,6 |
50 |
234 |
55 |
257,4 |
200 |
936 |
220 |
1029,6 |
|
кофе растворимое |
21,08 |
145 |
3056,6 |
30 |
632,4 |
35 |
737,8 |
38 |
801,04 |
42 |
885,36 |
150 |
3162 |
160 |
3372,8 |
|
кофе-стики |
0,67 |
9000 |
6030 |
2000 |
1340 |
2200 |
1474 |
2300 |
1541 |
2500 |
1675 |
9500 |
6365 |
10000 |
6700 |
|
жвачки |
1,3 |
9200 |
11960 |
2000 |
2600 |
2200 |
2860 |
2400 |
3120 |
2600 |
3380 |
9500 |
12350 |
10000 |
13000 |
|
чипсы |
4,03 |
1700 |
6851 |
350 |
1410,5 |
400 |
1612 |
450 |
1813,5 |
500 |
2015 |
2000 |
8060 |
2500 |
10075 |
|
сухарики |
1,4 |
1100 |
1540 |
200 |
280 |
250 |
350 |
300 |
420 |
350 |
490 |
1200 |
1680 |
1400 |
1960 |
|
орешки |
1,1 |
1500 |
1650 |
300 |
330 |
350 |
385 |
400 |
440 |
450 |
495 |
1600 |
1760 |
1800 |
1980 |
|
пиво стекло |
3,18 |
13000 |
41340 |
2500 |
7950 |
3000 |
9540 |
3500 |
11130 |
4000 |
12720 |
15000 |
47700 |
17000 |
54060 |
|
пиво 1 л |
4,76 |
4400 |
20944 |
900 |
4284 |
1000 |
4760 |
1200 |
5712 |
1300 |
6188 |
4800 |
22848 |
5000 |
23800 |
|
пиво 2 л |
8,8 |
2300 |
20240 |
500 |
4400 |
550 |
4840 |
600 |
5280 |
650 |
5720 |
2500 |
22000 |
2800 |
24640 |
|
Минеральная вода, 0,5л |
1,66 |
5100 |
8466 |
1000 |
1660 |
1200 |
1992 |
1400 |
2324 |
1500 |
2490 |
5400 |
8964 |
5500 |
9130 |
|
Минеральная вода, 1,5л |
2,9 |
2300 |
6670 |
500 |
1450 |
550 |
1595 |
600 |
1740 |
650 |
1885 |
2500 |
7250 |
2600 |
7540 |
|
напитки 0,5л |
1,43 |
5100 |
7293 |
1000 |
1430 |
1200 |
1716 |
1400 |
2002 |
1500 |
2145 |
5400 |
7722 |
5500 |
7865 |
|
напитки 1,5л |
2,73 |
2300 |
6279 |
500 |
1365 |
550 |
1501,5 |
600 |
1638 |
650 |
1774,5 |
2500 |
6825 |
2600 |
7098 |
|
соки 1л |
5,5 |
950 |
5225 |
200 |
1100 |
220 |
1210 |
250 |
1375 |
280 |
1540 |
1000 |
5500 |
1100 |
6050 |
|
соки 0,5л |
3,4 |
950 |
3230 |
200 |
680 |
220 |
748 |
250 |
850 |
280 |
952 |
1000 |
3400 |
1100 |
3740 |
|
соки 0,2л |
1,67 |
950 |
1586,5 |
200 |
334 |
220 |
367,4 |
250 |
417,5 |
280 |
467,6 |
1000 |
1670 |
1100 |
1837 |
|
рыбка соленая |
3,61 |
1820 |
6570,2 |
400 |
1444 |
440 |
1588,4 |
480 |
1732,8 |
500 |
1805 |
1900 |
6859 |
2000 |
7220 |
|
Консервированная рыбка |
3,2 |
390 |
1248 |
80 |
256 |
90 |
288 |
100 |
320 |
110 |
352 |
420 |
1344 |
450 |
1440 |
|
Консервированное мясо |
4,6 |
270 |
1242 |
60 |
276 |
65 |
299 |
70 |
322 |
75 |
345 |
300 |
1380 |
320 |
1472 |
|
Консервированные овощи |
3,72 |
270 |
1004,4 |
60 |
223,2 |
65 |
241,8 |
70 |
260,4 |
75 |
279 |
300 |
1116 |
320 |
1190,4 |
|
крупы |
3,35 |
145 |
485,75 |
30 |
100,5 |
35 |
117,25 |
40 |
134 |
45 |
150,75 |
150 |
502,5 |
160 |
536 |
|
сахар |
4,4 |
470 |
2068 |
100 |
440 |
110 |
484 |
120 |
528 |
130 |
572 |
500 |
2200 |
550 |
2420 |
|
ИТОГО |
104,68 |
60560 |
173279,9 |
12525 |
35876,45 |
15520 |
40807,35 |
17428 |
46152,84 |
19122 |
50741,21 |
71120 |
189917,1 |
76600 |
206945,8 |
Таблица 3. План закупок продукции (товаров)
|
Наименование товара |
цена за ед в грн. |
Первый год |
Второй год |
Третий год |
|||||||||||
|
всего |
1 квартал |
2 квартал |
3 квартал |
4 квартал |
|||||||||||
|
кол-во |
сумма |
кол-во |
сумма |
кол-во |
сумма |
кол-во |
сумма |
кол-во |
сумма |
кол-во |
сумма |
кол-во |
сумма |
||
|
шоколад |
3,74 |
365 |
1365,1 |
80 |
299,2 |
90 |
336,6 |
95 |
355,3 |
100 |
374 |
420 |
1570,8 |
450 |
1683 |
|
батончики (сникерс, марс, натс) |
2,36 |
1350 |
3186 |
300 |
708 |
330 |
778,8 |
350 |
826 |
370 |
873,2 |
1400 |
3304 |
1450 |
3422 |
|
печенье |
1,75 |
275 |
481,25 |
60 |
105 |
65 |
113,75 |
70 |
122,5 |
80 |
140 |
300 |
525 |
320 |
560 |
|
рулет |
5,76 |
170 |
979,2 |
35 |
201,6 |
40 |
230,4 |
45 |
259,2 |
50 |
288 |
180 |
1036,8 |
200 |
1152 |
|
чай |
3,41 |
190 |
647,9 |
40 |
136,4 |
45 |
153,45 |
50 |
170,5 |
55 |
187,55 |
200 |
682 |
220 |
750,2 |
|
кофе растворимое |
15,9 |
145 |
2305,5 |
30 |
477 |
35 |
556,5 |
38 |
604,2 |
42 |
667,8 |
150 |
2385 |
160 |
2544 |
|
кофе-стики |
0,49 |
9000 |
4410 |
2000 |
980 |
2200 |
1078 |
2300 |
1127 |
2500 |
1225 |
9500 |
4655 |
10000 |
4900 |
|
жвачки |
1,04 |
9200 |
9568 |
2000 |
2080 |
2200 |
2288 |
2400 |
2496 |
2600 |
2704 |
9500 |
9880 |
10000 |
10400 |
|
чипсы |
2,94 |
1700 |
4998 |
350 |
1029 |
400 |
1176 |
450 |
1323 |
500 |
1470 |
2000 |
5880 |
2500 |
7350 |
|
сухарики |
1,02 |
1100 |
1122 |
200 |
204 |
250 |
255 |
300 |
306 |
350 |
357 |
1200 |
1224 |
1400 |
1428 |
|
орешки |
0,8 |
1500 |
1200 |
300 |
240 |
350 |
280 |
400 |
320 |
450 |
360 |
1600 |
1280 |
1800 |
1440 |
|
пиво стекло |
2,54 |
13000 |
33020 |
2500 |
6350 |
3000 |
7620 |
3500 |
8890 |
4000 |
10160 |
15000 |
38100 |
17000 |
43180 |
|
пиво 1 л |
3,81 |
4400 |
16764 |
900 |
3429 |
1000 |
3810 |
1200 |
4572 |
1300 |
4953 |
4800 |
18288 |
5000 |
19050 |
|
пиво 2 л |
7,04 |
2300 |
16192 |
500 |
3520 |
550 |
3872 |
600 |
4224 |
650 |
4576 |
2500 |
17600 |
2800 |
19712 |
|
Минеральная вода, 0,5л |
1,16 |
5100 |
5916 |
1000 |
1160 |
1200 |
1392 |
1400 |
1624 |
1500 |
1740 |
5400 |
6264 |
5500 |
6380 |
|
Минеральная вода, 1,5л |
2,11 |
2300 |
4853 |
500 |
1055 |
550 |
1160,5 |
600 |
1266 |
650 |
1371,5 |
2500 |
5275 |
2600 |
5486 |
|
напитки 0,5л |
1,03 |
5100 |
5253 |
1000 |
1030 |
1200 |
1236 |
1400 |
1442 |
1500 |
1545 |
5400 |
5562 |
5500 |
5665 |
|
напитки 1,5л |
1,99 |
2300 |
4577 |
500 |
995 |
550 |
1094,5 |
600 |
1194 |
650 |
1293,5 |
2500 |
4975 |
2600 |
5174 |
|
соки 1л |
4,01 |
950 |
3809,5 |
200 |
802 |
220 |
882,2 |
250 |
1002,5 |
280 |
1122,8 |
1000 |
4010 |
1100 |
4411 |
|
соки 0,5л |
2,48 |
950 |
2356 |
200 |
496 |
220 |
545,6 |
250 |
620 |
280 |
694,4 |
1000 |
2480 |
1100 |
2728 |
|
соки 0,2л |
1,22 |
950 |
1159 |
200 |
244 |
220 |
268,4 |
250 |
305 |
280 |
341,6 |
1000 |
1220 |
1100 |
1342 |
|
рыбка соленая |
2,63 |
1820 |
4786,6 |
400 |
1052 |
440 |
1157,2 |
480 |
1262,4 |
500 |
1315 |
1900 |
4997 |
2000 |
5260 |
|
Консервированная рыбка |
2,34 |
380 |
889,2 |
80 |
187,2 |
90 |
210,6 |
100 |
234 |
110 |
257,4 |
420 |
982,8 |
450 |
1053 |
|
Консервированное мясо |
3,36 |
270 |
907,2 |
60 |
201,6 |
65 |
218,4 |
70 |
235,2 |
75 |
252 |
300 |
1008 |
320 |
1075,2 |
|
Консервированные овощи |
2,71 |
270 |
731,7 |
60 |
162,6 |
65 |
176,15 |
70 |
189,7 |
75 |
203,25 |
300 |
813 |
320 |
867,2 |
|
сахар |
3,23 |
460 |
1485,8 |
100 |
323 |
110 |
355,3 |
120 |
387,6 |
130 |
419,9 |
500 |
1615 |
550 |
1776,5 |
|
ИТОГО |
78,87 |
60560 |
132431,65 |
12525 |
27397,60 |
15320 |
31170,35 |
17428 |
32283,10 |
19122 |
38791,9 |
71120 |
145252,40 |
76600 |
158389,10 |
Таблица 4. Смета расходов на реализацию продукции (товаров, услуг)
-
Показатель
Первый год
Второй год
Третий год
всего
1 квартал
2 квартал
3 квартал
4 квартал
постоянные расходы
1. аренда
6000
1500
1500
1500
1500
6000
6000
2. коммунальные платежи
200
50
50
50
50
200
200
3. электроэнергия
1500
600
400
100
400
1500
1500
4. транспортные расходы
2800
700
700
700
700
2800
2800
ВМЕСТЕ
10500
2850
2650
2350
2650
10500
10500
переменные|изменяемые| расходы
1. расходы на закупку товара
132627,95
27397,6
31170,35
35268,1
38791,9
14520,4
158389,1
2. отчисление к|до| социальным фондам
2400
600
600
600
600
2400
2400
ВМЕСТЕ
135027,95
27997,6
31770,35
35868,1
39391,9
16920,4
160789,1
ВМЕСТЕ общее
145527,95
30847,6
34420,35
38218,1
42041,9
27420,4
171289,1
Таблица 5. Доходов и затрат
|
Показатель |
Первый год |
Второй год |
Третий год |
||||
|
всего |
1 квартал |
2 квартал |
3 квартал |
4 квартал |
|||
|
доходы от реализации товара |
173273,90 |
35876,45 |
40807,35 |
46152,84 |
50741,21 |
189917,1 |
206945,8 |
|
переменные|изменяемые| расходы |
134831,65 |
17997,6 |
31770,35 |
35868,1 |
39391,3 |
147652,4 |
160789,1 |
|
валовой доход |
38442,25 |
7878,85 |
9037 |
10284,74 |
11349,31 |
42264,7 |
46156,7 |
|
постоянные расходы |
10500 |
2850 |
2650 |
2350 |
2650 |
10500 |
10500 |
|
чистая прибыль до уплаты налогов |
27942,25 |
5028,85 |
6387 |
7937,74 |
8699,31 |
31764,7 |
35656,7 |
|
налоговые платежи |
2400 |
600 |
600 |
600 |
600 |
2400 |
2400 |
|
чистая прибыль после уплаты налогов |
25542,25 |
4428,85 |
5787 |
7337,74 |
8099,31 |
29364,7 |
33256,7 |
|
рентабельность |
17,58% |
14,35% |
16,81% |
19,2% |
19,3% |
18,56% |
19,41% |
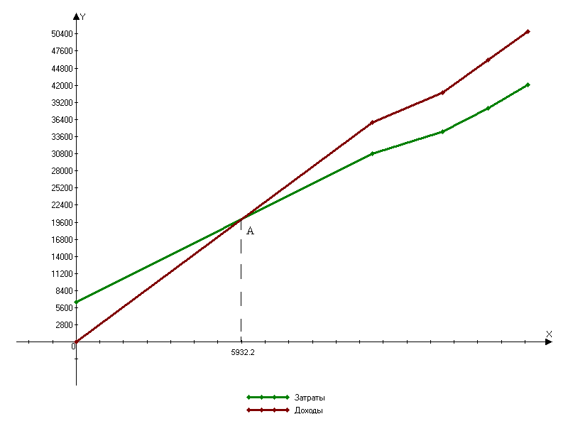
Графический расчет точки безубыточности
-
Количество штук
Выручка от реализации
Общие расходы
0
0
0
6562,00
1 квартал
12525
35876,45
30847,60
2 квартал
15520
40807,35
34420,35
3 квартал
17428
46152,84
38218,10
4 квартал
19122
50741,21
42041,90

Аналитический расчет точки безубыточности
Тб= =
Срок окупаемости проекта
(Σ стар : чист. приб. после уплати налогов) * 12 мес|месы|. = (6562 : 25542,25) * 12 = 3,8 месяцев|луну|
Таким образом, я рассчитала, что при получении прибыли в размере 5932,2 грн. торговый киоск не будет получать убытки, это будет самой оптимальной точкой безубыточности
Соответственно нашим расчетам, получили срок окупаемости торговой деятельности киосков, который составил 3,8 месяцев.