Процесс управления маркетингом (работа 2)
Содержание
Введение
1. Процесс управления маркетингом в современных условиях
1.1 Концепции управления маркетингом. Цели и задачи маркетинга
1.2 Процесс управления маркетингом
2. Система маркетинговых исследований и маркетинговой информации
2.1 Концепция системы маркетинговой информации
2.2 Система маркетинговых исследований
3. Качественный маркетинг, бенчмаркинг
4. Практическая часть
Заключение
Список используемой литературы
Введение
Трудно переоценить значение научного обоснования всех сторон функционирования организаций в условиях современной России, когда происходит становление социально-экономических отношений. Новые требования к построению и поведению организаций предъявляют рыночные отношения, предпринимательская активность, развитие различных форм собственности, изменение функций и методов государственного регулирования и управления. Организационная деятельность испытывает влияние революционных изменений в технологической базе производства.
Деятельность организаций в условиях меняющейся конкурентной среды требуют от каждого производственника, бизнесмена, менеджера постоянного совершенствования предпринимательской деятельности, связанной с созданием распределением и потреблением товаров и услуг.
Любое предприятие осуществляет свою деятельность не изолированно, а в условиях конкретной внешней среды. Маркетинг является тем инструментом, с помощью которого возможно успешное осуществление рыночной деятельности. Однако в реальной действительности часто оказывается, что предприятие не использует все возможности, предоставляемые маркетингом, мотивируя это нехваткой времени и средств, ненужностью или просто невозможностью в силу складывающихся объективных обстоятельств.
Анализ научных исследований, посвященных данной проблематике и их результатов, показал, что такой для выбора эффективной конкурентной стратегии именно аспект взаимного применения и сочетания ассортиментной, сбытовой, ценовой, коммуникативной и кадровой стратегий является важнейшим. Выявление главных характеристик этих свойств позволяет определить ту часть информации, которую необходимо собрать и обработать в результате проведения маркетинговых исследований.
Актуальность исследования заключается в том, для любой успешной фирмы маркетинговые исследования выступают как начало и логическое завершение любого цикла её маркетинговой деятельности. Они значительно уменьшают неопределенность при принятии важных решений, что позволяет эффективно распределять экономический потенциал для достижения новых высот в бизнесе.
Цель работы – систематизируя теоретические основы практики управления, рассмотреть роль маркетинговых исследований в маркетинговой стратегии предприятия и возможность разработки планов предприятия на их основе. Исходя из поставленной цели, были сформулированы задачи работы:
1. Изучить теоретические аспекты и особенности разработки и реализации маркетинговой стратегии на предприятии в современных условиях как составную часть процесса управления маркетингом на предприятии.
2. Рассмотреть понятие и сущность маркетинговых исследований в контексте исследования конкурентоспособности предприятия.
Методами исследования в работе являются: метод сравнения, монографический метод и другие.
Теоретической основой работы стали труды отечественных и зарубежных ученых экономистов и маркетологов – Ф. Котлера, М. Портера, О.Д. Волкогоновой, д.э.н. А.Н. Петрова, д.э.н. Р.А. Фатхутдинова, статьи, опубликованные в периодической печати.
Курсовая работа состоит из введения, 2 глав, списка литературы. Работа включает 19 таблиц и 6 рисунков.
1. Процесс управления маркетингом в современных условиях
1.1 Концепции управления маркетингом. Цели и задачи маркетинга
Первые элементы маркетинга появились в XVII веке. Маркетинг зародился в США, с 1902 г. преподавался в университете. С 1906 г. маркетинг проник в бизнес, и появились специальные отделы. В 1926 г. в ССША была создана Национальная Ассоциация Маркетинга и Рекламы. В 1973 г. она переименована в Американскую Ассоциацию Маркетинга, президентом которой является Ф. Котлер. Как система управления на рынке маркетинг развивается по закону крупной монополии, требующей глубокого изучения рынка и поиска новых форм деятельности на рынке.
Маркетинг (англ. market – рынок) – это система управления деятельностью фирмы по разработке, производству и сбыту товаров на основе изучения рынка и в интересах получения прибыли. Сегодня существует более 2000 определений маркетинга. Приведем некоторые из них
маркетинг – вид человеческой деятельности, направленный на продвижение товаров и услуг от того, кто их производит к тому, кто в них нуждается посредством обмена [5].
маркетинг – это наука об управлении рынком, соединившая опыт лучших предприятий с достижениями математики, статистики, социологии, психологии, менеджмента [6].
маркетинг – это управленческая деятельность на рынке по планированию и реализации товарной, ценовой, коммуникативной политики, политики распределения и товародвижения [3].
маркетинг понимают сегодня с двух точек зрения [9, С.15]:
- как практическую управленческую деятельность на коммерческой фирме, осуществляемую службой или отделом маркетинга;
- как философию современного бизнеса, основанную на том, что успех в бизнесе связан с наличием потребителя, изучением и удовлетворением его нужд и потребностей.
Французский экономист Ж.Б. Сей в эпоху промышленной революции сформулировал основное правило управления бизнесом: снижать издержки на производство и реализацию продукции, чтобы увеличить прибыль.
ЦЕНА=ИЗДЕРЖКИ+ПРИБЫЛЬ
Это правило «работало» в индустриальную эпоху, когда отрасли, рынки, ассортимент были стабильными. В современных условиях информационной эры фирмы должны уделять внимание реализации, сбыту, увеличению доходов, улучшению финансового состояния большее внимание, чем снижению издержек. Если фирма планирует выйти на рынок с традиционным товаром или видом услуг, то нужно знать, какого рода изменения в товаре интересуют потребителя, что представляет собой товар и цена конкурента, каковы перспективы работы на данном рынке. Далее предстоит работа с потребителем, разъясняя ему с помощью рекламы, как он выиграет от потребления данного товара. В индустриальную эру применяются два вида маркетинга:
- маркетинг, ориентированный на продукт;
- маркетинг, ориентированный на потребителя.
Оба эти вида маркетинга связаны с риском для производителя. Если фирма изготовила прекрасный продукт, то работа сделана на половину; его нужно реализовать и получить деньги от потребителя. В современную эпоху снизить риск первого вида маркетинга, можно только создав такой продукт, который положит начало формированию новой отрасли промышленности.
Второй метод маркетинга предполагает, что фирма максимально точно знает, что покупают отдельные потребители, причем эти знания получают не изучением статистики, а из первых уст, но и в этом случае работа сделана на половину, так как может появиться новый продукт. В информационную эру фирмы употребляют оба вида маркетинга – это интегрированный маркетинг и сущность его в том, что и продукт и потребитель создаются одновременно. Переход к интегрированному маркетингу привел к созданию новых организационных форм на предприятии.
Сущность маркетинга заключается в формуле: «производить то, что будет продано». В 1960 г. Д. Маккарти предложил концепцию «5P» как основной инструмент функционирования маркетинга, комплекс маркетинга, маркетинг-микс. (табл. 1.) [8, С. 148]
Таблица 1 - Концепция «5P»
|
PRODUCT |
Продукт, услуга, товарная политика фирмы. |
|
PLACE |
Место продажи, политика распределения и товародвижения. |
|
PRICE |
Ценовая политика. |
|
PROMOTION |
Коммуникативная политика, политика стимулирования сбыта. |
|
PUBLIC RELATIONS (P.R.) |
Формирование имиджа фирмы, благоприятной репутации в глазах общественности. |
В настоящее время ассоциации маркетинга созданы во всех странах. В России ассоциация маркетинга была создана в 1992 г.
Содержание маркетинга связано с его сущностью: изучением и удовлетворением нужд и потребностей целевого потребителя. Главное в содержании маркетинга – это двуединый подход: с одной стороны, это тщательное изучение рынка, спроса, вкусов и потребностей потребителя, ориентация производства на эти требования; с другой стороны, - это активное воздействие на рынок и существующий спрос, на формирование потребностей и покупательских предпочтений. Этим определяется основа маркетинга, содержание его основных элементов и функций.
Основные принципы маркетинга [9, С. 21]:
- сегментация – ориентация деятельности фирмы не на весь рынок в целом (один товар на всех потребителей), а на отдельные группы потребителей, целевые сегменты, предлагая каждому сегменту товар со своими характеристиками, качеством, ценами.
- адаптация – постоянное приспособление производства под изменяющиеся нужды и потребности потребителей;
- ориентация фирмы в бизнесе на долговременный результат.
- инновации – ориентация деятельности фирмы на нововведения – разработку новых товаров, методов сбыта, инструментов продвижения.
- учет возможностей фирмы.
Маркетинг требует управления. Под управлением маркетингом понимают анализ, планирование, претворение в жизнь и контроль за проведением мероприятий, рассчитанных на установление и поддержание обменов с целевыми покупателями ради достижения определенных задач организации, таких как получение прибыли, рост объемов сбыта, увеличение доли рынка. Задача управления маркетингом заключается в воздействии на уровень, время и характер спроса таким образом, чтобы это помогало организации в достижении стоящих перед ней целей, т.е. управление маркетингом - это управление спросом.
Управляющие маркетинга - это должностные лица фирмы, занимающиеся исследованием маркетинговой ситуации, претворением в жизнь намеченных планов и осуществляющие контрольные функции. Сюда относятся управляющие по сбыту и сотрудники службы сбыта, руководящие работники службы рекламы и стимулирования сбыта, исследователи маркетинга, управляющие по товарам и специалисты по проблемам ценообразования.
Существует пять разных подходов в управлении маркетингом:
1. Концепция совершенствования производства, которая утверждает, что потребители предпочитают товары с низкими ценами, следовательно, надо снижать затраты в производстве.
2. Концепция совершенствования товара исходит из того, что потребители предпочитают качественные товары и в этом случае стимулирование сбыта не требуется.
3. Концепция интенсификации коммерческих усилий базируется на том, что товары не будут покупать без значительных усилий в сфере сбыта и стимулирования.
4. Концепция маркетинга строится на утверждении, что фирма должна выявить с помощью исследований запросы и нужды точно очерченного рынка и обеспечить их желаемое удовлетворение.
5. Концепция социально-этического маркетинга провозглашает своим принципом достижение целей организации и ее способность обеспечить потребительскую удовлетворенность и долговременное благополучие и потребителя и общества в целом.
Практически деятельность маркетинга оказывает большое влияние на людей и в качестве покупателей, и в качестве продавцов, и в качестве рядовых граждан.
Цели маркетинга: максимально высокое потребление, достижение максимальной потребительской удовлетворенности, предоставление максимально широкого выбора, максимальное повышение качества жизни.
Эти цели решает маркетинговый цикл, который включает: маркетинговые исследования, маркетинговый синтез, стратегическое планирование, оперативное планирование и реализацию планов, контроль и информационное обеспечение.
Задачи маркетинга:
1. Исследование, анализ и оценка нужд реальных и потенциальных потребителей продукции фирмы в областях, интересующих фирму.
2. Маркетинговое обеспечение разработки новых товаров и услуг фирмы.
3. Анализ, оценка и прогнозирование состояния и развития рынков, на которых оперирует или будет оперировать фирма, включая исследование деятельности конкурентов.
4. Формирование ассортиментной политики фирмы.
5. Разработка ценовой политики фирмы.
6.Участие в формировании стратегии и тактики рыночного поведения фирмы, включая разработку ценовой политики.
7. Сбыт продукции и услуг фирмы.
8. Коммуникации маркетинга.
9. Сервисное обслуживание.
1.2 Процесс управления маркетингом
Каждая фирма заинтересована в эффективном управлении своей маркетинговой деятельности. Ей нужно знать, как анализировать рыночные возможности, отбирать подходящие целевые рынки, разрабатывать эффективный комплекс маркетинга и успешно управлять претворением в жизнь маркетинговых задач. Все это и составляет процесс управления маркетингом, элементы которого представлены на рис. 1.[12]
|
1 |
Анализ рыночных возможностей: Системы маркетинговых исследований и маркетинговой информации Маркетинговая среда Потребительские рынки Рынки предприятий |
|
|
|
|
2 |
Отбор целевых рынков: Замеры объемов спроса Сегментирование рынка, выбор целевых сегментов, позиционирование товара на рынке |
|
|
|
|
3 |
Разработка комплекса маркетинга: Разработка товаров Установление цен на товары Методы распространения товаров Стимулирование сбыта товаров |
|
|
|
|
4 |
Претворение в жизнь маркетинговых мероприятий Стратегия, планирование и контроль |
Рисунок 1 - Процесс управления маркетингом
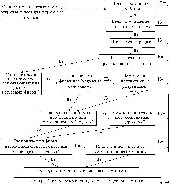
Оценку рыночных возможностей, с точки зрения целей и ресурсов фирмы, можно представить в виде схемы (рис. 2).
Фирме может показаться, что ее рыночные возможности ограничены, но это лишь подтверждает неумение мысленно увидеть будущее и осознать свои сильные стороны. Фирма может заняться выявлением новых рынков, используя, в частности, сетки развития товаров и рынка (рис. 3). С помощью данной сетки возможны следующие варианты:

Рисунок 2 - Оценка рыночной возможности, с точки зрения целей и ресурсов
|
|
Существующие товары |
Новые товары |
|
Существующие рынки |
1. Более глубокое проникновение на рынок |
3. Разработка товара |
|
Новые рынки |
2. Расширение границ рынка |
4. Диверсификация рынка |
Рисунок 3 - Выявление новых рынков с помощью сетки развития товара и рынка
1. Более глубокое внедрение на рынок, т.е. рост продаж имеющихся товаров уже существующей группе покупателей без внесения изменений в сам товар. Используются подходы: снижения цен, увеличения расходов на рекламу, расширение сети торговых точек, более заметная раскладка товаров и т.д.
2. Расширение границ рынка за счет изучения и завоевания новых сегментов.
3. Разработка товаров, предусматривающая предложение нового товара взамен существующего.
4. Диверсификация - одна из стратегий маркетинга, проявляющаяся в отказе от ориентации на единственный продукт или одну форму распределения и переходе на широкую номенклатуру товаров и множественность форм распределения.
Отбор целевых рынков состоит из четырех этапов:
- замеры и прогнозирование спроса;
- сегментирование рынка;
- отбор целевых сегментов;
- позиционирование товара на рынке.
Замеры и прогнозирование спроса предполагают выявление всех аналогичных товаров, продающихся на рынке, оценку объема их продаж и оценку будущего размера рынка. Сегментирование рынка - это процесс разбивки потребителей на группы на основе различий в нуждах и поведении. Сегмент рынка состоит из потребителей, одинаково реагирующих на один и тот же набор побудительных стимулов маркетинга.
При отборе целевых рынков можно использовать 5 возможных путей выхода на этот рынок, представленных на рис. 4, где И - интенсивность покупательской потребности, Г - возрастная группа потребителей. Японский опыт выхода на рынок предполагает освоение одного, обойденного всеми рынка, завоевание имени, а затем освоение новых сегментов и захват доминирующего положения. Крупные компании стремятся к полному охвату рынка. Оценить причины, почему покупатели приобретают один вид товара, а не другой (например аспирин - быстродействующий или медленнодействующий) помогает схема сравнения их свойств, с точки зрения покупателей, или схемы позиционирования товара.
Позиция товара соответствует восприятию покупателей, а не их действительности. Чем ближе расположены друг к другу марки товара, тем по мнению покупателей, они выглядят как удовлетворяющие одну и ту же нужду. Деятель рынка объединяет товары и потребительские предпочтения в сводную схему, которая показывает, что хотели бы приобрести покупатели.

Рисунок 4 - Пять способов охвата рынка
Комплекс маркетинга (рис. 5) включает 4 составляющих:
- товар;
- цена;
- методы распределения;
- методы стимулирования.
Иначе комплекс маркетинга - это набор поддающихся контролю переменных факторов маркетинга, совокупность которых фирма использует для вызова желательной ответной реакции со стороны целевого рынка.

Рисунок 5 - Четыре составляющих комплекса маркетинга
Претворение в жизнь маркетинговых мероприятий требует системы управления маркетингом, которая включает планирование маркетинга, состоящего из стратегического и тактического (текущего) планирования, организацию управления и контроль. Цель системы стратегического планирования - удостовериться, что фирма находит и развивает сильные производства и сокращает или вообще сворачивает слабые.
Под планированием маркетинга понимается разработка планов для каждого отдельного производства и рынка после того, как фирма приняла стратегическое решение относительно того, как поступать с каждым из своих производств. Фактически компания будет разрабатывать два плана: перспективный и годовой. Для реализации планов маркетинга создается на предприятии служба маркетинга по одной из ниже приведенных схем.
Самой распространенной схемой является функциональная организация службы маркетинга (рис. 6).

Рисунок 6 - Функциональная организация
Эта схема обладает простотой управления, однако по мере роста товарного ассортимента и рынков затрудняется составление планов по каждому товару и рынку и координация маркетинга фирмы в целом.
Для компаний, торгующих по всей территории страны, используется другой подход: координация по географическому принципу (рис. 7). Преимущество этой схемы в том, что торговые агенты могут жить в пределах обслуживаемых ими территорий, т.е. лучше узнавать клиентов и эффективно работать с минимальными издержками времени и средств на разъезды.
Фирмы с широкой товарной номенклатурой используют организацию по товарному или товарно-марочному производству. Организация по товарному производству не заменяет функциональной организации, а является еще одним уровнем управления (рис. 8).

Рисунок 7 - Организация по географическому принципу

Рисунок 8 - Организация по товарному принципу
Преимущества этой организационной структуры в том, что управляющие по товару, в том числе по второстепенным товарам, координируют весь комплекс маркетинга по своему товару, быстро реагируют на возникающие на рынке проблемы, и это хорошая школа для молодых руководителей. Недостатки в том, что часто возникают конфликты из-за недостаточности прав у управляющих по товарам и система обходится дороже, чем предполагается вначале.
Суть организационной структуры по рыночному типу в том, что вместо товара, управление организовано по рынкам сбыта (отраслям), как показано на рис. 9. Достоинство этой системы в ориентации фирмы на нужды потребителей, составляющих конкретные сегменты рынка.
Организация по товарно-рыночному типу или матричному принципу представлена на рис. 10. Система обладает преимуществами товарной и рыночной структур, однако основными ее недостатками являются большие затраты и частые конфликты. Однако большинство управляющих считают, что достоинства матричной системы перевешивают ее недостатки.

Рисунок 9 - Организация по рыночному типу

Рисунок 10 - Организация по матричному принципу
Для того, чтобы быть уверенным в эффективности деятельности фирмы, осуществляется маркетинговый контроль. Выделяют три типа маркетингового контроля:
- контроль за выполнением планов;
- контроль прибыльности;
- стратегический контроль;
2. Система маркетинговых исследований и маркетинговой информации
2.1 Концепция системы маркетинговой информации
В процессе анализа, планирования, реализации и контроля за ходом выполнения плана маркетинга требуется информация о потребителях, конкурентах, возможностях предприятия, дилерах и других силах действующих на рынке. Концепция системы маркетинговой информации представлена на рис. 11.

Рисунок 11 - Система маркетинговой информации
Система маркетинговой информации - постоянно действующая система взаимосвязи людей, оборудования и методических приёмов, предназначенная для сбора, классификации, анализа, оценки и распространения актуальной, своевременной и точной информации для использования её распорядителями сферы маркетинга с целью совершенствования планирования, претворения в жизнь и контроля за использованием маркетинговых мероприятий.
У любой фирмы существует внутренняя отчётность, к ней относятся показатели: текущего сбыта, суммы издержек, объёмы материальных запасов, движения денежной наличности, данные о кредиторской и дебиторской задолженности. Применение ЭВМ позволяет создать эффективные системы внутренней отчётности. Так при наличии такой системы торговый агент может из любой точки по телефону запросить необходимые ему сведения, например о наличии товара на складе и получить ответ не только о наличии бумаги на складе, но и при её отсутствии, ответ на вопрос, когда и каким комбинатом она будет произведена. Это даёт ему большие преимущества перед конкурентами.
Система сбора внешней текущей маркетинговой информации обеспечивает руководителей информацией о самых последних событиях и представляет набор источников и методических приёмов, посредством которых руководители получают повседневную информацию о событиях, происходящих в коммерческой среде.
Руководители фирм применяют следующие методы сбора такой информации: чтение газет, книг, специальных изданий, беседы с поставщиками и другими лицами, не являющимися штатными работниками фирмы; обмен сведениями с другими управляющими и сотрудниками фирмы; обучение продавцов фиксировать события и сообщать о них (это "глаза и уши" фирмы); назначение специалистов по сбору внешней маркетинговой информации (особенно о конкурентах); покупка сведений у сторонних поставщиков внешней текущей информации (существуют специальные фирмы по сбору информации о ценах на товар, доле рынка, подборе рекламы конкурентов), организация специальных отделов по сбору и распространению текущей маркетинговой информации, в которых сотрудники просматривают наиболее важные издания в поисках новостей, составляют обзоры и рассылают их управляющим по маркетингу. В этих отделах ведут досье интересующих фирму сведений. Это резко повышает качество информации, поступающей к управляющим по маркетингу.
2.2 Система маркетинговых исследований
Маркетинговые исследования - систематическое определение круга данных, необходимых в связи со стоящей перед фирмой маркетинговой ситуацией, их сбор, анализ и отчёт о результатах. Фирма проводит маркетинговые исследования или собственными силами - отделом маркетинга, или специализированными организациями. Наиболее типичными задачами исследователей маркетинга являются: изучение характеристик рынка, замеры потенциальных возможностей рынка, анализ распределения долей рынка между фирмами, анализ сбыта, изучение тенденций деловой активности, изучение товаров конкурентов, краткосрочное прогнозирование, изучение реакции на новый товар и его объём, долгосрочное прогнозирование, изучение политики цен.
Управляющие, прибегающие к маркетинговым исследованиям, должны быть знакомы с их спецификой и знать технологию исследования, чтобы не допустить ошибки в принятии решения на основе недостоверной информации. Схема маркетинговых исследований представлена на рис. 12.
|
Выявление проблем и формулировка целей |
|
Отбор источников информации: выбор места исследования; подготовка орудий исследования; составление плана выборки; выбор способа связи с аудиторией |
|
Сбор информации: опрос, наблюдение, панель, эксперимент |
|
Анализ собранной информации: Составление таблиц, графиков; определение средних уровней распределения частотности, дисперсии; обработка информации с помощью статметодов и моделей принятия решения |
|
Представление собранной информации |
Рисунок 12 - Схема маркетингового исследования
Для получения информации в маркетинге используются следующие методы: опрос, наблюдение и автоматическая регистрация данных (эксперимент представляет только специфический план исследований), панель. Выбор конкретного метода зависит от цели исследуемого признака (человек, предмет). Перечень способов получения информации и некоторые их характеристики приведены в табл. 2 [8].
Таблица 2 – способы получения маркетинговой информации
|
Метод |
Определение |
Формы |
Экономический пример |
Преимущества и проблемы |
|
1. Первичные исследования |
Сбор данных при их возникновении |
|
|
|
|
Наблюдение |
Планомерный охват воспринимаемых органами чувств обстоятельств без воздействия на объект наблюдения |
Полевое и лабораторное, личное, с участием наблюдающего и без него |
Наблюдение за поведением потребителей в магазине или перед витринами |
Часто объективней и точнее, чем опрос. Многие факты не поддаются объяснению. Высоки расходы. |
|
Интервью |
Опрос участников рынка и экспертов |
Письменное, устное, телефонное, свободное, стандартизированное |
Сбор данных о привычках потребителей, исследования имиджа марок и фирм, исследование мотивации |
Исследование не воспринимаемых обстоятельств (мотивы, например) Надежность интервью, влияние интервьюера, проблемы репрезентативности выборки |
|
Панель |
Повторяющийся сбор данных у одной группы через равные промежутки времени |
Торговая, потребительская, специальная |
Постоянное отслеживание торговых запасов в группе магазинов |
Выявление развития во времени. Смертность панели, эффект панели |
|
Эксперимент |
Исследование влияния одного фактора на другой при одновременном контроле посторонних факторов |
Полевые, лабораторные |
Тест рынка, исследование продукта, исследование рекламы |
Возможность раздельного наблюдения за влиянием переменных. Контроль ситуации, реалистичность условий. Расход времени и денег |
|
2. Вторичные исследования |
Обработка уже имеющихся данных |
|
Анализ доли рынка с помощью данных учета и внешней статистики |
Низкие затраты, быстрота. Неполные и устаревшие данные, несоответствие методик получения данных |
Под опросом понимается выяснение позиций людей или получение от них справки по какому-либо вопросу. Опрос - самая распространенная и важнейшая форма сбора данных в маркетинге. Приблизительно в 90% исследований используется этот метод. Опрос может последовать в устной или письменной форме. Устные и телефонные опросы называют обычно интервью. Опросы разделяются:
- по кругу опрашиваемых (частные лица, эксперты, предприниматели и др.);
- по количеству одновременно опрашиваемых (единичное или групповое интервью);
- по количеству тем, входящих в опрос (одна или несколько (омнибус));
- по уровню стандартизации (свободная схема или структурированная, полностью стандартизованная);
- по частоте опроса (одно- или многоразовый опрос).
При письменном опросе участники получают опросные листы, которые они должны заполнить и отослать по назначению.
Наблюдение как способ получения информации используется в исследовании рынка гораздо реже, чем опрос. Научное наблюдение понимается при этом как процесс, который:
- служит определенной исследовательской цели;
- проходит планомерно и систематически;
- служит для обобщающих суждений, не представляет только собирание интересных фактов;
- подвержен постоянному контролю, с точки зрения надежности и точности.
Преимуществами этого метода, по сравнению с опросом, являются следующие:
- независимость от желания объекта к сотрудничеству, от способности исследуемых к словесному выражению сути дела;
- возможность обеспечить более высокую объективность;
- возможность восприятия неосознанного поведения (выбор товара на полках в магазине);
- возможность учета окружающей ситуации, особенно при наблюдении с помощью приборов.
Наблюдение имеет наряду с этим и недостатки: трудно обеспечить репрезентативность; субъективность восприятия наблюдающего; поведение объектов может отличаться от естественного, если наблюдение открыто (эффект наблюдения).
Можно выделить следующие формы наблюдения:
- по характеру окружающей обстановки наблюдение может быть полевым - это означает, что процессы проходят в естественной обстановке (магазин, у витрины) или лабораторным, то есть проводящимся в искусственно созданной ситуации. Преимущество первой формы заключается в естественности наблюдаемого поведения. Вторая форма позволяет поддерживать более стабильные условия наблюдения и делает возможным применение ряда технических средств;
- по месту наблюдающего различают процесс с непосредственным участием исследователя и наблюдением со стороны;
- по форме восприятия объекта можно выделить персональное наблюдение (непосредственно наблюдающим) и не персональное - через приборы или с помощью регистрации следов поведения;
- по степени стандартизации - стандартизованное и свободное наблюдение.
Стандартизация подразумевает здесь задание определенных категорий поведения схем поступков. Например, для наблюдения действенности рекламы в витрине можно выделить следующие варианты поведения прохожих: человек вошел в магазин, не взглянув на рекламу; человек вошел в магазин, взглянув предварительно на рекламу; взглянул на витрину, не вошел в магазин; прошел, не взглянув на витрину.
Экспериментом называют исследование, при котором должно быть установлено, как изменения одной или нескольких независимых переменных влияют на одну (или многие) зависимую переменную. Существенные признаки эксперимента: изолируемые изменения (отдельные величины варьируются исследователем, другие должны быть, насколько возможно, постоянными); исследователь активно вмешивается в процесс возникновения данных; проверяются причинно-следственные связи (например, влияние цвета упаковки на сбыт продукта).
Панель имеет следующие основные признаки:
- предмет и тема исследования постоянны;
- сбор данных повторяется через равные промежутки времени;
- постоянная совокупность объектов исследования – домашние хозяйки, предприятия торговли, производственные потребители.
На практике образовался целый ряд видов панели (рис. 13)

Рисунок 13 - Виды панели
Система анализа маркетинговой информации представляет набор совершенных методов анализа. В основу любой системы анализа маркетинговой информации положен статистический банк и банк моделей.
Статистический банк – совокупность современных методик статистической обработки информации, позволяющих наиболее полно вскрыть взаимозависимости данных и установить степень их статистической надежности. Банк моделей – набор математических моделей, способствующих принятию более оптимальных маркетинговых решений по деятельности рынка. Каждая модель состоит из совокупности взаимосвязанных переменных, представляющих некую реально существующую систему, процесс или результат. Эти модели могут дать ответы на вопросы типа: что лучше? (например, снизить цены на действующем рынке или освоить новый?); какое месторасположение лучше?
Система анализа маркетинговой информации представлена в виде схемы (рис. 14.)

Рисунок 14 - Система анализа маркетинговой информации.
Типичная постановка вопроса при использовании различных методов анализа приведена в табл. 3 [8].
Таблица 3 – Методы анализа маркетинговой информации
|
Метод |
Типичная постановка вопроса |
|
Регрессионный анализ |
Как изменится объем сбыта, если расходы на рекламу сократятся на 10%? Какова будет цена на продукт в следующем году? Как влияет объем инвестиций в автомобильной отрасли на спрос на сталь? |
|
Вариационный анализ |
Влияет ли упаковка на размеры сбыта? Влияет ли цвет рекламного объявления на количество людей, вспомнивших рекламу? Влияет ли выбор пути сбыта на величину продаж? |
|
Дискриминантный анализ |
По каким признакам курящие отличаются от некурящих? Какие признаки работников службы сбыта наиболее существенны для их деления на преуспевающих и неудачников? Можно ли определенного человека, учитывая его возраст, доход, образование, считать достаточно надежным для выдачи кредита? |
|
Факторный анализ |
Можно ли агрегировать множество факторов, которые покупатели автомобилей считают важными? Как можно описать различные марки автомобилей, с точки зрения этих факторов? |
|
Кластер-анализ |
Можно ли клиентов разделить на группы по их потребностям? Имеет ли газета различные типы читателей? Как можно классифицировать избирателей по тому, как они интересуются политикой? |
|
Многомерное шкалирование |
На сколько продукт соответствует "идеалу" потребителей? Какой имидж имеет предприниматель? Как изменилось отношение потребителей к продукту в течение ряда лет? |
3. Качественный маркетинг, бенчмаркинг
Качественные маркетинговые исследования позволяют изучить мотивы поведения потребителей, выявляют факторы, влияющие на их предпочтения, отвечающие на вопросы: почему и как именно. В качественном исследовании применяют методы: глубинное интервью и фокус-группы; редко используется метод наблюдения. Надежность результатов обеспечивается отбором респондентов – отбираются типичные представители определенных категорий потребителей.
Фокус-группа – это главный метод сбора и анализа информации в процессе качественного маркетингого исследования; синонимами этого метода являются метод группового интервью и групповой дискуссии. Во время дискуссии в аудитории респондентов фокусируют на интересующих исследователя вопросах. В индивидуальном интервью исследователь и респондент общаются друг против друга. В групповых дискуссиях респонденты общаются с себе подобными, в групповых дискуссиях мнение высказывается более открыто, эмоционально. Количество респондентов в фокус-группе – от 8 до 12 человек; продолжительность работы – от 1,5 до 3 часов. Фокус-группы используются, когда необходимо: выяснить отношение к товару; исследовать имидж и позицию товара на рынке; изучить воздействие рекламы на потребителя; протестировать новую идею товара.
Лицо, организующее дискуссию в фокус-группах, называется модератором. В европейских странах и США качественный метод стали применять с 50-х г., а в России он менее популярен.
Бенчмаркинг (benchmarking) как функция маркетинговых исследований. Его родиной является США, и цель бенчмаркинга заключается в том, чтобы на основе исследований надежнее установить вероятность успеха бизнеса. Бенчмаркинг рассматривается как способ оценки стратегий и целей работы в сравнении с первоклассными предприятиями, чтобы гарантировать долгосрочное пребывание на рынке.
Польза бенчмаркинга состоит в том, что производственные и маркетинговые функции становятся наиболее управляемыми, когда на своем предприятии исследуются и внедряются лучшие методы и технологии других предприятий и отраслей. Это может приводить к прибыльному предпринимательству с высокой экономичностью, созданию полезной конкуренции и удовлетворению потребностей покупателей.
Существует много видов бенчмаркинга.
Внутренний бенчмаркинг - бенчмаркинг процесса, осуществляемый внутри организации, сопоставляет характеристики производственных единиц, схожих с аналогичными процессами.
Бенчмаркинг конкурентоспособности - измерение характеристики предприятия и ее сопоставление с характеристикой конкурентов; исследования специфических продуктов, возможностей процесса или административных методов предприятий-конкурентов.
Функциональный бенчмаркинг - сравнение определенной функции двух или более организаций в том же секторе.
Бенчмаркинг процесса - деятельность по изменению определенных показателей и функциональности для их сопоставления с предприятиями, характеристика которых является совершенной в аналогичных процессах.
Глобальный бенчмаркинг - расширение стратегического бенчмаркинга, которое включает также ассоциативный бенчмаркинг.
Общий бенчмаркинг - бенчмаркинг процесса, который сравнивает определенную функцию двух или более организаций независимо от сектора.
Существуют также бенчмаркинг затрат; бенчмаркинг характеристики; бенчмаркинг клиента; стратегический бенчмаркинг, охарактеризованный выше; оперативный бенчмаркинг, а также ассоциативный бенчмаркинг - бенчмаркинг, проводимый организациями, состоящими в узком бенчмаркинговом альянсе. Протокол этой кооперации содержится в Кодексе поведения бенчмаркинга.
Помимо необходимости осуществить проект по анализу превосходства планомерно и шаг за шагом, следует также обязательно соблюдать следующие правила:
- руководители предприятия должны быть поглощены идеей анализа превосходства;
- сотрудники должны быть проинформированы о целях и необходимости проекта;
- рабочая программа должна иметь простую, пошаговую и понятную структуру;
- ход проекта должен быть подробно задокументирован.
Соблюдение такого порядка имеет такое большое значение потому, что анализ превосходства часто инициирует важные, а иногда даже драматические изменения на предприятии. Даже когда эти процессы в принципе выгодны, они всегда порождают некоторое беспокойство или сопротивление. Часто речь не идет о том, чтобы внедрить новую организационную модель, так как сами сотрудники и руководители предприятия становятся целью мероприятий по изменению структуры.
Кроме того, анализ превосходства дает инновационные импульсы для процесса разработки новых методов работы. И при этом происходит не реформа, а революция, которая создает новые организации - предприятия, которые способны выполнить требования конкуренции. Большое значение для получения способности побеждать в конкурентной борьбе имеет знание особых правил игры и условий в своей отрасли. Несмотря на это, можно выделить некоторые общие факторы успеха, которые действуют независимо от конкретной отрасли и характеризуют первоклассное предприятие:
- ориентация на достижение результата;
- внимание к затратам;
- ориентация на покупателей и покупательскую полезность;
- контакты с поставщиком;
- повышение качества и производительности;
- использование современных технологий;
- концентрация на основной деятельности.
Процесс бенчмаркинга можно разбить на пять фаз.
1. Определение объекта анализа превосходства. Здесь нужно установить те объекты предприятия полиграфической промышленности, которые можно исследовать при помощи анализа превосходства. Существует возможность критически пересмотреть организацию в целом или ее отдельные составные части. Более того, надо решить, проводить ли анализ превосходства с внутренней или внешней точки зрения (например, с позиции восприятия покупателя). Далее, этот инструмент может найти применение при анализе товаров, контрольных показателей объема продаж, ориентации клиентов и т.д. В принципе, нет никаких ограничений применения, кроме тех, которые следуют из потребностей покупателя и требований самого предприятия.
2. Выявление партнеров по анализу превосходства. Определив цели, следует начать поиск лучших предприятий. Подходящие партнеры должны быть не только первоклассными сами по себе, но и иметь по возможности высокую степень сопоставимости с собственной компанией. Этот процесс включает следующие шаги:
- беглый обзор (от англ., to skim - бегло прочитывать, пробежать глазами). На этой стадии осуществляют поверхностный обзор имеющихся источников информации, а также собирают уже доступные данные;
- приведение в порядок (от англ., to trim - отделывать, шлифовать, приводить в порядок). В этой фазе, принимая во внимание дальнейшую информацию, подробно описывают имеющиеся к этому моменту сведения;
- выбор лучших (от англ., to cream - снимать сливки). На этой стадии процесса выбирают партнеров, которых сочли подходящими.
В качестве источников информации предлагаются: отчеты о деятельности фирм; журналы, книги, базы данных; перечень предприятий; деловые связи; консалтинговые компании; специализированные конференции, семинары, ярмарки; союзы, исследовательские учреждения и т.д.; специалисты; маркетинговые клубы; сотрудники различных комиссий; участие в наблюдательных советах.
3. Сбор информации. Эта фаза включает не только сбор качественных данных, но и изучение/описание содержания труда, процессов или факторов, которые | объясняют продуктивность. Сбор информации включает следующие подзадачи:
- концепция опросных листов, которая содержит определения и объяснения;
- подбор информации о собственном предприятии (сильные и слабые стороны);
- сбор фактов о партнере по анализу превосходства;
- использование дополнительных источников;
- документальное оформление информации;
- проверка имеющихся в наличии данных, чтобы гарантировать их признание и одобрение ответственности руководящими работниками, как на своем предприятии, так и у партнеров по анализу превосходства.
4. Анализ информации. Эта стадия выдвигает высочайшие требования к творческим и аналитическим способностям участвующих в процессе анализа превосходства. Анализировать - значит не только осознавать сходства и различия, но и понимать взаимосвязи. Кроме того, надо выявить воздействия, которые могут осложнить сравнения и фальсифицировать результаты. Здесь можно предложить следующий образ действий:
- упорядочение и сопоставление полученных данных;
- контроль качества информационных материалов;
- наблюдение за оказывающими влияние факторами, которые могут исказить сравнение;
- выявление недостатков в работе по сравнению с лучшими методами; понимание лежащих в основе причин, которые объясняют существование недостатков;
- проведение анализа, при помощи которого можно выбрать между изготовлением за счет собственных ресурсов и поставкой со стороны при сомнениях относительно некоторых подразделений или процессов (анализ "изготовление или покупка").
5. Целенаправленное проведение в жизнь полученных сведений. Пятая стадия включает не только внедрение разработанных возможностей улучшения, но и дальнейшее развитие организации предприятия, чтобы противостоять ожидающимся в будущем вызовам. Такое целенаправленное инновационное внедрение означает:
- размышления о последствиях анализа превосходства;
- представление отчета о результатах заинтересованным лицам;
- выявление возможностей улучшения;
- увязка с обычным планом работ предприятия;
- разработка плана введения необходимых изменений;
- внедрение плана в жизнь;
- понимание анализа превосходства как непрерывного процесса;
- использование результатов для дальнейшего инновационного развития.
6. Контроль за процессом и повторение анализа. Контроль за процессом при внедрении результатов анализа происходит в двух плоскостях: во-первых, можно следить за развитием установленных оценочных показателей результатов работы предприятий и, во-вторых, необходимо проверять достижение промежуточных целей и соблюдение планов по ресурсам и срокам.
4. Практическая часть
Задание 1.
1. Разработаем рекомендации торговому персоналу при работе с различными типами клиентов,. результаты оформим в табл. 2.
Таблица 2 - Рекомендации торговому персоналу
|
Квадрат |
|
|
недостатки |
- невозможно переубедить или переориентировать на другой товар - при неустраивающей цене покупка не состоится - товар приобретает не сразу |
|
положительные |
- хорошо разбирается в том, что собирается купить, не требуется дополнительных разъяснений - при оптимальном обслуживании в первый раз имеется большой шанс, что он станет постоянным клиентом |
|
рекомендации |
- Будьте серьезны. Достаточно соблюсти правила делового этикета. «Квадрат» пришел к вам не для того, чтобы завязать с вами дружеские отношения. Он хочет купить то, что ему требуется. Не переусердствуйте с улыбкой и смотрите ему прямо в глаза. - Не говорите слишком много. Если «квадрат» замолчал, помолчите и вы (до следующего вопроса). Он думает, и ему не нужно мешать. - Не суетитесь. Быстрые движения и суета вызывают у «квадрата» недоверие. Естественная поза и спокойствие - вот все, что вам нужно. Можно воспользоваться приемом «зеркало»: имитируйте движения (или их отсутствие) своего клиента. - Дайте полную характеристику вашему товару (услуге). «Квадраты» часто знают о вашем товаре (услуге) не меньше вас. Не пытайтесь его приукрасить и никогда не лгите «квадрату»! Он легко вас изобличит. Не давайте ему никаких обещаний, которые не сможете выполнить. - Не стремитесь продать «во что бы то ни стало». «Квадрат» никогда не покупает импульсивно, поэтому этим вы только оттолкнете потенциального клиента. Если вы сделаете все, что перечислено выше, и если ваш товар отличается высоким качеством, «квадрат» купит его. - Если покупка сразу не состоялась, снабдите «квадрата» печатными материалами о ваших товарах (услугах). Как показывает опыт зарубежных компаний, затраты на создание таких материалов всегда окупаются. - Внимательно относитесь к жалобам «квадрата». Если вы хотите, чтобы ваше дело развивалось и приносило прибыль, используйте его в качестве внештатного инспектора и аналитика. Он вскроет ваши проблемы с присущей ему обстоятельностью. Но если вы не отреагируете на жалобу «квадрата», он легко может испортить вашу репутацию, обратившись в вышестоящие инстанции, ибо «квадраты» принадлежат к разряду «писателей жалоб». |
|
Треугольник |
|
|
недостатки |
- требует излишнего внимания только к себе, нет возможности параллельной работы с другими клиентами - требует постоянных уступок в виде скидок, доставок и установок |
|
положительные |
- достаточно импульсивно принимает решение о покупке, но при этом продавец должен произвести впечатление уверенного и успешного |
|
рекомендации |
- Полностью сосредоточьтесь на «треугольнике». Он должен почувствовать ваше внимание к нему. Никаких отвлечений на обслуживание других покупателей-клиентов. За любую помеху в общении следует извиниться. - Говорите быстро и по существу (только о главном, без подробностей) «треугольники» занятые люди и ценят краткость и темп. - Отвечайте на вопросы честно. Не пытайтесь что-то утаить или исказить. В случае с «треугольником» это так или иначе выйдет на поверхность. - Характеризуя товар, подчеркивайте основные достоинства, но обязательно упомяните хотя бы об одном отрицательном свойстве, недостатке (они есть всегда). Во-первых, «треугольник» уважает прямых, откровенных людей. Во-вторых, указывая на недостатки, вы «выбиваете оружие» из его рук, т.к. он, возможно, знает о вашем товаре и не преминет воспользоваться этим знанием или для того, чтобы уличить вас в нечестности, или для того, чтобы добиться преимуществ для себя (скидки, выгодных условий сделки и пр.). И то и другое не в ваших интересах! - Обязательно покажите, что ваши дела идут превосходно. Для этого существует множество способов: от оформления и рекламы вашей организации («треугольнику» свойственна страсть к «ярлыкам») до упоминания в разговоре престижных покупателей, которые уже воспользовались вашими услугами. «Треугольники» вообще никогда не обратятся за товаром или услугами в ничем не примечательную организацию. - Не тяните с вопросом типа: «Вы берете это?» «Треугольники» - импульсивные покупатели, им нравятся смелость и риск в принятии решений. - Будьте готовы к тому, что «треугольник» станет торговаться. Как правило, он почти никогда не соглашается с первым предложением. И дело здесь не в цене. Просто по складу своей личности «треугольник» всегда нацелен на то, чтобы добиться для себя преимущества в любой ситуации. Если цена не служит предметом переговоров, он будет добиваться для себя иной выгоды: бесплатной доставки, установки, дополнительного обслуживания, возможности возврата и т.д. |
|
Прямоугольник |
|
|
недост. |
- работа с таким покупателем требует много времени и внимания, поскольку прямоугольник достаточно долго определяется с выбором товара - рассеян, не всегда возможно определить его платежеспособность |
|
положит |
- при определенном давлении и умении продавца можно реализовать прямоугольнику любой товар |
|
рекомендации |
- Проявите участие, но не будьте навязчивым, когда заметите замешательство и смущение покупателя. - Будьте простым, выражайтесь кратко и ясно при общении с «прямоугольником», чтобы не ввести его в еще большее смущение. - Зондируйте почву. Спрашивайте, чтобы определить потребности покупателя. Этим вы сэкономите свое время. Кроме того, осторожно выясните его возможности как покупателя. Может оказаться так, особенно в случае серьезных сделок, что ваш клиент в юридическом или даже финансовом отношении несостоятелен. - Будьте терпеливы: работа с «прямоугольником» требует времени. - Будьте готовы ответить на множество вопросов, даже повторяющихся. - Обязательно покажите (расскажите), как ваш товар упрощает дело (или даже жизнь в целом). Это может стать решающим основанием для заключения сделки. - В паузах не забывайте спрашивать о том, собирается ли ваш клиент купить товар (услугу). Скорее всего, вам придется повторить свой вопрос несколько раз, однако не «наступайте» на клиента. |
|
рекомендации |
- Помните о доверчивости «прямоугольника», хотя вам, возможно, захочется немного приукрасить свой товар (услугу). - В случае заключения сделки возьмите на контроль сроки доставки (установки) товара. Независимо от того, куда доставляется товар — домой или в учреждение, обязательно проверьте непосредственно перед отправкой готовность получателя принять товар. Это не будет лишним, поскольку в делах «прямоугольники» великие путаники. |
|
Круг |
|
|
недостат |
- отвлекается во время покупки на посторонние вещи, людей - сопровождающие его люди могут отклонить покупку |
|
положит |
- достаточно легко общаться и выяснить потребности круга - редко обращаются с жалобами |
|
рекомендации |
- Сделайте так, чтобы понравиться «круглому» покупателю (клиенту). «Круг» может заключить с вами сделку просто потому, что ему понравились вы (а не ваш товар). - Полное внимание к покупателю. Если есть такая возможность, позаботьтесь, чтобы он чувствовал себя уютно: кресло, приятная беседа и т. п. «Круг» должен почувствовать с вашей стороны интерес и уважение к нему просто как к человеку. - Установив первоначальный контакт, свободно задавайте зондирующие вопросы (и прежде всего личного характера). «Круги» любят раскрывать себя, и это может помочь вам найти убедительные аргументы в пользу вашего товара (услуги). - Не осуществляйте никакого давления на покупателя-«круга». В непринужденной беседе как бы случайно упомяните о цене и качестве товара. Если «круг» пришел один, то он вряд ли купит что-либо сразу; ему необходимо посоветоваться с его ближайшим окружением. - Если возможно, покажите, что вы сами пользуетесь этим товаром (услугой). Это один из самых сильных аргументов для «круга». - Если ваш товар предполагает это, продемонстрируйте, как им можно пользоваться коллективно. - Подчеркните, если это соответствует истине, что ваш товар или услуга популярны у потребителей. - Не критикуйте товары или услуги ваших конкурентов. - Если «круг» обращается к вам с жалобой на товар или обслуживание, обязательно постарайтесь исправить дело. «Круги» чрезвычайно редко жалуются, и если они это делают, тому есть серьезная причина. Если вы справедливо отреагируете на жалобу «круга», скорее всего, он станет вашим постоянным покупателем. |
|
Зигзаг |
|
|
недостатки |
- Отрицательное решение является «окончательным и обжалованию не подлежит». Не стоит пытаться переубедить «зигзага» — зря потратите время. Следовательно, сложность состоит в том, чтобы за короткое время успеть снабдить «зигзага» информацией в пользу приобретения вашего товара или услуги. Скорее всего, это будет трудно сделать без специально подготовленного рекламного материала, демонстрационных стендов и т. п. - При заключении серьезных сделок, связанных с отсроченной оплатой, поэтапными поставками и пр., необходимо с самого начала ознакомить «зигзага» с правилами расторжения договора или возврата товара, существующими в вашей организации (что, вообще говоря, нелишне в отношении всех клиентов). «Зигзаги» славятся тем, что расторгают договоры и возвращают товар, когда они слишком быстро (хорошо не подумав) решили его купить. Если в вашей организации не разработаны эффективные защитные меры против подобных действий клиентов, лучше не продавать товар, чем потерпеть убытки от его возврата. - С «зигзагами» требуется особая осторожность в рекламировании товаров и услуг. Они без всякого стеснения и сожаления возвращают товары или отказываются от услуг, если их качество не соответствует заявленному в рекламе уровню. |
|
полож |
- любит товар с «наворотами», если сказать, что это последняя модель или «писк моды», то можно продать все, главное чтобы он не увидел такой же товар в витрине соседнего магазина |
|
рекомендации |
Стремитесь продать вместе с основным товаром (услугой) все, что можно включить в комплект (запасные части, вспомогательное оборудование или дополнительные услуги и т. п.). «Зигзаг» обычно стремится купить полный набор или комплект. |
2. На мой взгляд наиболее предпочтителен такой тип покупателей как круг, потому что с ними достаточно легко общаться, такой тип людей полностью вменяем и оценит любую шутку продавца, даже неудачную.
3. Потому, что эти два типа покупателей коммуникабельны и достаточно легко совершают покупки, редко делают возвраты. Покупки совершают в основном с первого захода.
4. Достоверность данной методики достаточно высока – порядка 85%, несомненно любой продавец должен быть наполовину психологом, а лучшей практики, чем у психогеометрии (в семье, общении и на работе) для продавца нет в отличии от остальных областей психологии. То есть данная методика наиболее оптимальный вариант совершенствования профессиональных качеств продавца. В заключение еще раз хотелось бы обратить внимание на то, что психологические приемы, методы и средства воздействия, избираемые специалистом, не должны выходить за пределы норм, продиктованных существующей нравственной системой. У любого современного профессионала, в том числе и продавца, на первом месте должен стоять запрет на причинение морального вреда — запрет на разрушение личностных границ и внутреннего равновесия, эмоциональной гармонии другого человека.
Задание 2.
Разработаем бланк анкеты для проведения исследования рынка мягкой мебели.
Респонденту предлагается 3 варианта ответов (Да, Нет, Не знаю). В случае ответа на первый раздел (данные о респонденте ответы вписываются в общую строку).
|
ДА |
НЕТ |
НЕ ЗНАЮ |
|
|
Данные о респонденте |
|||
|
Ваш возраст |
|||
|
Ваш пол |
|||
|
Проживаете в этом населенном пункте |
|||
|
Семейное положение |
|||
|
Наличие детей |
|||
|
Общие данные о товаре в домашнем использовании |
|||
|
Приобретаете для личного использования |
|||
|
Приобретаете для общего семейного пользования |
|||
|
Приобретаете для других людей (например в подарок) |
|||
|
Мебель подбирается под уже имеющиеся предметы |
|||
|
Приобретаете для обстановки комнаты «с нуля» |
|||
|
Важнейшие факторы, влияющие на выбор товара |
|||
|
Необходимы только натуральные материалы |
|||
|
Предпочитаете товар отечественного/местного производства |
|||
|
Цветовая гамма (укажите наиболее предпочтительную) |
|||
|
Цена, предложенная нами, Вас устраивает |
|||
|
Если цена для Вас высока, рассмотрите ли предложение взять товар в кредит |
|||
|
Оценка товара |
|||
|
Достаточен ли выбор ассортимента |
|||
|
Приемли мы ли цены |
|||
|
Вы уже приобретали товар у нас |
|||
|
Будете ли рекомендовать наш товар своим друзьям, знакомым |
|||
|
Оцените по 5-балльной шкале товар (5 – отлично и т.д.) |
|||
|
Оценка нового товара |
|||
|
Нуждается ли товар в улучшении |
|||
|
Что по Вашему мнению необходимо улучшить в товаре |
|||
|
Необходимо ли изменение цветовой гаммы |
|||
|
Необходимо ли включать доставку и сборку сразу в цену |
|||
|
Необходимо ли изменение представленного ряда товара (в соответствии с изменениями моды) |
Задание 3.
Составим портрет потребителя винной продукции, сведем полученные данные в табл. 3.
Среди потребителей, покупающих вино раз в месяц и чаще (далее группа А), наибольшую долю занимает группа в возрасте 26-35 лет для мужчин (28,81%) и 21-25 лет для женщин (36,95%). Меньше всего потребляют вино мужчины в возрасте до 20 лет и женщины старше 50.
Пик потребления вина в среднем наступает у женщин раньше на 5 лет чем у мужчин.
Среди покупателей группы А наибольшую долю, как среди мужчин, так и среди женщин составляю люди со средним достатком (57,62% и 65,21% соответственно). Потребление вина в группах с высоким и низким доходом достаточно одинаково, при этом стоит отметить, что % потребления вина в малообеспеченной группе все таки выше, чем в группе с высокими доходами и у мужчин, и у женщин.
По уровню образования, сразу следует отметить значительное преимущество группы с высшим образованием и у мужчин и у женщин (59,32 и 56,52% соответственно) – более половины группы А. Меньше всего потребляют вина группы с низким уровнем образования (незаконченное среднее, без образования), можно утверждать, что у данных групп совсем другие предпочтения в выборе алкогольной продукции.
Стоит выделить следующую закономерность – с ростом уровня образования увеличивается количество людей, потребляющих вино.
По социальному статусу среди мужчин занимают лидирующее положение группы служащих (23,73%) и предпринимателей (23,64%). Среди женщин – группа служащих (28,26%). Меньше всего потребляют вино студенты (10,17%), научные работники (11,86%) и безработные (13,55%). У женщин меньше всего также насчитывает группа безработных (5,72%), а среди остальных групп – примерно равное соотношение от 15,21 до 19,56%.
В группе А вино потребляют в основном дома с семьей (42,37% и 43,47%) и при встречах с друзьями (45,72% и 45,65%) и мужчины и женщины. Меньше всего потребляют вино при посещении клубов, баров и пр., видимо из-за относительной дороговизны вина по сравнению с другими алкогольными напитками в этих заведениях.
Таким образом, потребляющие вино 1 раз в месяц и чаще – это среднеобеспеченные люди, в основном служащие, имеющие высшее образование при встречах с друзьями или в семейном кругу, мужчины 26-35 лет и женщины 21-25 лет.
Среди потребителей, покупающих вино только по праздникам (далее группа Б), наибольшую долю также занимает группа в возрасте 26-35 лет для мужчин (28,57%) и 21-25 лет для женщин (25,42%). Меньше всего потребляют вино мужчины и женщины старше 50.
Среди покупателей группы Б наибольшую долю, как среди мужчин, так и среди женщин составляю люди со средним достатком (57,14% и 62,71% соответственно). Потребление вина в группе с высоким доходом достаточно низкое – 4,08% мужчин и 1,69% женщин.
По уровню образования, следует отметить значительное преимущество группы с высшим образованием и у мужчин и у женщин (42,86 и 35,59% соответственно). Меньше всего потребляют вина группы с низким уровнем образования (незаконченное среднее – 2,04% и 1,69%, без образования – 0% и 1,69%. Также достаточно велика доля покупающих вино к празднику и среди людей со средним специальным образованием – 32,65% мужчин и 25,42% женщин.
По социальному статусу среди мужчин и женщин занимает лидирующее положение также группа служащих (36,73% и 25,42% соответственно). Меньше всего потребляют вино научные работники (4,08% и 5,08%) и безработные (8,16% и 1,69%).
В группе Б вино потребляют в основном дома с семьей (51,02% и 47,46%) и при встречах с друзьями (38,77% и 48,57%) и мужчины и женщины. Стоит отметить, что мужчины предпочитают все таки домашние условия, а женщины – встречи с друзьями.
Таким образом, потребляющие вино только по праздникам (в принципе как и группа А) – это среднеобеспеченные люди, в основном служащие, имеющие высшее образование при встречах с друзьями (женщины) или в семейном кругу (мужчины), мужчины 26-35 лет и женщины 21-25 лет.
Таблица 3 – Обобщение результатов анализа
|
категория |
пол |
возраст |
мат. положение |
образование |
соц. статус |
время |
|
А (1 раз в месяц) |
мужчины |
26-35 |
среднеобеспеч. |
высшее |
служащий |
с друзьями |
|
женщины |
21-25 |
среднеобеспеч. |
высшее |
служащий |
с друзьями |
|
|
Б (праздник) |
мужчины |
26-35 |
среднеобеспеч. |
высшее |
служащий |
дома |
|
женщины |
21-25 |
среднеобеспеч. |
высшее |
служащий |
с друзьями |
Для определения потребительских предпочтений в группе А составим вспомогательную таблицу 4.
Сухие красные и белые вина предпочитают в основном мужчины возраста 36-50 лет. Полусухие красные – 26-35 лет, а полусухие белые – 21-25 лет и 36-50 лет. Крепкие вина предпочитают мужчины 36-50 лет (красные) и 21-25 лет (белые). В отношении десертных вин и красные и белые предпочитают мужчины 21-25 лет. У женщин сухие вина предпочитают в возрасте 36-50 лет, полусухие красные в 21-25 лет, а полусухие белые в 26-35 лет. Красные крепкие в основном предпочитают женщины 21-25 лет, а десертные красные – 36-50 лет. Крепкие белые выбирают женщины 26-35 лет, женщины постарше предпочитают десертные белые вина.
По материальному положению ситуация следующая: высокообеспечнные мужчины предпочитают крепкие красные и белые вина, полусухие и десертные белые. Женщины, имеющие высокий доход, предпочитают только десертные красные вина. Мужчины со средним достатком выбирают полусухие красные и сухие белые вина. Женщины – сухие и крепкие красные, полусухие белые. Остальные группы вин предпочитают мужчины и женщины с низкими доходами.
Мужчины со средним специальным образованием предпочитают все белые вина, кроме сухих. Женщины наоборот – предпочитают сухие и полусухие красные и полусухие белые. Мужчины с незаконченным высшим выбирают полусухие красные и сухие белые вина. Женщины с таким уровнем образования не занимают лидирующего положения ни по одному виду вина. Сухим белым и крепким красным винам отдают предпочтение и мужчины и женщины с высшим образованием. Кроме того окончившие вузы мужчины предпочитают сухие красные вина, а женщины – крепкие и десертные красные и белые вина.
Таблица 4 – Обобщение результатов анализа
|
вина |
пол |
возраст |
мат. положение |
образование |
|
Сухие кр. |
мужчины |
36-50 |
малообеспеч. |
высшее |
|
женщины |
36-50 |
среднеобеспеч. |
ср. спец. |
|
|
П/сух. кр. |
мужчины |
26-35 |
среднеобеспеч. |
неоконч. |
|
женщины |
21-25 |
малообеспеч. |
ср. спец. |
|
|
Крепк. кр. |
мужчины |
36-50 |
высокообеспеч. |
высшее |
|
женщины |
21-25 |
среднеобеспеч. |
высшее |
|
|
Десер. кр. |
мужчины |
21-25 |
малообеспеч. |
высшее |
|
женщины |
36-50 |
высокообеспеч. |
высшее |
|
|
Сух. бел. |
мужчины |
36-50 |
малообеспеч. |
неоконч. |
|
женщины |
36-50 |
высокообеспеч. |
высшее |
|
|
П/с. бел. |
мужчины |
21-25 |
высокообеспеч. |
ср. спец. |
|
женщины |
26-35 |
среднеобеспеч. |
ср. спец. |
|
|
Креп. бел. |
мужчины |
21-25 |
высокообеспеч. |
ср. спец. |
|
женщины |
26-35 |
малообеспеч. |
высшее |
|
|
Дес. бел. |
мужчины |
21-25 |
высокообеспеч. |
ср. спец. |
|
женщины |
36-50 |
малообеспеч. |
высшее |
В зависимости от цены, предпочтения покупателей складываются следующим образом:
35-50 руб. – мужчины старше 50 лет (скорее всего пенсионеры).
51-80 руб. – средне- и малообеспеченные мужчины 21-25 лет, с незаконченным высшим или средним специальным образованием, в основном студенты, рабочие и служащие.
81-150 руб. – высокообеспеченные мужчины до 20 лет и 26-50 лет в основном с высшим образованием, занимающиеся предпринимательством.
Заключение
Отправная точка маркетинговой деятельности – анализ рыночных возможностей, целью которого является выявление привлекательности открывающейся на рынке возможности для фирмы. При положительном результате рыночных возможностей производят сегментирование рынка для выявления групп потребителей и нужд. Фирма принимает решение о выборе сегмента рынка, изучает позиционирование товаров конкурентов, оценивает объем спроса и принимает решение о позиции своего товара. Приняв решение, фирма разрабатывает для его поддержания комплекс маркетинга, включающий 4 составляющих: товар, цена, методы распространения и методы стимулирования, сумму затрат на маркетинг и ее распределение по каждой составляющей. Для выполнения всей этой маркетинговой работы фирме необходимо создать четыре системы: маркетинговой информации, планирования маркетинга, организации службы маркетинга и маркетингового контроля. Система маркетинговой информации состоит из четырех вспомогательных систем:
- Система внутренней отчетности.
- Система сбора внешней текущей маркетинговой информации.
- Система маркетинговых исследований.
- Система анализа маркетинговой информации.
Маркетинговое исследование – процесс, состоящий из пяти этапов:
- Определения проблем и постановка целей исследования.
- Разработка плана сбора информации (первичной и вторичной).
- Сбор информации с помощью полевых и лабораторных исследований.
- Анализ собранной информации и формулирование результатов.
- Представление результатов руководству фирмы для принятия решения.
Основные методы исследования: опрос (интервью), наблюдение, эксперимент, панель. Орудия исследования: анкета, механические устройства. Способы связи с аудиторией: телефон, почта, личный контакт.
Список используемой литературы
Ансофф И. Стратегическое управление: сокр. пер. с англ. – М.: «Экономика», 1989. – 519 с.
Акимова Т.А. Теория организации: Уч.пособие для вузов. - М.: ЮНИТИ ДАНА, 2003. – с. 367
Баринов В.А., Харченко В.Л. Стратегический менеджмент: учеб. пособ. – М.: ИНФРА-М, 2006. – 285 с.
Виханский О.С. Стратегическое управление. – М.: Гардарики, 2001. – 296 с.
Дурович А.П.Основы маркетинга: Учеб. пособие/ А.П. Дурович.- М.: Новое знание,2004.-512с.
Котлер, Филипп, Армстронг, Гари, Сондерс, Джон, Вонг, Вероника. Основы маркетинга: Пер. с анг.-2-е европ. изд. - М., Спб., К., Издательский дом Вильямс, 2001.-994с.: ил.-Парал. тит. англ.
Лапыгин Ю.Н. Стратегический менеджмент: учеб. пособ. – М.: ИНФРА-М, 2007. – 236 с.
Менеджмент, маркетинг и экономика /Под ред. А.П.Егоршина – Н. Новгород: НИМБ – 2001 г. – 526 с.
Минцберг Г. Структура в кулаке: создание эффективной организации/пер. с англ. под ред. Ю.Н.Каптуревского – СПб: Питер, 2002. – с. 512
Панов А.И. Стратегический менеджмент: учеб. пособ. – М.: ЮНИТИ-ДАНА, 2006. – 303 с.
Стратегический менеджмент/под ред. Петрова А.Н. – СПб.: Питер, 2006. – 496 с.
