Роль маркетинга в процессе управления предприятием ООО "Метаком"
Содержание
Введение
1 Маркетинг как система управления современным предприятием
1.1 Концепции управления маркетингом, цели и задачи маркетинга
1.2 Процесс управления маркетингом
1.3 Качественный маркетинг, бенчмаркинг
2 Анализ маркетинговой деятельности ООО «Метаком»
2.1 Организационно-экономическая характеристика предприятия
2.2 Ценообразование на предприятии
2.3 Расчет цен на продукцию и услуги ООО «Метаком»
3 Развитие маркетинговой деятельности ООО «Метаком» посредством внедрения новшеств
Заключение
Список используемой литературы
Введение
Трудно переоценить значение научного обоснования всех сторон функционирования организаций в условиях современной России, когда происходит становление социально-экономических отношений. Новые требования к построению и поведению организаций предъявляют рыночные отношения, предпринимательская активность, развитие различных форм собственности, изменение функций и методов государственного регулирования и управления. Организационная деятельность испытывает влияние революционных изменений в технологической базе производства.
Деятельность организаций в условиях меняющейся конкурентной среды требуют от каждого производственника, бизнесмена, менеджера постоянного совершенствования предпринимательской деятельности, связанной с созданием распределением и потреблением товаров и услуг.
Любое предприятие осуществляет свою деятельность не изолированно, а в условиях конкретной внешней среды. Маркетинг является тем инструментом, с помощью которого возможно успешное осуществление рыночной деятельности. Однако в реальной действительности часто оказывается, что предприятие не использует все возможности, предоставляемые маркетингом, мотивируя это нехваткой времени и средств, ненужностью или просто невозможностью в силу складывающихся объективных обстоятельств.
Анализ научных исследований, посвященных данной проблематике и их результатов, показал, что такой для выбора эффективной конкурентной стратегии именно аспект взаимного применения и сочетания ассортиментной, сбытовой, ценовой, коммуникативной и кадровой стратегий является важнейшим. Выявление главных характеристик этих свойств позволяет определить ту часть информации, которую необходимо собрать и обработать в результате проведения маркетинговых исследований.
Для любой успешной фирмы маркетинговые исследования выступают как начало и логическое завершение любого цикла её маркетинговой деятельности. Они значительно уменьшают неопределенность при принятии важных решений, что позволяет эффективно распределять экономический потенциал для достижения новых высот в бизнесе.
Актуальность исследования заключается в том, что обеспечение эффективности производства в современных условиях на прямую зависит от того, насколько целесообразными и действенными являются методы и средства, используемые фирмой в разработке маркетинговой стратегии, и насколько они отвечают требованиям современного рынка. Для того чтобы добиться оптимального функционирования, предприятие должно выбрать хорошую стратегию, которая, в свою очередь, должна строиться на сильных позициях и использовании возможностей. Одной из главных стратегических задач предприятия является проблема выбора сфер бизнеса, в которых оно намерено осуществлять свою деятельность.
Цель работы – систематизируя теоретические основы практики управления, рассмотреть роль маркетинга в процессе управления предприятием ООО «Метаком».
Методами исследования в курсовой работе являются: анализ экономических, правовых, статистических источников литературы; эмпирический, экономико-математический метод и другие.
Теоретической основой работы стали труды отечественных и зарубежных ученых экономистов и маркетологов – Ф.Котлера, М.Портера, О.Д.Волкогоновой, д.э.н. А.Н.Петрова, д.э.н. Р.А.Фатхутдинова.
Информационной базой работы послужили разработки отечественных и зарубежных ученых в области управления. При написании работы использовались учебные пособия и учебники по менеджменту, маркетингу, экономической теории, производственному менеджменту, монографии и научные статьи, а также учредительные документы, финансовая отчетность за 2006–2008 гг. предприятия ООО «Метаком».
1 Маркетинг как система управления современным предприятием
1.1 Концепции управления маркетингом, цели и задачи маркетинга
Первые элементы маркетинга появились в XVII веке. Маркетинг зародился в США, с 1902 г. преподавался в университете. С 1906 г. маркетинг проник в бизнес, и появились специальные отделы. В 1926 г. в ССША была создана Национальная Ассоциация Маркетинга и Рекламы. В 1973 г. она переименована в Американскую Ассоциацию Маркетинга, президентом которой является Ф. Котлер. Как система управления на рынке маркетинг развивается по закону крупной монополии, требующей глубокого изучения рынка и поиска новых форм деятельности на рынке.
Маркетинг (англ. market – рынок) – это система управления деятельностью фирмы по разработке, производству и сбыту товаров на основе изучения рынка и в интересах получения прибыли. Сегодня существует более 2000 определений маркетинга. Приведем некоторые из них
маркетинг – вид человеческой деятельности, направленный на продвижение товаров и услуг от того, кто их производит к тому, кто в них нуждается посредством обмена [5].
маркетинг – это наука об управлении рынком, соединившая опыт лучших предприятий с достижениями математики, статистики, социологии, психологии, менеджмента [6].
маркетинг – это управленческая деятельность на рынке по планированию и реализации товарной, ценовой, коммуникативной политики, политики распределения и товародвижения [3].
маркетинг понимают сегодня с двух точек зрения [9, С.15]:
- как практическую управленческую деятельность на коммерческой фирме, осуществляемую службой или отделом маркетинга;
- как философию современного бизнеса, основанную на том, что успех в бизнесе связан с наличием потребителя, изучением и удовлетворением его нужд и потребностей.
Французский экономист Ж.Б. Сей в эпоху промышленной революции сформулировал основное правило управления бизнесом: снижать издержки на производство и реализацию продукции, чтобы увеличить прибыль.
ЦЕНА=ИЗДЕРЖКИ+ПРИБЫЛЬ
Это правило «работало» в индустриальную эпоху, когда отрасли, рынки, ассортимент были стабильными. В современных условиях информационной эры фирмы должны уделять внимание реализации, сбыту, увеличению доходов, улучшению финансового состояния большее внимание, чем снижению издержек. Если фирма планирует выйти на рынок с традиционным товаром или видом услуг, то нужно знать, какого рода изменения в товаре интересуют потребителя, что представляет собой товар и цена конкурента, каковы перспективы работы на данном рынке. Далее предстоит работа с потребителем, разъясняя ему с помощью рекламы, как он выиграет от потребления данного товара. В индустриальную эру применяются два вида маркетинга:
- маркетинг, ориентированный на продукт;
- маркетинг, ориентированный на потребителя.
Оба эти вида маркетинга связаны с риском для производителя. Если фирма изготовила прекрасный продукт, то работа сделана на половину; его нужно реализовать и получить деньги от потребителя. В современную эпоху снизить риск первого вида маркетинга, можно только создав такой продукт, который положит начало формированию новой отрасли промышленности.
Второй метод маркетинга предполагает, что фирма максимально точно знает, что покупают отдельные потребители, причем эти знания получают не изучением статистики, а из первых уст, но и в этом случае работа сделана на половину, так как может появиться новый продукт. В информационную эру фирмы употребляют оба вида маркетинга – это интегрированный маркетинг и сущность его в том, что и продукт и потребитель создаются одновременно. Переход к интегрированному маркетингу привел к созданию новых организационных форм на предприятии.
Сущность маркетинга заключается в формуле: «производить то, что будет продано». В 1960 г. Д. Маккарти предложил концепцию «5P» как основной инструмент функционирования маркетинга, комплекс маркетинга, маркетинг-микс. (табл. 1.) [8, С. 148]
Таблица 1 - Концепция «5P»
|
PRODUCT |
Продукт, услуга, товарная политика фирмы. |
|
PLACE |
Место продажи, политика распределения и товародвижения. |
|
PRICE |
Ценовая политика. |
|
PROMOTION |
Коммуникативная политика, политика стимулирования сбыта. |
|
PUBLIC RELATIONS (P.R.) |
Формирование имиджа фирмы, благоприятной репутации в глазах общественности. |
В настоящее время ассоциации маркетинга созданы во всех странах. В России ассоциация маркетинга была создана в 1992 г.
Содержание маркетинга связано с его сущностью: изучением и удовлетворением нужд и потребностей целевого потребителя. Главное в содержании маркетинга – это двуединый подход: с одной стороны, это тщательное изучение рынка, спроса, вкусов и потребностей потребителя, ориентация производства на эти требования; с другой стороны, - это активное воздействие на рынок и существующий спрос, на формирование потребностей и покупательских предпочтений. Этим определяется основа маркетинга, содержание его основных элементов и функций.
Основные принципы маркетинга [9, С. 21]:
- сегментация – ориентация деятельности фирмы не на весь рынок в целом (один товар на всех потребителей), а на отдельные группы потребителей, целевые сегменты, предлагая каждому сегменту товар со своими характеристиками, качеством, ценами.
- адаптация – постоянное приспособление производства под изменяющиеся нужды и потребности потребителей;
- ориентация фирмы в бизнесе на долговременный результат.
- инновации – ориентация деятельности фирмы на нововведения – разработку новых товаров, методов сбыта, инструментов продвижения.
- учет возможностей фирмы.
Маркетинг требует управления. Под управлением маркетингом понимают анализ, планирование, претворение в жизнь и контроль за проведением мероприятий, рассчитанных на установление и поддержание обменов с целевыми покупателями ради достижения определенных задач организации, таких как получение прибыли, рост объемов сбыта, увеличение доли рынка. Задача управления маркетингом заключается в воздействии на уровень, время и характер спроса таким образом, чтобы это помогало организации в достижении стоящих перед ней целей, т.е. управление маркетингом - это управление спросом.
Управляющие маркетинга - это должностные лица фирмы, занимающиеся исследованием маркетинговой ситуации, претворением в жизнь намеченных планов и осуществляющие контрольные функции. Сюда относятся управляющие по сбыту и сотрудники службы сбыта, руководящие работники службы рекламы и стимулирования сбыта, исследователи маркетинга, управляющие по товарам и специалисты по проблемам ценообразования.
Существует пять разных подходов в управлении маркетингом:
1. Концепция совершенствования производства, которая утверждает, что потребители предпочитают товары с низкими ценами, следовательно, надо снижать затраты в производстве.
2. Концепция совершенствования товара исходит из того, что потребители предпочитают качественные товары и в этом случае стимулирование сбыта не требуется.
3. Концепция интенсификации коммерческих усилий базируется на том, что товары не будут покупать без значительных усилий в сфере сбыта и стимулирования.
4. Концепция маркетинга строится на утверждении, что фирма должна выявить с помощью исследований запросы и нужды точно очерченного рынка и обеспечить их желаемое удовлетворение.
5. Концепция социально-этического маркетинга провозглашает своим принципом достижение целей организации и ее способность обеспечить потребительскую удовлетворенность и долговременное благополучие и потребителя и общества в целом.
Практически деятельность маркетинга оказывает большое влияние на людей и в качестве покупателей, и в качестве продавцов, и в качестве рядовых граждан.
Цели маркетинга: максимально высокое потребление, достижение максимальной потребительской удовлетворенности, предоставление максимально широкого выбора, максимальное повышение качества жизни.
Эти цели решает маркетинговый цикл, который включает: маркетинговые исследования, маркетинговый синтез, стратегическое планирование, оперативное планирование и реализацию планов, контроль и информационное обеспечение.
Задачи маркетинга:
1. Исследование, анализ и оценка нужд реальных и потенциальных потребителей продукции фирмы в областях, интересующих фирму.
2. Маркетинговое обеспечение разработки новых товаров и услуг фирмы.
3. Анализ, оценка и прогнозирование состояния и развития рынков, на которых оперирует или будет оперировать фирма, включая исследование деятельности конкурентов.
4. Формирование ассортиментной политики фирмы.
5. Разработка ценовой политики фирмы.
6.Участие в формировании стратегии и тактики рыночного поведения фирмы, включая разработку ценовой политики.
7. Сбыт продукции и услуг фирмы.
8. Коммуникации маркетинга.
9. Сервисное обслуживание.
1.2 Процесс управления маркетингом
Каждая фирма заинтересована в эффективном управлении своей маркетинговой деятельности. Ей нужно знать, как анализировать рыночные возможности, отбирать подходящие целевые рынки, разрабатывать эффективный комплекс маркетинга и успешно управлять претворением в жизнь маркетинговых задач. Все это и составляет процесс управления маркетингом, элементы которого представлены на рис. 1.[12]
|
1 |
Анализ рыночных возможностей: Системы маркетинговых исследований и маркетинговой информации Маркетинговая среда Потребительские рынки Рынки предприятий |
|
|
|
|
2 |
Отбор целевых рынков: Замеры объемов спроса Сегментирование рынка, выбор целевых сегментов, позиционирование товара на рынке |
|
|
|
|
3 |
Разработка комплекса маркетинга: Разработка товаров Установление цен на товары Методы распространения товаров Стимулирование сбыта товаров |
|
|
|
|
4 |
Претворение в жизнь маркетинговых мероприятий Стратегия, планирование и контроль |
Рисунок 1 - Процесс управления маркетингом
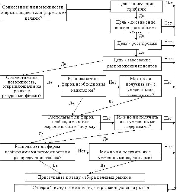
Оценку рыночных возможностей, с точки зрения целей и ресурсов фирмы, можно представить в виде схемы (рис. 2).
Фирме может показаться, что ее рыночные возможности ограничены, но это лишь подтверждает неумение мысленно увидеть будущее и осознать свои сильные стороны. Фирма может заняться выявлением новых рынков, используя, в частности, сетки развития товаров и рынка (рис. 3). С помощью данной сетки возможны следующие варианты:

Рисунок 2 - Оценка рыночной возможности, с точки зрения целей и ресурсов
|
|
Существующие товары |
Новые товары |
|
Существующие рынки |
1. Более глубокое проникновение на рынок |
3. Разработка товара |
|
Новые рынки |
2. Расширение границ рынка |
4. Диверсификация рынка |
Рисунок 3 - Выявление новых рынков с помощью сетки развития товара и рынка
1. Более глубокое внедрение на рынок, т.е. рост продаж имеющихся товаров уже существующей группе покупателей без внесения изменений в сам товар. Используются подходы: снижения цен, увеличения расходов на рекламу, расширение сети торговых точек, более заметная раскладка товаров и т.д.
2. Расширение границ рынка за счет изучения и завоевания новых сегментов.
3. Разработка товаров, предусматривающая предложение нового товара взамен существующего.
4. Диверсификация - одна из стратегий маркетинга, проявляющаяся в отказе от ориентации на единственный продукт или одну форму распределения и переходе на широкую номенклатуру товаров и множественность форм распределения.
Отбор целевых рынков состоит из четырех этапов:
- замеры и прогнозирование спроса;
- сегментирование рынка;
- отбор целевых сегментов;
- позиционирование товара на рынке.
Замеры и прогнозирование спроса предполагают выявление всех аналогичных товаров, продающихся на рынке, оценку объема их продаж и оценку будущего размера рынка. Сегментирование рынка - это процесс разбивки потребителей на группы на основе различий в нуждах и поведении. Сегмент рынка состоит из потребителей, одинаково реагирующих на один и тот же набор побудительных стимулов маркетинга.
При отборе целевых рынков можно использовать 5 возможных путей выхода на этот рынок, представленных на рис. 4, где И - интенсивность покупательской потребности, Г - возрастная группа потребителей. Японский опыт выхода на рынок предполагает освоение одного, обойденного всеми рынка, завоевание имени, а затем освоение новых сегментов и захват доминирующего положения. Крупные компании стремятся к полному охвату рынка. Оценить причины, почему покупатели приобретают один вид товара, а не другой (например аспирин - быстродействующий или медленнодействующий) помогает схема сравнения их свойств, с точки зрения покупателей, или схемы позиционирования товара.
Позиция товара соответствует восприятию покупателей, а не их действительности. Чем ближе расположены друг к другу марки товара, тем по мнению покупателей, они выглядят как удовлетворяющие одну и ту же нужду. Деятель рынка объединяет товары и потребительские предпочтения в сводную схему, которая показывает, что хотели бы приобрести покупатели.

Рисунок 4 - Пять способов охвата рынка
Комплекс маркетинга (рис. 5) включает 4 составляющих:
- товар;
- цена;
- методы распределения;
- методы стимулирования.
Иначе комплекс маркетинга - это набор поддающихся контролю переменных факторов маркетинга, совокупность которых фирма использует для вызова желательной ответной реакции со стороны целевого рынка.

Рисунок 5 - Четыре составляющих комплекса маркетинга
Претворение в жизнь маркетинговых мероприятий требует системы управления маркетингом, которая включает планирование маркетинга, состоящего из стратегического и тактического (текущего) планирования, организацию управления и контроль. Цель системы стратегического планирования - удостовериться, что фирма находит и развивает сильные производства и сокращает или вообще сворачивает слабые.
Под планированием маркетинга понимается разработка планов для каждого отдельного производства и рынка после того, как фирма приняла стратегическое решение относительно того, как поступать с каждым из своих производств. Фактически компания будет разрабатывать два плана: перспективный и годовой. Для реализации планов маркетинга создается на предприятии служба маркетинга по одной из ниже приведенных схем.
Самой распространенной схемой является функциональная организация службы маркетинга (рис. 6).

Рисунок 6 - Функциональная организация
Эта схема обладает простотой управления, однако по мере роста товарного ассортимента и рынков затрудняется составление планов по каждому товару и рынку и координация маркетинга фирмы в целом.
Для компаний, торгующих по всей территории страны, используется другой подход: координация по географическому принципу (рис. 7). Преимущество этой схемы в том, что торговые агенты могут жить в пределах обслуживаемых ими территорий, т.е. лучше узнавать клиентов и эффективно работать с минимальными издержками времени и средств на разъезды.
Фирмы с широкой товарной номенклатурой используют организацию по товарному или товарно-марочному производству. Организация по товарному производству не заменяет функциональной организации, а является еще одним уровнем управления (рис. 8).

Рисунок 7 - Организация по географическому принципу

Рисунок 8 - Организация по товарному принципу
Преимущества этой организационной структуры в том, что управляющие по товару, в том числе по второстепенным товарам, координируют весь комплекс маркетинга по своему товару, быстро реагируют на возникающие на рынке проблемы, и это хорошая школа для молодых руководителей. Недостатки в том, что часто возникают конфликты из-за недостаточности прав у управляющих по товарам и система обходится дороже, чем предполагается вначале.
Суть организационной структуры по рыночному типу в том, что вместо товара, управление организовано по рынкам сбыта (отраслям), как показано на рис. 9. Достоинство этой системы в ориентации фирмы на нужды потребителей, составляющих конкретные сегменты рынка.
Организация по товарно-рыночному типу или матричному принципу представлена на рис. 10. Система обладает преимуществами товарной и рыночной структур, однако основными ее недостатками являются большие затраты и частые конфликты. Однако большинство управляющих считают, что достоинства матричной системы перевешивают ее недостатки.

Рисунок 9 - Организация по рыночному типу

Рисунок 10 - Организация по матричному принципу
Для того, чтобы быть уверенным в эффективности деятельности фирмы, осуществляется маркетинговый контроль. Выделяют три типа маркетингового контроля:
- контроль за выполнением планов;
- контроль прибыльности;
- стратегический контроль;
1.3 Качественный маркетинг, бенчмаркинг
Качественные маркетинговые исследования позволяют изучить мотивы поведения потребителей, выявляют факторы, влияющие на их предпочтения, отвечающие на вопросы: почему и как именно. В качественном исследовании применяют методы: глубинное интервью и фокус-группы; редко используется метод наблюдения. Надежность результатов обеспечивается отбором респондентов – отбираются типичные представители определенных категорий потребителей.
Фокус-группа – это главный метод сбора и анализа информации в процессе качественного маркетингого исследования; синонимами этого метода являются метод группового интервью и групповой дискуссии. Во время дискуссии в аудитории респондентов фокусируют на интересующих исследователя вопросах. В индивидуальном интервью исследователь и респондент общаются друг против друга. В групповых дискуссиях респонденты общаются с себе подобными, в групповых дискуссиях мнение высказывается более открыто, эмоционально. Количество респондентов в фокус-группе – от 8 до 12 человек; продолжительность работы – от 1,5 до 3 часов. Фокус-группы используются, когда необходимо: выяснить отношение к товару; исследовать имидж и позицию товара на рынке; изучить воздействие рекламы на потребителя; протестировать новую идею товара.
Лицо, организующее дискуссию в фокус-группах, называется модератором. В европейских странах и США качественный метод стали применять с 50-х г., а в России он менее популярен.
Бенчмаркинг (benchmarking) как функция маркетинговых исследований. Его родиной является США, и цель бенчмаркинга заключается в том, чтобы на основе исследований надежнее установить вероятность успеха бизнеса. Бенчмаркинг рассматривается как способ оценки стратегий и целей работы в сравнении с первоклассными предприятиями, чтобы гарантировать долгосрочное пребывание на рынке.
Польза бенчмаркинга состоит в том, что производственные и маркетинговые функции становятся наиболее управляемыми, когда на своем предприятии исследуются и внедряются лучшие методы и технологии других предприятий и отраслей. Это может приводить к прибыльному предпринимательству с высокой экономичностью, созданию полезной конкуренции и удовлетворению потребностей покупателей.
Существует много видов бенчмаркинга.
Внутренний бенчмаркинг - бенчмаркинг процесса, осуществляемый внутри организации, сопоставляет характеристики производственных единиц, схожих с аналогичными процессами.
Бенчмаркинг конкурентоспособности - измерение характеристики предприятия и ее сопоставление с характеристикой конкурентов; исследования специфических продуктов, возможностей процесса или административных методов предприятий-конкурентов.
Функциональный бенчмаркинг - сравнение определенной функции двух или более организаций в том же секторе.
Бенчмаркинг процесса - деятельность по изменению определенных показателей и функциональности для их сопоставления с предприятиями, характеристика которых является совершенной в аналогичных процессах.
Глобальный бенчмаркинг - расширение стратегического бенчмаркинга, которое включает также ассоциативный бенчмаркинг.
Общий бенчмаркинг - бенчмаркинг процесса, который сравнивает определенную функцию двух или более организаций независимо от сектора.
Существуют также бенчмаркинг затрат; бенчмаркинг характеристики; бенчмаркинг клиента; стратегический бенчмаркинг, охарактеризованный выше; оперативный бенчмаркинг, а также ассоциативный бенчмаркинг - бенчмаркинг, проводимый организациями, состоящими в узком бенчмаркинговом альянсе. Протокол этой кооперации содержится в Кодексе поведения бенчмаркинга.
Помимо необходимости осуществить проект по анализу превосходства планомерно и шаг за шагом, следует также обязательно соблюдать следующие правила:
- руководители предприятия должны быть поглощены идеей анализа превосходства;
- сотрудники должны быть проинформированы о целях и необходимости проекта;
- рабочая программа должна иметь простую, пошаговую и понятную структуру;
- ход проекта должен быть подробно задокументирован.
Соблюдение такого порядка имеет такое большое значение потому, что анализ превосходства часто инициирует важные, а иногда даже драматические изменения на предприятии. Даже когда эти процессы в принципе выгодны, они всегда порождают некоторое беспокойство или сопротивление. Часто речь не идет о том, чтобы внедрить новую организационную модель, так как сами сотрудники и руководители предприятия становятся целью мероприятий по изменению структуры.
Кроме того, анализ превосходства дает инновационные импульсы для процесса разработки новых методов работы. И при этом происходит не реформа, а революция, которая создает новые организации - предприятия, которые способны выполнить требования конкуренции. Большое значение для получения способности побеждать в конкурентной борьбе имеет знание особых правил игры и условий в своей отрасли. Несмотря на это, можно выделить некоторые общие факторы успеха, которые действуют независимо от конкретной отрасли и характеризуют первоклассное предприятие:
- ориентация на достижение результата;
- внимание к затратам;
- ориентация на покупателей и покупательскую полезность;
- контакты с поставщиком;
- повышение качества и производительности;
- использование современных технологий;
- концентрация на основной деятельности.
Процесс бенчмаркинга можно разбить на пять фаз.
1. Определение объекта анализа превосходства. Здесь нужно установить те объекты предприятия полиграфической промышленности, которые можно исследовать при помощи анализа превосходства. Существует возможность критически пересмотреть организацию в целом или ее отдельные составные части. Более того, надо решить, проводить ли анализ превосходства с внутренней или внешней точки зрения (например, с позиции восприятия покупателя). Далее, этот инструмент может найти применение при анализе товаров, контрольных показателей объема продаж, ориентации клиентов и т.д. В принципе, нет никаких ограничений применения, кроме тех, которые следуют из потребностей покупателя и требований самого предприятия.
2. Выявление партнеров по анализу превосходства. Определив цели, следует начать поиск лучших предприятий. Подходящие партнеры должны быть не только первоклассными сами по себе, но и иметь по возможности высокую степень сопоставимости с собственной компанией. Этот процесс включает следующие шаги:
- беглый обзор (от англ., to skim - бегло прочитывать, пробежать глазами). На этой стадии осуществляют поверхностный обзор имеющихся источников информации, а также собирают уже доступные данные;
- приведение в порядок (от англ., to trim - отделывать, шлифовать, приводить в порядок). В этой фазе, принимая во внимание дальнейшую информацию, подробно описывают имеющиеся к этому моменту сведения;
- выбор лучших (от англ., to cream - снимать сливки). На этой стадии процесса выбирают партнеров, которых сочли подходящими.
В качестве источников информации предлагаются: отчеты о деятельности фирм; журналы, книги, базы данных; перечень предприятий; деловые связи; консалтинговые компании; специализированные конференции, семинары, ярмарки; союзы, исследовательские учреждения и т.д.; специалисты; маркетинговые клубы; сотрудники различных комиссий; участие в наблюдательных советах.
3. Сбор информации. Эта фаза включает не только сбор качественных данных, но и изучение/описание содержания труда, процессов или факторов, которые объясняют продуктивность. Сбор информации включает следующие подзадачи:
- концепция опросных листов, которая содержит определения и объяснения;
- подбор информации о собственном предприятии (сильные и слабые стороны);
- сбор фактов о партнере по анализу превосходства;
- использование дополнительных источников;
- документальное оформление информации;
- проверка имеющихся в наличии данных, чтобы гарантировать их признание и одобрение ответственности руководящими работниками, как на своем предприятии, так и у партнеров по анализу превосходства.
4. Анализ информации. Эта стадия выдвигает высочайшие требования к творческим и аналитическим способностям участвующих в процессе анализа превосходства. Анализировать - значит не только осознавать сходства и различия, но и понимать взаимосвязи. Кроме того, надо выявить воздействия, которые могут осложнить сравнения и фальсифицировать результаты. Здесь можно предложить следующий образ действий:
- упорядочение и сопоставление полученных данных;
- контроль качества информационных материалов;
- наблюдение за оказывающими влияние факторами, которые могут исказить сравнение;
- выявление недостатков в работе по сравнению с лучшими методами; понимание лежащих в основе причин, которые объясняют существование недостатков;
- проведение анализа, при помощи которого можно выбрать между изготовлением за счет собственных ресурсов и поставкой со стороны при сомнениях относительно некоторых подразделений или процессов (анализ "изготовление или покупка").
5. Целенаправленное проведение в жизнь полученных сведений. Пятая стадия включает не только внедрение разработанных возможностей улучшения, но и дальнейшее развитие организации предприятия, чтобы противостоять ожидающимся в будущем вызовам. Такое целенаправленное инновационное внедрение означает:
- размышления о последствиях анализа превосходства;
- представление отчета о результатах заинтересованным лицам;
- выявление возможностей улучшения;
- увязка с обычным планом работ предприятия;
- разработка плана введения необходимых изменений;
- внедрение плана в жизнь;
- понимание анализа превосходства как непрерывного процесса;
- использование результатов для дальнейшего инновационного развития.
6. Контроль за процессом и повторение анализа. Контроль за процессом при внедрении результатов анализа происходит в двух плоскостях: во-первых, можно следить за развитием установленных оценочных показателей результатов работы предприятий и, во-вторых, необходимо проверять достижение промежуточных целей и соблюдение планов по ресурсам и срокам.
2 Анализ маркетинговой деятельности ООО «Метаком»
2.1 Организационно-экономическая характеристика предприятия
Компания «Метаком» созданная в 1995 г., в настоящее время является одним из ведущих производителей в области систем контроля и ограничения доступа. Компанией открыты монтажные и торговые представительства во многих городах России. В данной работе рассматривается деятельность представительства компании, открытая в г. Брянске – далее ООО «Метаком».
Общество с ограниченной ответственностью «Метаком» создано по решению общего собрания участников общества 30 ноября 1999 года, в соответствии с Гражданским кодексом РФ и Федеральным законом РФ «Об обществах с ограниченной ответственностью», с целью ведения предпринимательской деятельности и получения прибыли.
ООО «Метаком» является юридическим лицом, действует на основании Устава и закона РФ «Об обществах с ограниченной ответственностью» и в соответствии с ГК РФ. Единственным участником общества является физическое лицо, гражданин РФ, внесшее 100% уставного капитала.
Полное фирменное наименование - Общество с ограниченной ответственностью «Метаком». Сокращенное наименование - ООО «Метаком».
ООО «Метаком» зарегистрировано постановлением Администрации г. Брянска №658 2 декабря 1999 года и расположено по адресу 241024, г. Брянск, ул Делегатская, 68.
Уставный капитал ООО «Метаком» полностью состоит из номинальной стоимости долей участников общества, которые не отвечают по обязательствам общества и несут риск убытков, связанных с деятельностью предприятия, в пределах стоимости внесенного им вклада. Величина уставного капитала составляет 50 тыс. руб. и полностью внесена.
ООО «Метаком» имеет в собственности обособленное имущество, учитываемое на его самостоятельном балансе, а также может от своего имени приобретать и осуществлять имущественные и неимущественные права, нести обязанности, быть истцом и ответчиком в суде. Высшим органом ООО «Метаком» является его единственный участник – учредитель.
ООО «Метаком» осуществляет свою деятельность в соответствии с действующим законодательством РФ, ФЗ «Об обществах с ограниченной ответственностью», Уставом общества. Целью деятельности предприятия является извлечение прибыли. ООО «Метаком» для достижения уставных целей осуществляет следующие виды деятельности:
- реализация систем контроля и ограничения доступа;
- монтаж систем контроля и ограничения доступа;
- сервисное и постгарантийное обслуживание реализуемой продукции;
- посредническая деятельность;
- торгово-закупочная деятельность, оптовая и розничная торговля;
- комиссионная и коммерческая деятельность;
- маркетинг и брокерские услуги;
- иные виды деятельности, не запрещенные законодательством РФ.
Предметом деятельности исследуемого предприятия являются любые виды деятельности, не противоречащие целям деятельности общества и не запрещенные действующим законодательством РФ, в т.ч. осуществлении деятельности: в сфере материального производства и внепроизводственной сфере. Основным видом деятельности ООО «Метаком» является реализация и монтаж систем контроля и ограничения доступа (Лицензия №Д411399, рег. №30014390 от 10.10.2003 г.)
ООО «Метаком» является официальным дилером компании Метаком г. Москва. ООО «Метаком» имеет круглую печать, содержащую его полное фирменное наименование на русском языке и указание на место нахождения общества. Для осуществления текущей деятельности предприятием открыт расчетный счет в Брянском отделении ОСБ №8605 г. Брянска №40702810808000102763. Как юридическое лицо, ООО «Метаком» зарегистрировано в ИМНС Фокинского района г. Брянска, ИНН 3232027576.
С момента создания ООО «Метаком» (обособленного подразделения) директором является Орлов А.В.. Штатное расписание предприятия разрабатывается обществом и утверждается директором. Все документы денежного, материального, имущественного, расчетного, кредитного характера, отчеты и балансы подписываются директором» и гл. бухгалтером.
Все выпускаемые товары и услуги предприятия сертифицированы, лицензированы и соответствуют ГОСТам, аттестован технический процесс производства (монтажа), осуществляется приемочный контроль качества продукции, работ, услуг. Выпускаемая продукция и услуги предприятия прошли государственные приемочные испытания, деятельность предприятия ООО «Метаком» сертифицирована (Сертификат соответствия №РОСС RU АЕ68. В12922 выдан ЦГСМ г. Брянска и имеет юридическую силу на всей территории РФ). Планово ведутся конструкторско-технологические работы по совершенствованию и модернизации монтажных и ремонтных работ. Предприятие уверенно развивается, наращивая производственные мощности. Относительно его размера (опираясь на показатель численности и данные областного комитета статистики) ООО «Метаком» является средним предприятием, основным видом его деятельности являются услуги по монтажу систем контроля и ограничения доступа.
Предмет деятельности ООО «Метаком» в 2006-2008 гг.:
- выполнение работ по ремонту, наладке, техническому обслуживанию, монтажу систем контроля и ограничения доступа;
- реализация систем контроля и ограничения доступа физическим и юридическим лицам г. Брянска и Брянской области.
Главными задачами ООО «Метаком» в 2009 году являются:
- наращивание объемов оказанных услуг, выполненных работ за счет увеличения номенклатуры реализуемых систем контроля и ограничения доступа;
- расширение сферы деятельности, за счет заключения централизованного договора с МУП ЖКХ г. Брянска и ТСЖ на территории г. Брянска;
- освоение новых объектов и поиск новых заказчиков в крупных компаниях других отраслей промышленности;
- дальнейшая работа по снижению затрат предприятия за счет снижения расходов, оптимизации численности;
- рост рентабельности предприятия.
Основные экономические показатели деятельности ООО «Метаком» представим в таблице 1.
Таблица 1
Основные экономические показатели деятельности ООО «Метаком», 2006-2008 гг.
|
Показатель |
2006 г. |
2007 г. |
2008 г. |
динамика |
|
Среднегодовая стоимость основных фондов т. р. |
1423,5 |
2844 |
7385 |
5961,5 |
|
Среднегодовая стоимость оборотных средств т. р. |
7764 |
8262 |
8590,5 |
826,5 |
|
Оборачиваемость оборотных средств |
6,4 |
6,8 |
4,5 |
-1,9 |
|
Расходы на оплату труда тыс. руб. |
777,8 |
1139,4 |
1248,2 |
470,4 |
|
Среднесписочная численность, чел. |
23 |
26 |
29 |
6 |
|
Среднегодовая заработная плата тыс. руб. |
33,8 |
43,8 |
43,0 |
9,2 |
|
Производительность труда руб/чел. |
219,5 |
214,4 |
153,9 |
-65,5 |
|
Издержки обращения тыс. руб. |
37937 |
48345 |
33598 |
-4339 |
|
Фондоотдача |
34,998 |
19,675 |
5,192 |
-29,806 |
|
Выручка тыс. руб. |
49821 |
55958 |
38344 |
-11477 |
|
Валовая прибыль тыс. руб. |
11884 |
7613 |
4746 |
-7138 |
|
Чистая прибыль тыс. руб. |
1397 |
2534 |
478 |
-919 |
|
Собственный капитал тыс. руб. |
6970,5 |
8936 |
10442 |
3471,5 |
Как видно у предприятия наблюдается нестабильность показателей финансово-хозяйственной деятельности: после резкого подъема в 2006 году, в 2007-2008 годы наблюдается снижение показателей.
Поэтому необходимо проанализировать финансовое состояние предприятия и его финансовую устойчивость. Расчеты представим в табл. 2. Финансовое состояние предприятий, его устойчивость во многом зависят от оптимальности структуры источников капитала (соотношения собственных и заемных средств) и от оптимальности структуры активов предприятия (соотношения основных и оборотных средств), а также от уравновешенности активов и пассивов предприятия по функциональному признаку.
Таблица 2
Расчет показателей финансовой устойчивости ООО «Метаком» на основе соотношения собственного и заемного капитала
|
Показатель |
Критерий |
2006 г |
2007 г |
2008 г |
2007/2006 |
2008/2007 |
|
К-т концентрации СК |
|
0,8021 |
0,8065 |
0,8964 |
0,0044 |
0,0899 |
|
К-т фин. напряженности |
|
0,1979 |
0,1935 |
0,1036 |
-0,0044 |
-0,0899 |
|
К-т фин. рычага |
|
0,2467 |
0,2399 |
0,1155 |
-0,0068 |
-0,1244 |
|
К-т маневренности СК |
0,2-0,5 |
0,7253 |
0,6490 |
0,6439 |
-0,0763 |
-0,0051 |
|
К-т финансирования |
|
4,0534 |
4,1679 |
8,6556 |
0,1145 |
4,4877 |
|
Доля ДЗ |
|
0,0574 |
0,0951 |
0,6262 |
0,0377 |
0,5311 |
|
К-т обеспеченности СОС |
|
0,7462 |
0,7301 |
0,8479 |
-0,0161 |
0,1178 |
|
К-т обеспеченности МПЗ |
|
0,8545 |
0,8990 |
12,0017 |
0,0445 |
11,1027 |
1. Коэффициент концентрации собственного капитала (финансовой автономии, независимости) - удельный вес собственного капитала в общей валюте нетто-баланса КСК = СК/ВБ. В случае ООО «Метаком» данное соотношение выше нормативного 0,5. Что еще раз подтверждает вывод о избытке собственных источников финансирования.
2. Коэффициент концентрации привлеченных средств (финансовой напряженности) – отношение заемных средств предприятия к общей сумме средств авансированных в него: КФН = ЗК/ВБ. У данного показателя не наблюдается тенденции к снижению, т.е. у предприятия нет зависимости от внешних инвесторов.
3. Коэффициент капитализации (плечо финансового рычага) определяется как сумма обязательств к собственным средствам КФР = (ДО+КО)/СК. Показывает сколько заемного капитала приходится на 1 руб. собственных средств. Данный коэффициент считается одним из основных индикаторов финансовой устойчивости. Чем выше его значение, тем выше риск вложения капитала в данное предприятие. В случае ООО «Метаком» его значение достаточно маленькое, что может привлечь потенциальных инвесторов, т.к. наблюдается и незначительная тенденция к его снижению.
4. Коэффициент маневренности собственного капитала определяется как отношение собственных оборотных средств к собственным средствам предприятия КМСК = (СК+Дбп+Рпр+ДО-ВОА)/(СК+Дбп+Рпр).
Данный коэффициент показывает какая часть СК предприятия капитализирована, а какая вложена в оборотные активы. Снижение данного показателя в динамике в случае ООО «Метаком» свидетельствует об ухудшении структуры баланса к 2008 г. и снижению уровня финансовой устойчивости предприятия.
5. Коэффициент финансирования (структуры капитала) – это отношение собственных к заемным средствам. КФ = СК/ЗК. Показывает какая часть деятельности организации финансируется за счет собственных средств. В случае «Метаком» его значение намного выше нормативного и наблюдается рост показателя.
6. Доля дебиторской задолженности КДЗ = ДЗ/ВБ. В случае «Метаком» наблюдается снижение показателя, но рост величины дебиторской задолженности в абсолютном выражении, что говорит об отвлечении средств из оборота предприятия, т.е. является негативной тенденцией.
7. Коэффициент обеспеченности собственными оборотными средствами КСОС = (СК+Дбп+Рпр+ДО-ВОА)/ОА. Характеризует степень обеспеченности хозяйственной деятельности СОС. В случае «Метаком» его значение выше нормативного 0,5 и говорит о избытке собственных средств.
8. Коэффициент обеспеченности запасов СОС - КОЗ = СОС/(МПЗ+НДС). В случае исследуемого предприятия динамика данного показателя положительная и значения за весь период были выше нормативного, что оказывает положительное влияние на уровень финансовой устойчивости.
Дополнительно проведем экспресс анализ финансовой устойчивости ООО «Метаком» для этого рассчитаем и сведем во вспомогательную табл. 3:
1. Излишек/недостача
СОС
= СОС-З = СК-ВОА-МПЗ-НДС;
2. Излишек/недостача
собственных и долгосрочных источников
СД
= СД-З = СК+ДО-ВОА-МПЗ-НДС;
3. Излишек/недостача
общих источников
ОИ
= ОИ-З =
СД+КО.
Таблица 3
Расчет показателей источников собственных средств
|
Показатель |
2006 г |
2007 г |
2008 г |
2007/2006 |
2008/2007 |
|
|
-947 |
-744 |
6304 |
203 |
7048 |
|
|
-947 |
-744 |
6304 |
203 |
7048 |
|
|
945 |
1704 |
7538 |
759 |
5834 |
Определим тип финансовой ситуации предприятия по следующей вспомогательной таблице 4 (если значение отрицательное, то ставим 0; если значение положительное то 1).
Таблица 4
Определение типа финансовой устойчивости
|
Период |
|
|
|
Тип фин. устойчивости |
Характеристика |
|
2006 г |
0 |
0 |
1 |
Неустойчивое финансовое состояние |
Нарушение нормальной платежеспособности, хотя возможно ее восстановление, необходимо привлечение дополнительного финансирования. |
|
2007 г |
0 |
0 |
1 |
||
|
2008 г |
1 |
1 |
1 |
Устойчивое |
На протяжении всего исследуемого периода у предприятия было неустойчивое финансовое состояние, только к 2008 г. оно улучшилось до нормального. Поэтому необходимо более подробно рассмотреть организацию маркетинговой деятельности предприятия, его ассортимент и возможность совершенствования системы маркетинга – расширение сбыта, рост прибыли и пр.
2.2. Ценообразование на предприятии
Для покупателя товар – это набор атрибутов, или свойств, которые приносят удовлетворение, причем не только благодаря базовым функциям, но и благодаря воспринимаемой ценности. Поэтому восприятие цены зависит не только от свойств, но и от позицонированния товара, а также от затрат, которые могут возникнуть в процессе его приобретения и последующего потребления. В рыночной экономике право решения того, что приобретать и по какой цене, принадлежит исключительно покупателю. Поэтому ООО «Метаком» ориентируясь на рынок, должно исходить из того, какие цены приемлемы для покупателей. Однако чувствительность клиентов к цене может меняться в зависимости от ряда факторов. Например, покупатель не так чувствителен к цене, если:
- он не знает о существовании аналогов и товаров – заменителей;
- он оплачивает товар вместе с другими товарами;
- цена товара невелика в сравнении с его доходом;
- товар обладает особыми, уникальными и при этом важными для него свойствами;
- товар используется вместе с ранее приобретенными товарами;
- нет возможности создать запасы такого товара.
Управление ценовой конкурентоспособностью – это реализация целевой установки на обеспечение наиболее высокого качества изделия при минимально возможных затратах на его изготовление (издержках).
Наиболее эффективными условиями достижения ценовой конкурентоспособности на ООО «Метаком» можно считать следующие:
- управление затратами - ориентация менеджеров и персонала на экономию и сокращение затрат;
- бюджетирование, контроллинг – использование жестких систем контроля над затратами путем предварительного утверждения структуры и состава обоснованных и лимитированных расходов;
- специализация – возможность накопления уникального опыта, квалификации, использования высокоэффективного специализированного оборудования;
- технологическое превосходство – подборка комплектующих, меньшие затраты материалов, энергии, труда на единицу продукции (ее монтаж);
- АВС – анализ – производство стандартной продукции, услуг, удовлетворяющих базовые потребности, с обоснованием только тех затрат, которые обеспечивают достижение основных потребительных свойств услуг;
- современные методы ценообразования.
ООО «Метаком» осуществляет оптовую и розничную реализацию охранного оборудования через оптовый склад, магазин, а также монтаж оборудования на месте (у потребителя).
Наилучшей формой организации хозяйственных связей с оптовыми покупателями по продаже товаров является договор купли-продажи. Данный договор составляется в трех экземплярах, каждый из которых имеет равную юридическую силу, и содержит следующие основные условия: предмет договора; качество товара; права и обязанности сторон; цена и порядок расчета; условия поставки; ответственности сторон; форс-мажорные обстоятельства; разрешение споров; срок действия договора.
При осуществлении хозяйственных связей с оптовыми покупателями на ООО «Метаком» используются следующие первичные документы:
- товарная накладная, выдается в трех экземплярах;
- счет-фактура, выписывается в двух экземплярах;
- приходный кассовый ордер, заполняется бухгалтерией предприятия в одном экземпляре.
Помимо оптовой продажи на предприятии ООО «Метаком» применяется продажа товаров в розницу частным лицам по образцам. Данный метод розничной торговли является наиболее оптимальным для данного предприятия.
ООО «Метаком» оказывает дополнительные виды услуг для своих покупателей, которые можно разделить, на четыре группы:
1. Оказание помощи покупателю в совершении покупки и при ее использовании - прием и исполнение заказов на товары;
2. Информационно-консультационные услуги - предоставление информации о товарах и их изготовителях;
3. Монтаж и установка систем контроля и ограничения доступа;
3. Сервисное и постгарантийное обслуживание, купленного товара.
Покупатель, придя в магазин ООО «Метаком» или обратившись по телефону, может выбрать необходимый ему товар, воспользовавшись услугами продавца-консультанта. При необходимости монтажа, по заявке покупателя к нему выезжает мастер, производящий замеры и предварительный расчет стоимости заказа. После согласования всех юридических формальностей, в т.ч. по необходимости с отделами вневедомственной охраны г. Брянска, специалисты ООО «Метаком» производят установку и наладку купленного оборудования. По такой же схеме предприятие работает и с покупателями – юридическими лицами, от работы с физическими лицами их отличает только форма оплаты – наличная/безналичная. Кроме того, покупатели – юридические лица в большинстве своем являются оптовыми покупателями, приобретая оборудование и услуги по его монтажу сразу на несколько объектов.
Отпуск товаров в магазине осуществляет кассир-учетчик. Консультационную работу с покупателями осуществляет продавец-консультант, он помогает в осуществлении покупок, информирует о новых поступлениях товаров, их изготовителях, наличии комплектующих и дополнительных товаров.
Ассортимент товаров - набор товаров, объединенных по какому-либо определенному или совокупности признаков. Торговый ассортимент — ассортимент товаров, представленных в торговой сети. Он формируется путем подбора товаров по группам, видам, сортам, моделям и другим признакам. Формирование ассортимента - это сложный и непрерывный процесс, основная цель которого заключается в наиболее полном удовлетворении потребности населения в товарах. Кроме того, правильно сформированный ассортимент позволяет обеспечить прибыльную работу торгового предприятия.
Одним из важнейших факторов реализации товаров на предприятии ООО «Метаком» является его ассортимент.
Для анализа ассортимента предприятия сгруппируем его в товарные группы и подгруппы в таблице 5.
Таблица 5
Ассортимент товаров ООО «Метаком»
|
№ |
Группы товаров |
Подгруппы товаров |
|
1 |
Домофоны |
Цифровые, координатные, малоабонентные, вызывные панели |
|
2 |
Видеомониторы |
MKV-VM1, MKV-VM2 |
|
3 |
Блоки вызова серий |
МК с модификациями RF и ТМ |
|
4 |
Коммутаторы координатные |
модификации марки COM |
|
5 |
Трубки квартирные переговорные |
Серии ТКП |
|
6 |
Ключи |
ТМ, ОК-ключи, Proximity |
|
7 |
Кнопки выхода |
КВ-2, КВ-3 |
|
8 |
Контроллеры |
ELC, Z |
|
9 |
Плата замка |
|
|
10 |
Доводчики дверные |
DC, MKD |
|
11 |
Адаптеры и адаптеры-программаторы |
МК и МКА |
|
12 |
Пульты консьержа |
|
|
13 |
Блоки питания |
БП-2У, БП-2С |
|
14 |
Замки электромагнитные, электромеханические |
ML с модификациями, ВВ с модификациями |
|
15 |
Разветвители трубок и разветвители видосигнала |
МКТ-D и МКV-D |
|
16 |
Контакторы ключей |
КТМ, KRF |
|
17 |
Видеоусилители |
MKV-AMP, MKV-TX, MKV-RX |
|
18 |
Прочее дополнительное и сопутствующее оборудование |
индикаторы вызовы, фильтры, модули индикации, считыватели |
Спрос на продукцию предприятия носит сезонный характер - в летний и осенний период спрос на все виды товаров предприятия резко возрастает (из-за отъезда покупателей на юг, дачи и пр., а также в связи с окончанием строительства жилья – пик сдачи домов приходится на осень).
В основе формирования ассортимента товаров лежит изучение различных видов покупательского спроса с целью его дальнейшего анализа и использования полученных результатов. В ООО «Метаком» уделяется большое внимание этому этапу коммерческой деятельности.
Товарные запасы формируются по всем товарным позициям, из остатков предыдущего дня и поступления за день: При изучении товарных запасов ООО «Метаком» применяются следующие методы анализа и учета:
- инвентаризация, то есть сплошная проверка в целом по всем товарным группам, которая проводится один раз в месяц;
- оперативный учет, или снятие остатков, то есть сверка фактического наличия товаров с данными товарного отчета.
Анализируя товарные запасы, предприятие решает следующие задачи:
- выявление соответствия фактических товарных запасов к их нормативу;
- определение динамики и оценка изменений в объеме и структуре товарных запасов, в скорости оборачиваемости товара;
- выявление и расчет факторов, оказывающих влияние на изменение товарных запасов.
В процессе анализа выявляется, нет ли на складе залежалых товаров, и выясняются причины образования сверхнормативных или заниженных по сравнению с нормативом товарных запасов, а также устанавливаются причины ускорения или замедления товарооборачиваемости. Таким образом, исследования показывают, что в целом ООО «Метаком» достаточно эффективно осуществляют свою коммерческую деятельность.
Таким образом, в настоящее время ассортимент ООО «Метаком» представлен широким спектром координатных домофонных систем, абонентских устройств, электромагнитных замков и ключей, контроллеров.
2.3 Расчет цен на продукцию и услуги ООО «Метаком»
Проанализируем ценовую стратегию предприятия. Из всего многообразия ценовых стратегий ООО «Метаком» придерживается наиболее часто используемой стратегии ценообразования, ориентированной на затраты, спрос и конкурентов - «треугольник цен». Прежде всего, предприятию приходиться решить, каких именно целей оно стремится достичь при помощи конкретного товара (в данном случае – домофонов и комплектующих к ним). Если выбор целевого рынка и рыночное позиционирование тщательно продуманы, тогда подход к формированию комплекса маркетинга, включая и проблему цены, довольно ясен.
Руководство ООО «Метаком» ставит своей целью сохранение лидирующего положения на рынке продукта по показателям качества систем контроля и ограничения доступа. При установлении окончательной цены ООО «Метаком» использует один из подходов дифференцированного ценообразования «временный», т.е. цена устанавливается в зависимости от времени года. Летом и осенью цена на продукцию выше, чем в остальное время года, что связано с возрастанием спроса на продукцию.
Таким образом, конкретным выражением дифференцирования является так называемая «меняющаяся цена», реагирующая на изменение затрат и спроса.
Рассмотрим подробно процесс формирования цены на домофоны.
1. Выбор цели ценообразования. Прежде всего ООО «Метаком» предстоит решить, каких именно целей оно стремиться достичь с помощью товара. ООО «Метаком» преследует цель, которая предполагает сохранение стабильного положения при слежении за ситуацией на рынке и ценами конкурентов.
2. Определение спроса. Деятелю рынка необходимо знать, насколько чувствителен спрос к изменению цены. Чтобы это узнать нужно, построить кривую спроса, для чего воспользуемся таблицей 6.
Анализируя график спроса, сделаем вывод, что при даже небольшом увеличении цены на домофоны, спрос на них падает.
Рассмотрим изменение
спроса на домофоны ООО «Метаком» при
изменении цены. Вычислим коэффициент
ценовой эластичности предложения
домофонов по формуле:

Таблица 6
Исходные данные
|
Период |
Объем сбыта, тыс. шт. |
Цена за одно изделие, руб. |
|
Июнь 2008 |
6,7 |
3670,9 |
|
Сентябрь 2008 |
5,3 |
3814,5 |
|
Январь 2009 |
3,4 |
3964,6 |
|
Рост (абсолют.) |
50,74% |
108% |
Используя эти данные, построим кривую спроса.

Рисунок 11 – Кривая спроса на продукцию ООО «Метаком»
В случае исследуемого
продукта это соотношение составляет
50,74/108= 0,4698. Следовательно, спрос на
домофоны не является эластичным, так
как модуль коэффициента эластичности
1.
Руководству ООО «Метаком» следует задуматься о снижении цены на свою продукцию. Сниженная цена принесет больший объем общего дохода. И такой подход имеет смысл до тех пор, пока нет непропорционального роста издержек по производству и сбыту товара.
3. Анализ издержек. Спрос, как правило, определяет максимальную цену, которую фирма может запросить за свой товар. Ну а минимальная цена определяется издержками фирмы. ООО «Метаком», как и любое другое предприятие, стремиться назначить на товар такую цену, чтобы она полностью покрывала все издержки по его производству, распределению и сбыту. Для получения прибыли необходимо, чтобы объем выручки от продаж превышал сумму постоянных и переменных издержек. Постоянные издержки - это расходы, которые остаются неизменными при росте объема производства, в данном случае - это сумма общепроизводственных, общезаводских затрат и топлива. К ним относятся: затраты вспомогательного производства (бензин, амортизация, командировки); общепроизводственные расходы и общехозяйственные расходы (услуги, оказанные предприятию, проценты за кредит, почтово-телеграфные расходы).
Переменные издержки меняются в прямой зависимости от уровня производства. Это сумма следующих компонентов: сырье и основные материалы, транспортные расходы, вспомогательные материалы, заработная плата и начисления на заработную плату. Расчет всех издержек предусматривается методом калькуляции полной себестоимости, позволяющий получить представление обо всех затратах, которые несет предприятие в связи с производством и сбытом товара.
4. Анализ цен и товаров конкурентов. Хотя максимальная цена и определяется спросом, а минимальная - издержками, на установление предприятием среднего диапазона цен влияют цены конкурентов и их рыночные реакции. Знаниями о ценах и товарах конкурентов предприятие может воспользоваться в качестве отправной точки для нужд собственного ценообразования. Поэтому ООО «Метаком» кроме затратного метода использует метод ориентации на конкурентов, устанавливая свои цены не слишком высокими и не слишком низкими. Можно сказать, что цена на домофоны ООО «Метаком» является наиболее оптимальной для удержания значительной доли рынка. Конкурировать с продуктами, находящимися в более высокой ценовой нише не представляется целесообразным в силу потери доли рынка.
5. Выбор методов ценообразования. Зная график спроса, расчетную сумму издержек и цены конкурентов, ООО «Метаком» готово к выбору цены собственного товара. Цены товаров конкурентов и товаров-заменителей дают средний уровень, которого ООО «Метаком» следует придерживаться при назначении цены. В своей стратегии ценообразования ООО «Метаком» использует метод расчета цены на основе анализа безубыточности и обеспечения целевой прибыли. Данный метод позволяет учитывать следующие рыночные факторы: цены конкурентов и возможные объемы продаж при различных ценах. При этом предприятие должно рассматривать различные варианты цен и их влияние на объем сбыта, необходимый для преодоления уровня безубыточности и получения целевой прибыли вследствие установления целевой цены, предполагающей прибавление к цене безубыточности фиксированной надбавки - маржи.
Так как рынок систем контроля и ограничения доступа условно можно разделить на три целевых сегмента, то можно рекомендовать для каждого из них определенную цену. Например, для систем контроля и ограничения доступа, разработанных для физических лиц – единичных покупателей, цена должна быть ниже, чем для остальных, поскольку эту продукцию покупают за наличный расчет и работает реклама продукции (по принципу «мне посоветовали знакомые»). Системы контроля и ограничения доступа для предприятий могут быть по цене выше обычных, так как фирмы, заботящие о своей безопасности, в основном обращают внимание на свойства и качество систем контроля и ограничения доступа, а не на цену. Можно сделать вывод, что ООО «Метаком» не будет в убытке, поскольку цена для одного покупателя компенсирует цену другого. Подводя итог, можно сказать, что ООО «Метаком» использует эффективный метод ценообразования, основанный на комплексном изучении рыночной ситуации, политики конкурентов и собственных затрат на производство продукции.
3 Развитие маркетинговой деятельности ООО «Метаком» посредством внедрения новшеств
Проведем анализ рынка охранных систем и услуг по их установке и эксплуатации, систем ограничения доступа. Для анализа внешней среды ближнего окружения используем модель пяти сил Портера, которая включает следующие факторы:
1. Производители аналогичной продукции (внутриотраслевая конкуренция).
2. Сила влияния поставщика.
3. Конкурентная сила покупателей продукта.
4. Сила потенциальных производителей аналогичной продукции.
5. Сила производителей товаров-заменителей.
Для обобщения результатов анализа составим таблицу 7.
Таблица 7
Характеристика ООО «Метаком» и его конкурентов
|
Показатели |
«Метаком» |
«Эдельвейс» |
«Десна» |
|
Ассортимент товаров |
3 |
2 |
2 |
|
Качество |
3 |
2 |
2 |
|
Цена |
3 |
2 |
2 |
|
Объем реализации |
2 |
3 |
1 |
|
Менеджмент предприятия |
2 |
2 |
1 |
|
Производственные мощности |
8 |
5 |
5 |
|
- по гибкости |
2 |
2 |
2 |
|
- потенциал |
3 |
2 |
1 |
|
- уровень износа |
3 |
1 |
2 |
|
Устойчивость финансовых отношений |
2 |
2 |
2 |
|
Клиентура |
2 |
2 |
2 |
|
Сырьевая база |
2 |
2 |
2 |
|
Организация сбыта |
2 |
2 |
2 |
|
Организация стимулирования продаж |
1 |
1 |
1 |
|
Итого: |
30 |
30 |
27 |
где: 3 - хороший показатель; 2 - средний показатель; 1 - удовлетворительный.
Главный конкурент ООО «Метаком» - ООО «Десна» оказывает услуги не такого широкого ассортимента как исследуемое предприятие (реализация не собственной продукции, нет услуг по изготовлению кодовых ключей), но за счет постоянной клиентуры, налаженной системы транспорта и более долгого осуществления деятельности в этой сфере занимает достаточно большую долю рынка. Все остальные предприятия конкуренты, в основном, являются охранными предприятиями и конкурируют с ООО «Метаком» только в части ассортимента по системам контроля доступа и сигнализации.
Для обобщения результатов анализа внешней среды ближнего окружения составим таблицу 8.
Таблица 8
Обобщение результатов оценки факторов прямого воздействия внешней среды ООО «Метаком»
|
Факторы |
Влияние на организа-цию |
Направлен-ность влияния |
Сила воздей-ствия |
|
Y |
Z |
S=Y+Z |
|
|
Производители аналогичной продукции/услуг |
12 |
1 |
13 |
|
1. количество отраслевых организаций |
3 |
-1 |
2 |
|
2. темп развития рынка |
3 |
1 |
4 |
|
3. степень дифференцированности товара/услуг |
3 |
1 |
4 |
|
4. сложность выхода из бизнеса |
1 |
1 |
2 |
|
5. вхождение сильных компаний из других отраслей |
2 |
-1 |
1 |
|
Сила влияния поставщика |
9 |
5 |
14 |
|
1. соотношение спроса и предложения |
2 |
1 |
3 |
|
2. количество фирм-поставщиков и уровень конкуренции между ними |
3 |
1 |
4 |
|
3. доля закупок у данного поставщика от общего объема закупок |
2 |
1 |
3 |
|
4. степень уникальности сырья |
1 |
1 |
2 |
|
5. наличие товаров заменителей |
1 |
1 |
2 |
|
Конкурентная сила покупателей: способность требовать наличия определенных потребительских свойств у продукта и формировать спрос на него |
2 |
1 |
3 |
|
Сила потенциальных производителей аналогичной продукции |
5 |
2 |
7 |
|
1. возможность переключить покупателя на свою продукцию/услуги |
3 |
1 |
4 |
|
2. высота входного барьера в отрасль |
2 |
1 |
3 |
|
Сила производителей товаров/услуг-заменителей |
4 |
0 |
4 |
|
1. вероятность переключения потребителя на заменитель товара/услуги |
2 |
-1 |
1 |
|
2. зависимость вероятности переключения от стоимости процесса |
2 |
1 |
3 |
|
ИТОГО |
32 |
9 |
41 |
Основные конкуренты ООО «Метаком» – ООО «Десна», ЧОП «Эдельвейс». Цены на продукцию и услуги в этих фирмах незначительно отличаются от цен исследуемого предприятия, не все из них оказывают услуги и реализуют продукцию такого широкого ассортимента как ООО «Метаком», но у многих из них хорошо развитая сбытовая сеть, свои розничные торговые помещения, постоянная клиентура.
Потребители – население, организации и фирмы:
- физические лица (в основном жители квартирных домов);
- организации-покупатели.
В целом влияние прямого воздействия внешней среды попадает в область значений (15;45), т.е. оказывает благоприятное влияние.
Основными технико-экономическими показателями организации ООО «Метаком» являются реализуемые домофоны и системы контроля доступа, а также услуги по гарантийному и постгарантийному обслуживанию, ремонту, пуско-наладочные работы, обучение персонала. Проанализировав эти показатели можно сказать, что с каждым годом наблюдается их рост. Следует отметить, что ООО «Метаком» достаточно уникально на рынке систем контроля доступа и является основным «игроком» на рынке города:
- производство продукции достаточно уникально, используются все новейшие достижения НТП, идет постоянное обновление и расширение ассортимента, используются высокотехнологические разработки как самого предприятия, так и сторонних фирм;
- новое оборудование и высококвалифицированный персонал соответствуют всем современным требованиям для организации успешной деятельности;
- ассортимент реализуемой продукции носит широкий потребительский характер и отличается достаточно низкими ценами;
- также привлекает клиентов и организация ремонта, гарантийного и постгарантийного обслуживания.
Также положительно влияет на формирование покупательского спроса тот факт, что коллектив предприятия всегда вежлив, корректен, предупредителен. Как отрицательный факт стоит отметить что практически не развита реклама продукции и услуг. В то же время, как положительный факт, следует отметить, что предприятие сохраняет свое место на рынке, обеспечивает высокую социальную защищенность своим работникам, вполне кредитоспособно и, самое главное, у ООО «Метаком» есть резервы роста и повышения эффективности хозяйственно-экономической деятельности.
Наиболее эффективными условиями достижения ценовой конкурентоспособности на ООО «Метаком» можно считать следующие:
- управление затратами - ориентация менеджеров и персонала на экономию и сокращение затрат;
- бюджетирование, контроллинг – использование жестких систем контроля над затратами путем предварительного утверждения структуры и состава обоснованных и лимитированных расходов;
- специализация – возможность накопления уникального опыта, квалификации, использования высокоэффективного специализированного оборудования;
- технологическое превосходство – подборка комплектующих, меньшие затраты материалов, энергии, труда на единицу продукции (ее монтаж);
- АВС – анализ – производство стандартной продукции, услуг, удовлетворяющих базовые потребности, с обоснованием только тех затрат, которые обеспечивают достижение основных потребительных свойств услуг;
- современные методы ценообразования.
ООО «Метаком» осуществляет оптовую и розничную реализацию охранного оборудования через оптовый склад, магазин, а также монтаж оборудования на месте (у потребителя).
Наилучшей формой организации хозяйственных связей с оптовыми покупателями по продаже товаров является договор купли-продажи. Данный договор составляется в трех экземплярах, каждый из которых имеет равную юридическую силу, и содержит следующие основные условия: предмет договора; качество товара; права и обязанности сторон; цена и порядок расчета; условия поставки; ответственности сторон; форс-мажорные обстоятельства; разрешение споров; срок действия договора.
Помимо оптовой продажи на предприятии ООО «Метаком» применяется продажа товаров в розницу частным лицам по образцам. Данный метод розничной торговли является наиболее оптимальным.
ООО «Метаком» оказывает дополнительные виды услуг для своих покупателей, которые можно разделить, на четыре группы:
1. Оказание помощи покупателю в совершении покупки и при ее использовании - прием и исполнение заказов на товары;
2. Информационно-консультационные услуги - предоставление информации о товарах и их изготовителях;
3. Монтаж и установка систем контроля и ограничения доступа;
4. Сервисное и постгарантийное обслуживание, купленного товара.
Покупатель, придя в магазин ООО «Метаком» или обратившись по телефону, может выбрать необходимый ему товар, воспользовавшись услугами продавца-консультанта. При необходимости монтажа, по заявке покупателя к нему выезжает мастер, производящий замеры и предварительный расчет стоимости заказа. После согласования всех юридических формальностей, в т.ч. по необходимости с отделами вневедомственной охраны г. Брянска, специалисты ООО «Метаком» производят установку и наладку купленного оборудования. По такой же схеме предприятие работает и с покупателями – юридическими лицами, от работы с физическими лицами их отличает только форма оплаты – наличная/безналичная. Кроме того, покупатели – юридические лица в большинстве своем являются оптовыми покупателями, приобретая оборудование и услуги по его монтажу сразу на несколько объектов.
Отпуск товаров в магазине осуществляет кассир-учетчик. Консультационную работу с покупателями осуществляет продавец-консультант, он помогает в осуществлении покупок, информирует о новых поступлениях товаров, их изготовителях, наличии комплектующих и дополнительных товаров. В настоящее время ассортимент ООО «Метаком» представлен широким спектром координатных домофонных систем, абонентских устройств, электромагнитных замков и ключей, контроллеров.
Руководство ООО «Метаком» ставит своей целью сохранение лидирующего положения на рынке продукта по показателям качества систем контроля и ограничения доступа. При установлении окончательной цены ООО «Метаком» использует один из подходов дифференцированного ценообразования «временный», т.е. цена устанавливается в зависимости от времени года. Летом и осенью цена на продукцию выше, чем в остальное время года, что связано с возрастанием спроса на продукцию. Таким образом, конкретным выражением дифференцирования является так называемая «меняющаяся цена», реагирующая на изменение затрат и спроса.
Так как рынок систем контроля и ограничения доступа условно можно разделить на три целевых сегмента, то можно рекомендовать для каждого из них определенную цену. Например, для систем контроля и ограничения доступа, разработанных для физических лиц – единичных покупателей, цена должна быть ниже, чем для остальных, поскольку эту продукцию покупают за наличный расчет и работает реклама продукции (по принципу «мне посоветовали знакомые»). Системы контроля и ограничения доступа для предприятий могут быть по цене выше обычных, так как фирмы, заботящие о своей безопасности, в основном обращают внимание на свойства и качество систем контроля и ограничения доступа, а не на цену. Можно сделать вывод, что ООО «Метаком» не будет в убытке, поскольку цена для одного покупателя компенсирует цену другого. Подводя итог, можно сказать, что ООО «Метаком» использует эффективный метод ценообразования, основанный на комплексном изучении рыночной ситуации, политики конкурентов и собственных затрат на производство продукции.
Постоянно обновляемый ассортимент с учетом потребностей как инсталляторов, так и конечных потребителей, применение новых технологических решений, позволяют компании успешно развиваться и занимать лидирующие позиции на рынке города. Слияние монтажного и торгового представительства с действующим сервисным центром позволяет оперативно и с минимальными затратами решать задачи по приобретению, ремонту и гарантийному обслуживанию продукции компании «Метаком».
Опыт эксплуатации базовых моделей, отзывы и пожелания клиентов, позволяют постоянно снижать количество сложных узлов в аппаратуре, улучшать дизайн и надежность в моделях домофонов серии МК2003, МК20ТМ, МК2006ТМ. Следует отметить, что вся продукция проходит жесткую проверку качества на всех этапах производства и монтажа.
Теперь рассмотрим ряд новшеств внедренных на предприятии при разработке и совершенствовании домофонного ряда.
Так многоабонентный микропроцессорный цифровой домофон МК2007ТМ(RF)-DE(DM) является новой разработкой компании «Метаком». Его панель имеет трехразрядный цифровой индикатор, встроенный контроллер ключей Touch Memory, возможность использования брелоков proximity (в вариации исполнения RF). В качестве абонентских устройств подходят любые цифровые трубки отечественного и импортного производства. Емкость абонентов традиционно для цифровых абонентов может достигать 255. в вызывную панель может встраиваться видеокамера, имеется инфракрасная подсветка для видеокамеры. Вандалозащищенная конструкция корпуса, влагозащищенная клавиатура с подсветкой каждой клавиши, нажатие на клавиши сопровождается звуковым сигналом.
Основными функциями МК2007ТМ(RF)-DE(DM) являются:
- вызов абонента путем набора номера на лицевой панели;
- звуковой контроль посылки вызова абоненту (другая тональность, если трубка абонента не уложена);
- дуплексная связь абонент-посетитель;
- звуковая сигнализация использования индивидуального кода абонента или ключа на соответствующее абонентское устройство;
- дистанционное открывание замка с абонентского устройства и местное открывание замка ключом;
- работа в режиме кодовой панели.
Особенности домофонов серии МК2007ТМ(RF)-DE(DM):
- тестирование линии на обрыв и короткое замыкание во всех режимах;
- отсутствие критичных параметров к источникам питания;
- выборочное отключение трубок;
- возврат к заводским установкам при сохранении базы ключей.
В домофоны серии МК2008ТМ-RF, созданные на базе домофонов серии МК2003ТМ-RF, были внесены определенные изменения на основании учета потребностей как инсталляторов, так и конечных потребителей, что несомненно можно считать новшеством, поскольку домофам новой серии присущи принципиальные отличия.
Перечислим особенности домофонов серии МК2008ТМ-RF, предоставляющие дополнительные удобства при установке и эксплуатации:
- автоматическая генерация таблицы индивидуальных кодов доступа для абонентов по 1000000 кодовых таблиц для каждой разрядности (1-6 цифр);
- программирование электронных ключей с привязкой к квартирам;
- комплектация домофонов коммутаторами СОМ-80, СОМ-160, СОМ-220 (на 80, 160,220 абонентов соответственно);
- возможность подключения двух вызывных панелей к одному коммутатору;
- четырехпроводная линия связи между вызывной панелью и коммутатором;
- индикация режимов работы на трехразрядном светодиодном индикаторе;
- звуковой контроль нажатия кнопок;
- возможность запрета обслуживания ТКП абонентов при сохранении доступа по индивидуальному коду;
- работа кодового замка в режиме общего кода или в режиме индивидуальных кодов;
- настройка всех параметров работы для наиболее полного соответствия, требованиям, предъявляемым по месту установки;
В совокупности все вышеуказанное позволяет ООО «Метаком» удерживать низкие цены на предлагаемую продукцию при сохранении ее высокого качества.
Заключение
Цена товара на рынке подвергается изменениям прежде всего под воздействием спроса и предложения. Главным фактором, влияющим на величину предложения товаров на рынке, являются издержки производства. Сглаживает и временно устраняет противоречия между спросом и предложением конкуренция, которая бывает ценовой и не ценовой. Другими факторами, влияющими на предложение товаров на рынке, являются: состояние финансово-кредитной сферы, представление и возможности потребителей, государственное регулирование цен. Цены на товары классифицируют по характеру обслуживаемого оборота, по степени свободы от воздействия государства, по способу фиксации, по степени обоснованности, по времени действия.
Анализ ситуации на предприятии показал, что появление новых технологий позволяет более мобильным конкурентам улучшать качество обслуживанияпотребителей. Технологические нововведения представляют конкурентам значительные преимущества в конкурентной борьбе. Следовательно, на ООО «Метаком» должна существовать отлаженная система управления ценообразованием. Внедрение на предприятии системы управления ценой продукции, представляющей собой действительно целостную, неразрывную, эффективно и слажено функционирующую систему, будет служить залогом его успешной деятельности и не приведет к созданию кризисной ситуации на предприятии.
Подводя итог, можно сказать, что ООО «Метаком» использует эффективный метод ценообразования, основанный на комплексном изучении рыночной ситуации, политики конкурентов и собственных затрат на производство продукции.Используемый метод позволяет занимать ООО «Метаком» прочное, устойчивое и стабильное положение на рынке фасованной продукции, а также увеличивать рыночную долю по сравнению с конкурентами.
Список используемой литературы
Андреев П.Л. Обеспечение финансовой устойчивости с/х предприятий // АПК: экономика, управление, 2002, №9
Ансофф И. Стратегическое управление: сокр. пер. с англ. – М.: «Экономика», 1989. – 519 с.
Андреев П.Л. Обеспечение финансовой устойчивости предприятий // Экономика, управление, 2002, №9
Акимова Т.А. Теория организации: Уч.пособие для вузов. - М.: ЮНИТИ ДАНА, 2003. – с. 367
Баринов В.А., Харченко В.Л. Стратегический менеджмент: учеб. пособ. – М.: ИНФРА-М, 2006. – 285 с.
Брянская область в цифрах: Краткий стат. сборник; Облкомстат, Брянск - 2003.
Веснин В.Р. Менеджмент: Учебник. – М.: ТК Велби, 2004. – с. 504;
Виссема Х. Стратегический менеджмент и предпринимательство: возможности для будущего процветания/пер. с англ. – М.: Изд-во «ФинПресс», 2000. – 272 с.
Виханский О.С. Стратегическое управление. – М.: Гардарики, 2001. – 296 с.
Дурович А.П.Основы маркетинга: Учеб. пособие/ А.П. Дурович.- М.: Новое знание,2004.-512с.
Егоров В.В. Прогнозорование национальной экономики: Учеб. пособие – М.: ИНФРА – М, 2001. – 184 с.
Игнатов В.Г., Бутов В.И. Регионоведение (экономика и управление): Учеб. пособие.–М.: «Тесса», Ростов н/Д.: изд. центр МарТ, 2000.–416 с.
Классики менеджмента / под ред. Уорнера Спб Питер, 2001 – 1168с.
Котлер, Филипп, Армстронг, Гари, Сондерс, Джон, Вонг, Вероника. Основы маркетинга: Пер. с анг.-2-е европ. изд. - М., Спб., К., Издательский дом Вильямс, 2001.-994с. : ил.-Парал. тит. англ.
Коренченко Р.А. Общая теория организации: Учебник для вузов - М.: ЮНИТИ ДАНА, 2003. – с. 286
Лапыгин Ю.Н. Стратегический менеджмент: учеб. пособ. – М.: ИНФРА-М, 2007. – 236 с.
Маркова В.Д. Стратегический менеджмент: курс лекций – М.: ИНФРА-М, 2001. – 288 с.
Менеджмент, маркетинг и экономика /Под ред. А.П.Егоршина – Н. Новгород: НИМБ – 2001 г. – 526 с.
Мерчандайзинг: управление розничными продажами. – М.: ЮНИТИ-ДАНА, 2002. – 274 с.
Минцберг Г. Структура в кулаке: создание эффективной организации/пер. с англ. под ред. Ю.Н.Каптуревского – СПб: Питер, 2002. – с. 512
Неруш Ю.М. Логистика: учеб. – М.: ЮНИТИ-ДАНА, 2005. – 389 с.
Панкратов Ф.Г. Коммерческая деятельность: учеб. – М.: «Дашков и К», 2004. – 504 с.
Панов А.И. Стратегический менеджмент: учеб. пособ. – М.: ЮНИТИ-ДАНА, 2006. – 303 с.
Самсонов Н.Ф. Финансовый менеджмент: Учебное пособие. М.: ИНФРА-М 2002 – 495 с.
Стоянова Е.С. Финансовый менеджмент Учебник для вузов М.: Перспектива 2005 – 425 с.
Степанов В.И. Логистика: учеб. – М.: ТК Велби, 2006. – 488 с.
Стратегический менеджмент/под ред. Петрова А.Н. – СПб.: Питер, 2006. – 496 с.
Теория управления. Учебник/под общ. ред. А.Л.Гапоненко – М.: Изд-во РАГС, 2005. – с. 558
Шмелев Н. Экономические перспективы России// вопросы экономики. 2005. №1, №4.

0,5
1
0,5-0,8