Контроль маркетинговой деятельности
Контроль маркетинговой деятельности
СОДЕРЖАНИЕ
ВВЕДЕНИЕ
1 ТЕОРЕТИЧЕСКИЕ ОСНОВЫ КОНТРОЛЯ МАРКЕТИНГОВОЙ ДЕЯТЕЛЬНОСТИ НА ПРЕДПРИЯТИИ
1.1 Сущность, цели и задачи маркетинговой деятельности
1.2 Значение маркетинговой деятельности
2. АНАЛИЗ КОНТРОЛЯ МАРКЕТИНГОВОЙ ДЕЯТЕЛЬНОСТИ НА ПРИМЕРЕ АО «АЛМА-ТВ»
2.1 Краткая характеристика АО «Алма-ТВ»
2.2 Анализ сбытовой деятельности АО «Алма-ТВ»
2.3 Анализ маркетинговой деятельности
3. РАЗРАБОТКА ПРЕДЛОЖЕНИЙ ПО ПОВЫШЕНИЮ ЭФФЕКТИВНОСТИ КОНТРОЛЯ МАРКЕТИНГОВОЙ ДЕЯТЕЛЬНОСТИ НА АО «АЛМА-ТВ»
3.1 Основные направления повышения эффективности маркетинговой деятельности на АО «Алма-ТВ»
3.2 Оценка эффективности предложенных мер
ЗАКЛЮЧЕНИЕ
СПИСОК ИСПОЛЬЗОВАННЫХ ИСТОЧНИКОВ
ВВЕДЕНИЕ
В настоящее время не одно предприятие в системе рыночных отношений не может нормально функционировать без маркетинговой службы на предприятии. И полезность маркетинга с каждым моментом все возрастает. Это происходит потому, что потребности людей, как известно, безграничны, а ресурсы предприятия ограничены. Каждый субъект имеет свои потребности, удовлетворить которые не всегда качественно удается. К каждому необходим свой индивидуальный подход. Поэтому, в новых условиях выживает то предприятие, которое может наиболее точно выделять и улавливать разнообразие вкусов. Этому и способствует маркетинг.
Далеко не все руководители имеют сейчас четкое представление о рынке и о тех трудностях, с которыми они могут столкнуться. В условиях централизованного планирования, осуществляя поставки выпускаемой продукции, руководители не задумывались о сбыте: сбытовая сеть, торговля были обязаны ее принять. Бюджет покрывал издержки неэффективных производств, финансировал капитальное строительство. Главной задачей руководителей предприятий являлось неукоснительное выполнение планов, в разработке которых они практически не принимали участия.
В условиях рынка торговая сеть может отказаться от продукции, государство не покрывает убытки, банки диктуют свои условия при выдаче кредитов, появляется конкуренция, присущая рынку. Предприятие, не приспособленное к рыночным отношениям, может, таким образом, быстро обанкротиться. Чтобы избежать этого, специалистам в области хозяйственной деятельности необходимо осваивать методы и технику управления в условиях рыночных отношений.
Прежде всего, предприятию необходимо воссоздать и далее оперативно анализировать историю взаимоотношений с собственными клиентами. Для этого создается единая для всех структурных подразделений (маркетинга, сбыта, финансов, логистики и бухгалтерии) система баз данных по потребителям, которая изначально предусматривает множественные кодировки информации по каждому из потребителей.
Служба маркетинга разрабатывает структуры полей баз данных, варианты аналитических выборок, предложения по разграничению прав; передает свои предложения на согласование руководителям других подразделений, а затем – на утверждение первому лицу. Информация о потребителе и история взаимодействия должны быть представлены в базах данных максимально полно, поскольку это заметно упрощает контроль за процессом. Без анализа причин ухода значимых потребителей невозможно строить стратегию продвижения продукции предприятия на рынок. К тому же некоторые проблемы можно устранить и без серьезных финансовых вложений. Сложившаяся на большинстве предприятий процедура составления планов производства и продаж не предусматривает равноправного участия в этом процессе службы маркетинга. Однако необходимо, чтобы координатором процесса согласования производственного плана выступала служба маркетинга, которая аккумулирует поступающие от других подразделений исходные данные.
Цель данной работы состоит в исследовании особенностей контроля маркетинговой деятельности на предприятии.
Для достижения поставленной цели необходимо решить следующие задачи:
- рассмотреть теоретические основы маркетинговой деятельности на предприятии,
- проанализировать деятельность маркетинговой службы на примере предприятия,
- предложить рекомендации по повышению эффективности маркетинговой деятельности предприятия.
Объектом исследования выступает АО «Алма-ТВ», осуществляющая деятельность и оказание услуг кабельного телевидения. Предметом исследования являются аспекты организации маркетинговой службы на этом предприятии.
Основными теоретическими и методологическими источниками при написании данной работы служили казахстанские и иностранные издания, посвященные маркетингу и управлению маркетинговой деятельностью на предприятии. Практическая часть работы построена на данных маркетинговых исследований и экспертных опросов сотрудников, клиентов и специалистов рынка.
Практическое использование результатов работы и внедрение предложенных в ней мероприятий даст положительный эффект, повысит уровень прибыли предприятия и будет способствовать расширению его рыночной доли.
1 ТЕОРЕТИЧЕСКИЕ ОСНОВЫ КОНТРОЛЯ МАРКЕТИНГОВОЙ ДЕЯТЕЛЬНОСТИ НА ПРЕДПРИЯТИИ
1.1 Сущность, цели и задачи маркетинговой деятельности
Маркетинг - это система организации и управления производственной и сбытовой деятельностью предприятий, изучение рынка с целью формирования и удовлетворения спроса на продукцию и услуги и получение прибыли.
В термин «маркетинг» специалисты вкладывают двоякий смысл: это и одна из функций управления, и цельная концепция управления в условиях рыночных отношений.
В качестве функции управления маркетинг имеет не меньшее значение, чем любая деятельность, связанная с финансами, производством, научными исследованиями, материально-техническим снабжением и т.д.
В качестве концепции управления (философии бизнеса) маркетинг требует, чтобы компания рассматривала потребление как «демократический» процесс, при котором потребители имеют право «голосовать» за нужный им продукт своими деньгами. Это определяет успех компании и позволяет оптимально удовлетворить потребности потребителя.
Поскольку маркетинг – это способ убедить массы сделать покупку, большинство ошибочно отожествляют данное понятие со сбытом и стимулированием. Разница заключается в следующем: сбыт, главным образом, предполагает контакт лицом к лицу – продавец имеет дело с потенциальными покупателями. Маркетинг использует средства массовой информации и другие способы, чтобы завладеть вниманием и убедить многих людей – людей, которые могут вообще не иметь никакого прямого контакта ни с кем из компании данного сбытовика. Один из ведущих теоретиков по проблемам управления, Петер Друккер, говорит об этом так: Цель маркетинга - сделать усилия по сбыту ненужными. Его цель - так хорошо познать и понять клиента, что товар или услуга будут точно подходить последнему и продавать себя сами.
Маркетинг - явление сложное, многоплановое и динамичное. Этим объясняется невозможность в одном универсальном определении дать полную, адекватную его сущности, принципам и функциям характеристику маркетинга.
Термин “маркетинг” возник в США на рубеже 20 века, а как ведущая функция управления, маркетинг стал рассматриваться с 50-ых годов.
В настоящее время выдвинуто уже около 2005 определений маркетинга, каждое из которых рассматривает ту или иную сторону маркетинга либо делает попытку его комплексной характеристики.
Ф. Котлер предлагает следующее определение: маркетинг – это социальный и управленческий процесс, направленный на удовлетворение нужд и потребностей индивидуумов и групп посредством предложения и обмена товарами. Ключевые понятия данного определения – нужды, потребности и спрос; продукт; издержки и удовлетворение; обмен, трансакции и взаимоотношения.
Общественный институт маркетинга Великобритании определяет маркетинг как «процесс управления, направленный на определение, предвидение и удовлетворение требований потребителя и получении прибыли». Аналогичные американские организации определяют маркетинг примерно в тех же категориях.
Из сущности маркетинга вытекают основные принципы. Однако в отечественной и зарубежной литературе под «принципами маркетинга» понимаются достаточно различные вещи. Рассмотрев позиции различных авторов, сравнив их, выделим следующие основополагающие принципы:
1. Тщательный учет потребностей, состояния и динамики спроса и рыночной конъюнктуры при принятии экономических решений.
2. Создание условий для максимального приспособления производства к требованиям рынка, к структуре спроса (причем исходя не из сиюминутной выгоды, а из долгосрочной перспективы).
Воздействие на рынок, на покупателя с помощью всех доступных средств, прежде всего рекламы.
Маркетинговая деятельность представляет собой комплекс мероприятий, ориентированных на исследование таких вопросов, как:
Анализ внешней (по отношению к предприятию) среды, в которую входят рынки, источники снабжения и многое другое. Анализ позволяет выявить факторы, содействующие коммерческому успеху или создающие препятствие этому. В результате анализа формируется банк данных для принятия обоснованных маркетинговых решений.
Анализ потребителей, как актуальных (действующих, покупающих продукцию предприятия), так и потенциальных (которых еще требуется убедить стать актуальными). Данный анализ заключается в исследовании демографических, экономических, географических и иных характеристик людей, имеющих право принимать решение о покупке, а также их потребностей в широком смысле этого понятия и процессов приобретения как нашего, так и конкурирующего товаров.
Изучение существующих и планирование будущих товаров, то есть разработка концепций создания новых товаров и\или модернизации старых, включая ассортимент их и параметрические ряды, упаковку и т.д. Устаревшие, не дающие заданной прибыли товары, снимаются с производства и экспорта.
Планирование товародвижения и сбыта, включая создание, если это необходимо, соответствующих сбытовых сетей со складами и магазинами, а так агентских сетей.
Обеспечение формирование спроса и стимулирования сбыта (ФОССТИС) путем комбинации рекламы, личной продажи, престижных некоммерческих мероприятий («паблик рилейшнз») и разного рода экономических стимулов, направленных на покупателей, агентов и непосредственных продавцов.
Обеспечение ценовой политики, заключающейся в планировании систем и уровней цен на экспортируемые товары, определении «технологии» использования цен, сроков кредита, скидок и т.д.
Удовлетворение технических и социальных норм страны, импортирующей товары предприятия, что означает обязанность обеспечить должные уровни безопасности использования товара и защиты окружающей среды; соответствие морально-этическим правилам; должный уровень потребительских свойств товара.
Управление маркетинговой деятельностью (маркетингом) как системой, т.е. планирование, выполнение и контроль маркетинговой программы и индивидуальных обязанностей каждого участника работы предприятия, оценка рисков и прибылей, эффективности маркетинговых решений.
Для осуществления вышеперечисленных мероприятий, необходимо учитывать большую роль тех, от кого, в сущности, и зависит эффективность проведения маркетинговой стратегии, а именно субъектов маркетинга, которые включают производителей и организации обслуживания, оптовые и розничные торговые организации, специалистов по маркетингу и различных потребителей. Важно отметить, что хотя ответственность за выполнение маркетинговых функций может делегироваться и распределяться различными способами, совсем ими в большинстве случаев пренебречь нельзя, они должны обязательно кем-то выполняться. [2, c.47]
Процесс маркетинга начинается с изучения покупателя и выявления его потребностей, а завершается приобретением товара покупателем и удовлетворением его выявленных потребностей.
Рынок, на котором действуют субъекты маркетинга, можно разделить на «рынок продавца», где предприятие реализует собственную продукцию, и «рынок покупателя», на котором оно приобретает нужные производственные компоненты. Таким образом, маркетинг в главной мере выгоден и продавцам и покупателям товара.
Однако прежде чем устанавливать контакты с интересующими партнерами, необходимо установить:
заинтересована ли в этом другая сторона;
имеются ли технические средства связи (телефон, телефакс) и лицо, ответственное за связь.
Связь и деловое общение с действительными и потенциальными партнерами - важнейшая часть маркетинга.
Очевидно, что тип маркетинга определяет и способ управления им. Управление маркетингом, по определению Ф. Котлера — это анализ, планирование, претворение в жизнь и контроль за проведением мероприятий, рассчитанных на установление, укрепление и поддержание выгодных обменов с целевыми покупателями ради достижения определенных задач организации, таких, как получение прибыли, рост объема сбыта, увеличение доли рынка и т.п..
1.2 Значение маркетинговой деятельности
Необходимыми условиями достижения самоокупаемости и самофинансирования предприятия в условиях рынка являются ориентация производства на потребителей и конкурентов, гибкое приспособление к изменяющейся рыночной конъюнктуре.
Каждому предприятию перед тем, как планировать объем производства, формировать производственную мощность, необходимо знать, какую продукцию, в каком объеме, где, когда и по каким ценам оно будет продавать. Для этого нужно изучить спрос на продукцию, рынки ее сбыта, их емкость, реальных и потенциальных конкурентов, потенциальных покупателей, возможность организовать производство по конкурентной цене, доступность необходимых материальных ресурсов, наличие кадров необходимой квалификации и т.д. От этого зависят конечные финансовые результаты, воспроизводство капитала, его структура и, как следствие, финансовая устойчивость предприятия. Другими словами, деятельность любого предприятия начинается с маркетингового анализа, основными задачами которого являются: изучение платежеспособного спроса на продукцию, рынков ее сбыта и обоснование плана производства и реализации продукции соответствующего объема и ассортимента;
анализ факторов, формирующих эластичность спроса на продукцию, и оценка степени а невостребованной продукции;
оценка конкурентоспособности продукции и изыскание резервов повышения ее уровня;
разработка стратегии, тактики, методов и средств формирования спроса и стимулирования сбыта продукции;
оценка эффективности производства и сбыта продукции.
С помощью маркетинга ведется постоянный поиск новых рынков, новых потребителей, новых видов продукции, новых областей применения традиционной продукции, способных обеспечить предприятию наибольший уровень прибыли. Маркетинг выступает в качестве инструмента регулирования производства и сбыта, ориентируя производственную деятельность предприятия, его структурную политику на рыночный спрос.
Главными инструментами маркетинга являются учет, прогнозирование спроса, анализ конъюнктуры рынка, реклама.
Учет — это система регистрации данных, используемая для отражения хозяйственной деятельности в целях получения массива информации для эффективной организации процесса управления. Существуют три основных вида учета: оперативный, бухгалтерский и статистический.
Прогнозирование спроса — ферма научного предвидения, результат специального исследования перспектив. Прогнозирование может быть пассивным (описание, слежение, мониторинг) и активным. Активное прогнозирование включает программу практических действий для достижения определенных, заранее поставленных цепей. Прогнозирование помогает вырабатывать рекомендации, например, для разработки продукции, исследования рынка, установления цен, развертывания службы сервиса, повышения эффективности управления. По времени упреждения будущих событий прогнозирование подразделяют на краткосрочное, среднесрочное, долгосрочное и сверхдолгосрочное (рассчитанное на длительную перспективу).
Анализ конъюнктуры рынка — анализ сложившихся в определенный период и в конкретном месте — регионе — социально-экономических, торгово- организационных и других условий реализации продукции.
Успех фирмы утверждается высоким качеством продукции и услуг, постоянным их совершенствованием и обновлением, установлением научно обоснованных цен, работой с заказчиками, поставщиками и потребителями продукции
Реклама — это комплекс средств и приемов, направленных для достижения конечной цели — реализации товаров и услуг и создания спроса на них. Она предполагает установление контакта между продавцом и потенциальным покупателем предлагаемой продукции в целях побуждения последнего приобрести эту продукцию. Реклама продукции имеет четкую цель, для реализации которой подбираются соответствующие способы воздействия на клиента. К целям рекламы относятся создание, и расширение рынка сбыта продукции, создание имиджа предприятия, повышение уровня собственной организации производства (внутрифирменная реклама).
Для того чтобы реклама имела успех, она должна быть правдивой, соответствовать действительности и выделять только те качества и достоинства, которыми обладает рекламируемый товар.
2 АНАЛИЗ КОНТРОЛЯ МАРКЕТИНГОВОЙ ДЕЯТЕЛЬНОСТИ НА ПРИМЕРЕ АО «АЛМА-ТВ»
2.1 Краткая характеристика АО «Алма-ТВ»
АО «Алма-ТВ» было создано в 1994 году в соответствии с законодательством Республики Казахстан. 16 мая 1995 года подключением первого клиента к системе телевизионного вещания АО «Алма-ТВ» впервые заявила о себе как о самостоятельном игроке на телекоммуникационном рынке Казахстана.
Постепенно АО «Алма-ТВ» расширяла свое присутствие на территории республики. В 1998 году открылись филиалы в городах Актау, Караганде и Усть-Каменогорске, в 2002 году – в Атырау и Семипалатинске, успешно работающие и поныне. С 2006 года география брэнда «АЛМА-ТВ» стала еще более внушительной. АО «Алма-ТВ» вышла на столичный рынок, а также на рынки городов Шымкент и Актюбинск на основании договора франчайзинга с местным оператором кабельного телевидения «Айна-ТВ». В том же 2006 году АО «Алма-ТВ» открыла свой очередной филиал в городе Павлодаре. Хотя с момента открытия филиала прошло совсем немного времени, уже можно говорить о том, что кабельное телевидение «АЛМА-ТВ» нашло теплый прием у значительной части павлодарцев. В перспективных планах компании – продвижение во все без исключения крупные города Казахстана в рамках реализации нашей корпоративной стратегии – «АЛМА-ТВ» - в каждый дом!».
История компании – это яркий пример динамичного развития технических решений, обеспечивающих максимальное удобство для конечного пользователя. Обозначив себя как серьезного участника казахстанского рынка телекоммуникаций, АО «Алма-ТВ» изначально ориентировалась на предоставление потребителю расширенного комплекса услуг. С этой целью компания постоянно осуществляет модернизацию своей сетевой инфраструктуры.
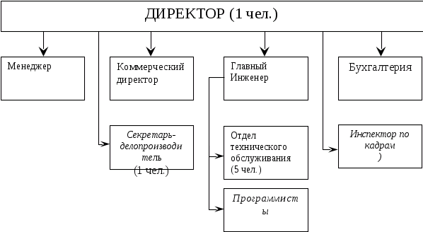
Организационная структура управления предприятием представлена на рисунке 1.
Основной целью деятельности АО «Алма-ТВ» является получение дохода, покрывающего затраты и приносящего прибыль, за счет создания и эксплуатации кабельной сети телевидения и передачи данных в Казахстане на основе использования новых технологий и самых совершенных с точки зрения научного прогресса технических средств.
Для достижения указанной цели АО «Алма-ТВ» осуществляет следующие виды деятельности:
- поиск технических и технологических решений по созданию и постоянному совершенствованию систем кабельного телевидения и передачи данных на территории Казахстана,
- удовлетворение потребностей населения в информационном насыщении посредством телевизионных и IP-технологий,
- обеспечение унифицированного менеджмента для всей внутренней сети Компании,
- предоставление востребованных населением услуг в целях обоюдовыгодного рыночного сотрудничества,
- создание механизмов обратной связи с потребителями для корректировки значимых аспектов деятельности Компании.

Рисунок 1 - Организационная структура АО «Алма-ТВ»
Спектр предлагаемых Компанией телевизионных программ составляет порядка 70 каналов на 11 мировых языках. Абоненты «Алма-ТВ» имеют возможность увидеть на экранах своих телевизоров разнообразные фильмы, мультфильмы, передачи и репортажи, удовлетворяющие их вкусам и потребностям.
Ценовой диапазон различных пакетов программ варьируется от 1090 до 5518 тенге. Действует гибкая система скидок. Каждый клиент может выбрать необходимое содержание в соответствии с возможностями своего бюджета.
Уже сегодня большинство абонентов кабельного телевидения «Алма-ТВ» имеют возможность получения широкополосного доступа к всемирной сети Интернет на высоких скоростях.
Интеграция Казахстана в единую мировую информационную систему подразумевает доступность любых информационных ресурсов любого уголка планеты жителем Казахстана в удобный для него момент времени и «Алма-ТВ» обеспечивает выполнение данного условия для клиентов.
Предприятие осуществляет учет всей своей деятельности, контроль за ходом производства продукции и услуг, ведет оперативный бухгалтерский учет и статистическую отчетность в порядке установленном законодательством.
В АО «Алма-ТВ» отсутствует единая служба маркетинга, а затраты на рекламу и стимулирование сбыта носят разовый и бессистемный характер. Такое положение дел позволяет сделать вывод о том, что весь рост затрат на сбыт продукции был получен за счет увеличения операционных затрат на содержание отделов продаж.
Этот вывод подтверждает и тот факт, что в 2005 году в компании существовал один отдел, а к концу 2006 года – три отдела, которые структурно входили во вновь сформированный департамент продаж. Оценить целесообразность и эффективность данного мероприятия для компании можно будет, только проанализировав данные последующих периодов.
Специфика хозяйственной деятельности компании заключается в том, что вся производственная деятельность строится на позаказном принципе. Задача поиска заказчиков возложена на отделы продаж.
Вся производимая продукция реализуется заказчику полностью, таким образом компания практически не имеет остатков нереализованной продукции на складе.
Как и в большинстве молодых компаний, всей маркетинговой деятельность на начальных этапах руководил генеральный директор, который сосредоточил в своих руках, практически, все маркетинговые функции. Такая маркетинговая политика компании была оправдана в связи с высокой профессиональной подготовкой генерального директора, а также с точки зрения экономии ресурсов и поддержания единого и динамичного стиля развития компании. Однако, по мере роста компании, генеральным директором все больше внимания отдавалось вопросам общего управления компанией, и все меньше внимания вопросам финансового менеджмента, снабжения, логистики, маркетинговой деятельности.
На сегодняшний день «АЛМА-ТВ» - лидер среди казахстанских операторов кабельного телевидения и передачи данных. Компания осуществляет ретрансляцию более 70 телеканалов со всего мира в аналоговом формате и более 100 – в цифровом. Пакеты программ формируются с учетом интересов самых разных слоев населения. Это фильмовые, детские, новостные, спортивные, научно-познавательные, музыкальные телевизионные каналы. Клиенты «АЛМА-ТВ» смотрят программы, подготовленные самыми лучшими представителями телевизионного бизнеса со всего мира – из Европы, США, Японии, Турции, Китая, России и, конечно же, Казахстана.
Анализ материально-технического состояния предприятия состоит из анализа динамики состава и структуры активов баланса.
При анализе активов, являющихся важнейшим элементом финансовой отчетности, изучается их наличие, состав, структура и происшедшие в них изменения. Анализ структуры активов в целом и его отдельных группировок позволяет судить о рациональном размещении.
Увеличение активов положительно свидетельствует о его дальнейшем развитии.
Для анализа состава и размещения активов по данным бухгалтерского баланса, используя горизонтальный и вертикальный анализ необходимо составить следующую аналитическую таблицу (таблица 1).
Анализируя таблицу 1 можно сделать следующие выводы: стоимость всех активов с 2006 г. по 2007 г. увеличилась на 42102 тыс. тг., с 2007 по 2008 г. уменьшилась на 6937 тыс. тг., хотя, в общем, за три года увеличение составило 3,89%. Остаточная стоимость основных средств предприятия в 2006г. по сравнению с 2007 г. сократилась на 369,8 тыс. тг., а с 2008 г. - на 44034 тыс. тг. За последних три года текущие активы увеличились на 126659 тыс. тг. или на 23,05%. Это произошло за счет увеличения товарно-материальных запасов 30,03 % и дебиторской задолженности предприятия на 27,01%, и снижения на 409 тыс. тг. расходов будущих периодов. Денежные средства предприятия к концу 2007г. по сравнению 2006 г. сократились на 24385 тыс. тг., в 2008 г. на 77,94 %.
Таблица 1 - Состав и размещение активов АО «Алма-ТВ» за 2006-2008гг., тыс. тг., %
|
Показатели |
2006г. |
2007г. |
2008г. |
Изменения к 2006г. |
||||
|
тыс. тг. |
уд.вес (%) |
тыс. тг. |
уд.вес (%) |
тыс. тг. |
уд.вес (%) |
тыс. тг. |
в проц. пунктах |
|
|
Стоимость активов, всего |
905053 |
100 |
947155 |
100 |
940218 |
100 |
35165 |
3,89 |
|
1.Долгосрочные активы, в т.ч: |
355663 |
39,30 |
317881 |
33,56 |
264169 |
28,10 |
-91494 |
-25,72 |
|
1.1.Нематериаль-ные активы |
4410 |
0,00 |
3498 |
0,00 |
2473 |
0,00 |
||
|
1.2.Основные средства |
305454 |
33,75 |
268474 |
28,35 |
261420 |
27,80 |
-44034 |
-14,42 |
|
1.3.Незавершенное стр-во |
12 |
0,00 |
12 |
0,00 |
12 |
0,00 |
||
|
1.4Инвестиции |
45783 |
5,06 |
45783 |
4,83 |
113 |
0,01 |
-45670 |
-99,75 |
|
2.Текущие активы, в т.ч.: |
549390 |
60,70 |
629274 |
66,44 |
676049 |
71,90 |
126659 |
23,05 |
|
2.1.ТМЗ |
230250 |
25,44 |
247942 |
26,18 |
299397 |
31,84 |
69147 |
30,03 |
|
2.2.Расходы будущих периодов |
1735 |
0,19 |
1712 |
0,18 |
1326 |
0,14 |
-409 |
-23,57 |
|
2.3.Дебиторс-кая задол-ть |
290905 |
32,14 |
377505 |
39,89 |
369480 |
39,30 |
78575 |
27,01 |
|
2.4.Денежные средства |
26500 |
2,93 |
2115 |
0,22 |
5846 |
0,62 |
-20654 |
-77,94 |
|
Примечание – сост. по данным финансовой отчетности АО «Алма-ТВ» |
Однако, анализ причины увеличения стоимости имущества предприятия приводит к значительным отклонениям номинальных данных балансового отчета от реальных. В отечественной практике осуществляется учет инфляционных процессов лишь при формировании балансовой стоимости основных средств.
Переоценка производственных запасов, готовой продукции и товаров в отечественной учетно-аналитической практике не производится. Поэтому прирост их стоимости, несомненно, находится под воздействием инфляционного фактора.
Однако при анализе активов необходимо выяснить, как они размещены и на что больше внимание уделялось в отчетном году, каково состояние производственного предприятия, его основных средств, какова мобильность имущества. Для этого, прежде всего, необходимо определить величину производственного потенциала предприятия, по определению которой встречаются различные точки зрения. Так, по одной методике в его стоимость включают стоимость основных средств, производственных запасов, незавершенного производства. По второй методике в состав активов, определяющих производственный потенциал предприятия, добавляется к вышеприведенной методике незавершенные капитальные вложения и стоимость оборудования к установке. Эта методика точнее отражает происходящий процесс развития предприятия и его материально-технической базы. Коэффициент имущества производственного назначения (КП.ИМ.) показывает целесообразность или нецелесообразность привлечения долгосрочных заемных средств для увеличения имущества производственного назначения. Нормальным считается уровень КП.ИМ. > 0,5. Коэффициент имущества производственного назначения определяется по формуле (6):
, (6)
Коэффициент мобильности – рассчитывается делением оборотных активов на внеоборотные активы. Коэффициент мобильности рассчитывается по формуле (7):
, (7)
Считается такое отношение нормальным, если оно будет > 1.
Коэффициент соотношения мобильных и иммобилизованных средств (К>М/Л>) показывает, на сколько оборотные активы превышают внеоборотные. Коэффициент соотношения мобильных и иммобилизованных средств определяется по формуле (8):
, (8)
Далее нужно изучить, какие произошли качественные изменения в имущественном положении предприятия. Для этого необходимо исследовать состояние важнейшего элемента производственного потенциала предприятия, составляющего его материально-техническую базу, коим являются основные средства. Особый интерес представляет изменение удельного веса реальной (остаточной) стоимости основных средств в общей стоимости имущества предприятия, поскольку этот показатель служит ориентиром в определении масштабов его предпринимательской деятельности. Удельный вес реальной (остаточной) стоимости в общем итоге имущества предприятия должен составлять не менее 50 процентов всей суммы активов баланса.
Важным показателем, характеризующим техническое состояние основных средств, является коэффициент износа.
Коэффициент износа определяется как частное от деления накопленной суммы износа к первоначальной балансовой стоимости основных средств. Этот коэффициент показывает, в какой степени профинансированы за счет износа замена и обновление основных средств.
Используя данные таблицы 1, рассчитаем вышеуказанные коэффициенты. Обобщая результаты расчета можно составить следующую аналитическую таблицу (таблица 2).
Таблица 2 - Анализ коэффициентов имущественного положения АО «Алма-ТВ» за 2006-2008гг.
|
Показатели |
2006 г |
2007 г |
2008г |
Изменения в пунктах к 2006 г. |
|
Коэффициент имущества производственного назначения |
0,66 |
0,62 |
0,59 |
-0,07 |
|
Коэффициент мобильности активов предприятия |
0,607 |
0,664 |
0,719 |
0,112 |
|
Коэффициент соотношения мобильных и иммобилизованных средств |
1,545 |
1,980 |
2,559 |
1,014 |
|
Коэффициент износа |
0,351 |
0,417 |
0,495 |
0,144 |
|
Примечание – сост. по данным финансовой отчетности АО «Алма-ТВ» |
Из таблицы 5 видно, что коэффициент имущества производственного назначения предприятия за три анализируемых периода соответствует оптимальному значению. К концу 2008 года коэффициент имущества производственного назначения предприятия составил 0,59 ((258420+299397)/940218) и по сравнению с 2006 г. = 0,66 ((345454+256750)/905053) годом сократился на 0,07 пункта, за счет износа основных средств.
Произошло увеличение таких показателей как коэффициент мобильности активов и коэффициент соотношения мобильных и иммобилизованных средств предприятия.
Коэффициент мобильности активов предприятия в 2006 составил 0,607 (549390/905053), в 2007 = 0,664 (629274/947155), в 2008 = 0,719 (676049/940218). Коэффициент мобильности активов предприятия к 2006 г. увеличился на 0,057 пункта, к 2007 г. на 0,112 по равнению с 2006г., и на 0,055 по сравнению с 2007 г. Рост данного показателя является положительным сдвигом в финансово-хозяйственной деятельности предприятия, так как имущество становится более мобильным, что свидетельствует об ускорении его оборачиваемости, о росте эффективности его использования.
Уровень соотношения мобильных и иммобилизованных средств на АО «Алма-ТВ» с каждым годом увеличивается. В 2008 г. значение данного показателя составляло 2,559 (676049/264169), что на 1,014 пункта больше, чем в 2006г. = 1,545 (549390/355663).
В связи с тем, что основные средства подвергаются износу, уровень коэффициента износа с каждым годом становится больше, в 2006 г. он составлял 0,351 (187404/532858), но к концу 2008 года он увеличился на 0,144 пункта и достиг значения в 0,495 (253759/512179), то есть данный показатель почти достиг свого критического значения. Это и явилось поводом для обращения в банк за кредитом, так как рассчитанные коэффициенты износа показывают, что к концу 2007 г. основные средства почти на половину изношены, и для нормальной работы предприятия их необходимо заменить.
Оценив ресурсный потенциал, приходим к выводу, что на предприятии за год произошло его увеличение по всем видам ресурсов. Это изменение вызвано изменением объема ресурсов в натуральном выражении, а также их переоценкой.
Далее необходимо проанализировать собственный и заемный капитал предприятия (таблица 3).
Таблица 3 - Состав и структура собственного и заемного капитала АО «Алма-ТВ» на 2006-2008гг., тыс.тг., %
|
Показатели |
2006г. |
2007г. |
2008г. |
Изменения к 2006г. |
||||
|
тыс. тг. |
уд.вес (%) |
тыс. тг. |
уд.вес (%) |
тыс. тг. |
уд.вес (%) |
тыс. тг. |
в проц. пунктах |
|
|
Совокупный капитал |
905053 |
100 |
947155 |
100 |
940218 |
100 |
35165 |
3,89 |
|
Собственный капитал |
575833 |
63,62 |
608180 |
64,21 |
627817 |
66,77 |
51984 |
9,03 |
|
Заемный капитал, в т.ч: |
329220 |
36,38 |
338975 |
35,79 |
312401 |
33,23 |
-16819 |
-5,11 |
|
1.Долгосроч-ные обязательства |
- |
- |
- |
- |
- |
- |
- |
- |
|
2.Текущие обязательства, в т.ч.: |
329220 |
36,38 |
338975 |
35,79 |
312401 |
33,23 |
-16819 |
-5,11 |
|
2.1.краткосрочные кредиты |
52095 |
5,756 |
51841 |
5,47 |
109070 |
11,60 |
56975 |
109,37 |
|
2.2.кредиторская задолженность |
277125 |
30,62 |
287134 |
30,32 |
203331 |
21,63 |
-73794 |
-26,37 |
|
Примечание – сост. по данным финансовой отчетности АО «Алма-ТВ» |
Из таблицы 6 видно, что совокупный капитал в отчетном периоде увеличился по сравнению с базисным на 3,89%, произошло также увеличение собственного капитала предприятия на 9,03% за счет увеличения резервного капитала на 43759 тыс. тг. и увеличении нераспределенного дохода на 51984 тыс. тг. Заемный капитал сократился на 5,11% вследствие снижения текущих обязательств.
АО «Алма-ТВ» имеет краткосрочные кредиты, которые в 2008г.по сравнению с 2006 г. увеличились на 109,37%, Произошло снижение кредиторской заложенности на 26,63%, за счет снижения задолженности поставщикам и подрядчикам и снижения задолженности по налогам. Это, несомненно, положительно сказывается на финансовой деятельности предприятия.
Таким образом, в текущий момент деятельность предприятия и его развитие осуществляется преимущественно за счет самофинансирования, т.е. собственного капитала. Лишь при недостаточности собственных финансовых ресурсов привлекаются заемные средства. Рассматривая структуру активов, следует отметить, что самая высоколиквидная его часть – это денежная наличность, которая по сравнению с 2006 г. снизилась на 77,94%, и занимает на конец 2008 г. 0,62% от всех совокупных активов предприятия. В свою очередь, основная масса денежной наличности находится в обороте дебиторских и кредиторских долгов компании.
2.2 Анализ сбытовой деятельности АО «Алма-ТВ»
Совершенно очевидно, что благополучие АО «Алма-ТВ» зависит не только от деятельности самой компании и ее сотрудников, но и от противоборства комплексов маркетинга, применяемых различными фирмами, от тенденций и событий, происходящих в маркетинговой среде.
Как уже отмечалось в теоретической части данной работы, маркетинговая среда представляет собой совокупность «не поддающихся контролю» сил, с учетом которых компания должна разрабатывать собственный комплекс маркетинга. Или, согласно Ф. Котлеру, маркетинговая среда – совокупность активных субъектов и сил, действующих за пределами компании и влияющих на возможности руководства службой маркетинга устанавливать и поддерживать с целевыми клиентами отношения успешного сотрудничества.
Сегодня услуга кабельного телевидения под брендом «АЛМА-ТВ» предоставляется в тринадцати городах Казахстана. Абоненты получают телевизионный сигнал посредством кабельных сетей, которые подобно паутине охватывают места компактного расположения жилых и административных зданий.
В г. Алматы для клиентов, работающих и проживающих вне зоны охвата кабельных сетей «АЛМА-ТВ», предусмотрена возможность предоставления услуги комбинированным эфирно-кабельным путем (индивидуальные установки).
Кардинальное отличие эфирно-кабельных сетей от традиционного эфирного телевещания и спутниковых установок – в повышенном качестве передаваемого сигнала, устойчивости аудиовизуального канала и, что немаловажно, – в возможности дальнейшего расширения перечня услуг на имеющейся телекоммуникационной базе.
До 2006 года во всех без исключения городах присутствия «АЛМА-ТВ» услуга кабельного телевидения предоставлялась исключительно в аналоговом формате. Набор телеканалов, ретранслируемых «АЛМА-ТВ» в аналоговом стандарте, достаточно широк. Весь спектр каналов, а их свыше 70-ти, разделяется на отдельные пакеты, которые составлены таким образом, чтобы удовлетворить зрительские интересы самых широких слоев населения.
С учетом технических возможностей, в разных городах формируются отдельные пакеты программ аналогового телевидения. Так, в Алматы и Астане все каналы разделены на 3 основных пакета – «Универсальный», «Супервижн», «Элитный». В Алматы клиентам АО «Алма-ТВ» также предлагаются дополнительные «Премиальные» пакеты.
Дополнительные потому, что их подключение осуществляется в дополнение к пакету «Универсальный». «Премиальные» пакеты программ созданы для удобства абонентов, которых интересуют только некоторые тематические каналы пакета «Супервижн».
В Караганде, Семее, Усть-Каменогорске все телевизионные каналы представлены в двух пакетах, так называемых «Большом» и «Малом», в Актау и Атырау – только в «Большом».
В каждом пакете представлены казахстанские государственные и коммерческие каналы, самые рейтинговые каналы российского телевидения, наиболее популярные и интересные телеканалы стран Европы, Азии и Америки, а также государств Содружества. Тематическая направленность телевизионных каналов также разнообразна – история и культура, мода и спорт, путешествия и развлечения, флора и фауна, бизнес и финансы, экономика и политика, музыка и кино, детские передачи и мультфильмы. Каждый сможет найти для себя что-то интересное и полезное.
В отличие от пользователей спутникового телевидения нашим абонентам нет необходимости проделывать лишние манипуляции, для того чтобы посмотреть передачи казахстанского ТВ – каждый пакет включает как местные эфирные, так и спутниковые телеканалы. В пакетах программ для индивидуальных установок прием каналов местного эфирного телевидения обеспечивается за счет установки дополнительной антенны. Ее клиент может приобрести сам или заказать у нас.
С декабря 2006 года АО «Алма-ТВ» начала предоставление услуги цифрового телевидения в г.Алматы. Первыми абонентами «цифры» стали клиенты эфирно-кабельного телевидения (индивидуальные установки). При всех достоинствах системы индивидуальных установок (главное из которых – возможность получать услугу телевидения в любой части города), для этих абонентов существовал один серьезный минус: количество доступных им каналов не превышало 24-х. Использование цифровых технологий позволило практически полностью снять это ограничение – число ретранслируемых каналов эфирно-кабельного телевидения увеличилось более чем вдвое, достигнув на сегодня 67-ми.
Уже в начале 2007 года мы сделали следующий шаг на пути дальнейшей реализации программы перехода на цифровой стандарт вещания: с марта услуга цифрового телевидения предоставляется абонентам кабельной сети в объеме более 100 телеканалов. Далее по плану – Астана и другие города республики. Преимущества цифрового вещания в сравнении с аналоговым общеизвестны – это высочайшее качество и доступность. Именно расширение доступности информационных услуг – телевидения связи и Интернета – сейчас наблюдается как в крупных городах, так и в регионах республики. Свое участие в этом процессе АО «Алма-ТВ» рассматривает как важную составляющую своей социальной миссии.
Одна из составляющих услуги передачи данных «АЛМА-ТВ» - организация виртуальных частных сетей VPN (Virtual Private Network). Если Вам требуется объединить в единую сеть компьютеры, находящиеся в территориально удаленных друг от друга зданиях, VPN – отличное решение. Эта технология предоставляет возможность создать единую инфраструктуру связи, которая значительно упростит взаимодействие офисов, расположенных в разных районах города. Самое главное преимущество услуги VPN, которое, без сомнения, оценят деловые люди, – надежная защита информации, циркулирующей в сети. Возможность доступа посторонних лиц к Вашим данным полностью исключена.
Основные преимущества кабельного Интернета от «АЛМА-ТВ»:
всегда свободный телефон. Кабельный модем, через который осуществляется подключение, работает независимо от телефонной линии. Это значит, что Вы можете одновременно пользоваться Интернетом, смотреть телевизор и звонить родным, друзьям и знакомым.
мгновенный доступ к ресурсам Интернет. Компьютер, подключенный к Интернету через нашу кабельную сеть, постоянно находится в режиме on-line. Вам не нужно тратить время на дозвон для соединения с провайдером.
удобная система оплаты. Оплата производится не за время, проведенное в Сети, а за объем скачанной информации.
простота подключения. Вам не нужно повторно прокладывать кабель, потому что Ваша квартира уже подключена к сети «АЛМА-ТВ».
устойчивое соединение на постоянной скорости. Вы можете выбрать нужную Вам скорость от 32 до 512 Кб/с.
низкая стоимость подключения и широкий выбор тарифных планов по доступным ценам.
2.3 Анализ маркетинговой деятельности
Отдел маркетинга является самостоятельным подразделением АО «Алма-ТВ» и подчиняется заместителю директора по коммерческим вопросам.
В
Начальник отдела
отделе маркетинга работают 8 человек, структура отдела имеет следующий вид




Один старший товаровед, в функции которого входит изучение спроса
Два старших товароведа, работающих с клиентами на рынке РК
Инженер по рекламе
Рисунок 2 - Структура отдела маркетинга
Функции, выполнение которых входит в обязанности работников отдела, оговорены в должностных инструкциях соответственно занимаемым должностям. В отделе действуют четыре должностные инструкции:
-начальника отдела;
-заместителя начальника;
-товароведа;
-инженера по рекламе.
Данные должностные инструкции были составлены несколько лет назад. В основном права, обязанности и ответственность работников, оговариваемые в действующих инструкциях, соответствуют действительности и выполняются.
По существующему на предприятии «Положению об отделе маркетинга» на данный отдел возложено выполнение следующих функций и задач:
1) задачи
координация работы производственных и коммерческих служб с целью удовлетворения запросов потребителей и получения прибыли;
выработка стратегии и тактики предприятия на потребительском рынке с помощью маркетинговых программ.
2) функции
обеспечение своевременного заключения договоров, квартальных графиков поставки продукции;
организация сбыта продукции в соответствии с заключенными договорами;
участие в разработке ценовой политики предприятия;
организация работы по рекламе выпускаемых услуг, изучению рынка сбыта;
расширение внешнеэкономических связей.
В составе аналитической функции маркетинга, данным отделом проводятся следующие мероприятия:
Поскольку изучение рынка не представляется отделу маркетинга необходимым условием успешного проведения целенаправленной маркетинговой политики, данное мероприятие не осуществляется, что, несомненно, является недостатком работы отдела. Ведь, зная условия и тенденции развития экономики, политики, законодательства, а также стиля жизни и демографические изменения, можно предвидеть спрос на ту или иную услуга изделий. В связи с этим, изучение спроса покупателей, проводимое предприятием в АО «Алма-ТВ», не достигает нужного эффекта, который присутствовал бы при одновременном исследовании тенденций развития рынка и изучения покупательских предпочтений.
Услуги предприятия рассчитаны на массового покупателя со средним уровнем доходов, поэтому при их реализации АО «Алма-ТВ» старается по возможности учесть потребности всех возрастных групп населения и при этом сохранить доступные цены. Специфика реализуемых АО «Алма-ТВ» услуг такова, что успех или неуспех каждой конкретной услуги у покупателей влияет на результаты работы целого предприятия. Так как АО «Алма-ТВ» очень крупное предприятие и имеет большие мощности, то невыгодно реализовывать услуги в небольших количествах, а результатом выпуска неудачных услуг может быть недополучение прибыли. Поэтому очень важным является постоянное изучение спроса потребителей на каждую новую услугу, а также сбор информации о результатах реализации уже выпущенных услуг. При этом проводятся следующие мероприятия:
1) Изучение спроса на новую услугу проводится в пункте маркетинга АО «Алма-ТВ». Для этого новую услугу, выставляют на обзор посетителям АО «Алма-ТВ». Работники отдела маркетинга проводят опрос представителей различных возрастных групп.
2) Систематически работник отдела маркетинга, в функции которого входит изучение спроса, посещает крупные торговые организации, которые продают изделия фабрики, с целью сбора информации о том, как реализуется данная услуга, какие услуги продаются хорошо, а какие «зависают», выясняются причины, по которым та или иная услуга была не принята покупателями. По итогам собранной информации, а также данным о реализации услуг ведется специальная книга, в которой дается характеристика каждой реализованной услуги.
3)Услуги конкурентов, уровень их качества, цены, конкурентоспособность изучаются при посещении работниками отдела маркетинга различных фирм, оказывающих услуги кабельного телевидения, при этом посещаются выставки, на которых представлены услуги конкурентов, что является, несомненно, положительным моментом работы отдела.
На основе анализа, оценки конкурентной среды в РК, было сделано заключение, что ни одно отечественное предприятие не в состоянии конкурировать с АО «Алма-ТВ» как по качеству выпускаемых услуг, ассортименту, так и по ценам. Однако услуги казахстанских фирм, оказывающих услуги кабельного телевидения и интернета, отличаются большим разнообразием, составляет предприятию серьезную конкуренцию в РК. Но в силу того, что потребность этого рынка в качественных и недорогих услугах очень велика и не удовлетворяется полностью, АО «Алма-ТВ» может многократно увеличивать объем реализации своих услуг в данном регионе. В связи с вышесказанным, а также с целью укрепления позиций на рынках РК, маркетинговая стратегия предприятия предусматривает следующие направления:
- Увеличение присутствия АО «Алма-ТВ» на рынках РК и освоение новых рынков сбыта в различных регионах Казахстана.
- Постоянный анализ производственных издержек с целью снижения себестоимости услуг и повышению конкурентоспособности услуг
Таким образом, выполнение аналитической функции маркетинга позволяет работникам отдела участвовать в разработке новых услуг, таких, которые будут признаны потребителями и, принимать решения о запуске этих услуг, то есть выполнять производственную функцию маркетинга, которая сводится к следующему:
1)Служба маркетинга предлагает свои рекомендации по организации производства новых конкурентоспособных услуг в требуемом рынком количестве и в оптимальные сроки. Однако данные рекомендации редко принимаются во внимание, поскольку руководство предприятия считает, и такого же мнения придерживаются некоторые деловые партнеры АО «Алма-ТВ», что спрос на определенные услуги может измениться и предприятие в таком случае вместо ожидаемой прибыли получит убытки.
2)Отдел маркетинга принимает участие в снабжении предприятия основными материалами. Полное соответствие услуг АО «Алма-ТВ» требованиям покупателей невозможно без учета этих требований при осуществлении закупок материалов. Поэтому отдел снабжения не может производить закупку основных материалов без подробных консультаций с отделом маркетинга по всем вопросам, начиная от поставщика, заканчивая качеством материалов. Кроме того, на предприятии очень высоки постоянные издержки. Это объясняется тем, что приобретаются большие партии сырья и материалов, которые долгое время хранятся на складе, и могут так и не использоваться. Причиной этого являются определенные проблемы с заключением договоров с иностранными партнерами на поставку кабелей и оборудования. В связи с вышесказанным, для повышения эффективности политики сбыта, можно предложить использовать одну из самых мощных стратегий в маркетинге – снижение постоянных издержек. Для этого, во–первых, необходимо найти дешевого поставщика в Италии или Германии, который будет поставлять оборудование небольшими партиями. Даже если общие издержки в результате этого слегка увеличатся, постоянные издержки значительно снизятся, поскольку предприятию не надо будет заранее заказывать большие партии оборудования, а затем хранить их на складе. При этом, осуществляя маркетинг и продажу небольших партий услуг на рынке, предприятие сможет ускорить оборот наличных денежных средств, а затем вложить полученную прибыль в приобретение следующей партии оборудования, на этот раз размером чуть больше, и т.д.
Основной функцией отдела маркетинга является сбытовая функция. Работа их сводится к следующему:
1. Заключение договоров на оказание услуг. Порядок их заключения следующий: АО «Алма-ТВ» связывается с потребителем по телефону или письменно и предлагает заключить договор. В то же время оговариваются все существенные условия договора: предмет, цена, качество, количество, ассортимент, порядок расчетов, сроки и порядок поставок и оплаты, валюта платежа, ответственность за невыполнение в срок или частичное выполнение договора. Далее договор составляется, подписывается сторонами и вступает в силу. АО «Алма-ТВ» использует в большинстве случаев типовой бланк договора. Пример бланка договора и контракта на оказание услуг кабельного телевидения приведен в Приложении.
Главенствующим направлением маркетинговой стратегии является политика сбыта, основная цель которой – удовлетворение потребностей каждого конкретного потребителя. В связи с этим предусматривается проведение следующих мероприятий:
увеличение объема реализации услуг потребителям РК;
увеличение объема реализации услуг в регионах Казахстана;
обязательное внедрение услуг АО «Алма-ТВ» на рынок Казахстана с открытием потребительских пунктов в городе Астане. Здесь необходимо отметить, что предприятие намерено использовать не лучший способ концентрации ресурсов – одновременность внедрения новой продукции во всех регионах.
С целью увеличения реализации услуг потребителям, согласно полученным заявкам отделом маркетинга предполагается:
а) строгое соответствие плана реализации предложениям отдела маркетинга; выполнение данного мероприятия является достаточно проблематичным, поскольку план сбыта на предприятии не составляется, однако планирование может осуществляться при составлении производственной программы и, наконец, главная причина невозможности использования на практике данного предложения это то, что при планировании сбыта за отправную точку берут максимум возможного производства.
б) определение объемов выпускаемых услуг, согласно заказам потребителей;
в) оперативное реагирование на изменение покупательского спроса.
Контроль реализации маркетинговой программы и четкое выполнение всех ее направлений позволяет предприятию успешно продвигаться на рынках различных регионов Казахстана. Все это стало возможным благодаря использованию такой формы экономических отношений как кооперация, которая позволила выйти предприятию из тяжелого финансового состояния и наладить деловые отношения, как с прежними, так и с потенциальными партнерами.
Исходя из особенностей рынка услуг кабельного телевидения и восприятия товаров и услуг информационных технологий различными категориями потребителей фирма АО «Алма-ТВ» при выборе действенных каналов коммуникации использует теорию Алсопа. Вкратце она формулируется так: “Фактором, в действительности создающим или уничтожающим товар, услугу или имидж фирмы, является молва”. Молва всегда распространяется “от центра к краям” системы окружностей.
Астана
Рисунок 2 -Распространение информации.Поле, на котором располагается самая внешняя окружность, - это “территория”, соответствующая общему населению Астаны и Акмолинской области. Самая внешняя окружность соответствует общему числу пользователей. Следующая окружность соответствует кругу людей, являющихся продвинутыми пользователями - энтузиастами применения информационных технологий. Третья окружность описывает число людей - специалистов, которые знают, как пользоваться услугами АО «Алма-ТВ». Центральная окружность представляет людей-профессионалов, чья жизнь и зарплата зависят от компьютерной техники. В основном это сотрудники информационных отделов и управлений различных организаций. Эти люди настоящие эксперты, они знают рынок информационных технологий и почти мгновенно вырабатывают решение о любых товарах, услугах и фирмах, которые представлены на этом рынке.
Для того, чтобы быстро и эффективно распространить информацию о товаре, услуге или фирме, следует заронить ее в самый центр системы, а дальше она распространится сама собой - как круги по воде. Именно так поступает фирма АО «Алма-ТВ», проводя коммуникативную политику, направленную в первую очередь, на профессионалов, работающих на рынке информационных технологий. Для привлечения их внимания фирма использует следующие мероприятия:
организует выставки и презентации, где специалисты могут увидеть товар в действии, получить ответы на интересующие вопросы относительно его технических характеристик, ознакомиться с рекламными проспектами, завязать прямые контакты с представителями фирмы;
ведет семинарскую деятельность (в том числе участвует в семинарах сторонних организаций и фирм).
Однако, учитывая двухуровневую систему принятия решений о закупках в организациях, мало показать техническим специалистам достоинства предлагаемых товаров и услуг. Необходимо еще убедить руководителя предприятия-заказчика в надежности и компетентности фирмы-поставщика. А так как для руководителей предприятий основным критерием надежности часто является известность фирмы, то для достижения узнаваемости и создания благоприятного образа фирма АО «Алма-ТВ» проводит следующие мероприятия:
установка информационных и рекламных щитов в центре города;
размещение информационных и рекламных материалов в отраслевых периодических изданиях на корпоративной основе;
разработка фирменного стиля.
В целом, для продвижения своего товара – услуг кабельного телевидения, цифрового интернета, фирма АО «Алма-ТВ» использует канал личной коммуникации, считая его наиболее действенным и эффективным при работе с корпоративным заказчиком. При этом, она использует наиболее качественный подход, учитывающий и удовлетворяющий персональные потребности каждого отдельного потребителя.
Прежде чем предложить свои услуги той или иной организации, фирма АО «Алма-ТВ» собирает все необходимые сведения (наличие компьютерных сетей и их состояние, проблемы, возникающие при эксплуатации и возможности их устранения, финансовое состояние организации и так далее). Затем, если выявлены какие-либо недостатки, то разрабатывается проект модернизации сети, а также рассчитываются затраты на его реализацию. Только после этого опытный агент по продажам предлагает уже готовый проект компьютерной сети, разработанный непосредственно для данной фирмы. Такой подход позволяет фирме лучше понимать потребности своих клиентов и предоставлять наиболее значимые для них услуги.
Одной из таких услуг является предоставление фирмой сервисного и технического обслуживания европейского класса. Исследования рынка, проведенные IBM, показывают, что обслуживание - главное требование корпоративных заказчиков. Это требование выражается как в желании простейшего обслуживания, так и в уверенности, что предлагаемое оборудование способно “развиваться, чтобы удовлетворить будущие запросы”. Понимая это, фирма АО «Алма-ТВ» использует сервисное обслуживание в качестве средства для стимулирования сбыта.
За многолетний опыт работы в Астане и на территории области фирма приобрела много постоянных клиентов, коммуникация с которыми осуществляется посредством рассылки:
- информационных писем с предложениями о новых услугах;
- приглашений на выставки и семинары;
- прайс-листов с информацией об изменениях цен.
Как уже было отмечено, в силу значительной неравномерности в развитии информационных технологий в Астане и Акмолинской области, фирма АО «Алма-ТВ» на территории области применяет иные средства коммуникации, чем в Астане.
Исходя из того, что краевой потребитель в наибольшей степени склонен доверять местным авторитетам или “соседу”, то здесь проводится следующая коммуникативная политика. Из множества фирм, действующих на территории края, выбирается наиболее авторитетная и преуспевающая фирма. С ней ведутся активные экономические отношения, в результате чего данная фирма покупает компьютерную сеть, а фирма АО «Алма-ТВ» приобретает образ надежного партнера. Дальнейшее распространение информации о фирме по территории области произойдет само собой посредством молвы. Никакое иное средство распространение информации не даст большего результата, так как на периферии больше доверяют опыту соседа, чем рекламе.
3. РАЗРАБОТКА ПРЕДЛОЖЕНИЙ ПО ПОВЫШЕНИЮ ЭФФЕКТИВНОСТИ КОНТРОЛЯ МАРКЕТИГОВОЙ ДЕЯТЕЛЬНОСТИ НА АО «АЛМА-ТВ»
3.1 Основные направления повышения эффективности маркетинговой деятельности на АО «Алма-ТВ»
Среди общих недостатков в организации маркетинговой деятельности на АО «Алма-ТВ» можно назвать следующие:
отсутствие единого методологического подхода к маркетинговой концепции компании;
ориентацию руководства компании на устаревшие маркетинговые концепции «интенсификации коммерческих усилий» и «совершенствования производства»;
отсутствие целенаправленной деятельности в области управления маркетинговой деятельностью;
отсутствие ясных стратегических целей и планов компании и линейных подразделений;
недостаточная деятельность компании в области рекламы и стимулирования сбыта;
отсутствие налаженной системы «обратной» связи с покупателями товаров и услуг компании;
отсутствие единой политики в области развития и совершенствования товаров и услуг компании, а также представляющих их торговых марок.
С методологической точки зрения, причиной всех выше приведенных недостатков и упущений является недопонимание и игнорирование руководством компании роли и места маркетинга и маркетинг-менеджмента в управлении предприятием. Главным и решающим мероприятием по преодолению сложившейся ситуации должно быть формирование единой службы маркетинга, состоящей из специалистов–маркетологов достаточно высокой квалификации.
При подборе специалистов во вновь формируемую службу маркетинга, следует обратить достаточно большое внимание профессиональной подготовке и универсальности навыков новых сотрудников. Созданной службе маркетинга кроме чисто маркетинговых проблем придется решать вопросы, связанные с перераспределением функциональных обязанностей и структурных взаимоотношений внутри компании, вести разъяснительную работу среди сотрудников о роли и месте маркетинга в современной рыночной экономике.
Следует принять во внимание то факт, что создание единой службы маркетинга на предприятии, достаточно затратное и длительное мероприятие. Если политика руководства компании в этом направлении будет двойственной и непоследовательной, то директору по маркетингу компании придется не раз отстаивать целесообразность и необходимость тех или иных мероприятий. Наверняка, у большинства сотрудников компании доминирующим является стереотип о том, что об эффективности мероприятий можно судить только по их сиюминутной экономической эффективности, что косвенно подтверждается умеренной степенью готовности компании к реализации маркетинговой стратегии. Поэтому, необходимо настоятельно рекомендовать в качестве первых мероприятий, проводимых новой службой маркетинга, мероприятия по рекламе и стимулированию сбыта.
Приоритет, организация и грамотное проведение мероприятий по рекламе и стимулированию сбыта позволит компании существенно увеличить собственный валовый доход, а службе маркетинга – «оправдать» собственную необходимость и эффективность, и покрыть первичные расходы на собственное формирование и содержание.
Комплекс проблем в маркетинговой деятельности исследуемого предприятия следует решать комплексно и планомерно. Это говорит о том, что предлагаемые мероприятия должны следовать друг за другом в логической последовательности.
Для начала необходимо узнать существуют ли на предприятии условия для реализации маркетинговых преобразований. Иными словами необходимо сделать вывод о том, целесообразно вообще проводить какие-либо изменения маркетинговой деятельности исследуемого предприятия. Для этого оценим готовность предприятия к таким изменениям.
В настоящее время многие руководители компаний пытаются внедрить стратегическое управление в деятельность своих организаций, предполагающее организацию работы предприятия в соответствии с выбранной маркетинговой стратегией. Однако, прежде чем разрабатывать стратегию, на базе которой осуществляется стратегическое управление предприятием, необходимо оценить готовность предприятия именно к такому, стратегическому подходу в управлении.
Последние два года для рынка кабельного телевидения были очень значимы по количеству и содержательности произошедших на нем событий. Сюда пришли крупные частные инвестиции, чего нет в эфирном цифровом телевидении. Новые игроки готовы развивать рынок кабельного ТВ и располагают для этого необходимыми ресурсами. Усиление конкуренции привело к существенному росту абонентской базы - на 43% в Астане за первое полугодие 2006 года. Это же ожидается через 1-2 года и в регионах. По мнению экспертов, в ближайшее время продолжится сегментация рынка, он станет более структурированным, у операторов появится возможность более полного удовлетворения потребностей абонентов за счет использования новых технологий, расширения спектра предоставляемых услуг и повышения уровня сервисного обслуживания. Также усовершенствуется законодательная база, регламентирующая деятельность операторов платного телевидения, упростится процедура получения лицензий.
Операторы будут стремиться нарастить абонентскую базу, поэтому не стоит ожидать существенного увеличения тарифов. Увеличится разнообразие пакетов программ для различных целевых аудиторий и платежеспособных групп».
Наличие нескольких крупных операторов на рынке кабельного телевидения приведет к конкуренции между компаниями–операторами, от которой выиграет в первую очередь потребитель услуги, в борьбе за которого будет повышаться качество обслуживания и предоставляемого контента. Увеличение конкуренции в этом сегменте рынка потребителей ожидает снижение тарифов, рост числа ТВ программ и появление новых услуг.
Сегодня развитие кабельного ТВ пока ещё сдерживают такие факторы, как неготовность абонентов платить за контент, широкая доступность пиратского видеоконтента и дефицит легального русскоязычного качественного контента. И как полагают эксперты, при благоприятной экономической коньюктуре взрывной рост можно ожидать, если хотя бы частично решить проблему пиратства. В новых условиях самым дорогим и сложным будет обеспечение легальным и ликвидным контентом, а также взаимодействие кабельных компаний с многочисленными казахстанскими и зарубежными обществами по коллективному управлению авторскими и смежными правами.
Для управления дебиторской задолженностью на АО «Алма-ТВ» необходимо разработать соответствующий регламент управления дебиторской задолженностью, в котором обязательно должны быть указаны должностные лица, принимающие участие в данном процессе, а далее внедрить процедуру на предприятии. Управление дебиторской задолженностью должно включать в себя следующие обязательные процедуры [25, c.32]:
– учет расчетов с дебиторами;
– анализ и ранжирование дебиторской задолженности (по дате возникновения, по сумме, по менеджерам, ответственным за работу с данным дебитором, и др.);
– регулярную работу с текущей дебиторской задолженностью:
– претензионную работу с просроченной дебиторской задолженностью;
– процедуру взыскания просроченной дебиторской задолженности через суд.
Целесообразно установить на предприятии лимит на дебиторскую задолженность, при превышении которого должно прекращаться предоставление услуг дебитору.
Кроме того, необходимо вести систематически проверку платежной дисциплины и деловой репутации дебиторов предприятия и ежедневный мониторинг состояния дебиторской задолженности.
И как уже отмечалось, одним из наиболее действенных инструментов, позволяющих максимизировать поток денежных средств и снизить риск возникновения просроченной дебиторской задолженности, является система пеней и штрафов. Она применяется в случае нарушения сроков оплаты, установленных графиком погашения задолженности, и должна быть предусмотрена в договоре [29, c.58].
Следующим мероприятием должно стать сокращение объема денежных средств на сумму 20 000 тыс. тенге. Эти средства необходимо направить на частичное погашение кредиторской задолженности. При этом, объем наиболее ликвидных активов предприятия сократится и составит 65846–20000 = 45846 тыс. тенге. А объем кредиторской задолженности сократится на 20000 тыс. тенге. и составит 73591–20000 = 53591 тыс. тенге.
Далее необходимо реструктуризировать часть кредиторской задолженности в краткосрочные и долгосрочные займы и кредиты. А именно, часть кредиторской задолженности на сумму 30000 тыс. тенге следует перевести в краткосрочные займы и кредиты, а другую часть на сумму 8000 тыс. тенге перевести в долгосрочные займы и кредиты. В этом случае кредиторская задолженность сократится и составит 53591 -8000 – 30000= 15591 тыс. тенге. При этом краткосрочные займы и кредиты составят 30000 тыс. тенге, а долгосрочные займы и кредиты составят 0+8000 = 8000 тыс. тенге
В результате проведенных мероприятий составим прогнозный бухгалтерский баланс предприятия и представим его в таблице .
Таблица 4 - Прогнозный бухгалтерский баланс АО «Алма-ТВ» на 2009г.
|
Актив |
Код стр. |
2009 |
|
1 |
2 |
3 |
|
I. Долгосрочные активы: |
||
|
Первоначальная стоимость нематериальных активов: |
10 |
6933 |
|
товарные знаки и другие |
11 |
6933 |
|
гудвилл |
12 |
|
|
Амортизация нематериальных активов |
20 |
4460 |
|
Остаточная стоимость нематериальных активов: |
30 |
3473 |
|
товарные знаки и другие |
31 |
3473 |
|
гудвилл |
32 |
|
|
Первоначальная стоимость основных средств: |
40 |
512179 |
|
земля |
41 |
|
|
здания и сооружения |
42 |
333035 |
|
машины и оборудование |
43 |
|
|
транспортные средства |
44 |
128278 |
|
другие виды основных средств |
45 |
50866 |
|
Амортизация основных средств |
50 |
253759 |
|
Остаточная стоимость основных средств: |
60 |
258420 |
|
земля |
61 |
|
|
здания и сооружения |
62 |
153977 |
|
машины и оборудование |
63 |
|
|
транспортные средства |
64 |
84087 |
|
другие виды основных средств |
65 |
20356 |
|
Незавершенное капитальное строительство |
70 |
|
|
Инвестиции |
80 |
|
|
Долгосрочная дебиторская задолженность |
90 |
|
|
Расходы будущих периодов |
100 |
2276 |
|
Итого по разделу I: |
110 |
264169 |
|
II. Текущие активы |
||
|
Товарно-материальные запасы: |
110 |
299397 |
|
материалы |
111 |
240436 |
|
незавершенное производство |
112 |
|
|
товары |
113 |
58961 |
|
Расходы будущих периодов |
120 |
1326 |
|
Дебиторская задолженность: |
130 |
З09480-154740=154740 |
|
счета к получению |
131 |
270439 |
|
векселя полученные |
132 |
|
|
задолженность работников и др. ли |
134 |
6203 |
|
прочая дебиторская задолженность |
135 |
32838 |
|
Краткосрочные финансовые вложения |
140 |
|
|
Денежные средства |
150 |
65846–20000=45846 |
|
Итого по разделу II: |
160 |
501309 |
|
БАЛАНС |
170 |
765478 |
|
Собственный капитал и обязательства |
||
|
III. Собственный капитал: |
||
|
Уставной капитал |
180 |
100000 |
|
Неоплаченный капитал |
190 |
446828 |
|
Изъятый капитал |
200 |
|
|
Дополнительный оплаченный капитал |
210 |
|
|
Сумма переоценки (доп. неоплаченный капитал) |
220 |
8778 |
|
Резервный капитал |
230 |
|
|
Нераспределенный доход (непокрытый убыток) |
240 |
72211 |
|
Итого по разделу III: |
250 |
627817 |
|
IV. Долгосрочные обязательства: |
||
|
Кредиты, в том числе: |
260 |
0+8000=8000 |
|
обеспеченные кредиты |
261 |
+30000 |
|
необеспеченные кредиты |
262 |
|
|
Итого по разделу IV: |
270 |
38000 |
|
V. Текущие обязательства: |
||
|
Краткосрочные кредиты и овердрафт |
280 |
84070 |
|
Кредиторская задолженность: |
290 |
228331-154740–20000–30000–8000=15591 |
|
счета и векселя к оплате |
291 |
|
|
авансы полученные |
292 |
145828 |
|
задолженность по налогам |
293 |
34539 |
|
дивиденды к выплате |
294 |
|
|
прочая кредиторская задолженность |
295 |
23206 |
|
начисленные расходы к оплате |
296 |
24758 |
|
Доходы будущих периодов |
300 |
|
|
Итого по разделу V: |
310 |
99661 |
|
БАЛАНС |
320 |
765478 |
Кроме перечисленных мероприятий по оптимизации структуры баланса, АО «Алма-ТВ» для поддержания своей платежеспособности должна добиться сбалансированности денежных потоков, поскольку и дефицит, также как и избыток денежных ресурсов отрицательно влияет на результаты хозяйственной деятельности. Так, при дефицитном денежном потоке снижается ликвидность и уровень платежеспособности предприятия, что приводит к росту просроченной задолженности предприятия по кредитам банку, поставщикам, персоналу по оплате труда. А при избыточном денежном потоке происходит потеря реальной стоимости временно свободных денежных средств в результате инфляции, замедляется оборачиваемость капитала по причине простоя денежных средств, теряется часть потенциального дохода в связи с упущенной выгодой от прибыльного размещения денежных средств в операционном или инвестиционном процессе.
3.2 Оценка эффективности предложенных мер
В предыдущем параграфе нами были предложены мероприятия по совершенствованию управления платежеспособностью и кредитоспособностью предприятия АО «Алма-ТВ». Теперь необходимо оценить эффективность предложенных мероприятий.
По данным прогнозного бухгалтерского баланса рассчитаем основные коэффициенты платежеспособности и кредитоспособности АО «Алма-ТВ».
1) Коэффициент абсолютной ликвидности.
К а.л = отношение суммы денежных средств и краткосрочных финансовых вложений к сумме краткосрочных и срочных обязательств
К а.л.2008=65846/228331+84070=0,21
К а.л.прогнозный (на 2009) = 45846/15591+84070=0,46
2) Коэффициент промежуточной (быстрой) ликвидности, определяется как отношение суммы денежных средств, финансовых вложений и дебиторской задолженности к краткосрочным и срочным обязательствам
К п.л.2008= 65846+309480/228331+84070=1,20
К п.л. прогнозный(на 2009) = 45846+154740/15591+84070=2,01
3) Коэффициент текущей ликвидности (покрытия).
Ктл = Оборотные активы / Краткосрочные обязательства
К т.л. (на 2009) =65846+368441+240436/228331+84070=2,16
К т.л. прогнозный = 501309/99661=5,03
4) Степень платежеспособности (задолженности) по текущим обязательствам = Краткосрочные обязательства / Среднемесячная выручка
Ст.пл. т.о (на 2008) = 312401/(1709260:12)=2,19
Ст.пл. т.о прогнозная (на 2009)= 99661/(1709260:12)=0,69
5) Коэффициент покрытия долгов собственными средствами (или коэффициент соотношения собственных и заемных средств (К4)) = Собственный капитал/ (Заемный капитал – доходы будущих периодов – резервы предстоящих расходов)
К покрытия долгов (на 2008) = (627817-264169)/676049=0,53
К покрытия долгов> >прогнозный (на 2009) = (627817-264169)/501309=0,72
6) Коэффициент соотношения дебиторской и кредиторской задолженности = Дебиторская задолженность / Кредиторская задолженность
К соотн. деб. кред. зад-ти (на 2008) = 309480/228331=1,35
К соотн. деб. кред. зад-ти прогнозный (на 2009) = 154740/15591=9,9
7) Оборачиваемость оборотных активов = Выручка / Оборотные активы (20)
К об. ОА (на 2008) = 1709260/676049=2,52
К об. ОА прогнозный (на 2009) = 1709260/ 501309=3,40
Полученные результаты занесем в сводную таблицу 5.
Таблица 5 - Некоторые показатели, характеризующие ликвидность и платежеспособность АО «Алма-ТВ» после оптимизации его имущественного комплекса
|
Показатель |
Рац. значения |
2008 |
Прогнозные 2009 |
Изменение |
|
1 |
2 |
4 |
3 |
5 |
|
Коэффициент абсолютной ликвидности |
0,2÷0,5 |
0,21 |
0,46 |
+0,25 |
|
Коэффициент промежуточной(быстрой) ликвидности |
0,8–1 |
1,20 |
2,01 |
+0,81 |
|
Коэффициент текущей ликвидности (общий коэффициент покрытия) |
1,5÷2 |
2,16 |
5,03 |
+2,87 |
|
Степень платежеспособности (задолженности) по текущим обязательствам |
≤ 3 мес. |
2,19 |
0,69 |
-1,5 |
|
Коэффициент покрытия долгов собственным капиталом |
≥ 1. |
0,53 |
0,72 |
+0,19 |
|
Коэффициент соотношения дебиторской и кредиторской задолженности |
≥1 |
1,35 |
9,9 |
+8,55 |
|
Оборачиваемость оборотных активов, в оборотах |
- |
2,52 |
3,40 |
+0,88 |
Вывод: проведенные мероприятия по сокращению наиболее ликвидных активов, дебиторской и кредиторской задолженности приведут к следующим положительным изменениям: 1) к повышению значений коэффициентов абсолютной, промежуточной и текущей ликвидности, коэффициент покрытия долгов и приведению их величин к более рациональным значениям. Наличие перечисленных видов ликвидности позволит предприятию поддерживать на должном уровне свою платежеспособность как на ближайший отрезок времени, так и на отдаленный период; 2) сроки возможного погашения обязательств сократятся до 2-х месяцев, что позволит отнести данное предприятие к классу платежеспособных предприятий; 3) соотношение дебиторской и кредиторской задолженности примет рациональное значение, где дебиторская задолженность превышает кредиторскую задолженность; 4) сокращение дебиторской задолженности приведет к увеличению оборачиваемости оборотных активов.
Таким образом, расчетные данные показывают, что сокращение уровня дебиторской и кредиторской задолженности, позволит повысить платежеспособность и кредитоспособность предприятия АО «Алма-ТВ».
ЗАКЛЮЧЕНИЕ
Основная цель маркетинговой службы предприятия - достижение максимально высокого уровня удовлетворения потребностей покупателей-потребителей товарами и услугами, производимыми и реализуемыми на рынках в соответствии с их платежеспособным спросом.
Маркетинг занимает особое место в управлении деятельностью фирм, он включает в себя следующие основные функции:
1. ориентация деятельности на удовлетворение существующих и потенциально возможных потребностей в рамках платежеспособного спроса покупателей.
2. формирование и стимулирование спроса на товары и услуги, предлагаемые на рынках производителями-продавцами покупателям-потребителям.
Большинство фирм учитывает качество услуг только по оформлению и цене продукции, не уделяется внимание рекламной поддержке и стимулированию сбыта. Зато следует отметить достаточно высокий уровень кредитования поставок и высокую надежность поставок продукции.
Анализируя полученную информацию, следует отметить, что у фирм, не являющихся мелкими оптовиками, присутствуют широкий ассортимент продукции и достаточное количество продаваемой продукции.
Как следует из представленных иллюстраций, все фирмы, участвующие в исследовании, являются конкурентами, нет явного лидера на рынке, что усложняет деятельность фирм, так как имеется неопределенность при принятии стратегических решений, касающихся деятельности фирм на рынке кабельного телевидения.
С учетом растущего спроса на высококачественные услуги в области кабельного телевидения и растущую в будущем конкуренцию между фирмами за право увеличения доли на рынке и увеличения прибыли можно рекомендовать АО «Алма-ТВ» усиление рекламной поддержки и введение системы стимулирования сбыта.
Для того чтобы точнее выявить силу конкурентов и обнаружить свои сравнительные преимущества, необходимо получить данные о других аспектах деятельности конкурентов: финансовом положении, целях на конкретном рынке, особенностях управления.
Необходимо знать, имеется ли у конкурентов особая стратегия в области рекламы и в чем она выражается, на какие организации ориентируются конкуренты при реализации продукции, в какие сферы хозяйственной деятельности они планируют внедриться в будущем, какие виды дополнительных услуг или привилегий предлагают потребителям, постоянным клиентам и т.д.
АО «Алма-ТВ» необходимо иметь информационную базу о потребностях в услугах и наличии их в определенном регионе, контролировать и управлять новыми услугами, иметь информацию о конкурентах и постоянно отслеживать и учитывать ее при принятии различных управленческих решений, контролировать реализацию услуг и анализировать недостатки, принимать оперативно решения по устранению недостатков.
Уделять большое внимание вопросам обучения кадров, так как этот момент является принципиальным в достижении успеха фирмы.
С методологической точки зрения, причиной всех выше приведенных недостатков и упущений является недопонимание и игнорирование руководством компании роли и места маркетинга и маркетинг-менеджмента в управлении предприятием. Главным и решающим мероприятием по преодолению сложившейся ситуации должно быть формирование единой службы маркетинга, состоящей из специалистов–маркетологов достаточно высокой квалификации.
СПИСОК ИСПОЛЬЗОВАННЫХ ИСТОЧНИКОВ
Ричард Отт. Создавая спрос. Эффективные советы и рекомендации по маркетингу ваших товаров и услуг/Перевод с англ. - М.: Информационно-издательский дом «Филинъ», 1997.-320с.
Березин И.С. Маркетинг и исследования рынков. - М.: Русская Деловая Литература, 1999.-416с.
Котлер Ф., Армстронг Г., Сондерс Д., Вонг В. Основы маркетинга: Пер. с англ.-2-е европ.изд.-К.;М.;СПб.: Издат.дом. «Вильямс», 1998.-105с.
Амблер Т. Практический маркетинг/Пер. с англ. Под общей ред. Ю.Н.Каптуревского.-СПб: Издательство «Питер», 1999.-400с.
Котлер Ф. Маркетинг менеджмент - СПб: Питер Ком, 1998.-896.
Ассэль Гэнри. Маркетинг: принципы и стратегии: Учебник для вузов.-М.: ИНФРА-М, 1999.-804с.
Багиев Г.Л., Тарасевич В.М.,Анн Х. Маркетинг: Учебник для вузов; Под общей ред.Багиева Г.Л.-М.: Издательство «Экономика», 1999.-703с.
Грузинов В.П. Схема маркетинговой деятельности. - М.: «Инфра – М», 1998.-305с.
Хруцкий В.Е., Корнеева И.В. Современный маркетинг: настольная книга по исследованию рынка: Учеб.пособие. – 2-е изд., перераб. и доп. - М.: Финансы и статистика.-528с.
Абчук В.А. Азбука маркетинга - СПб: Изд – во «Союз», 1998.-270с.
Харрис Г., Харрис Г.Дж. Как заставить говорить о вашем деле: 101 простой и недорогой способ продвинуть свой бизнес: Пер. с англ.-М.: Финансы и статистика, 1999.-144с.
ПРИЛОЖЕНИЕ 1
Договор
на предоставление услуг связи для целей кабельного вещания.
г. Астана «_____»_______________200 г.
Акционерное общество «Алма-ТВ», именуемое далее по тексту «ОПЕРАТОР СВЯЗИ», в лице директора, действующего на основании Устава, с одной стороны и с другой стороны
_________________________________________________________________________________________________________________________________________________________________________,
(ФИО абонента)
именуемый в дальнейшем «АБОНЕНТ», заключили настоящий договор о нижеследующем:
1. ПРЕДМЕТ ДОГОВОРА
1.1. «ОПЕРАТОР СВЯЗИ» предоставляет «АБОНЕНТУ» за абонентскую плату, установленную договором, следующие услуги.
1. Доступ к сети связи кабельного телевидения через абонентскую линию.
2. Доставка сигнала телевизионных и звуковых программ до пользовательского (оконечного) оборудования «АБОНЕНТА».
Порядок и условия внесения «АБОНЕНТОМ» абонентской платы за услуги определяются настоящим договором. «ОПЕРАТОР СВЯЗИ» вправе оказывать иные услуги, технологически неразрывно связанные с услугами связи и направленные на повышение их потребительской ценности. За услуги, не предусмотренные договором, взимается дополнительная плата, определенная «ОПЕРАТОРОМ СВЯЗИ».
1.2. «АБОНЕНТ» обязуется использовать оказываемые «ОПЕРАТОРОМ СВЯЗИ» услуги исключительно для личных, семейных, домашних и иных нужд, не связанных с осуществлением предпринимательской деятельности.
1.3. Качество оказываемых «ОПЕРАТОРОМ СВЯЗИ» услуг должно соответствовать ГОСТ Р52023 – 2003 «Сети распределительные систем кабельного телевидения».
1.4. Услуги по подключению пользовательского (оконечного) оборудования оказываются сотрудниками «ОПЕРАТОРА СВЯЗИ» в течение трех дней после заключения настоящего договора и оплаты за подключение
по месту жительства «АБОНЕНТА» по адресу:________________________________________________________. Размещение пользовательского (оконечного) оборудования по месту жительства «АБОНЕНТА» определяется им самостоятельно. Плата за подключение взимается однократно и определяется «ОПЕРАТОРОМ СВЯЗИ» по прейскуранту цен. Оплата услуг за подключение производится в течение трех дней после подписания договора.
1.5. Оборудование «ОПЕРАТОРА СВЯЗИ» размещается в подъезде, в т.ч. в щитах «Слабые токи», в чердачных и подвальных помещениях, технических этажах, на крышах домов с целью оказания услуг кабельного телевидения.
Доступ к месту установки и обслуживания оборудования обеспечивает «АБОНЕНТ» с соблюдением прав третьих лиц на использование общего имущества.
1.6. Настоящий договор дает право «АБОНЕНТУ» принимать участие во всех лотереях, розыгрышах и иных аналогичных мероприятиях, которые проводит «ОПЕРАТОР СВЯЗИ» на объявленных им условиях.
1.7. Договор, заключаемый между «АБОНЕНТОМ» и «ОПЕРАТОРОМ СВЯЗИ», является публичным.
2. ОСНОВНЫЕ ТЕРМИНЫ И ПОНЯТИЯ
· Кабельное телевидение (КТВ) – все распределительные сети и системы кабельного телевидения, участки магистральных оптических и телевизионных кабельных сетей, усилители и оптические узлы, входящие в состав «КТВ» в соответствии с проектом и построенные за счет средств «ОПЕРАТОРА СВЯЗИ».
· «Абонентская линия» – линия связи, соединяющая средства связи сети связи для распространения телевизионных и звуковых программ через абонентскую распределительную систему с пользовательским (оконечным) оборудованием.
· «Абонент» - пользователь услугами связи для целей кабельного вещания, с которым заключен договор об оказании услуг связи для целей кабельного вещания (далее - договор) с выделением для этого уникального кода идентификации.
· «Абонентская распределительная система» – совокупность физических цепей и технических средств, расположенных в помещении «АБОНЕНТА», через которые пользовательское (оконечное) оборудование подключается к средствам связи «ОПЕРАТОРА СВЯЗИ».
· «Пользовательское (оконечное) оборудование» - технические средства, предназначенные для приема, обработки и воспроизведения сигналов телевизионных и звуковых программ.
· «Предоставление «АБОНЕНТУ» доступа к сети связи телерадиовещания» - совокупность действий «ОПЕРАТОРА СВЯЗИ», оказывающего услуги связи для целей кабельного телевидения, по формированию абонентской линии и подключению с ее помощью пользовательского (оконечного) оборудования к средствам связи сети связи телерадиовещания.
· «Вещатель» - пользователь услугами связи для целей телерадиовещания, с которым заключен договор и который составляет телепрограммы и радиопрограммы (далее - телерадиопрограммы) для их приема неопределенным кругом лиц и на основании лицензии на вещание распространяет их либо обеспечивает их распространение в полной и неизменной форме третьим лицом.
· ТУ КТВ – «Технические условия на подключение к сети кабельного телевидения».
· РУ – распределительное устройство.
3. ОБЯЗАННОСТИ СТОРОН
3.1. «ОПЕРАТОР СВЯЗИ» обязан:
3.1.1. Оказывать «АБОНЕНТУ» услуги связи для целей кабельного вещания в соответствии с законодательными и иными нормативными правовыми актами Российской Федерации по оказанию услуг для целей телевизионного вещания и (или радиовещания), лицензией и настоящим договором.
3.1.2. Оказывать «АБОНЕНТУ» при его обращении услуги по устранению неисправностей абонентской распределительной системы, препятствующих пользованию услугами связи для целей кабельного вещания (с учетом возможности доступа сотрудников «ОПЕРАТОРА СВЯЗИ» в помещение «АБОНЕНТА»), по вине «АБОНЕНТА» или третьих лиц, за дополнительную плату и технологически обоснованные сроки.
3.1.3. По зарегистрированной заявке «АБОНЕНТА» в течение 48 часов, без учета дня регистрации заявки, устранить все неполадки в работе «КТВ», возникшие по вине «ОПЕРАТОРА СВЯЗИ» и препятствующие качественному приему «АБОНЕНТОМ» телевизионных программ, передаваемых по «КТВ». Действие настоящего пункта не распространяется на технологические перерывы, предусмотренные п. 3.1.7. настоящего договора.
3.1.4. Организовать пункты по оказанию услуг кабельного телевидения по адресам: пр.Абая 27 для заключения договоров между «ОПЕРАТОРОМ СВЯЗИ» и «АБОНЕНТОМ», ознакомлению с «Правилами по оказанию услуг связи для целей телевизионного вещания и (или) радиовещания», а также заключить договоры по приему оплаты услуг для целей кабельного вещания с отделениями почтовой связи, коммерческими банками РК.
3.1.5. Назначить по согласованию с «АБОНЕНТОМ» новый срок оказания услуг связи для целей кабельного вещания, если несоблюдение сроков было обусловлено обстоятельствами непреодолимой силы.
3.1.6. Доставлять до пользовательского (оконечного) оборудования сигнал телерадиопрограмм, соответствующий технологическим параметрам, установленными в договоре между «ОПЕРАТОРОМ СВЯЗИ» и «ВЕЩАТЕЛЕМ».
3.1.7. Для проведения профилактических (регламентных) работ в сети связи для целей кабельного вещания допускаются технологические перерывы в виде полного или частичного прерывания доставки сигнала телерадиопрограмм (не чаще 1 раза в месяц в рабочие дни и не более чем на 8 часов).
3.2. «АБОНЕНТ» обязан:
3.2.1. Оплачивать услуги «ОПЕРАТОРА СВЯЗИ» (абонентскую плату) в соответствии с действующими тарифами «ОПЕРАТОРА СВЯЗИ» до 10 числа текущего месяца за прошедший месяц.
3.2.2. Не подключать к абонентской распределительной системе пользовательское (оконечное) оборудование, которое не соответствует требованиям, установленным законодательством РФ, или пользовательское (оконечное) оборудование третьих лиц.
3.2.3. Содержать в исправном состоянии абонентскую распределительную систему и пользовательское (оконечное) оборудование, находящиеся в помещении «АБОНЕНТА».
3.2.4. Сообщать письменно в течение 60 дней о смене места жительства или о смене владельца помещения.
3.2.5. Предоставлять свободный доступ к оборудованию «ОПЕРАТОРА СВЯЗИ» и своей абонентской распределительной системы.
4. ПРАВА СТОРОН
4.1. «ОПЕРАТОР СВЯЗИ» имеет право:
4.1.1. В одностороннем порядке изменить количество и перечень программ, предоставляемых «АБОНЕНТУ» в соответствующем пакете телевизионных программ, заблаговременно, не позже чем за 10 (десять) дней уведомив «АБОНЕНТА» о таком изменении путем размещения соответствующей информации на сайте www.almatv.kz или в других формах по усмотрению «ОПЕРАТОРА СВЯЗИ».
4.1.2. В случае нарушения «АБОНЕНТОМ» требований, связанных с оказанием услуг связи для целей кабельного вещания, установленных Федеральным законом «О связи», Правилами и настоящим договором, в том числе нарушения сроков оплаты оказанных услуг связи для целей кабельного вещания, «ОПЕРАТОР СВЯЗИ» вправе приостановить оказание услуг связи для целей кабельного вещания до устранения нарушения, уведомив об этом «АБОНЕНТА».
В случае неустранения такого нарушения по истечении 6 месяцев с даты получения «АБОНЕНТОМ» от «ОПЕРАТОРА СВЯЗИ» уведомления в письменной форме о намерении приостановить оказание услуг связи для целей кабельного вещания, «ОПЕРАТОР СВЯЗИ» в одностороннем порядке вправе расторгнуть договор. При этом отключение от сети «КТВ» предусматривает последующее подключение к системе коллективного приема телевидения (СКПТ).
4.1.3. Производить настройку ТВ программ в порядке, определенном «АБОНЕНТОМ», устранять неисправность абонентской распределительной системы, иные неисправности, возникшие по вине «АБОНЕНТА» или третьих лиц, за дополнительную плату в соответствии с действующим на момент обращения «АБОНЕНТА» прейскурантом «ОПЕРАТОРА СВЯЗИ».
4.1.4. Не принимать заявки о снижении качества изображения при несоответствии абонентской распределительной системы требованиям «ТУ КТВ».
4.1.5. В случае повреждения магистральных сетей «КТВ» установить срок устранения неисправностей до 14 (четырнадцати) дней.
4.2. «АБОНЕНТ» имеет право:
4.2.1. На получение информации о порядке и условиях пользования «КТВ» и о перечне транслируемых программ.
4.2.2. Производить сверку своих платежей в бухгалтерии «ОПЕРАТОРА СВЯЗИ».
4.2.3. Пополнять лицевой счет в порядке предоплаты. В случае изменения тарифов «ОПЕРАТОРОМ СВЯЗИ» производится перерасчет предоплаты по новым тарифам с момента их изменения.
4.2.4. На новое подключение, в случае перемены своего места жительства и при условии отключения «АБОНЕНТА» от сети «КТВ» по старому адресу. В этом случае подключение производится без оплаты, плата взимается за переоформление договора, согласно прейскуранту «ОПЕРАТОРА СВЯЗИ» и после погашении задолженности по оплате за услуги.
4.2.5. Расторгнуть настоящий договор, оформив за две недели заявление на расторжение договора в офисе «ОПЕРАТОРА СВЯЗИ» по адресу: г. Астана, пр.Абая 27 или в приемных пунктах по оказанию услуг, оплатив время пользования услугой «ОПЕРАТОРА СВЯЗИ».
5. УСЛОВИЯ ОПЛАТЫ И ПОРЯДОК РАСЧЕТОВ
5.1. Оплата услуг «ОПЕРАТОРА СВЯЗИ» производится «АБОНЕНТОМ» по прейскуранту, устанавливаемому «ОПЕРАТОРОМ СВЯЗИ». Стоимость услуг может быть изменена «ОПЕРАТОРОМ СВЯЗИ» в одностороннем порядке.
5.2 «АБОНЕНТ» производит оплату услуг «ОПЕРАТОРА СВЯЗИ» ежемесячно, в размере не менее суммы месячной абонентской платы, установленной прейскурантом «ОПЕРАТОРА СВЯЗИ», но не позднее 10 числа с даты окончания расчетного периода. Расчетный период за оказанные услуги составляет 1 (один) месяц.
5.3 Оплата за услуги «ОПЕРАТОРА СВЯЗИ» осуществляется в российских рублях. В платежном документе «АБОНЕНТ» обязан указать фамилию и инициалы, адрес, номер договора, по которому произведено подключение.
5.4 Стоимость подключения к сети, а также размер абонентской платы устанавливаются «ОПЕРАТОРОМ СВЯЗИ» в соответствии с прейскурантом цен, действующим на момент подписания настоящего договора.
5.5 «АБОНЕНТ» извещается через средства массовой информации, размещение на сайте: www.almatv.kz и в местах работы с абонентами об изменении тарифов на услуги связи для целей кабельного телевидения не менее чем за 10 дней до введения новых тарифов.
5.6. Первоначальный платеж вносится «АБОНЕНТОМ» при подписании настоящего договора. Абонентская плата за пользование «КТВ» начисляется с момента его подключения.
6. ПОРЯДОК ПОДКЛЮЧЕНИЯ К «КТВ»
6.1. Заявка на подключение подлежит регистрации и рассмотрению в 30-дневный срок на предмет наличия технической возможности. После проверки технической возможности происходит заключение договора и подключение в сроки, указанные в договоре, за плату, согласно прейскуранту «ОПЕРАТОРА СВЯЗИ».
6.2. К одному выходу РУ распределительной сети «КТВ» может быть подключено не более одного телевизионного кабеля. Граница ответственности между «ОПЕРАТОРОМ СВЯЗИ» и «АБОНЕНТОМ» устанавливается в точке подключения абонентской линии к РУ сети «КТВ».
6.3. Подключение двух или более телевизионных приемников «АБОНЕНТА» к «КТВ» осуществляется «ОПЕРАТОРОМ СВЯЗИ», согласно «ТУ КТВ» и по тарифам «ОПЕРАТОРА СВЯЗИ».
6.4. После подключения «АБОНЕНТА» сотрудники «ОПЕРАТОРА СВЯЗИ» осуществляют настройку телеприемника «АБОНЕНТА» в автоматическом режиме.
6.5. В случае расторжения договора плата за подключение «АБОНЕНТА» не возвращается.
6.6. Телевизионный приемник «АБОНЕНТА» должен соответствовать условиям, необходимым для потребления услуг «ОПЕРАТОРА СВЯЗИ»; в том числе в руководстве по эксплуатации телевизионного приемника должно быть указано количество каналов (не менее 100), в противном случае прием всех каналов «КТВ» может быть невозможен из-за технических параметров телевизионного приемника, за которые «ОПЕРАТОР СВЯЗИ» ответственности не несет.
7. ОТВЕТСТВЕННОСТЬ СТОРОН
7.1. Обе стороны несут ответственность за неисполнение или ненадлежащее исполнение своих обязательств по настоящему договору в соответствии с действующим законодательством. В случае если в срок, указанный в п. 6.1. настоящего договора, «ОПЕРАТОР СВЯЗИ» не осуществит подключение «АБОНЕНТА» к «КТВ» по причинам, не зависящим от «ОПЕРАТОРА СВЯЗИ», в том числе при отсутствии технической возможности и неполучении необходимых согласований, «АБОНЕНТ» вправе требовать возврата внесенной платы за подключение и расторжения договора. В этом случае «АБОНЕНТ» не вправе требовать возмещения каких-либо убытков.
7.2. Стороны освобождаются от ответственности в случае возникновения форс-мажорных обстоятельств. Сторона, у которой возникли такие обстоятельства, должна в разумные сроки и доступным способом оповестить о таких обстоятельствах другую сторону.
7.3. В случае нарушения «АБОНЕНТОМ» требований, установленных настоящим договором, в том числе нарушения п.5.2., «ОПЕРАТОР СВЯЗИ» вправе приостановить оказание услуг и расторгнуть договор в порядке, предусмотренном настоящим договором. Заключение договора и подключение «АБОНЕНТА» вновь осуществляется в установленном порядке.
7.4. Претензии по исполнению настоящего договора предъявляются в письменной форме в течение 6 месяцев со дня оказания услуг связи для целей кабельного вещания или со дня отказа от их оказания. Претензия рассматривается «ОПЕРАТОРОМ СВЯЗИ» в срок не более 60 дней с даты регистрации претензии. О результатах рассмотрения претензии «ОПЕРАТОР СВЯЗИ» должен сообщить в письменной форме предъявившему ее «АБОНЕНТУ».
7.5. «ОПЕРАТОР СВЯЗИ» не несет ответственности:
7.5.1. За качество сигнала в случаях:
- срывов трансляции по вине производителя программ, спутникового или эфирного операторов;
- использования «АБОНЕНТОМ» неисправных или не сертифицированных кабеля, РУ и телевизионных приемников или подключенных к абонентской линии иных приборов;
- самовольного подключения дополнительных устройств и телевизионных приемников;
- некачественной или неправильной настройки телевизионных приемников самим «АБОНЕНТОМ»;
- использования «АБОНЕНТОМ» коаксиального кабеля, не соответствующего требованиям «ОПЕРАТОРА СВЯЗИ», установленных в «ТУ КТВ»;
- использования «АБОНЕНТОМ» коаксиального кабеля, имеющего внешние или внутренние повреждения;
- неправильной прокладки самим «АБОНЕНТОМ» коаксиального кабеля распределительной абонентской системы;
- подключения к одной абонентской линии «АБОНЕНТА» более двух телевизионных приёмников.
7.5.2. За количество телевизионных программ, если «Вещатель», обладающий правами на трансляцию программы и обеспечивающий ее трансляцию в эфир, прекратил свою деятельность или осуществляет это с нарушением технических норм, норм и правил, установленных действующим законодательством;
- обрыва (замыкания) абонентского отвода в абонентской распределительной системе или иных неисправностей, возникших по вине «АБОНЕНТА» или третьих лиц.
7.5.3. За содержание телерадиопрограмм, распространяемых по сети «КТВ» другими операторами.
8. ЗАКЛЮЧИТЕЛЬНЫЕ ПОЛОЖЕНИЯ ДОГОВОРА
8.1. Настоящий договор вступает в силу с момента подписания его обеими сторонами.
8.2. Настоящий договор заключается на неопределенный срок.
8.3. Настоящий договор составлен в двух экземплярах, имеющих одинаковую юридическую силу, по одному для каждой из сторон.
8.4. Настоящий договор может быть изменен «ОПЕРАТОРОМ СВЯЗИ» в одностороннем порядке, уведомив об этом «АБОНЕНТА» путем размещения соответствующей информации на сайте www.almatv.kz или в других формах по усмотрению «ОПЕРАТОРА СВЯЗИ», но не позднее, чем за 30 (тридцать) дней.
8.5. Все споры между сторонами, возникшие в процессе исполнения условий настоящего договора, будут разрешаться, по возможности, путем переговоров. При неразрешении их таким путем споры передаются в суд по месту нахождения «ОПЕРАТОРА СВЯЗИ».
8.6. В случае смены адресов пунктов приема платежей либо открытия новых пунктов, «ОПЕРАТОР СВЯЗИ» уведомляет об этом «АБОНЕНТА» путем размещения соответствующей информации на сайте www.almatv.kz или в других формах по усмотрению «ОПЕРАТОРА СВЯЗИ».
8.7. Стороны признают равную юридическую силу собственноручной подписи и факсимиле подписи (воспроизведенное механическим способом с использованием клише) в договоре на дополнительных соглашениях к настоящему договору, а также на иных документах, связанных с его исполнением, заключением или прекращением.
9. РЕКВИЗИТЫ СТОРОН
_________________________________________________________________________________________________________________________________________________________________________________________________
1