Концепции логистики. Логистический сервис
Концепция логистики
Концепция – система взглядов на то или иное понимание явлений, процессов.
Изучение и применение логистики базируется на понимании основной идей логистического подхода. Деятельностью по управлению материальными потоками, так же как производственная, торговая и другие виды хозяйственной деятельности, осуществлялась человеком, начиная с самых ранних периодов его экономического развития. Новизна логистики заключается в смене приоритетов между различными видами хозяйственной деятельности в пользу усиления значимости деятельности по управлению материальными потоками. Лишь сравнительно недавно человечество осознало, каким потенциалом повышения эффективности обладает рационализация потоковых процессов в экономике.1
Система взглядов на совершенствование хозяйственной деятельности путем рационализации управления материальными потоками – концепция логистики. Ее основные положения:
1. Системное построение логистики предприятия на основе методологии общей кибернетической теории систем с фиксацией основных моментов системного подхода: цели создания системы логистики; обоснованного выбора ее элементов и структуры, направленных на достижение поставленной цели; функционирования этой системы, ее взаимодействия с внешней средой; анализа результатов деятельности и сравнения их с поставленной целью.
2. Главное в процедуре организации материального потока – это учет потребностей рынка. Нет необходимости организовывать материальный поток, затрачивая на него ресурсы и усилия, если нет полной уверенности в том, что эти товары будут пользоваться спросом на рынке, найдут сбыт, своего потребителя. Для того чтобы убедиться в этом, предварительно на этапе планирования и организации материального потока исследуют потребности рынка. Кроме этого, проводят расчеты возможных объемов продажи товара, чтобы убедиться, что окупятся затраты на производство этого товара, и можно получить прибыль, достижение которой является основной целью логистической системы.
3. Приоритет распределения товаров над их производством, т.е. считается, что важнее спланировать и предусмотреть распределение и сбыт товаров, чем их произвести. На первый взгляд это кажется некоторым парадоксом. Однако на самом деле ненужные товары, которые не отвечают по каким-нибудь параметрам рынка, не найдут своего потребителя или на рынке будут проданы по заниженной цене, что может привести к убыткам. На их производство будут потрачены некоторые ресурсы, которые не окупятся, что не позволит начать новый логистический цикл без дополнительных затрат.
4. Необходимость установления оптимального уровня обслуживания клиентов (под клиентом понимается какой-либо потребитель товаров, работ, услуг, предложенных предприятием на рынке). На первый взгляд кажется, что согласно второму принципу логистики, чем выше уровень обслуживания, тем лучше, так как при этом в полной мере удовлетворяются потребности клиентов. Однако, чем выше уровень обслуживания, тем выше расходы на производство и доставку товаров потребителю, и, следовательно, выше цена товаров. Поэтому следует выбирать обоснованное компромиссное решение по уровню обслуживания: он должен быть не очень низким (чтобы не потерять клиентов) и не слишком высоким (чтобы расходы не были чрезмерными).
5. Анализ логистической цепочки необходимо вести с конца процесса, т.е. от пункта прибытия или назначения материального потока в направлении, обратном материальному потоку. Также и каждая логистическая операция в цепочке должна проектироваться так, чтобы наилучше соответствовать потребностям и условиям следующих операций (в направлении материального потока).
6. При усовершенствовании или проектировании какого-либо отдельного звена логистической цепочки следует рассматривать не изолированно это звено, а всю логистическую цепочку и проанализировать, как изменения в одном звене логистической цепочки повлияют на весь материальный поток и общие результаты логистического процесса.
7. Выполнение расчетов и использование в технико-экономических обоснованиях решений по организации грузопотока стоимости каждой элементарной логистической операции, как в материальной подсистеме материального потока, так и в подсистеме его информационного обеспечения.
8. Выбор вариантов логистической системы на основании сравнения их технико-экономических показателей. Следует не просто рассматривать различные возможные варианты технических и организационных решений, а и определять по ним технико-экономические показатели и на основе их сравнения выбирать оптимальные решения и варианты.
9. Соответствие всех решений по планированию и организации материальных потоков общей стратегии предприятия.
10. Наличие и использование наиболее полной информации о товарах, материальных потоках, производителях и потребителях товаров, логистических посредниках, законах, нормативных актах и т.д. Детальные описания, массивы и справочники по всем указанным направлениям составляют при разработке информационного обеспечения логистики.
11. При организации и осуществлении материальных потоков необходимо создавать и поддерживать деловые, партнерские отношения с другими предприятиями – участниками логистической цепочки – на основе учета взаимных интересов и компромиссов. Очевидное противодействие между участниками логистического процесса приведет к дополнительным препятствиям и задержкам логистического процесса, конфликтным и даже вражеским отношениям, в условиях которых стает сложнее организовать эффективные материальные потоки.
12. Ведение учета логистических расходов на протяжении всего логистического процесса. Одна из основных задач логистики – управление расходами при доведении материального потока от первичного источника сырья к конечному потребителю. Поэтому система учета расходов производства и обращения участников логистических процессов должна выделять расходы, которые возникают в процессе реализации логистических функций, формировать информацию о наиболее значимых затратах. При соблюдении этого условия появляется возможность использовать важный критерий оптимального варианта логистической системы – минимум совокупных расходов на протяжении всей логистической цепочки.2
12. Понятие логистического сервиса. Определение оптимального уровня логистического сервиса
Работа по оказанию услуг, т.е. по удовлетворению чьих-либо нужд, называется сервисом. Логистический сервис неразрывно связан с процессом распределения и представляет собой комплекс услуг, оказываемых в процессе поставки товаров потребителю. Объектом логистического сервиса являются предприятия производственной и непроизводственной сферы, население. Логистический сервис осуществляется либо самим поставщиком, либо экспедиторской фирмой, специализирующейся в области послепродажного обслуживания. Все работы в области логистического сервиса можно разделить на три основные группы:
• предпродажные, т.е. работы по определению политики предприятия в сфере оказания услуг и формированию системы логистического обслуживания;
• работы по оказанию логистических услуг, осуществляемые в процессе продажи товаров, например предоставление информации о прохождении грузов; подбор ассортимента, упаковка, формирование грузов единиц и т.п.;
• послепродажный логистический сервис, включающий в себя гарантийное обслуживание, обязательства по рассмотрению претензий покупателей, обмен и т.п.3
Определение политики предприятия в сфере оказания услуг связано с формированием системы логистического сервиса и предполагает проведение комплекса взаимосвязанных работ. Действия по формированию системы логистических услуг выполняются в следующей последовательности:
1.сегментация потребительского рынка, т.е. разделение его на конкретные группы потребителей, для каждой из которых могут потребоваться определенные услуги в соответствии с особенностями потребления;
2.определение перечня наиболее значимых для покупателей услуг;
3.ранжирование услуг, входящих в составленный перечень. Сосредоточение внимания на наиболее значимых для покупателей услугах;
4.определение стандартов услуг в разрезе отдельных сегментов рынка;
5.оценка оказываемых услуг, установление взаимосвязи между уровнем сервиса и стоимостью оказываемых услуг, определение уровня сервиса, необходимого для обеспечения конкурентоспособности компании;
6.установление обратной связи с покупателями для обеспечения соответствия услуг потребностям покупателей.
При этом сегментация потребительского рынка может осуществляться по географическому фактору, по характеру оказываемых услуг или другому признаку. Выбор значимых для покупателей услуг, их ранжирование и определение стандартов логистического обслуживания производится путем проведения опросов потребителей.
Основным критерием, позволяющим оценить систему сервиса, как с позиции поставщика, так и с позиции получателя услуг, является уровень логистического обслуживания. Уровень логистического обслуживания – это количественная характеристика соответствия фактических значений показателей качества и количества логистических услуг оптимальным или теоретически возможным значениям этих показателей. Уровень обслуживания можно оценивать также, сопоставляя время на выполнение фактически оказываемых в процессе поставки логистических услуг со временем, которое необходимо было бы затратить в случае оказания всего комплекса возможных услуг в процессе той же поставки. Для оценки уровня логистического обслуживания выбираются наиболее значимые виды услуг, оказание которых сопряжено со значительными затратами, а отсутствие – с существенными потерями на рынке.
Начиная от 70% и выше затраты на сервисное обслуживание растут экспоненциально в зависимости от уровня обслуживания и при достижении уровня 90% увеличение объема логистического сервиса становится невыгодным. При этом снижение уровня обслуживания ведет к увеличению потерь, вызванных ухудшением качества сервиса
Использование логистического сервиса помогает предприятиям систематизировать процесс, наладить взаимосвязь между предприятием и службами сервиса. Осуществляется логистический сервис либо самим поставщиком, либо экспедиторской фирмой, специализирующейся в области логистического сервиса.
Весь перечень работ проводящихся в области логистического сервиса можно разделить на три основные группы:
Работы, связанные с предпродажной подготовкой товара.
Услуги, оказываемые в процессе продажи товаров.
Сервисное обслуживание проданного товара.
Ориентируясь на запросы покупателей, готовая продукция может пройти предпродажную подготовку. Например, если это электронная или механическая продукция, то она как правила требует обязательного проведения тестирования или наладки. Для выполнения этих функций не обязательно создавать отдел или увеличивать штат сотрудников, достаточно подготовить и обучить продавцов сервисному обслуживанию техники.
В процессе реализации товаров могут оказываться разнообразные логистические услуги, например:
наличие товарных запасов на складе;
использование заказа, в том числе подбор ассортимента, упаковка, формирование грузовых единиц и другие операции;
обеспечение надежности доставки;
предоставление информации о прохождении грузов.
Послепродажные услуги — это гарантийное обслуживание, обязательства по рассмотрению претензий покупателей, обмен и т.д. Создание реестра проданных товаров позволяет точно определить перечень качественных товаров, выявлять постоянный брак и делать предложения по исправлению этого брака. Весь перечень послепродажных услуг должны осуществлять специализированные сервисные службы, имеющие определенный опыт.
Перечень логистических услуг и значительный диапазон, в котором может меняться их качество, влияние услуг на конкурентоспособность фирмы и величину издержек, а также ряд других факторов подчеркивают необходимость для фирмы иметь точно определенную стратегию в области логистического сервисного обслуживания потребителей.
Последовательность действий по формированию системы логистического сервиса на фирме осуществляется по следующей схеме:
Сегментация потребительского рынка.
Определение наиболее значимых услуг для покупателей.
Ранжирование услуг.
Определение стандартов услуг в разрезе отдельных сегментов рынка.
Оценка оказываемых услуг, установление взаимосвязи между уровнем сервиса и стоимостью оказываемых услуг, определение уровня сервиса, необходимого для обеспечения конкурентоспособности компании.
Установление обратной связи с покупателями для обеспечения соответствия услуг потребностям покупателей.
Для уменьшения затрат, связанных с оказанием сервисных услуг, ресурсы компании концентрируются на предоставлении покупателям выявленных, наиболее важных для них услуг.
Важным критерием, позволяющим оценить систему обслуживания, как с позиции поставщика, так и с позиции получателя услуг, является уровень логистического сервиса.
Расчет данного показателя можно осуществить по следующей формуле:
П = м/М х 100%, где,
П — уровень логистического сервиса,
М — количественная оценка фактически оказываемого объема логистического сервиса,
м — количественная оценка теоретически возможного объема логистического сервиса. 4
Для оценки уровня логистического сервиса выбираются наиболее значимые виды услуг, т.е. услуги, оказание которых сопряжено со значительными затратами, а не оказание — с существенными потерями на рынке.
Как правило увеличение объема производства за счет количества или ассортимента сопровождается ростом уровня сервиса. Эти два фактора — увеличение объема производства и сервисных услуг тесно взаимосвязаны. Т.е. с одной стороны, повышаются расходы на сервис, а с другой — ростом объема продаж и, соответственно, ростом доходов. Задача, стоящая перед службой логистики заключается в поиске оптимальной величины уровня сервиса, с необходимыми количественными и качественными показателями.
Убыточность торгового процесса при низких значениях логистического сервиса возникает на развитых рынках услуг. Допустим, предприятие оптовой торговли намеревается работать на развитом рынке оптовых услуг с широтой ассортимента в пределах 10% от предлагаемого конкурентами. Затраты по созданию ассортимента могут не окупаться в связи с низкой заинтересованностью покупателей в условиях этого оптовика и, соответственно, низким объемом продаж.
Оптимальное значение уровня сервиса можно найти также сложив затраты на сервис и потери на рынке, вызванные снижением уровня сервиса.
Для оценки качества логистического сервиса применяются следующие критерии:
надежность поставки;
соблюдение указанного в договоре полного время от получения заказа до поставки партии товаров;
способность учитывать особые пожелания клиентов (гибкость поставки);
наличие запасов на складе поставщика;
возможность предоставления кредитов, а также ряд других.
9. Практическая часть
Определение размеров технологических зон склада
Оптовая фирма, торгующая широким ассортиментом продовольственных товаров, планирует расширить объем продаж. Анализ рынка складских услуг региона деятельности показал целесообразность организации собственного склада. Определить размер склада.
Общая площадь склада (S>общ>) определяется по формуле:
S>общ> = S>гр>+ S>всп >+ S>пр>+ S>км>+ S>р.м >+ S>п.э>+ S>о. э>,
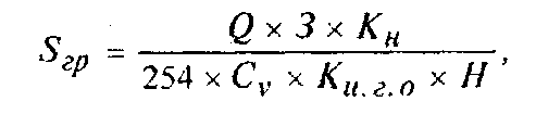
1) Грузовая площадь (S>гр>) рассчитывается по формуле:

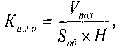
Коэффициент использования грузового объема склада характеризует плотность и высоту укладки товара и рассчитывается по формуле:

V>пол>=600*400*(144+1200)
V>пол>=0,6*0,4*1,344=0,32256
S>общ>=(600+60)*(400+30)*(144+1200+80)
S>общ>=0,66*0,43*1,424=0,4041
К>иго>=0,32250/0,4041=0,7983
S>гр>=20*25*1,2/254*350*0,7983*1,2=600/85162,644=7045,34м2
2) Площадь проходов и проездов (S>всп>) определяется после выбора варианта механизации и зависит от типа использованных в технологическом процессе подъемно-транспортных машин. Если ширина рабочего коридора работающих между стеллажами машин равна ширине стеллажного оборудования, то площадь проходов и проездов будет приблизительно равна грузовой площади.
S>всп>= S>гр>=7045,34 м2
3) Площади участков приемки и комплектования (S>пр> и S>км>) рассчитываются на основании укрупненных показателей расчетных нагрузок на 1 м2 площади на данных участках. В общем случае в проектных расчетах исходят из необходимости размещения на каждом квадратном метре участков приемки и комплектования 1 м3 товара.
Площади участков приемки и комплектования рассчитываются по следующим формулам:
'
S>пр>=20*1,2*65*0,2/50*254*0,7*100=312/8890000=35,09 м2
S>км>=20*1,2*55*0,3/500*254*0,7*100=396/8890000=44,54м2
4) Площадь рабочих мест (S>рм>)
Рабочее место заведующего складом, размером в 12 м2, оборудуют вблизи участка комплектования с максимально возможным обзором складского помещения.
S>рм>=12 м2
5) Площадь приемочной экспедиции (S>пэ>) используется для размещения товара, поступившего в нерабочее время и должна обеспечить размещение такого количества товара, которое может поступить в это время. Размер площади приемочной экспедиции определяют по формуле:

S>пэ>=20*1*1,2/500*365*05=24/91250=263,01 м2
6) Площадь отправочной экспедиции (S>оэ>) используется для комплектования отгрузочных партий и определяется по формуле:

S>оэ>=20*1,5*80*1,2/500*254*0,5*100=2880/6350000=453,54 м2
S>общ>=7045,34+7045,34+35,09+44,54+12+263,01+453,54=14901,2 м2
Таблица 2 Значение технологических параметров склада
-
№ n/n|
Наименование площадей склада
Значение
1.
Грузовая
7045,34 м2
2.
Проходов и проездов
7045,34 м2
3.
Участка приемки
35,09 м2
4.
Участка комплектования
44,54 м2
5.
Рабочих мест
12 м2
6.
Приемочной экспедиции
263,01 м2
7.
Отправочной экспедиции
453,54 м2
8.
Общая площадь склада
14901,2 м2
Список используемой литературы
Гаджинский А.М. Логистика: учебник для высших и средних специальных учебных заведений. – 19-е изд., перераб. и доп. - М.: Издательско-торговая корпорация «Дашков и Ко», 2011. – 484 с.
Моисеева Н.К. Экономические основы логистики: Учебник. – М.: ИНФРА М, 2008. – 528 с.
Неруш Ю.М. Логистика: учебник для вузов. - 4-е изд., перераб. и доп. - М.: Проспект, 2011. – 520 с.
1 Моисеева Н.К. Экономические основы логистики: Учебник. – М.: ИНФРА – М, 2008. – 528 с.
2 http://logistic-info.org.ua/
3 Гаджинский А.М. Логистика: учебник для высших и средних специальных учебных заведений. – 19-е изд., перераб. и доп. - М.: Издательско-торговая корпорация «Дашков и Ко», 2011. – 484 с.
4 www.bibliotekar.ru