Культура торговли (работа 1)
Введение
Особенностью труда в торговых предприятиях является то, что конечный результат труда – не продукт, а услуга, то есть качественное торговое обслуживание покупателей. Поэтому организация труда в магазине должна быть направлена на осуществление комплекса организационно-технических, экономических и санитарно-гигиенических мероприятий, позволяющих рационализировать торгово-технологический процесс, эффективнее использовать торговые и другие площади, оборудование и персонал магазина, создать благоприятные условия труда и на этой основе обеспечить высокое качество культуры торгового обслуживания населения.
Объектом исследования дипломной работы является УП «Универмаг Беларусь».
Предметом исследования дипломной работы является культура торгового обслуживания на УП «Универмаг Беларусь».
Целью работы является рассмотрение теоретических основ и действующей практики культуры торгового обслуживания в УП «Универмаг Беларусь», а также разработка путей повышения уровня культуры обслуживания.
Задачами работы соответственно является:
характеристика культуры обслуживания, её основ и показателей;
анализ культуры обслуживания в УП «Универмаг Беларусь»;
3. разработка предложений по совершенствованию культуры обслуживания в УП «Универмаг Беларусь».
В ходе выполнения работы использовалась литература по таким предметам как «Организация торговли», «Коммерческая деятельность», «Экономика торговли», «Маркетинг», «Этика», а также практические материалы деятельности УП «Универмаг Беларусь».
Культура торгового обслуживания покупателей и её показатели
Для начала прежде, чем рассмотреть сущность культуры торговли, рассмотрим её составляющие.
Так, торговое обслуживание – деятельность продавца при непосредственном взаимодействии с покупателем, направленная на удовлетворение потребностей покупателя в процессе приобретения товара и / или услуги.
Качество торгового обслуживания – совокупность характеристик процесса и условий торгового обслуживания покупателей.
Процесс торгового обслуживания – последовательность операций, обеспечивающих осуществление торгового обслуживания в конкретном типе торговых предприятий.
Условия торгового обслуживания – совокупность факторов, воздействующих на покупателя в процессе торгового обслуживания.
Форма торгового обслуживания – организационный прием, представляющий собой сочетание методов обслуживания покупателей:
– салонное обслуживание покупателей;
– индивидуальное обслуживание через прилавок;
– индивидуальное обслуживание продавцом-консультантом в магазинах самообслуживания.
Система торгового обслуживания – целостное единство взаимосвязанных элементов, обеспечивающих осуществление торгового обслуживания.
Скорость торгового обслуживания – среднее время, затрачиваемое на обслуживание одного покупателя [15, c. 129–131].
Соответственно культура торгового обслуживания – самое широкое понятие, включающее качество и культуру обслуживания покупателей. Основными составляющими культуры торговли:
• наличие в магазине широкого и устойчивого ассортимента качественных товаров, удовлетворяющего спрос обслуживаемых групп населения;
• наличие достаточной розничной торговой сети, использование наиболее эффективных типоразмеров магазина, удобное их размещение в регионе, техническая оснащённость;
• применение в магазине наиболее эффективных современных форм продажи, обеспечивающих быстрое и удобное обслуживание покупателей;
• оказание покупателям дополнительных услуг. Связанных со специфическими особенностями товаров;
• организация внутри – и внемагазинной рекламы и информации, способствующей лучшей информированности покупателей, формированию покупательского спроса и экономии времени покупателей;
• культура труда работников магазина, означающая должную профессиональную квалификацию торгового персонала, высокий этический и эстетический уровни обслуживания;
• строгое соблюдение установленных правил торговли и правил продажи отдельных товаров.
Качество торгового обслуживания – совокупность элементов, определяющих состояние материально-технической базы, применения прогрессивных методов продажи, полноты и устойчивости ассортимента, затрат времени ни покупку товара, товарооборота.
Культура обслуживания также включает целый ряд элементов, характеризующих уровень обслуживания покупателей и состояние торгового зала магазина. К ним относятся показатели устойчивости ассортимента, применения прогрессивных форм продажи и дополнительных услуг, затраты времени на ожидание обслуживания, оценка культуры обслуживания по мнению покупателей, хорошее санитарное состояние и красивый внешний вид торгового зала и работников, соблюдение установленных правил торговли и продажи отдельных товаров и т.д. [21, c. 234–236].
Теперь рассмотрим основные показатели культуры обслуживания.
Так, коэффициент устойчивости ассортиментного перечня рассчитывается по каждому наименованию ассортимента и в целом по магазину за квартал по формуле:

где К>у> – коэффициент устойчивости ассортиментного перечня; n – количество проверок; А – количество наименований товаров по перечню и A>1>, A>2>, A>з>. А>n> – при проверках соответственно.
Наряду с эффективной организацией собственно процессов продажи важную роль в повышении уровня обслуживания покупателей играют услуги.
Торговая услуга – это специфическая деятельность, образующая процесс торгового обслуживания или связанная с организацией условий для успешного осуществления процесса продажи.
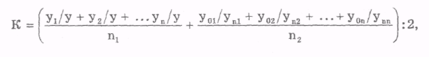
Коэффициент дополнительного обслуживания рассчитывается по формуле:

где у – количество предусмотренных услуг, ед.; у>1>, у>2>,…, у>n> – количество фактически предоставленных услуг, ед.; n>1> – количество проверок за квартал; у>01,> у>02>,…, У>on> – объемы отдельных видов услуг, фактически предоставленных в отчетном периоде; y>n>>1>, у>n>>2>,…, у>nn> – объемы отдельных видов услуг, предоставленных в соответствующем периоде прошлого года; n>2> – количество предоставленных покупателям услуг по видам (устная консультация специалиста по уходу за изделием, подарочная упаковка)
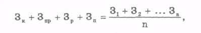
Для расчета коэффициента затрат времени покупателей на ожидание обслуживания определяются средние затраты времени по каждому элементу затрат времени на ожидание обслуживания по формуле:

где З>к>, З>пр>, З>р,> З>п> – средние затраты времени на ожидание консультации, примерки, расчета, получения товара, с; З>1>, З>2>,…, З>n> – затраты времени по каждому замеру, с; n – количество произведенных замеров, ед.
Определяются фактические затраты времени на ожидание обслуживания, с (Зф).
Рассчитывается коэффициент затрат времени покупателей на ожидание обслуживания по следующей формуле:

где 3>0> – оптимальные (нормативные) затраты времени на ожидание обслуживания, с.
Затем рассчитывается коэффициент культуры обслуживания по мнению покупателей К>м> в магазине по формуле:

где М>n> – количество покупателей, давших отличную и хорошую оценку состояния культуры обслуживания в магазине, чел.; М>в> – общее количество покупателей, оценивших состояние культуры обслуживания в магазине, чел. [17, c. 126–131]
Таким образом, культура торгового обслуживания включает в себя совокупность качественных характеристик процесса и условий торгового обслуживания покупателей, а также соответствующие показатели, расчет которых позволяет оценить уровень обслуживания на торговом предприятии.
Этические и эстетические основы обслуживания покупателей
Этические и эстетические основы обслуживания представляют собой совокупность характеристик и условия процесса торгового обслуживания, определяемых профессионализмом и этикой обслуживающего персонала.
Так, основными характеристики культуры торгового обслуживания, с точки зрения этики и эстетики, вежливость, чуткость, компетентность, доступность персонала для покупателей, уровень мастерства работников, комфорт, эстетика предоставления услуги и т.п.
Первое, что замечают покупатели приходя в магазин – это внешняя обстановка помещения, в котором предстоит осуществлять покупку. От того, как выглядит ваш магазин от части зависят результаты вашей торговли.
Таким образом, соблюдение этических и эстетических основ культуры торгового обслуживания обеспечит хорошее впечатление о вашем магазине и продаваемых в нем товарах.
Важным элементом культуры торговли является используемый метод продажи товаров. Метод продажи товаров – это совокупность приёмов осуществления основных операций по реализации товаров покупателям. В настоящее время существуют следующие методы продажи товаров:
– самообслуживание;
– продажа товаров по предварительным заказам;
– продажа товаров по образцам;
– с индивидуальным обслуживанием, в том числе с открытой выкладкой.
Самообслуживание – это форма продажи, сущность которой состоит в том, что покупатель самостоятельно осматривает, отбирает и доставляет отобранные товары в узел расчёта.
Продажа товаров по образцам – это форма продажи товаров, когда в торговом зале магазина выставляются только образцы товаров, имеющихся в продаже. Этот метод продажи осуществляется в 3 основных этапа:
– самостоятельно или с помощью продавца осмотр покупателями образцов товаров, имеющихся в продаже;
– оформление и расчёт за покупку и услуги;
– оказание различных услуг покупателям.
Характеристика же и структура операций по продаже товаров зависят от ассортимента товара и метода его реализации. Поэтому важным элементом культуры торговли является используемый метод продажи товаров. Метод продажи товаров – это совокупность приёмов осуществления основных операций по реализации товаров покупателям.
Так, самообслуживание позволяет ускорить операции по продаже товаров, увеличить пропускную способность, расширить объем реализации товаров.
Функции обслуживающего персонала состоят в консультировании покупателя, выкладки товаров, контроле за их сохранностью и выполнении расчетов в операции.
Метод самообслуживания является одним из самых прогрессивных.
Метод продажи по образцам, то же по своему эффективен, так для небольших торговых залов целесообразно будет внедрить продажу по образцам, но для этого необходимо изыскать дополнительную площадь для организации склада.
Экономическая эффективность продажи товаров по образцам обеспечивается за счет:
централизации хранения товарных запасов на складах оптовой торговли, промышленных предприятий;
более эффективного использования складских площадей;
сокращения потребности в подсобных помещениях магазинов и расширения торговых площадей;
обеспечения необходимых условий хранения товаров и сокращения их потерь;
снижения доли ручного труда на погрузочно-разгрузочных работах в розничной сети;
снижения транспортных расходов.
Социальный эффект достигается за счет улучшения обслуживания покупателей, сокращения времени на приобретение товаров, транспортировку, разгрузку и установку или сборку изделий на месте их потребления.
Необходимость развития этой формы продажи диктуется также крайне низкой обеспеченностью населения республики торговыми площадями.
При открытой выкладке товары размещаются на рабочем месте продавца. Покупатели, не ожидая очерёдности обслуживания продавцом, самостоятельно осматривают и выбирают нужные изделия, при необходимости пользуясь консультацией продавца. Отпуск товаров производится продавцом.
Дополнительные услуги: к ним относится специфическая деятельность, направленная на оказание помощи покупателям в совершении покупки товаров, их доставке и использовании. Все услуги, оказываемые покупателям можно подразделить на три группы:
1. оказываемые в процессе продажи;
2. осуществляемые в процессе послепродажного обслуживания;
3. не связанные непосредственно с продажей конкретных товаров. [8, c. 479–489]
Поэтому основными направлениями рационализации технологического процесса магазина являются широкое внедрение эффективных методов продажи товаров и обслуживания покупателей, разработка рациональных схем технологической планировки, повышения уровня технического оснащения, обеспечение бесперебойного снабжения товарами, их рациональное размещение и выкладка, совершенствование работы узлов расчета.
Анализ культуры торгового обслуживания в УП «Универмаг Беларусь»
2.1 Организационно-экономическая характеристика УП «Универмаг Беларусь»
УП «Универмаг Беларусь» – одно из крупнейших торговых предприятий Республики Беларусь. Он образован в соответствии с приказом Министерства торговли БССР №50 от 3 мая 1978 г. и в своей деятельности подотчетен Главному управлению потребительского рынка Мингорисполкома. Распоряжением Совета Министров БССР от 2 ноября 1970 г. была утверждена проектная документация на строительство в центре Заводского района г. Минска универмага «Беларусь». А 8 июня 1978 г. универмаг приветливо распахнул свои двери для первых покупателей. По тем временам это был грандиозный проект. Во всей Беларуси не было аналогов среди имеющихся торговых предприятий.
Универмаг «Беларусь» находится по улице Жилуновича, 4 и располагает отдельно стоящим четырехэтажным зданием.
Режим работы универмага: 9.00 – 21.00, в воскресенье и праздники: 10.00 – 19.00.
Главной задачей предприятия является хозяйственная деятельность, направленная на получение прибыли для удовлетворения социальных и экономических интересов членов коллектива и интересов собственников имущества предприятия.
В целях обеспечения полного своевременного удовлетворения населения в товарах народного потребления и услугах, высокой культуры торгового обслуживания, сохранности государственной собственности, соблюдение режима экономии и максимального увеличения показателей финансово-хозяйственной деятельности, универмаг осуществляет следующие виды деятельности:
1. Организует розничную и оптовую торговлю промышленными и продовольственными товарами, а также продукцией общественного питания.
2. Осуществляет внешнеэкономическую деятельность, включает бартерные сделки, контракты.
3. Осуществляет через ломбард услуги по хранению предметов домашнего потребления и личного пользования, в том числе изделия из драгоценных металлов, выдает ссуды под залог этих предметов.
4. Оказывает услуги по ответственному хранению товаров народного потребления всем субъектам хозяйственной деятельности и другие бытовые услуги населению.
5. Организует производство товаров народного потребления.
6. Приобретает ценные бумаги, патенты, лицензии, торговые знаки и торговые марки, брокерские места и иные имущественные права (в том числе на использование изобретений, «ноу-хау»)
7. Осуществляет любого вида хозяйственную деятельность, если она не запрещена законодательными актами РБ.
Уставной фонд составляет 1950 млн. руб., сформирован за счет основных фондов и прибыли, остающейся в распоряжении предприятия.
Общая площадь универмага составляла в начале его открытия 21391 м2, в том числе торговых залов – 6790 м2 и складских помещений – 3271 м2. В то время за полный год работы товарооборот составлял 87 млн. руб., средняя заработная плата составляла 124 руб.
Сейчас площадь универмага составляет 31250 м2, торговая площадь в том числе – 7380 м2, складская – 8600 м2, в том числе по ул. Машиностроителей – 1700 м2. Товарооборот за 2008 год составил 49522612 тыс. руб., а средняя заработная плата – 267,1 тыс. руб.
Все это позволяет предприятию на равных конкурировать с другими торговыми предприятиями, а сложившийся свой стиль помог обрести своего покупателя. Поэтому универмаг смог выстоять, когда более трех лет рядом с ним строилась станция метро: сам универмаг был почти не виден со стороны Партизанского проспекта, трудно было к нему подобраться. Были приложены усилия по расстановке многочисленных указателей, чтобы покупатели в лабиринте стройки могли найти дорогу в «Беларусь».
В прошлом, в составе структурных подразделений, было пять торговых отделов: «Культура в быту», «Товары для дома», «Товары для мужчин», «Товары для женщин», «Товары для шитья, рукоделия и спорта», и 35 секций.
Организационная структура управления универмага «Беларусь» представлена в приложении 1.
Организационно-управленческая структура универмага является линейно-функциональной. При такой структуре управления всю полноту власти берет на себя линейный руководитель, возглавляющий коллектив. Ему при разработке конкретных вопросов и подготовке соответствующих решений, программ, планов помогает специальный аппарат, состоящий из функциональных подразделений. Преимуществом данной структуры является более глубокая подготовка решений и планов, связанных со специализацией работников; освобождение главного линейного руководителя от глубокого анализа проблем; возможность привлечения консультантов и экспертов. Недостатком является отсутствие тесных взаимосвязей и взаимодействия на горизонтальном уровне между производственными отделениями; недостаточно четкая ответственность, так как готовящий решение, как правило, в его реализации не участвует; чрезмерно развитая система взаимодействия по вертикали, а именно: подчинение по иерархии управления, то есть тенденция к чрезмерной централизации.
Следует отметить, что для данного предприятия, в силу определённых его особенностей (размер, род деятельности), такая структура является приемлемой.
УП «Универмаг Беларусь» обладает достаточным опытом в управлении торговым процессом. Сложившаяся структура управления обеспечивает стабильную деятельность предприятия. Подбор подготовленных специалистов позволяет быстро и организованно решать производственные вопросы.
Заботясь о сбалансированности товарооборота и товарных ресурсов, недопущения образования сверхнормативных товарных запасов, в магазине ежемесячно разрабатываются планы товарного обеспечения по каждой из товарных секций. Решая эту задачу, работники органов снабжения (товароведы) изучают и учитывают спрос и предложение на все товары, уровень и изменение цен на них и на услуги посреднических организаций, выбирают наиболее экономичную форму товародвижения, оптимизируют запасы, снижают транспортно-заготовительные и складские расходы.
Основными поставщиками являются белорусские предприятия, изделия которых пользуются устойчивым спросом у покупателей.
Ежедневная, кропотливая работа с промышленностью позволила довести реализацию отечественных товаров до 75% в общем объеме товарооборота. В настоящее время универмагом заключено более 1500 договоров с предприятиями РБ, в том числе по прямым связям с 230 предприятиями.
Вместе с тем для более полного удовлетворения покупательского спроса проводится работа по вовлечению в товарооборот товаров, которые не производятся в Беларуси. Налаживаются связи по поставкам товаров из стран ближнего зарубежья, в т.ч. России, Молдавии, Украины, Прибалтики. В основном, это спорттовары, сувениры, керамические изделия, резиновая обувь, радиотовары и другие. Всего удельный вес указанных товаров составляет примерно 25%.
Предприятие повышает заинтересованность во взаимном сотрудничестве с постоянными поставщиками и прилагает усилия для привлечения новых поставщиков. Это возможно, поскольку у предприятия есть три собственных грузовых автомобиля и один грузопассажирский автомобиль для организации междугородных рейсов и доставки товара.
В настоящее время значительную роль в потребительском выборе играет ценовая конкуренция. Поскольку себестоимость производства товаров на всех предприятиях промышленности разная, то, имея в наличии товар одной товарной группы, но широкого диапазона цен, можно привлечь дополнительный контингент покупателей.
При закупе товаров предпочтение будет отдано отечественному производителю.
Товары, не производимые в республике, УП «Универмаг Беларусь»» как и прежде будет закупать у фирм, завозящих их извне и являющихся первыми импортерами. Это дает возможность получения преимущества при ценовой конкуренции и большего эффекта. Снижение риска при работе с коммерческими структурами достигается путем заключения договоров на условиях оплаты по мере реализации или по факту поставки в течение 10–30 банковских дней с разработанной системой штрафных санкций за поставку некачественных товаров и нарушения условий поставки.
Основными конкурентными преимуществами УП «Универмаг Беларусь» которые помогут ему, выделится среди других предприятий торговли, и завоевать доверие покупателей будут являться:
предложение покупателю товаров соответствующих всем качественным требованиям;
предложение товаров с нестандартным набором свойств, реально интересующих покупателя (с различными наполнителями и добавками, соответствующим определенному вкусу круга покупателей);
проведение гибкой ценовой политики;
применение различных видов внутри- и вне магазинной рекламы;
расширение объема дополнительных услуг (комплектация подарочных наборов, доставка товара по заказу, доставка крупногабаритных товаров на дом покупателю).
реализация большого ассортимента товарных позиций, рассчитанных на группы населения с различными доходами.
реализация товаров населению в кредит, периодическое предоставление кредита на льготных условиях.
Основной целью стратегии маркетинга в УП «Универмаг Беларусь» в отношении потребителя выступает привлечение покупателей за счет расширения ассортимента товаров, нацеленного на разные уровни доходов населения, расширение видов деятельности.
Основой проводимой ассортиментной политики будет являться увеличение ассортимента реализуемых товаров как в ширину (разнообразие товарных позиций), так и в глубину (рост товарных разновидностей в пределах одной товарной группы).
Расширение ассортимента реализуемых товаров предполагается вести по следующим направлениям:
расширение связей с поставщиками товаров по номенклатуре изделий;
установление постоянных связей с фирмами, ввозящими товары в республику, и работы с ними по заказам;
расширение ассортимента продукции собственного кондитерского цеха;
оказание услуг по доставке крупногабаритных товаров покупателю на дом, по формированию заказов, изготовлению и оформлению подарков.
Универмаг «Беларусь» первым среди других универмагов открыл продовольственную секцию, имеет свою пекарню. Расположенный на 2 этаже кафетерий предлагает широкий выбор закусок, салатов, соков, напитков. Для работников созданы все условия для труда, учебы, отдыха и спорта. Например, в спортзале площадью более 800 м 2 установлены тренажеры, можно поиграть в баскетбол, волейбол, мини-футбол, большой и настольный теннис. Есть также конференц-зал на 340 мест, библиотека, читальный зал, парикмахерская, комната отдыха, столовая на 240 посадочных мест, буфет, медпункт, который располагает стоматологическим и физиотерапевтическим кабинетами.
В универмаге действует непрерывный процесс повышения квалификации работников. В учебных группах, непосредственно на рабочих местах и в учебном классе специалисты универмага, преподаватели Белорусского Государственного Экономического Университета, Института повышения квалификации, Торгового колледжа и училища проводят с продавцами и другими категориями работников занятия по правилам торговли, защите прав потребителей, свойствам товаров, культуре обслуживания, психологии общения и многим другим темам.
Основным направлением деятельности универмага является наиболее полное удовлетворение потребностей покупателей, которое осуществляется путем расширения ассортимента реализуемых товаров, увеличения товарооборота как за счёт ускорения товарооборачиваемости, так и за счёт закупа и введения новых товарных групп.
За 2008 год УП «Универмаг Беларусь» имеет следующие финансово-экономические показатели, которые представлены в таблице 2.1.
Таблица 2.1. Основные показатели финансово-экономической деятельности УП «Универмаг Беларусь» за 2007–2008 гг.
|
Показатели |
Фактически за 2007 год |
Фактически за 2008 год |
Отклонения +/- |
Темп роста в% к 2007 году |
|
1. Товарооборот |
||||
|
– в действующих ценах |
40810070 |
49522612 |
8712542 |
121,35 |
|
– в сопоставимых ценах |
40810070 |
41900848 |
1090778 |
102,67 |
|
2. Товарооборот без 5% налога |
||||
|
– в действующих ценах |
40356683 |
47874223 |
7517540 |
118,63 |
|
– в сопоставимых ценах |
40356683 |
40506153 |
149470 |
100,37 |
|
3. Валовый доход от реализации |
||||
|
– в действующих ценах |
7513532 |
8842990 |
1329458 |
117,69 |
|
– в сопоставимых ценах |
18,62 |
18,47 |
-0,15 |
99,19 |
|
4. Прочие доходы |
198146 |
212502 |
14356 |
107,25 |
|
5. Издержки обращения |
||||
|
– в сумме |
6342718 |
7244803 |
902085 |
114,22 |
|
– в% к товарообороту |
15,78 |
15,13 |
-0,65 |
95,88 |
|
6. Прибыль от реализации |
||||
|
– в сумме |
511100 |
760400 |
249300 |
148,78 |
|
– в% к товарообороту |
2,07 |
2,5 |
0,43 |
120,77 |
|
7. Внереализационные доходы |
89000 |
148400 |
59400 |
166,74 |
|
8. Внереализационные расходы |
0 |
0 |
0 |
0 |
|
9. Балансовая прибыль (П. 6+П. 7-П. 8) |
||||
|
– в сумме |
600138 |
908763 |
308625 |
151,43 |
|
– в процентах к товарообороту |
1,49 |
1,9 |
0,41 |
127,52 |
|
10. Среднесписочная численность |
||||
|
– работников |
1117 |
1119 |
2 |
100,18 |
|
– продавцов |
553 |
557 |
4 |
100,72 |
|
11. Товарооборот на 1-го работника (среднемесячный) |
||||
|
– в действующих ценах |
3045 |
3688 |
643 |
121,12 |
|
– в сопоставимых ценах |
3045 |
3120 |
75 |
102,46 |
|
12. Товарооборот на 1-го продавца (среднемесячный) |
||||
|
– в действующих ценах |
6150 |
7409 |
1259 |
120,47 |
|
– в сопоставимых ценах |
6150 |
6269 |
119 |
101,93 |
|
13. Торговая площадь |
7380 |
7380 |
0 |
100,00 |
|
14. Товарооборот на 1 кв. м. торговой площади |
||||
|
– в действующих ценах |
5530 |
6710 |
1180 |
121,34 |
|
– в сопоставимых ценах |
5530 |
5677 |
147 |
102,66 |
|
15. Среднемесячная зарплата |
||||
|
– на 1 работника |
237,9 |
267,1 |
29,2 |
112,27 |
|
– на 1 продавца |
223,6 |
249,8 |
26,2 |
111,72 |
На основании таблицы 2.1. товарооборот в действующих ценах в 2008 г. по сравнению с 2007 г. возрос на 7517540 тыс. руб. или на 18, 6%. В сопоставимых ценах на 149470 тыс. руб., темп прироста 0,4%. Прирост товарооборота в 2008 году по сравнению с 2007 г. в сумме 7368070 тыс. руб. или на 18, 2%.
Валовые доходы возросли на 1329458 тыс. руб., темп роста 117,7%, но уровень валового дохода снизился на 0,15%, это произошло за счет повышения удельного веса продовольственных товаров в общем объеме товарооборота и снижение соответственно удельного веса промышленных товаров. Это негативно сказалось на размере прибыли от реализации.
В сумме издержки обращения возросли на 902085 тыс. руб. или на 14,2%, однако уровень издержек обращения снизился на 0,59%, прежде всего за счет снижения уровня транспортных расходов, что положительно сказалось на конечных результатах хозяйственной деятельности.
Так, прибыль от реализации возросла на 249300 тыс. руб., темп роста 148,7%, рентабельность оборота возросла на 0,43%.
Балансовая прибыль возросла на 308625 тыс. руб., прирост – 51,4%, рентабельность по балансовой прибыли увеличилась на 0,41%.
Увеличение рентабельности произошло, прежде всего, за счет сокращения уровня некоторых статей издержек обращения в 2008 году по сравнению с 2007 годом.
Таким образом, в 2008 году по сравнению с 2007 годом предприятие сработало более эффективно и тем самым увеличило чистую прибыль, остающуюся в распоряжении предприятия.
Среднесписочная численность увеличилась на 2 человека, темп роста 100,2%, в том числе число продавцов увеличилось на 4 человека, тем роста 100,7%. Удельный вес продавцов в 2008 году вырос на 0,3%.
Прирост товарооборота на 1 работника составил 21,1%, в сопоставимых ценах 2,5%. Прирост товарооборота на 1 продавца в сопоставимых ценах составил 1,9%.
Товарооборот на 1 квадратный метр торговой площади в сопоставимых ценах увеличился на 2,6%. Это произошло прежде всего за счет роста товарооборота. Среднемесячная заработная плата на 1 работника возросла на 29,2 тыс. руб. или на 12,3%. Среднемесячная зарплата на 1 продавца выросла на 26,2 тыс. руб. или на 11,7%.
2.2 Профессиональная культура обслуживания покупателей
В универмаге были созданы благоприятные условия для покупателей, и в 2008 году торговое обслуживание осуществляло 1444 работников, в том числе 780 продавцов предприятия.
Прежде всего, это просторные и удобные торговые залы, в которых постоянный микроклимат поддерживается 8 кондиционерами производительностью 40 тыс. м3 воздуха в час каждый. Было установлено шесть бесшумных эскалаторов, которые могли доставлять с этажа на этаж 150 человек в минуту, также телефонная станция внутренней связи на 200 номеров, радиоузел, промышленная телевизионная установка с 12 телекамерами, размещенными в торговых залах, с помощью которых можно наблюдать за ходом торгового процесса и оперативно его контролировать.
В крытом отапливаемом дебаркадере, который может принять одновременно 8 грузовых автомобилей, производится приемка товаров. Для механизации транспортировки товаров установлено 6 грузовых лифтов, грузоподъемностью по 2 тонны каждый и пятитонная кран-балка, имеются электропогрузчик и электроштабелер.
Сейчас ежедневно универмаг посещает более 30 тыс. покупателей. Основной контингент – это жители Заводского района, работники таких предприятий, как МАЗ, МТЗ, шарикоподшипниковый, моторный, рессорный заводы.
Работники УП «Универмаг Беларусь» делают все, чтобы покупатели не были разочарованы и чтобы у них было желание снова и снова посетить наше предприятие.
Высокая эффективность производства достигается созданием социального благополучия коллектива, необходимых условий для удовлетворения духовных потребностей работающих, обеспечение реальных возможностей для приобщения их к культуре, искусству, физкультуре и спорту.
Приятный вид, хорошее настроение и манера обращения, искренняя улыбка, профессиональное мастерство – таким является продавец универмага «Беларусь».
Согласно памятки продавца, каждому продавцу необходимо помнить, что:
1. Рабочий день продавца определяется графиком выхода на работу.
2. Одежда и внешний вид продавца должны соответствовать деловой рабочей обстановке и отвечать санитарно-гигиеническим требованиям: прическа должна быть аккуратной, одежда чистой и отглаженной.
3. Приступая к работе, продавец обязан:
• привести в надлежащее санитарное состояние свое рабочее место и в течение дня содержать его в чистоте и порядке;
• проверить наличие и полноту ассортимента товаров, в случае отсутствия отдельных товаров – принять меры к их пополнению;
• подготовить товары к продаже (распаковать, очистить их и т.п.) и произвести их выкладку;
• проверить наличие ярлыков цен на товарах;
• обеспечить на рабочем месте наличие упаковочных материалов, инвентаря
4. На протяжении всего рабочего времени продавец обязан:
• быть внимательным, тактичным и готовым к обслуживанию покупателей;
• изучать спрос покупателей на товары, своевременно сообщать руководству об отсутствии в продаже товаров и другие замечания покупателей;
• если покупатель обращается с вопросом, где приобрести ют или иной товар, объяснить место его продажи;
• осуществлять контроль за сохранностью представленных торговом зале товаров;
• заметив покупателя, не предъявившего товар к оплате, не вступать в пререкания. Для выяснения возникших недоразумений продавец-консультант должен немедленно вызвать заведующего секцией, отделом, администратора,
• быть вежливым и предупредительном с товарищами по работе, с уважением относиться к старшим по возрасту и служебному положению;
• безоговорочно, не вступая в пререкания, выполнять распоряжения старших по должности товарищей.
Считая распоряжение неправильным, продавец может высказать свое мнение старшему руководителю.
5. Продавец обязан овладеть смежными профессиями кассира-контролера, бракера, постоянно повышать свою деловую квалификацию.
6. Продавец является помощником покупателя. Предоставляя покупателям полную свободу выбора товара при торговле методом самообслуживания, продавцу необходимо всегда быть готовым оказать им помощь советом или консультацией.
7. Продавец-консультант магазина самообслуживания помогает выбрать товар, дает справки расположения отделов секций в магазине, подносит товар к узлу расчета, если покупателю это сделать затруднительно, информирует покупателя о дополнительных услугах, оказываемых в магазине.
8. Консультация продавца должна быть полной, ответы – убедительными и исчерпывающими.
9. Обслуживая покупателей, продавец должен быть внимательным, выдержанным и предупредительным. Если после длительного осмотра товара, покупатель ничего не выбрал, продавец не должен выражать недовольства.
10. Продавец в какой-то мере должен быть психологом, должен уметь определять характер и настроение покупателя. Если покупатель утомлен, будьте с ним терпеливы, если раздражен – любезны, с навязчивыми будьте тактичны, с грубыми хладнокровны и сдержаны.
11. Во всех случаях, когда это возможно, просьба покупателя должна быть удовлетворена.
I2. Продавец, работающий на кассовом аппарате, проверяет цену приобретаемого покупателем товара, регистрирует на кассовом аппарате стоимость покупки, четко называет общую стоимость и сумму полученных денет, которые держит на виду у покупателя, выдает сдачу и чек.
После окончания расчета кладет полученные деньги в кассовый ящик.
Упаковав товар, продавец вручает его покупателю, благодарит за покупку, приглашает посетить магазин.
Так, по мнению директора УП «Универмаг Беларусь» от качества работы каждого продавца зависит престиж нашего универмага.
Так как сложно рассчитать обобщающий коэффициент культуры обслуживания по всему универмагу, то для примера мы рассчитаем данный коэффициент по секции «Женская одежда». Данный расчет представим в таблице 2.2.
Таблица 2.2. Расчет коэффициента устойчивости ассортиментного перечня
|
Рекомендуемый ассортимент швейных изделий |
Количество наименований по ассортиментному перечню |
Фактическое количество наименований ассортимента при проверках |
Коэффициент устойчивости |
|
|
первой |
второй |
|||
|
Пальто, полупальто |
2 |
1 |
2 |
0,75 |
|
Куртки |
4 |
2 |
2 |
0,50 |
|
Плащи |
3 |
2 |
1 |
0,50 |
|
Костюмы |
4 |
2 |
3 |
0,63 |
|
Платья |
4 |
3 |
2 |
0,63 |
|
Блузы |
3 |
3 |
2 |
0,83 |
|
Юбки |
2 |
2 |
2 |
1,00 |
|
Брюки |
4 |
2 |
1 |
0,38 |
|
Итого |
26 |
16 |
15 |
0,596 |
Ку = ((16/26)+(15/26))/2 = 0,596
Данное несоблюдение связано с периодическими колебаниями спроса и неравномерностью поставки. То есть для обеспечения соблюдения в магазине ассортиментного перечня необходимо оперативно реагировать на изменение спроса и обеспечить своевременную поставку товара.
Рассчитаем коэффициент дополнительного обслуживания.
Количество обязательных услуг, предоставляемых покупателям в секции «Женская одежда» – 6; количество проверок за квартал – 2; фактически оказано услуг: при первой проверке – 3, при второй проверке – 3.
Объем фактически предоставленных покупателям услуг:
Подарочная упаковка, шт. – по данным прошлого года – 15, по данным отчетного года – 20.
Соответственно коэффициент дополнительного обслуживания равен:
Кд = (3/6+3/6 + 20/15) / 2 = 0,9
2 1
Таким образом, данная секция характеризуется невысоким уровнем коэффициента дополнительного обслуживания, то есть необходимо увеличивать объем предоставляемых услуг, обеспечивая в первую очередь исполнение обязательных услуг.
Теперь рассчитаем коэффициент затрат времени покупателей на ожидание обслуживания. Оптимальные затраты времени покупателей на обслуживание – 150 секунд.
Таблица 2.3. Результаты замеров затрат времени покупателей на ожидание в швейной секции
|
Элементы затрат времени |
Замеры времени |
|
|
Номера наблюдений |
||
|
Ожидание консультации |
30 |
25 |
|
Ожидание примерки |
60 |
45 |
|
Ожидание расчета |
15 |
20 |
|
Ожидание получение товара |
30 |
30 |
|
Итого |
135 |
120 |
Найдем среднее затраты времени:
Зс = (135+120)/2 = 127,5
С учетом оптимальных затрат коэффициент затрат времени покупателей равен:
Кз = 150/127,5 = 1,18
К сожалению, не всегда хватает примерочных кабин, поэтому покупателю приходится ждать своей очереди, что увеличивает затраты времени покупателя на дополнительное обслуживание
Кроме того, было проведено исследование мнение покупателей об уровне культуры в магазине (табл. 2.4.)
Таблица 2.4. Факторы, влияющие на уровень культуры обслуживания в УП «Универмаг Беларусь»
|
Фактор |
Собственное наблюдение |
Опрос покупателей |
||||||
|
1 |
2 |
3 |
4 |
5 |
6 |
7 |
||
|
Персонал |
4 |
4 |
4 |
4 |
4 |
4 |
4 |
4 |
|
Ассортимент |
3 |
3 |
3 |
2 |
1 |
3 |
3 |
1 |
|
Качество |
4 |
4 |
4 |
2 |
4 |
3 |
4 |
4 |
|
Цена |
3 |
3 |
3 |
2 |
3 |
3 |
3 |
3 |
|
Итого |
14 |
14 |
14 |
9 |
12 |
13 |
14 |
12 |
Так, положительно оценил работу магазина 3 из 7 опрошенных, соответственно и коэффициент культуры обслуживания равен:
Км = 3/7 = 0,42
Таким образом, даже с учетом того, что затраты времени на ожидание обслуживания приемлемы, в целом культура обслуживания в магазине желает лучшего: более широкий ассортимент, доброжелательный персонал, высокое качество товаров и низкие цены.
Список использованных источников
Акулич И.Л. Маркетинг: Учебник для экон. спец. вузов. - Мн.:Выш. шк., 2000. – 447 с.
Багиев Г.Л. Маркетинг: Учебник/ Г.Л. Багиев, В.М. Тарасевич, Х. Анн; Под общ. ред. Г.Л. Багиева. – 2-е изд., перераб. и доп.-М.:Экономика, 2001. – 718с
Бланк И.А. Управление торговым предприятием: Учебник / Бланк Игорь Александрович. – М.: ТАНДЕМ, 1998. – 415 с.
Бланк И.А. Торговый менеджмент. – Киев: Украинско-Финский ин-т менеджмента и бизнеса, 1997. – 405 с.
Валевич Р. П, Давыдова Г.А. Экономика торгового предприятия: Учеб. пособ. для студ. спец. «Коммерческая деят. на рынке товаров и услуг» вузов. – Мн.: Выш. шк., 1996. - 367 с.
Виноградова С.Н. Организация и технология торговли: Учебник. – Мн.: Выш.школа, 1998. – 223 с.
Данкел Ж. Деловой этикет. Серия «1000 секретов успеха». Ростов н/Д: Феникс, 2001. – 81 с.
Дашков Л.П., Памбухчиянц В.К. Коммерция и технология торговли: Учебник для студентов высших учебных заведений. – 3-е изд., перераб. и доп. – М.: Издательско-книготорговый центр «Маркетинг», 2001. – 596 с.
Девис Ф. Создай себе имидж/ Пер. с англ. С.И. Ананин; Худ. обл. М.Б. Драко. – Мн.: ООО «Попурри», 1999. – 135c.
Джордж Р. Деловая этика. В 2 т. Т. 2. – М.: «Прогресс, Экономическая школа», 2001, – 554 с.
Ильенкова Н.Д. Спрос: анализ и управление: Учеб. пос. для экон. спец. вузов / Под ред. И.К. Беляевского. – 2-е изд., перераб. и доп.-М.: Финансы и статистика, 2000.-255 с.
Кабушкин Н.И., Карсеко Р.М. Управление процессами труда на предприятии торговли: Учебное пособие. – Мн.:БГЭУ, 1993. – 208 с.
Лебедева С.Н. и др. Экономика торгового предприятия: Учеб. пособие по спец. «Мир.экон. и междунар. экон. отн.» для вузов/ С.Н. Лебедева, Н.А. Казиначикова, А.В. Гавриков; Подред.С.Н. Лебедевой. – 2-е изд. – Мн.: Новое знание, 2002.-240 с.
Организация коммерческой деятельности: Справ. пособие / С.Н. Виноградова, С.П. Гурская, О.В. Пигунова и др.; Под общ. ред. С.Н. Виноградовой. – Мн.: Выш.шк., 2000. – 464 с.
Памбухчиянц О.В. Технология розничной торговли: Учебник для нач. проф. образ. по проф. «Продавец, контролер-кассир» / Памбухчиянц Ольга Валерьевна. – 2-е изд., перераб. и доп. – М.: Маркетинг, 2001. – 283 с.
Панкратов Ф.Г. Коммерческая деятельность: Учебник для вузовпо спец. «Коммерция» / Панкратов Федор Григорьевич; Ф.Г. Панкратов, Т.К. Серегина. – 5-е изд., перераб. и доп. – М.: Маркетинг, 2002. – 579 с.
Платонов В.Н. Организация торговли: Учеб.пособие для вузов. – Мн.: БГЭУ, 2002. – 287 с.
Сашко В. Постигая культуру торговли / В. Сашко // Беларуская думка. – 2003. – N6.-С. 103–104.
Торгово – закупочная деятельность. Ч. 1: Подборка законод. и норм. актов / Сост. Г.И. Коротаева. Мн.: Издатель Коротаева Г.И., 1998. – 106 с.
УП «Универмаг Беларусь» и строительство метро // Белорусская торговая газета. – 2003. – №19. – С. 4
Щур Д.Л., Труханович Л.В. Основы торговли. Розничная торговля: Настольнаякнига руководителя, главбуха и юриста / Щур Д.Л., Труханович Л.В. – М.: Дело и Сервис, 1999. – 704 с.
Экономика торгового предприятия: Учеб. пособие для уч-ся проф. лицеев и училищ /Авт. сост. М.Н. Греховодова. Ростов н / Д.: Феникс, 2001. – 190 с.