Исследование цен и эластичности спроса на холодильники в условиях г. Днепропетровска
1
ДНЕПРОПЕТРОСКИЙ УНИВЕРСИТЕТ ЭКОНОМИКИ И ПРАВА
КАФЕДРА МАРКЕТИНГА
КУРСОВАЯ РАБОТА
по дисциплине «Маркетинговые исследования»
на тему
«Исследование цен и эластичности спроса на холодильники в
условиях г. Днепропетровска»
Днепропетровск 2006
СОДЕРЖАНИЕ
ВВЕДЕНИЕ
РАЗДЕЛ 1 ТЕОРЕТИЧЕСКИЕ ОСНОВЫ МАРКЕТИНГОВЫХ ИССЛЕДОВАНИЙ СПРОСА
1.1 Сущность и методы маркетинговых исследований спроса
1.2 Эластичность спроса как предмет маркетингового исследования
1.3 Сущность и этапы проектирования маркетингового исследования
РАЗДЕЛ 2. СТАТИСТИЧЕСКИЕ ИССЛЕДОВАНИЯ ЦЕН ПРЕДЛОЖЕНИЯ НА ХОЛОДИЛЬНИКИ В Г.ДНЕПРОПЕТРОВСКЕ
2.1 Программа маркетингового исследования цен предложений на холодильники
2.2 Система сбора исходной ценовой информации
2.3 Статистическое группирование исходных выборок ценовой информации и определение ценовых сегментов рынка
2.4 Статистический анализ основных потребительских характеристик спроса на рынке холодильников
РАЗДЕЛ 3. ЭКСПЕРИМЕНТАЛЬНОЕ ИССЛЕДОВАНИЕ ЭЛАСТИЧНОСТИ СПРОСА НА ХОЛОДИЛЬНИКИ В Г.ДНЕПРОПЕТРОВСКЕ
3.1 Программа маркетингового исследования эластичности спроса на холодильники
3.2 Статистическая выборка стоимости различных моделей холодильников и уровня продаж по каждой марке
3.3 Оценка показателей кривых эластичности спроса на отдельные модели холодильников
ВЫВОДЫСПИСОК ИСПОЛЬЗОВАННОЙ ЛИТЕРАТУРЫ
ПРИЛОЖЕНИЯ
ВВЕДЕНИЕ
Изучение спроса на рынке сейчас становится первоочередной задачей при функционировании предприятия. Постоянное отслеживание спроса и способность моментально реагировать на малейшие его изменения (то есть гибкость производства) – все это предопределяет выживание и успешную работу предприятия.
Маркетинговые исследования - это систематический сбор и объективная запись, классификация, анализ и представление данных, относящихся к поведению, потребностям, отношениям, мнениям, мотивациям и т. д. отдельных личностей, предприятий, государственных учреждений в контексте их предпринимательской, экономической, общественной, каждодневной деятельности.
Маркетинговые исследования призваны оказать помощь в определении потенциала рынка (размер рынка, тенденции развития, потенциал роста рынка), анализе покупателей (их нужды и запросы, нерешенные задачи, незаполненные ниши), оценке конкурентной ситуации на рынке (выявление основных конкурентов, их доли рынка, стратегии, преимущества и недостатки по сравнению с Вашим предприятием).
Целью настоящей курсовой работы было маркетинговое исследование спроса на товары длительного пользования в условиях, приближенных к совершенной конкуренции, чему соответствуют условия рынка большого города – большое количество относительно независимых продавцов и большое количество покупателей.
Предметом исследования курсовой работы был спрос населения на бытовые товары длительного пользования (холодильники) в разных ценовых категориях.
Объектом исследования курсовой работы было изучение спроса на холодильники в г.Днепропетровске.
Полученные результаты могут быть использованы при работе сети магазинов реализации бытовой техники.
РАЗДЕЛ 1 ТЕОРЕТИЧЕСКИЕ ОСНОВЫ МАРКЕТИНГОВЫХ
ИССЛЕДОВАНИЙ СПРОСА
1.1 Сущность и методы маркетинговых исследований спроса
Термин «маркетинг» (marketing) происходит от английского слова «market»(рынок) и означает процесс продвижения на рынок, деятельность в сфере рынка[ 4 ].
В широком понимании маркетинг, по мнению американских ученых - это «предвидение, управление и удовлетворение спроса на товары, услуги, организации, людей, территории и идеи посредством обмена». Иными словами, маркетинг не ограничивается предпринимательской деятельностью, а может распространяться на функционирование некоммерческих организаций (обществ, партий, благотворительных фондов), идеи, услуги, отдельных людей (например, политиков, известных артистов или спортсменов) и даже регионы (скажем, богатые запасами природных ресурсов или рекреационные зоны)[ 1 ],[ 7 ].
Укрупненная классификация методов маркетинговых исследований приведена на рис.1.1.
Методы маркетинговых исследований в первую очередь делятся на методы сбора первичных и методы сбора вторичных данных.
Первичные данные — информация, собранная исследователем специально для решения конкретной проблемы.
Чаще всего под проведением маркетингового исследования понимают именно сбор первичной информации. Методы сбора первичных данных, в свою очередь, делятся на методы сбора качественных данных, методы сбора количественных данных и так называемые mix-методики.
Вторичные данные — информация, собранная когда-либо для каких-либо целей, не связанных с текущей задачей.

Рис.1.1. Классификация методов маркетинговых исследований
Качественное исследование отвечает на вопросы «как» и «почему». Данный тип исследований позволяет получить очень подробные данные о поведении, мнении, взглядах, отношениях очень небольшой группы лиц. Полученные данные не могут быть выражены количественно (за редким исключением), однако дают хорошее представление об образе мыслей потребителей.
Качественные исследования незаменимы при разработке новых товаров, рекламных кампаний, изучении имиджа фирм, торговых марок и решении других сходных задач.
Основные методы качественных исследований: фокус-группы, глубинные интервью, анализ протокола.
Фокус-группа представляет собой групповое интервью, проводимое модератором в форме групповой дискуссии по заранее разработанному сценарию с небольшой группой «типичных» представителей изучаемой части населения, сходных по основным социальным характеристикам.
Глубинное интервью — слабоструктурированная личная беседа интервьюера с респондентом в форме, побуждающей последнего к подробным ответам на задаваемые вопросы.
Анализ протокола заключается в помещении респондента в ситуацию принятия решения о покупке, в процессе которого он должен подробно описать все факторы, которыми он руководствовался при принятии этого решения.
Количественное исследование отвечает на вопросы «кто» и «сколько». Данный тип исследований, в отличие от качественного, позволяет получить выраженную количественно информацию по ограниченному кругу проблем, но от большого числа людей, что позволяет обрабатывать ее статистическими методами и распространять результаты на всех потребителей. Количественные исследования помогают оценить уровень известности фирмы или марки, выявить основные группы потребителей, объемы рынка и т. п.
Основные методы количественных исследований — это различные виды опросов и аудит розничной торговли (retail audit):
Опрос предполагает выяснение мнения респондента по определенному кругу включенных в анкету вопросов путем личного либо опосредованного контакта интервьюера с респондентом.
Аудит розничной торговли включает в себя анализ ассортимента, цен, дистрибуции, рекламных материалов в розничных точках по исследуемой товарной группе.
Mix-методики — смешанные методы исследований, довольно удачно сочетающие в себе достоинства качественных и количественных методов.
Основные виды mix-методик: hall-тесты, home-тесты и mystery shopping:
- Hall-test — метод исследования, в ходе которого довольно большая группа людей (до 100-400 человек) в специальном помещении тестирует определенный товар и/или его элементы (упаковку, рекламный ролик и т. п.), а затем отвечает на вопросы (заполняет анкету), касающиеся данного товара.
- Home-test — аналогичен hall-тесту, с той лишь разницей, что тестиро-вание товара происходит в домашних условиях (дома у респондента). Используется этот метод при необходимости длительного тестирования товара.
- Mystery Shopping — метод исследований, предполагающий оценку уровня обслуживания с помощью специалистов, выступающих в роли подставных покупателей (заказчиков, клиентов и т. п.).
Кабинетные исследования — это сбор и анализ вторичной информации. Источниками информации выступают: публикации, СМИ, Интернет, внутрифирменные документы, отчеты конкурентов, данные статистики, правительственные публикации, законодательство и др. Для проведения исследования проводится подбор материала (ксерокопии, распечатки прикладываются к исследованию) по интересующей проблеме. Собранный материал систематизируется и анализируется. Результаты представляются наглядно в виде диаграмм, схем, таблиц и др., и сопровождаются выводами и рекомендациями.
Исследовав рынок, фирма выясняет собственные возможности работы на нем. Она избираем то направление маркетинговых усилий, на котором может добиться конкурентного преимущества с учетом своих целей и имеющихся ресурсов, то есть целевой рынок (сегмент рынка).
После проведенных исследований и аналитической работы формируются маркетинговые стратегии и программы деятельности фирмы для целевых рынков[ 8 ].
Автором понятия «комплекс маркетинга» является американский ученый Е. Дж. Маккарти. В структуре комплекса маркетинга он выделяет 3 уровня[12 ].
1) потребности, покупатели, завоевания которых является основной целью маркетинга;
2) переменные, управляемые и контролируемые фирмой: товарный ассортимент; место и время реализации; цена и ценовая политика; сбытовая сеть; реклама; стимулирование сбыта;
3) окружающая среда, то есть не поддающаяся внутрифирменному управлению факторы – политика, право, культурное и социологическое окружение, конкуренты, институциональная система.
При этом управляемые переменные маркетинга (второй уровень) тесно связаны с окружающей средой (третьим уровнем) и должны находиться в ней в устойчивом равновесии. Только в этом случае маркетинговые действия фирмы обеспечивают высокую конкурентноспособность продукции, достижение успеха у потребителей, максимальное удовлетворение их потребностей, а также получение целевой прибыли самой фирмой. Неверная же ориентация в окружающей среде ведет к поражению в маркетинге.
В более узком значении под комплексом маркетинга (маркетингом-микс) понимаются основные инструменты маркетинга. Е. Дж. Маккарти описывает их с помощью концепции «4 P’S». Аббревиатура расшифровывает как product, price, plate, promotion и подразумевает[ 12 ].:
- продукт как таковой, то есть набор изделий и услуг с определенными свойствами особенностями создания м упаковки, которые фирма предлагает целевому рынку (product);
- цену продукта, то есть денежную сумму, которую потребители должны уплатить для получения товара (price);
- место реализации продукта, собственно рынок (place);
- продвижение, то есть деятельность фирмы по информированию покупателей о достоинствах своего товара и их убеждению в необходимости покупки данного товара (promotion);
Первые два Р (product и price), как видим, относятся к продукту, другие два (place и promotion) – к системе распределения.
Концепция «4 P’s» получила поддержку многих ученых в области маркетинга, так Ф. Котлер [ 7 ].под комплексом маркетинга (маркетингом-микс) понимает набор поддающихся контролю переменных факторов маркетинга, совокупность которых фирма использует в стремлении вызвать желаемую ответную реакцию со стороны целевого рынка. Основными элементами комплекса маркетинга он считает: товар, цену, методы распределения (распространения) и продвижения товара.
Маркетинговые исследования требуются, если производитель товаров хочет сориентироваться относительно рынков, на которых он может реализовать свою продукцию, и факторов, воздействующих на данные рынки. Иными словами, производителей и, прежде всего, маркетинговые службы многих предприятий интересует рынок сбыта продукции.
Р
ынок
сбыта отдельного товара можно условно
разделить на несколько частей: потребители,
которые не знают о товаре (спящий
сегмент); знают о товаре, но не приобретают
его; приобретают продукцию конкурентов;
приобретают нашу продукцию (конкретного
предприятия).




Рис.1.2. Структура потребителей
Основная цель изучения конъюнктуры товарного рынка – установить, в какой мере деятельность промышленности и торговли влияет на состояние рынка, на его развитие в ближайшем будущем и какие меры следует принимать, чтобы полнее удовлетворить спрос населения на товары, более рационально использовать имеющиеся у производственного предприятия возможности. Результаты изучения конъюнктуры предназначены для принятия оперативных решений по управлению производством и сбытом товаров.
Прогноз соотношения товарного предложения и потребностей рынка в товарах - это анализ емкости рынка.
Различают потенциальную, минимальную и реальную емкость (рис.1.3). Потенциальная емкость рынка (рыночный потенциал) – это тот верхний предел, к которому стремятся рыночный спрос и объемы продаж по мере наращивания маркетинговых расходов всех фирм, действующих на данном рынке[ 12].

Рис. 1.3. Рыночный спрос и емкость рынка как функция расходов на маркетинг
Минимальная емкость рынка (рыночный минимум) – это тот минимум товаров, который может быть реализован на данном рынке при полном отсутствии каких-либо расходов фирм на стимулирование покупательского спроса. Реальная емкость рынка – это рыночный спрос, отвечающий величине реально сделанных маркетинговых расходов. После достижения точки начала потенциала емкости рынка дальнейшее наращивание затрат маркетинга на дает ожидаемой эффективности [8].
1.2 Эластичность спроса как предмет маркетингового исследования
Спрос – это форма выражения потребности, предъявленная на рынке и обеспеченная соответствующим количеством денег[10]. Другими словами,
спрос - это платежеспособная потребность.
Особенности подразделения типов спроса можно отразить следующей схемой [7]:
Потребительский спрос
Функциональный
Нефункциональный
Социальные эффекты Спекулятивный
Нерациональный
Эффект Эффект Эффект Эффект
большинства сноба Веблена Гиффена
Рис.1.5. Структурная схема потребительского спроса
Полезность блага – это способность экономического блага удовлетворять одну или несколько человеческих потребностей. В результате исследований в 19 веке была выявлена закономерность: потребляемые последовательно части какого-то блага обладают убывающей полезностью для потребителя.
Введя понятия – общая полезность блага для общества и предельная полезность увеличения блага для индивидуума ( как производная общей полезности блага), можно констатировать, что максимум удовлетворения общей полезности достигается в точке А, когда предельная полезность становится равной нулю. Если дальнейшее потребление приносит вред (предельная полезность блага отрицательна), то общая полезность снижается. Итак, чем большим количеством блага мы обладаем, тем меньшую ценность имеет для нас каждая дополнительная единица этого блага. Таким образом цена блага для потребителя определяется не общей, а предельной полезностью блага. Поскольку предельная полезность экономического блага для потребителя снижается, то производитель может продать дополнительное количество своей продукции только в том случае, если снизит цену.
Закон уменьшения предельной полезности лежит в основе определения спроса, поскольку формирует соотношение спрос на благо – цена блага, которую готов уплатить потребитель при различном объеме предлагаемых благ на рынке.
При этом, исследуя функцию полезности , исследователи пришли к выводу, что на предельную полезность оказывает существенное влияние –
редкость блага (парадокс низкой цены на воду + ее высокая предельная полезность – высокая цена на алмазы + их низкая предельная полезность)[12].
В современной теории потребительского выбора предполагается, что:
1) денежный доход потребителя ограничен; 2) цены не зависят от количества благ, покупаемых отдельными домохозяйствами; 3) все покупатели прекрасно представляют предельную полезность всех продуктов; 4) потребители стремятся максимизировать совокупную полезность.
Теория потребительского выбора основывается на последующих постулатах [9]:
1. Множественность видов потребления. Каждый потребитель желает потреблять множество разнообразных индивидуальных благ.
2. Ненасыщенность. Потребитель стремится иметь большее количество любых товаров и услуг, он не пресыщен ни одним из них. Предельная полезность всех благ всегда положительна.
3. Транзитивность. Теория потребительского выбора исходит из постоянства и определенной согласованности вкусов потребителя.
4. Субституция. Потребитель согласен отказаться от небольшого количества блага А, если ему предложат взамен большее количество блага-субститута В.
5. Убывающая предельная полезность. Предельная полезность какого-либо блага уменьшается с увеличением общего количества, которым располагает потребитель.
Потребительский выбор – это выбор, максимизирующий функцию полезности рационального потребителя в условиях ограниченности ресурсов (денежного дохода).
Таким образом, разумный (рациональный) потребительский выбор не только предполагает сопоставление дополнительных выгод и дополнительных затрат, но и равенство между ними на основе взвешенных предельных полезностей = отношению порции предельной полезности к ее цене.
Наряду с общими принципами выбора рационального потребителя существуют особенности, которые определяются влиянием на него вкусов и предпочтений [15]:
а) Эффект присоединения к большинству. Потребитель, стремясь не отставать от других, приобретает то, что покупают другие. Он зависит от мнения других потребителей, и эта зависимость прямая.
б) Эффект сноба. В этом случае у потребителя доминирует стремление выделиться из толпы. И здесь отдельный потребитель зависит от выбора других, но эта зависимость обратная.
в) Эффект Веблена. Престижное или демонстративное потребление , когда товары и услуги используются не по прямому назначению, а для того, чтобы произвести на окружающих неизгладимое впечатление.
Уже в XIX в. было замечено, что с ростом реального дохода потребление вторичных благ возрастает быстрее, чем благ первой необходимости. Первым исследователем, занимавшимся вопросами влияния изменения дохода на структуру потребительских расходов был Эрнст Энгель. Кривые Энгеля в современной интерпретации представлены на рис.1.6. Отложим на оси абсцисс доход потребителя I, а на оси ординат – количество оплачиваемых им продуктов Q. Прежде всего происходит насыщение продовольственными товарами, затем промышленными товарами стандартного качества и лишь позднее высококачественными товарами и услугами. Отмечена любопытная закономерность: даже после перехода к потреблению высококачественных товаров и услуг происходит новый всплеск спроса на промышленные товары стандартного качества, которые используются потребителем для повседневных нужд [2].
Q
высококачественные товары и
услуги
промышленные товары стандартного
потребительского качества
продовольственные товары
0 I
Рис. 1.6. Кривые Энгеля
Эффект замещения – это эффект изменения наклона бюджетной линии
ограничения потребителя при изменении цены на одно из видов благ, который вызывает возможность в рамках одного бюджета увеличить потребление одного из благ за счет уменьшения цены на второе благо.
Эффект дохода (эквивалентно снижению цен на товары) – это воздействие, оказываемое на спрос потребителя за счет изменения реального дохода, вызванного изменением цен на блага без учета эффекта его замещения.
Это эквивалентно параллельному смещению бюджетной линии и соприкосновению с кривой безразличия более высокого порядка
В случае с нормальными товарами эффект дохода и эффект замещения складываются, так как происходит расширение потребления нормальных товаров.
Разграничение эффекта дохода и эффекта замещения имеет важное значение для понимания закономерностей ценообразования в условиях рыночной экономики и позволяет определить изменение спроса при росте или падении цен на товары и услуги.
Существует группа благ, спрос на которые изменяется необычным образом. Впервые на них обратил внимание английский экономист Роберт Гиффен (парадокс Гиффена). Товар Гиффена – это товар, занимающий большое место в бюджете малоимущих потребителей, спрос на который при прочих равных условиях изменяется в том же направлении , что и цена, поскольку эффект дохода превышает эффект замещения.
Если для нормальных товаров эффект дохода и эффект замещения (субституции) складываются, то для низкокачественных товаров они вычитаются. Низкокачественным товаром – называются блага, спрос на которые растет при росте их цены и падает при их снижении [7].
Поскольку потребности людей взаимосвязаны между собой, то и блага, их удовлетворение, находятся в определенной зависимости друг от друга. Поэтому развитие общества , производственно-технологический и научно-технический прогресс позволяет вывести на потребительский рынок новые товары – заменители (субституты).Для товаров современного мира характерна еще одна особенность – технологическая взаимодополняемость (взаимосвязь) при потреблении (комплементарность) [3].
Учитывая это, ценовое влияние на спрос по отдельному товару состоит из следующих составляющих :
1. Собственно цена на товар, определяемая производственной функцией ,т.е. затратами ресурсов на производство и доставку товаров на рынок.
2. Цены на появившиеся на рынке товары-субституты, которые могут вытеснить товар с рынка в процессе ценовой конкуренции.
3. Цены на товары-комплементы, изменение цен на которые может привести к снижению покупательского спроса на систему товаров в целом.
4.Количество покупателей (сезонность, рождаемость, изменение возрастных прослоек населения).
5. Ценовые ожидания покупателей (ажиотажный спрос).
6. Изменение доходов покупателей
Эластичность спроса — изменение спроса на данный товар под влиянием экономических и социальных факторов, связанных с изменением цен; спрос может быть эластичным, если процентное изменение его объема превышает снижение уровня цен, и неэластичным, если степень снижения цен выше прироста спроса.
А) Ценовая эластичность
Согласно закону спроса, потребители при снижении цены будут приобретать большее количество продукции. Однако степень реакции потребителей на изменение цены может значительно варьироваться от продукта к продукту.
Экономисты используют концепцию ценовой эластичности для определения чувствительности потребителей к изменению цены продукции. Если небольшие изменения в цене приводят к значительным изменениям в количестве покупаемой продукции, то такой спрос называют относительно эластичным или просто эластичным
При эластичном спросе объем продаж 2 (площадь фигуры КМЛС) при снижении цены P больше объема продаж 1(площадь фигуры АБДС).
Если существенное изменение в цене ведет к небольшому изменению в количестве покупок, то такой спрос относительно неэластичный или просто неэластичный (Рис.1.8).

Рис.1.8. Характеристическая кривая неэластичного спроса ( зави-
симости объема продаж D от цены единицы товара Р)
При неэластичном спросе объем продаж 2 (площадь фигуры КМЛС) при снижении цены P больше объема продаж 1(площадь фигуры АБДС).Когда процентное изменение цены и последующее изменение количества спрашиваемой продукции равны по величине, то такой случай называют единичной эластичностью (рис.1.9).

Рис.1.9. Характеристическая кривая спроса с единичной эластичностью
(зависимостью объема продаж D от цены единицы товара Р)
При спросе с единичной эластичностью объем продаж 2 (площадь фигуры КМЛС) при снижении цены P равна объему продаж 1(площадь фигуры АБДС).
Если изменение цены не приводит ни к какому изменению количества спрашиваемой продукции, то такой спрос является совершенно неэластичным.
Если самое малое снижение цены побуждает покупателей увеличивать покупки от нуля до предела своих возможностей, то такой спрос является совершенно эластичным (Рис.1.10).


Рис.1.10. Характеристические кривая спроса при совершенно
неэластичном и совершенно эластичном спросе
Б) Формула ценовой эластичности
Степень ценовой эластичности или неэластичности определяют с помощью коэффициента эластичности (Ed).

Ed= (1.1)
Процентные изменения вычисляются путем деления величины изменения в цене на первоначальную цену, и следующего за этим изменения в количестве спрашиваемой продукции на то количество продукции, на которое спрос предъявлялся первоначально.
изменение кол-ва спрашиваемой продукции изменение цены
первоначальное кол-во спрашиваемой продукции первоначальная цена
E
d=
(1.2)
Использование процентных изменений позволяет избежать ошибок в расчетах при использовании произвольных единиц измерения.
Ценовой коэффициент эластичности всегда будет иметь отрицательный знак (т.к. закон спроса представляет собой обратную зависимость количества продукта от цены), поэтому рассматривается только абсолютная величина коэффициента эластичности.
В) Оценка эластичности по показателю общей выручки
1. Эластичный спрос (Ed>1). Если спрос эластичен, уменьшение цены приведет к увеличению общей выручки. Потому что даже при меньшей цене, уплачиваемой за единицу продукции, прирост продаж оказывается более чем достаточным для компенсации потерь от снижения цены. Верно и обратное: при эластичном спросе увеличение цены приведет к уменьшению общей выручки.
Если спрос эластичен, изменение цены вызывает изменение общей выручки в противоположном направлении.
2. Неэластичный спрос (Ed<1). Если спрос неэластичен, уменьшение цены приведет к уменьшению общей выручки. Расширение продаж оказывается недостаточным для компенсации снижения выручки, получаемой с единицы продукции, и в результате общая выручка уменьшается. Обратное утверждение тоже верно,
Если спрос неэластичен, уменьшение цены вызывает изменение общей выручки в том же направлении.
3. Единичная эластичность (Ed=1). Увеличение или уменьшение цены оставит общую выручку неизменной.
Таблица 2.1 Ценовая эластичность спроса
|
Величина коэффициента эластичности |
терминология |
Объяснение терминов |
Влияние на выручку |
|
|
увеличение цены |
уменьшение цены |
|||
|
Ед > 1 |
эластичный или относительно эластичный спрос |
процентное изменение количества спрашиваемой продукции превышает процентное изменение цены |
Общая выручка падает |
Общая выручка растет |
|
Ед = 1 |
единичность или единичная эластичность спроса |
процентное изменение количества спрашиваемой продукции равно изменению цены |
Общая выручка неизменна |
Общая выручка неизменна |
|
Ед < 1 |
неэластичный или относительно неэластичный спрос |
процентное изменение количества спрашиваемой продукции меньше, чем изменение цены |
Общая выручка растет |
Общая выручка падает |
Г) Свойства эластичности
Эластичность и ценовые интервалы. Эластичность варьируется в зависимости от выбранного ценового интервала. Для кривых спроса обычно эластичность оказывается более значительной в верхнем левом углу графика по сравнению с правым нижним. Это арифметическое свойство единиц измерения эластичности, связанное с первоначальным количеством и ценой, от которых ведется отсчет.
Эластичность и наклон кривой спроса. Внешний вид графика не может служить надежным основанием для суждения об эластичности спроса. Наклон кривой спроса зависит от абсолютных изменений цены и количества продукции, тогда как теория эластичности имеет дело с процентными изменениями цены и количества.
Д) Изменяющиеся и постоянные эластичные кривые спроса
Эластичность определяется на заданном интервале. Определение ее на некотором другом интервале может быть таким же или измениться в зависимости от формулы спроса.
Линейная кривая спроса. Эластичность интервалов цен и количества спроса неодинакова на всей прямой, отображающей спрос. Эластичность изменяется по мере движения вниз по кривой спроса.
Кривая спроса постоянной эластичности. Кривая спроса может быть представлена нелинейно. Кривая может иметь такую форму, что эластичность может быть постоянной на любом произвольно взятом интервале.
Е) Факторы ценовой эластичности спроса
1. Заменяемость. Чем больше хороших заменителей данного продукта предлагается потребителю, тем эластичнее бывает спрос на него. Эластичность спроса на продукт зависит от того, насколько узко определены границы этого продукта.
2. Удельный вес в доходе потребителя. Чем больше места занимает товар в бюджете потребителя, при прочих равных условиях, тем выше эластичность спроса на него.
3. Предметы роскоши и предметы необходимости. Спрос на предметы необходимости обычно является неэластичным, спрос на предметы роскоши обычно эластичен.
4. Фактор времени. Спрос на продукт более эластичен, чем длиннее время для принятия решений. Это зависит от привычек потребителя , долговечности продукта.
Ж)Перекрестная эластичность
Концепция перекрестной эластичности позволяет измерять, насколько чувствителен потребительский спрос на один продукт (товар Х) к изменению цены какого-то другого продукта (товар Y).
E
xy=
(1.3)
Эта концепция позволяет понять явления взаимозаменяемости и взаимодополняемости товаров. Если коэффициент перекрестной эластичности спроса имеет положительное значение, то есть количество спрашиваемой продукции Х варьирует в прямой зависимости от изменения цены продукта Y, то продукты Х и Y являются взаимозаменяемыми товарами. Чем больше положительный коэффициент, тем больше степень заменяемости двух данных товаров. Если коэффициент перекрестной эластичности имеет отрицательное значение, то товары Х и Y являются взаимодополняемыми товарами. Чем больше величина отрицательного коэффициента, тем больше взаимодополняемость двух данных товаров. Нулевой или почти нулевой коэффициент свидетельствует о том, что два товара не связаны между собой, то есть являются независимыми товарами.
З)Эластичность спроса по доходу
Эластичность спроса по доходу позволяет измерить процентное изменение количества спрашиваемой продукции, обусловленное тем или иным изменением дохода потребителя.

Ei= (1.4)
Для большинства товаров этот коэффициент будет иметь положительное значение (для товаров высшей категории). Значение коэффициента будет значительно варьироваться от товара к товару. Отрицательное значение коэффициента эластичности спроса по доходу свидетельствует о товаре низшей категории.
И)Сравнение кратко- и долгосрочного коэффициентов эластичности
При анализе спроса и предложения важно выделять продолжительность периода времени. Другими словами, необходимо определить период времени, через который мы будем определять изменения. При промежутке менее года — краткосрочный период. В целом кривые спроса и предложения за короткий промежуток времени выглядят совершенно иначе, чем за долговременный.
Для многих товаров спрос более эластичен от цены для длительного, а не для короткого. Это обусловлено тем, что изменение потребительских привычек требует времени, а также тем, что спрос на один товар может быть связан с запасом другого товара у потребителей, который изменяется медленнее.
Для других товаров спрос более эластичен для краткосрочного, а не долгосрочного периода. Это товары длительного пользования, поэтому суммарный запас каждого товара, принадлежащего потребителям велик по сравнению с ежегодным объемом их производства. В результате небольшое изменение в суммарном запасе, которым хотят обладать потребители, может привести к большому в процентном выражении изменению объема покупок.
Эластичность спроса от дохода также различна для долгосрочного и краткосрочного периодов. Для большинства товаров и услуг эластичность спроса от дохода больше в долгосрочном периоде, т.к. люди могут позволить себе увеличение потребления лишь постепенно. Для товаров длительного пользования — обратная картина. Даже незначительное увеличение дохода приводит к резкому увеличению объема текущих покупок. Из-за того, что спрос на товары длительного пользования колеблется очень резко в ответ на краткосрочные изменения дохода, отрасли, производящие эти товары, очень чувствительны к изменению макроэкономических условий. Это касается деловой активности — спадов и бумов. Недаром эти отрасли называют “цикличными” — их сбыт имеет тенденцию увеличивать циклические изменения в ВНП и национальном доходе.
1.3 Сущность и этапы проектирования маркетингового
исследования
До начала проведения любого маркетингового исследования обязательно составляется проект исследования (эскиз проекта исследования), который знаменует начало первого подготовительного этапа работы. Проект представляет собой перечень пунктов, проблем, которые необходимо прояснить до начала работы и который дает возможность уточнить предмет исследования, выявить реальную стоимость затрат и ресурсов, согласовать с заказчиком некоторые вопросы с тем, чтобы не возникло проблем и противоречий (между заказчиком й исполнителем) после завершения исследования при сдаче его результатов. Эскиз проекта исследования включает следующие основные пункты [22]:
Информационные потребности
Программа исследований
Генеральная совокупность и выборка
Инструментарий
Система сбора информации
Методы обработки данных
Отчет (оформление результатов исследований)
Потребности и ресурсы
График проведения исследования и смета
10. Общая стоимость исследования
Естественно, при разработке зскиза проекта не все его пункты могут быть представлены максимально конкретно; многие из них уточняются, дополняются уже в ходе проведения исследования. В то же время наличие подобного эскиза позволяет дать заказчику представление о том, какая информация может быть получена в результате проведения исследования, а также оценить финансовые возможности его осуществления. Нередко, в частности при проведений социологических эмпирических исследований, вместо эскиза проекта представляется только программа, которая включает первые шесть из названных выше пунктов. Рассмотрим кратко перечисленные составляющие проекта исследования.
Уточнение информационных потребностей. Это один из ключевых этапов организации эмпирического маркетингового исследования, в процессе которого уточняется задание, «заказ» на его проведение, т. е., какая именно информация интересует заказчика. Окончательное уточнение информационных потребностей происходит уже в процессе разработки программы исследования.
Программа исследования — это изложение его цели й общей концепции, исходных гипотез, а также логической последовательности операций по их проверке. Разработка программы — чрезвычайно важный исходный этап исследования, на котором намечаются его общие контуры, формулируются цели и задачи, уточняются проблемы, выдвигаются гипотезы, избираются и обосновываются наиболее приемлемые методы и способы сбора первичной информации. В рамках программы исследования анализируются также методы сбора данных, инструментарии исследования, генеральная совокупность и выборка и некоторые другие. В проекте исследования зти вопросы рассматриваются кратко.
Определение генеральной совокупности и выборки. Эта процедура осуществляется уже в процессе разработки программы исследования. Когда требуется оперативное изучение каких-то проблем маркетинга, подробная программа не готовится. В этом случае заказчику предоставляется проект выборки. В первую очередь уточняется, что представляет собой генеральная совокупность (это, например, не всегда все население города, маркетолога может интересовать отдельная группа потребителей, в частности женщин определенной возрастной категории). Затем уточняются тип и виды выборки.
Инструментарии. В зависимости от избранных для проведения маркетингового исследования методов сбора первичной информации в качестве инструментария виступают опросные листы, методики и карточки для контент-анализа текстов, бланки наблюдения и др. При разработке проекта уточняются примерные объемы инструментария, база его тиражирования, материальные затраты на инструментарии.
Сбор информации. На этапе программирования исследования, работы над эскизом проекта в целом уточняется подход к сбору первичной информации: чьими силами он будет выполняться; откуда будут привлекаться дополнительные интервьюеры; как будет осуществляться контроль за работой интервьюеров; определяются примерные затраты на различные операции по сбору информации.
Обработка и анализ данных. Даются предложения по методам обработки данных: простые процентные распределения, двойные и тройные связи, вычисление коэффициентов корреляции, применение факторного или какого-либо иного анализа и т. п.
Оформление результатов маркетингового исследования. Предлагаются оптимальные с точки зрения исполнителя формы отчетности по результатам исследования. Это может быть экспресс-отчет, подробный отчет, пояснительная записка к количественным данным, рекомендации, прогнозы.
Потребности и ресурсы. В этом разделе эскиза проекта уточняются необходимые материальные (бумага, анкеты, ручки й др.) и технические (компьютеры, диктофоны и т. п.) ресурсы, которые потребуются при проведении работы. Здесь же выясняются вопросы, связанные с организацией транспорта, если необходимы переезды интервью юзеров, телефонной связи, гостиниц и т. п.
График проведения исследования и смета. В соответствии с пожеланиями заказчика (если он предполагает провести исследование в максимально сжатые сроки, то срочность он должен оплатить) и возможностями исполнителя составляется график проведения исследования, в который включаются операции с составлением программы исследования; проведением полевых работ, сбором информации; обработкой информации; предоставлением отчета.
Важнейшим элементом проекта исследования является смета, в которой приведены расходы на его проведение. Обычно смета включает следующие разделы:
- общее руководство проектом;
- разработка программной и методической документации;
- формирование выборки;
- проведение плотных исследований;
- тиражирование документов;
- проведение полевых работ (инструктаж интервьюеров, проведение опроса, контроль за работой интервьюеров и др.);
- обработка и анализ информации;
- подготовка отчета по результатам маркетингового исследования;
- накладные расходы (транспортные, проживание в гостинице, телефонные переговоры и т. п.).
Наличие, объем, глубина проработки программы маркетингового исследования до сего времени остаются вопросами во многом дискуссионными. Заказчики маркетинговых исследований, как правило, слабо представляют ее назначение, необходимость. Исполнители, представители исследовательских организаций стараются «не перегружать» предпринимателей и менеджеров «излишней», нередко сложной информацией и также мало внимания уделяют подготовке программ исследований. Между тем полное отсутствие программы маркетингового исследования или ее представление заказчику в полном виде — разные вещи. Действительно, заказчику можно дать какой-то краткий документ. Однако наличие у исполнителя программы маркетингового исследования в полном объеме совершенно необходимо по следующим причинам.
Основной объективной проблемой, возникающей при проведении эмпирического исследования, является то, что изучаемые социальные явления и процессы определяются понятиями достаточно сложными и абстрактными, сущность которых не может быть непосредственно зафиксирована и измерена одним вопросом анкеты (например, когда речь идет о маркетинговых исследованиях действительного рынка жилья, эффективности рекламы, типа потребителя, имиджа фирмы и т. п.). В то же время у исследователя возникает необходимость подтверждения определенных умозрительных конструктов и выдвинутых гипотез эмпирическими фактами — собственно для этого проводится эмпирическое исследование. «Выход из этой проблемной ситуации эмпирическая социология находит в поиске более конкретных характеристик, которые могут рассматриваться как индикаторы абстрактного понятия, описывающие некоторую часть, эксплицированную в социальных фактах».
Перед проведением маркетингового исследования совершенно очевидна необходимость разработки программы, в которой четко выделяются и анализируются основные понятия исследования, выдвигаются гипотезы, обосновываются границы объекта исследования.
Итак, программа маркетингового исследования представляет собой изложение его основных целей, общей концепции, исходных гипотез, логической последовательности операций по их проверке. Выделяют две части программы исследования: методологическую и процедурную. В первой части и осуществляется работа по обоснованию целей, задач исследования, формулировке его проблем, уточнению объекта и предмета исследования, теоретической и эмпирической интерпретации понятий. В процедурной части программы исследования дается характеристика выборки, в соответствии с которой собирается первичная информация, определяются наиболее эффективные методы сбора информации, описываются этапы проведения исследования, его специфика.
Выдвижение гипотез, уточнение, анализ, формулировка проблемы являются исходным пунктом любого научного исследования, и маркетинговое не составляет исключения.
Р
ис.1.11.
Структура программы маркетингового
исследования [22]
Определение целей и задач исследования возможно лишь после выделения и анализа его основной проблемы (проблем). Цель исследования ориентирует его на конечный результат. Следовательно, если исследование носит теоретико-прикладной характер, то результатом работы должны быть какие-либо общие показатели. Если речь идет об эмпирическом исследовании, то в программу закладываются те эмпирические показатели, которые необходимо проверить в ходе работы.
Различаются цели разведывательного, описательного и экспериментального исследований. В первом случае цель исследования — сбор предварительной информации, предназначенной для более четкого определения проблемы будущего описательного или экспериментального исследований, интерпретации его понятий, выдвижения гипотез. В случае с описательным исследованием цель — описание конкретных аспектов ситуации на данном рынке в данное время. Что же касается экспериментального исследования, то здесь преследуются цели выявления причинно-следственных связей, зависимостей, например между мотивами потребителей и реализацией товара на рынке; проведенной рекламной кампанией и стимулированием продаж.
Что касается конкретных задач маркетингового исследования, то они вытекают из поставленных целей и являются средствами их достижения. Практика проведения маркетинговых исследований говорит о том, что выдвигать задачи исследования лучше всего после формулировки его рабочих гипотез, включая в программу необходимое их число, «покрывающее» обоснование, проверку той или иной рабочей гипотезы. Следует иметь в виду, что, кроме основных задач исследования, исходящих из его целевой установки, в программе могут быть предусмотрены и дополнительные задачи для проверки каких-либо дополнительных проблем, подготовки будущих исследований. Задачи могут быть и методическими, призванными проверить надежность использованных методов и технологий.
Объект исследования — это социальная реальность, социальный процесс, которые выступают «носителями» противоречия, являющегося основой проблемы исследования. Это также конкретные люди, документы и т. п., выступающие как единицы анализа, наблюдения, отражающие собственно специфику данного противоречия. Предмет исследования — это наиболее значимые, с практической и теоретической точки зрения, стороны объекта, которые подлежат непосредственному изучению в процессе эмпирического исследования.
Важнейшим элементом программы намечаемого исследования должна быть эмпирическая интерпретация и операционализация его основных понятий. При проведении маркетинговых исследований эта операция нередко опускается, что приводит к их недостаточной надежности, нередко — к напрасно потраченным на исследование средствам. Речь в данном случае идет, во-первых, о поиске эмпирических значений понятия (его эмпирической интерпретации), во-вторых, о поиске конкретных эмпирических индикаторов соответствующего понятия на языке инструментария исследования (опросного листа, бланка наблюдения, теста и т. п.).
Предварительный системный анализ объекта исследования — операция, следующая непосредственно за интерпретацией понятий и имеющая не меньшее значение. Смысл этой операции состоит в том, чтобы «проявить» образ предмета исследования, сделать его четким, подвергнуть своеобразному системному анализу. Иными словами, перед тем, как приступить к изучению какого-либо объекта, необходимо определить, инвентаризировать все элементы, составляющие его, а также связи между этими элементами.
Гипотезы исследования — это обоснованные предположения относительно структуры рассматриваемых в исследовании социальных объектов, характера составляющих их элементов, механизмов функционирования и развития этих социальных объектов. Гипотеза — главный методологический инструмент организации исследования, который формулируется и обосновывается в процессе разработки программы и проверка которого ведется на протяжении всего времени исследования
РАЗДЕЛ 2
СТАТИСТИЧЕСКИЕ ИССЛЕДОВАНИЯ ЦЕН ПРЕДЛОЖЕНИЯ
НА ХОЛОДИЛЬНИКИ В Г.ДНЕПРОПЕТРОВСКЕ
2.1 Программа маркетингового исследования цен предложений на
холодильники
Маркетинговое исследование эластичности спроса на холодильники в г.Днепропетровске разбивается на 2 этапа:
- на 1 этапе - разведывательное маркетинговое исследование цен предложений на холодильники на рынке Днепропетровска для оценки сегментации рынка по потребительским свойствам холодильников и диапазонам цен предложений;
- на 2 этапе – описательное маркетинговое исследование эластичности спроса на холодильники в сегментах рынка, выделенных на 1 этапе разведывательного маркетингового исследования;
Ниже излагается программа маркетинговых исследований 1 этапа. Название программы:
«Разведывательное маркетинговое исследование цен предложений на холодильники на рынке Днепропетровска для оценки сегментации рынка по потребительским свойствам холодильников и диапазонам цен предложений».
1. Постановка и уточнение проблемы исследования:
1.1 Маркетинговое исследование цен предложений проводится в условиях большого города, т.е. рынок предложений характеризуется ситуацией близкой к совершенной конкуренции – большое количество продавцов и большое количество покупателей, т.е. отдельные продавцы не могут оказывать монопольное влияние на уровень цен предложений, а отдельные покупатели не могут оказывать монопольное влияние на уровень спроса.
1.2 Рынок предложений холодильников формируется в условиях отсутствия ограничений на доступность импортных или отечественных холодильников, т.е. на рынке между отечественной и импортной продукцией также существует совершенная конкуренция по потребительским свойствам.
2. Определение целей и задач исследования
Цель исследования — сбор предварительной информации по ценам предложения на холодильники, предназначенной для сегментации рынка предложений по холодильникам и более четкого определения проблемы описательного исследования 2 этапа по эластичности спроса на холодильники, интерпретации понятий сегментирования, выдвижения гипотез по основным параметрам сегментов рынка.
3. Определение объекта исследований
Объектом исследований являются 1-5 камерные холодильники отечественного и импортного производства, предлагаемые к продаже в г.Днепропетровске.
4. Определение предмета исследований
Предметом исследований являются потребительские свойства 1-5 камерных холодильников и их цены предложения, позволяющие определить основные сегменты рынка предложений холодильников.
5. Уточнение (интерпретация, операционализация) основных понятий исследования
Потребительские свойства холодильников рассматриваются исходя из отнесения их к товарам нормального спроса, отдельным сегментом рынка выделяются «престижные» сверхдорогие модели холодильников класса товаров Веблена.
6. Предварительный системный анализ объекта исследований
Предварительный системный анализ рынка холодильников показывает, что разбиение на сегменты рынка предложений по потребительским свойствам проводится на основе классификации:
а) Технико-потребительские характеристики
- количество камер холодильника;
- общий объем камер холодильника;
- распределение общего объема камер холодильника между морозильной и холодильной камерами;
- количество компрессоров в холодильнике;
- габариты холодильника;
- наличие системы автоматической отпайки морозильной камеры;
- наличие противообледенительной системы («NoFrost”)
б) престижно – потребительские характеристики:
- холодильники производства Украины;
- холодильники производства стран СНГ;
- холодильники производства Восточной Азии;
- холодильники производства Европы;
- холодильники производства США и Канады
7. Выдвижение рабочих гипотез исследования
Основные рабочие гипотезы исследований состоят в жизненно-необходимой смене холодильника 1 раз в 10-15 лет, даже при низкой покупательной способности населения Украины. Таким образом спрос на рынке современных холодильников будет формироваться:
- для основной группы населения по основному фактору «стоимость-гарантийный срок эксплуатации» (экономика трудовой части населения);
- для нарождающегося среднего класса по фактору «средняя стоимость –хорошие рекомендации – многофункциональность» (экономика предпринимателя);
- для «верхушки» общества по фактору «самая новая и престижная модель – независимо от высокой стоимости» (экономика люмпен-буржуазии и потребителей товаров Веблена).
8. Характеристика выборки
8.1 Единицы наблюдения
- марка холодильника, основные технические характеристики,
страна производства, цена
8.2 Тип выборки
- качественно- количественная, с единичными объектами
наблюдения и интервальной характеристикой цен
предложения;
8.3 Структура и объем выборки
- объем выборки – до 15000 моделей холодильников;
- структура выборки по маркам холодильников, основным техническим характеристикам, страна производства, цена
9. Методика и техника сбора и обработки первичной информации
9.1 Метод сбора информации
Обработка прайс-листов Интернет-магазинов по торговле
бытовыми приборами, представляющими один из каналов торговых
услуг оптово-розничных продавцов.
9.2 Рабочие документы исследований
Компьютерные файлы текстовой, графической и табличной
информации;
9.3 Первичная и вторичная обработка информации
Первичная обработка информации – размещение файлов
информации поиска в сети Интернет на диски локального
компьютера, вторичная обработка – перенос содержимого файлов в
структурированные «электронные таблицы EXCEL”
9.4 Техника обработки информации
10. Описание процесса проведения исследований
10.1 Этапы исследования
а) Поиск информации в сети Интернет
б) Копирование файлов текста, графики, таблиц по ценовым
предложениям на холодильники;
в) Структурирование информации в «электронных таблицах»
г) Статистическая и графо-аналитическая обработка информации в
«электронных таблицах»
д) Подготовка результатов в виде отчета
10.2 Сроки выполнения работ
а) 2 рабочих дня;
б) 3 рабочих дня;
в) 3 рабочих дня;
г) 2 рабочих дня;
д) 2 рабочих дня;
10.3 Характеристика исполнителей
Экономисты – опытные пользователи персональных компьютеров,
хорошо владеющие основами анализа в «электронных таблицах
EXCEL”
10.4. Характеристика форм отчетности
а) Первичные текстово-графические файлы (Приложения А, Б)
б) Графики и таблицы, полученные в «электронных таблицах»
(приведены в разделах 2.2 -2.4)
Характер финансирования
Оплата после выполнения работ
2.2 Система сбора исходной ценовой информации
В качестве системы сбора ценовой информации предложения и спроса на холодильники была использована информационная сеть Интернет-магазинов, данные получены обследованием с использованием сети Интернет (рис.2.1 – 2.3), таблицы Приложения А. Таким образом, в соответствии с методологией раздела 1, в настоящей курсовой работе использована кабинетная технология обработки вторичной информации.

Рис.2.1 Исходная информация по спросу (количество покупок за месяц) и ценам предложений по холодильникам

Рис.2.2 Исходная информация по спросу (количество покупок за месяц) и ценам предложений по холодильникам

Рис.2.3 Исходная информация по спросу (количество покупок за месяц) и ценам предложений по холодильникам

Рис.2.4 Исходная информация по спросу (количество покупок за месяц) и ценам предложений по холодильникам
2.3 Статистическое группирование исходных выборок ценовой
информации и определение ценовых сегментов рынка
Ценовой анализ предлагаемых моделей бытовой техники приведен на рис. 2.5 – 2.7.
Как показывает анализ данных, приведенных на рис.2.5 – 2.6, основным маркетинговым направлением деятельности зарубежных фирм на рынке Украины является большая диверсификация модельного ряда ( не меньше 15 моделей одновременно) бытовых приборов по цене, при этом в сегменте холодильников представлены в три ценовых категориях разными торговыми марками:
- высшая ценовая категория – цена моделей от 1000 до 1470 долларов;
- средняя бизнес – ценовая категория – цена моделей от 620 до
1000 долларов;
- низший класс массового потребителя – соперничают только фирмы
“NORD” (Украина) с ценой моделей от 200 до 300 долларов и „Indezit” с ценой моделей от 200 до 450 долларов;

Рис.2.5. Ценовой анализ сегмента рынка моделей холодильников в Украине

Рис.2.6. Ценовой анализ сегмента рынка моделей встроенных холодильников в Украине

Рис. 2.7. Структура объемов продаж главных торговых марок бытовой техники на рынке Украины
2.4 Статистический анализ основных потребительских характеристик спроса на рынке холодильников
В материалах формирования потребительских характеристик спроса и маркетинговой стратегии необходимо учитывать элементы PEST-анализа для Украины, а именно [14]:
- покупательная способность населения;
- демографическая ситуация и номинальная годовая емкость рынка потребителей бытовой техники;
национальные потребительские привычки населения Украины;
степень насыщенности рынка отечественной украинской бытовой техникой;
В табл.2.1 приведенные основные данные, которые характеризуют демографическую ситуацию и покупательную способность населения Украины.
Таблица 2.1 Показатели покупательной способности и структурные группы населения Украины [1]

Как показывает анализ данных табл.2.1:
на каждого работающего в Украине приходится 1 пенсионер и 1 неработающий (дети и студенты);
уровень доходов население недопустимо низкий для приобретения бытовых товаров стоимостью больше 200 долларов;
с учетом желательного срока службы и покупательной способности средний потребитель Украины может разрешить себе купить бытовую технику:
холодильник – 1 раз в 10 лет;
- емкость рынка потребителей бытовой техники можно оценить в размере 300 – 400 тыс.приборов каждого вида ежегодно;
В табл.2.2 приведенные данные по объемам выпуска украинской бытовой техники в Украине в 1990 – 2003 годах :
Таблица 2.2Динамика объемов выпуска бытовой техники в Украине [ ]

Как показывают данные табл.2.2 в Украине :
- производство холодильников с 1990 по 1998 год упало больше чем вдвое и практически восстановилось по объемам 1990 года в 2004 году на равные 800 – 850 тыс.шт./год, в основной, за счет производства современных 2-3 камерных холодильников и морозильных камер “NORD”;
- в 2004 – 2005 году на отечественном рынке начался выпуск новейших
холодильников марки “RAINFORD” (блочно-модульная сборка из импортных узлов на уборочных предприятиях Украины);
Таким образом, конкурентная среда рынка бытовой техники в Украине характеризуется:
на рынке холодильников существует определенная степень конкуренции отечественной техники с импортированной;
на всех других рынках бытовой техники отечественное производство практически разрушено и не может создать конкурентного сопротивления импортированным зарубежным моделям, которые конкурируют только между собою;

Рис.2.8. Объем рынка занимаемый на рынке Украины «пятеркой»
торговых марок лидеров (сегмент холодильников)
Холодильники - ТОП-10 моделей:
|
|
|
||||||
|
|
|
||||||
|
|
|
||||||
|
|
|
||||||
|
|
|
Рис.2.9. Покупательский рейтинг в секторе холодильников в первой
десятке рейтинга
РАЗДЕЛ 3 ЭКСПЕРИМЕНТАЛЬНОЕ ИССЛЕДОВАНИЕ ЭЛАСТИЧНОСТИ СПРОСА НА ХОЛОДИЛЬНИКИ В Г.ДНЕПРОПЕТРОВСКЕ
3.1 Программа маркетингового исследования эластичности спроса
на холодильники
Маркетинговое исследование эластичности спроса на холодильники в г.Днепропетровске разбивается на 2 этапа:
- на 1 этапе - разведывательное маркетинговое исследование цен предложений на холодильники на рынке Днепропетровска для оценки сегментации рынка по потребительским свойствам холодильников и диапазонам цен предложений;
- на 2 этапе – описательное маркетинговое исследование эластичности спроса на холодильники в сегментах рынка, выделенных на 1 этапе разведывательного маркетингового исследования;
Ниже излагается программа маркетинговых исследований 2 этапа. Название программы:
«Описательное маркетинговое исследование эластичности спроса на холодильники в сегментах рынка, выделенных на 1 этапе разведывательного маркетингового исследования цен предложений на холодильники на рынке Днепропетровска».
1. Постановка и уточнение проблемы исследования:
1.1 Маркетинговое исследование цен предложений проводится в условиях большого города, т.е. рынок предложений характеризуется ситуацией близкой к совершенной конкуренции – большое количество продавцов и большое количество покупателей, т.е. отдельные продавцы не могут оказывать монопольное влияние на уровень цен предложений, а отдельные покупатели не могут оказывать монопольное влияние на уровень спроса.
1.2 Рынок предложений холодильников формируется в условиях отсутствия ограничений на доступность импортных или отечественных холодильников, т.е. на рынке между отечественной и импортной продукцией также существует совершенная конкуренция по потребительским свойствам.
2. Определение целей и задач исследования
Цель исследования — сбор информации по объемам спроса (покупок) холодильников, разбитых на сегменты рынка предложений, для выявления влияния цены холодильника в выделенном сегменте на фактический спрос (покупку) на него.
3. Определение объекта исследований
Объектом исследований являются 2-х камерные холодильники отечественного и импортного производства, предлагаемые к продаже в г.Днепропетровске, выделенные как основной (80%) сегмент предложений на рынке г.Днепропетровска.
4. Определение предмета исследований
Предметом исследований является влияние цены 2-х камерного холодильника на величину спроса на него (объема фактических покупок), позволяющее определить эластичность цен на холодильнике в отдельном структурированном сегменте рынка.
5. Уточнение (интерпретация, операционализация) основных понятий исследования
Потребительские свойства холодильников рассматриваются исходя из отнесения их к товарам нормального спроса, отдельным сегментом рынка выделяются «престижные» сверхдорогие модели холодильников класса товаров Веблена.
6. Предварительный системный анализ объекта исследований
Предварительный системный анализ рынка холодильников показывает, что разбиение на сегменты рынка предложений по потребительским свойствам проводится на основе классификации:
а) Технико-потребительские характеристики
- количество камер холодильника;
- общий объем камер холодильника;
- распределение общего объема камер холодильника между морозильной и холодильной камерами;
- количество компрессоров в холодильнике;
- габариты холодильника;
- наличие системы автоматической оттайки морозильной камеры;
- наличие противообледенительной системы («NoFrost”)
б) престижно – потребительские характеристики:
- холодильники производства Украины;
- холодильники производства стран СНГ;
- холодильники производства Восточной Азии;
- холодильники производства Европы;
- холодильники производства США и Канады
7. Выдвижение рабочих гипотез исследования
Основные рабочие гипотезы исследований состоят в жизненно-необходимой смене холодильника 1 раз в 10-15 лет, даже при низкой покупательной способности населения Украины. Таким образом спрос на рынке современных холодильников будет формироваться:
- для основной группы населения по основному фактору «стоимость-гарантийный срок эксплуатации» (экономика трудовой части населения);
- для нарождающегося среднего класса по фактору «средняя стоимость –хорошие рекомендации – многофункциональность» (экономика предприни-мателя);
- для «верхушки» общества по фактору «самая новая и престижная модель – независимо от высокой стоимости» (экономика люмпен-буржуазии и потребителей товаров Веблена).
8. Характеристика выборки
8.1 Единицы наблюдения
- марка холодильника, основные технические характеристики,
страна производства, цена
8.2 Тип выборки
- качественно- количественная, с единичными объектами
наблюдения и интервальной характеристикой цен
предложения;
8.3 Структура и объем выборки
- объем выборки – до 12000 моделей холодильников;
- структура выборки по маркам холодильников, основным техническим характеристикам, страна производства, цена
9. Методика и техника сбора и обработки первичной информации
9.1 Метод сбора информации
Обработка прайс-листов Интернет-магазинов по торговле
бытовыми приборами, представляющими один из каналов торговых
услуг оптово-розничных продавцов.
9.2 Рабочие документы исследований
Компьютерные файлы текстовой, графической и табличной
информации;
9.3 Первичная и вторичная обработка информации
Первичная обработка информации – размещение файлов
информации поиска в сети Интернет на диски локального
компьютера, вторичная обработка – перенос содержимого файлов в
структурированные «электронные таблицы EXCEL”
9.4 Техника обработки информации
10. Описание процесса проведения исследований
10.1 Этапы исследования
а) Поиск информации по фактическому спросу в сети Интернет
б) Копирование файлов текста, графики, таблиц по ценовым
предложениям на холодильники;
в) Структурирование информации в «электронных таблицах»
г) Статистическая и графо-аналитическая обработка информации в
«электронных таблицах»
д) Подготовка результатов в виде отчета
10.2. Сроки выполнения работ
а) 2 рабочих дня;
б) 3 рабочих дня;
в) 3 рабочих дня;
г) 2 рабочих дня;
д) 2 рабочих дня;
10.3 Характеристика исполнителей
Экономисты – опытные пользователи персональных компьютеров,
хорошо владеющие основами анализа в «электронных таблицах
EXCEL”
10.4 Характеристика форм отчетности
а) Первичные текстово-графические файлы (Приложение В)
б) Графики и таблицы, полученные в «электронных таблицах»
(приведены в разделах 3.2 -3.3)
Характер финансирования
Оплата после выполнения работ:
- амортизации использования персональных компьютеров;
- оплата трафика работы в сети Интернет;
- заработная плата исследователей –экономистов;
- оплата изготовления отчетов на бумаге и магнитных носителях.
3.2 Статистическая выборка стоимости различных моделей холодильников и уровня продаж по каждой марке
На рис.3.1 и в табл. 3.1 представлены статистические выборки по покупке различных моделей отечественных и импортных холодильников в 2005 году в г.Днепропетровске, использованные для анализа спроса в курсовой работе.
На рис.3.2 представлен сравнительный анализ ценовых сегментов для холодильников всех марок, представленных на рынке г.Днепропетровска.
Как показывают данные, представленные на рис.3.1, экспериментальные данные по спросу на холодильники группируются в две выборки:
- отечественный холодильник “NORD” и холодильник «Атлант», произведенный в СНГ;
- импортные холодильники производства Германии, Швеции, Кореи и др.

Рис.3.1 Статистика покупок холодильников различных марок в 2005 году (экспериментальные кривые спроса)
Таблица 3.1
Статистика покупок холодильников в 2005 году в г.Днепропетровске

Продолжение табл. 3.1

3.3 Оценка показателей кривых эластичности спроса на отдельные одели холодильников
Обработка показателей кривых эластичности проведена в «электронных» таблицах EXCEL-2000 по алгоритмам раздела 2.
На рис.3.3 представлены результаты первичного этапа обработки, т.е. исследование зависимостей относительного снижения покупательного спроса при относительном повышении цены холодильника от минимальной цены для каждой из марок. Такая относительная обработка позволяет сравнивать показатели для различных ценовых категорий холодильников.

Рис.3.3. Статистическая обработка экспериментальных кривых спроса
на холодильники в относительных показателях
На рис.3.4 – 3.6 представлены результаты расчета коэффициентов элас-тичности и построения экспериментальных кривых эластичности

Рис.3.4. Построение осредненных кривых показателей коэффициента спроса для различных диапазонов изменение цен (холодильники марки ELECTROLUX, Швеция)

Рис.3.5. Построение осредненных кривых показателей коэффициента спроса для различных диапазонов изменение цен (холодильники марки ARISTON, Италия)

Рис.3.6. Построение осредненных кривых показателей коэффициента спроса для различных диапазонов изменение цен (холодильники марки ARDO, Италия)
Как показывают данные статистической обработки, произведенной в «электронных» таблицах EXCEL-2000, представленные на рис.3.4 – 3.6 показатели коэффициента эластичности в различных ценовых диапазонах свидетельствуют, что :
- только в диапазоне до 20-30% повышения цены от минимальной для
каждой из моделей холодильников коэффициент эластичности больше
единицы;
- при ограниченной покупательной способности жителей Украины
дальнейшее повышение цен ведет к переходу в неэластичный диапазон,
хотя при существующем социальном расслоении общества и в этом
диапазоне есть свои покупатели (диапазон товаров Веблена).
ВЫВОДЫ
В курсовой работе представлены результаты проектирования и проведения маркетингового исследования эластичности спроса на холодильники в г.Днепропетровске (более 40 производителей холодильников мира, более 1700 моделей холодильников, более 12000 ценовых предложений от продавцов), которое логически разбито на 2 этапа:
- на 1 этапе - разведывательное маркетинговое исследование цен предложений на холодильники на рынке Днепропетровска для оценки сегментации рынка по потребительским свойствам холодильников и диапазонам цен предложений;
- на 2 этапе – описательное маркетинговое исследование эластичности спроса на холодильники в сегментах рынка, выделенных на 1 этапе разведывательного маркетингового исследования;
Предварительный системный анализ рынка холодильников показал, что разбиение на сегменты рынка предложений по потребительским свойствам целесообразно проводить на основе классификации:
а) Технико-потребительские характеристики
- количество камер холодильника;
- общий объем камер холодильника;
- распределение общего объема камер холодильника между морозильной и холодильной камерами;
- количество компрессоров в холодильнике;
- габариты холодильника;
- наличие системы автоматической оттайки морозильной камеры;
- наличие противообледенительной системы («NoFrost”)
б) престижно – потребительские характеристики:
- холодильники производства Украины;
- холодильники производства стран СНГ;
- холодильники производства Восточной Азии;
- холодильники производства Европы;
- холодильники производства США и Канады
Основные рабочие гипотезы проведенных исследований состоят в жизненно-необходимой смене холодильника 1 раз в 10-15 лет, даже при низкой покупательной способности населения Украины. Таким образом, спрос на рынке современных холодильников формируется:
- для основной группы населения по основному фактору «стоимость-гарантийный срок эксплуатации» (экономика трудовой части населения);
- для нарождающегося среднего класса по фактору «средняя стоимость –хорошие рекомендации – многофункциональность» (экономика предприни-мателя);
- для «верхушки» общества по фактору «самая новая и престижная модель – независимо от высокой стоимости» (экономика люмпен-буржуазии и потребителей товаров Веблена).
Современная теория потребительского поведения рассматривает спрос с позиций предельной полезности и кривых безразличия.
Под предельной полезностью понимается прирост общей полезности товара при увеличении объема его потребления на единицу. По мере того, как количество потребляемого товара растет, предельная полезность каждой дополнительной единицы уменьшается. В этом заключается закон убывающей полезности, лежащий в основе закона спроса.
Потребитель располагает свои потребности в соответствии с собственными предпочтениями и стремится приобрести на ограниченный доход такой набор товаров, который позволил бы ему в максимальной степени удовлетворить потребности. Это достижимо лишь при соблюдении правила максимизации полезности, при котором предельные полезности приобретаемых товаров в расчете на одну денежную единицу оказываются одинаковыми.
Подход с позиции кривых безразличия предполагает не количественное соизмерение потребностей, а лишь их ранжирование. Каждая кривая безразличия графически отображает множество наборов товаров, обладающих одинаковой полезностью для потребителя.
Если кривые безразличия характеризуют предпочтение потребителя, то бюджетная линия определяет его возможности, ограниченные размерами потребительского бюджета.
Бюджетная линия характеризует реальную покупательскую способность потребителя и соотношение цен приобретаемых товаров.
Стремясь к максимальному удовлетворению своих потребностей, потребитель попадает в положение потребительского равновесия (точка касания бюджетной линии и кривой безразличия определенного уровня потребления на карте кривых безразличия).
В курсовой работе в рамках теории спроса проведены исследования экспериментальных кривых спроса на холодильники в условиях большого города, т.е. в условиях близких к совершенной конкуренции.
Методологией маркетингового исследования являлся кабинетный анализ вторичной информации, полученной методом аудита торговых точек (данных Интернет-магазинов) по уровню цен предложений и уровню фактических продаж различных марок холодильников.
Как показал анализ, основным маркетинговым направлением деятельности зарубежных фирм на рынке Украины является большая диверсификация модельного ряда ( не меньше 15 моделей одновременно) бытовых приборов по цене, при этом в сегменте холодильников представлены три ценовые категории разными торговыми марками:
- высшая ценовая категория – цена моделей от 1000 до 1470 долларов;
- средняя бизнес – ценовая категория – цена моделей от 620 до
900 долларов;
- низший класс массового потребителя – соперничают только фирмы
“NORD” (Украина) с ценой моделей от 200 до 300 долларов и „Indezit” с
ценой моделей от 200 до 450 долларов;
Анализ платежеспособности покупательского спроса показал:
- на каждого работающего в Украине приходится 1 пенсионер и 1 неработающий (дети и студенты);
- уровень доходов население недопустимо низкий для приобретения бытовых товаров стоимостью больше 200 долларов;
- с учетом желательного срока службы и покупательной способности средний потребитель Украины может разрешить себе купить холодильник – 1 раз в 10 лет;
- емкость рынка потребителей бытовой техники можно оценить в размере 300 – 400 тыс.приборов каждого вида ежегодно;
Номенклатурный анализ конкурентоспособности отечественных холодильников на рынке показал :
- производство холодильников с 1990 по 1998 год упало больше чем вдвое и практически восстановилось по объемам 1990 года в 2004 году на равные 800 – 850 тыс.шт./год, в основной, за счет производства современных 2-3 камерных холодильников и морозильных камер “NORD”;
- в 2004 – 2005 году на отечественном рынке начался выпуск новейших
холодильников марки “RAINFORD” (блочно-модульная сборка из импортных узлов на уборочных предприятиях Украины);
Таким образом, конкурентная среда рынка бытовой техники в Украине характеризуется:
- на рынке холодильников существует определенная степень конкуренции отечественной техники с импортированной;
- на всех других рынках бытовой техники отечественное производство практически разрушено и не может создать конкурентного сопротивления импортированным зарубежным моделям, которые конкурируют только между собою;
Как показывают данные статистической обработки, показатели коэффициента эластичности в различных ценовых диапазонах свидетельствуют, что :
- только в диапазоне до 20-30% повышения цены от минимальной для
каждой из моделей холодильников коэффициент эластичности больше
единицы;
- при ограниченной покупательной способности жителей Украины
дальнейшее повышение цен ведет к переходу в неэластичный диапазон,
хотя при существующем социальном расслоении общества и в этом
диапазоне есть свои покупатели (диапазон товаров высшей группы и
товаров Веблена).
- при средней заработной плате в Украине 120 – 140 долларов в месяц
наиболее приемлемый для покупательского спроса диапазон стоимости
холодильников составляет от 200 до 400 долларов, что соответствует
либо цене отечественных холодильников, либо наиболее дешевым
моделям импортных холодильников.
СПИСОК ИСПОЛЬЗОВАННОЙ ЛИТЕРАТУРЫ
1. Армстронг Г., Котлер Ф. Введение в маркетинг: Учебное пособие. – М.
Изд.дом «Вильямс», 2000
2. Багиев Г.Л., Тарасевич В. М., Анн Х. Маркетинг. М.: Экономика, 1999
3. Войчак А. В. Маркетинговый менеджмент. – К.:Изд-во КНЭУ, 1998
4. Гаркавенко С.С. Маркетинг. – К.: Лібра, 1998
5. Голубков Е.П. Маркетинг: стратегия, планы, структура. – М.: Дело лтд, 1995
6. Голубков Е.П. Маркетинговые исследования: теория, методология и практика: — М.: Издательство «Финпресс», 2003. — 496 с.
7. Дихтль Е., Хершген Х. Практический маркетинг. М.: Высшая школа, 1996
8. Дэй Д. Стратегический маркетинг. – М. Изд-во: Эксмо-Пресс, 2002
9. Задоя А.А. Петруня Ю.Е. Основы экономической теории. Курс лекций.- Днепропетровск, 1996.
10. Задоя А.О. Мікроекономіка. Курс лекцій. - Київ: “Знання”, 2000.
11. Каніщенко О.Л. Міжнародний маркетинг:Навч.посібник. – Київ, ІВЦ Вид-во „Політехніка”, 2003. – 152 с.
12. Котлер Ф., Армстронг Г., Дж. Сандерс, В. Вонг, ОСНОВЫ МАРКЕТИНГА,2-е европейское издание, — М.; СПб.; К.: Издательский дом "Вильямс", 1998.
13. Котлер Ф. Маркетинг менеджмент. - СПб.: Питер Ком, 1998. - 896 с.
14. Куденко Н.. Стратегічний маркетинг: Навч.посібник. – К.: КНЕУ,1998. – 202 с.
15. Куденко Н.В. Маркетингові стратегії фірми – Київ, КНЕУ, 2002. – 245 с.
16. Ламбен Ж-Ж. Стратегический маркетинг. Европейская перспектива.-СПб., Наука, 1996
17. Луцій О.П. Міжнародний маркетинг : Конспект лекцій – Київ, Вид-во Європейського університету, 2000 -45 с.
18. Нареш Малхотра. Маркетинговые исследования и эффективный анализ статистических данных. — К.: ООО «ТИД «ДС», 2002. — 768 с.
19. Новошинська В.В. Міжнародний маркетинг: навчальний посібник. – Київ, Центр навчальної літератури, 2004. – 176 с.
20. Портер М. Конкуренция. - М., 2000.
21. Портер М. Конкурентные силы и формирование стратегии //Класика маркетинга /Сост. Б.М. Энис, К. Т. Кокс і ін. Спб., 2001.
22. Полторак В.А. Маркетинговые исследования: Учебн.пособие. – 2-е изд., перераб. и доп. - Днепропетровск, ДУЭП, 2002. – 368 с.
23. Циганкова Т.М. Міжнародний маркетинг: теоретичні моделі та бізнес- технології – К.: КНЕУ, 2004.- 400 с.
24. Черчилль Г.А. Маркетинговые исследования. — СПб: Издательство «Питер», 2000. — 752 с.
25. Энджел Д. Поведение потребителей. СПб: Питер Ком, 1999
ПРИЛОЖЕНИЯ
Приложение А
Протоколы наблюдений источников информации маркетингового исследования






































Приложение Б
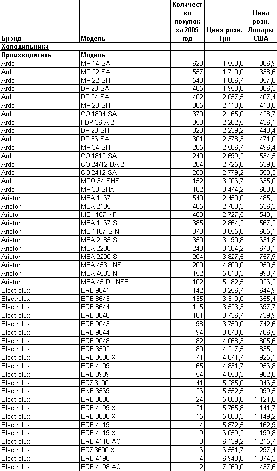
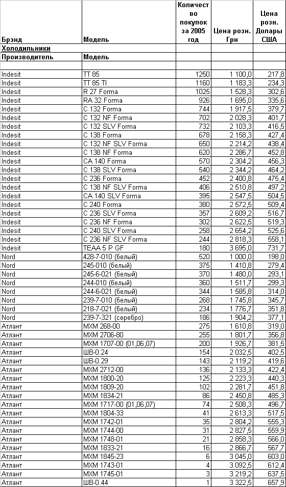
-
ПРАЙС ЦЕН НА 22.09.2006
Брэнд
Модель
Цена розн. Грн
Цена розн. Долари США
Производитель
Модель
AEG
S 70352 KG
5 104,2
1 010,7
AEG
S 70378 KA
5 167,5
1 023,3
AEG
S 70402 KG
5 795,0
1 147,5
AEG
S 72345 KA
6 007,5
1 189,6
AEG
S 70408 KG
6 300,0
1 247,5
AEG
S 70355 KG
6 486,7
1 284,5
AEG
S 70405 KG
7 284,2
1 442,4
AEG
S 86378 KG
7 443,3
1 473,9
Ardo
MP 14 SA
1 550,0
306,9
Ardo
MP 22 SA
1 710,0
338,6
Ardo
MP 22 SH
1 806,7
357,8
Ardo
DP 23 SA
1 950,8
386,3
Ardo
DP 24 SA
2 057,5
407,4
Ardo
MP 23 SH
2 110,8
418,0
Ardo
CO 1804 SA
2 165,0
428,7
Ardo
DP 28 SA
2 165,0
428,7
Ardo
FDP 36 A-2
2 202,5
436,1
Ardo
DP 28 SH
2 239,2
443,4
Ardo
DP 36 SA
2 378,3
471,0
Ardo
MP 34 SH
2 506,7
496,4
Ardo
CO 1812 SA
2 699,2
534,5
Ardo
CO 24/12 BA-2
2 725,8
539,8
Ardo
CO 2412 SA
2 779,2
550,3
Ardo
MPO 34 SHS
3 206,7
635,0
Ardo
MP 38 SHX
3 474,2
688,0
Ariston
MBA 1167
2 450,0
485,1
Ariston
MBA 2185
2 708,3
536,3
Ariston
MB 1167 NF
2 727,5
540,1
Ariston
MBA 1167 S
2 864,2
567,2
Ariston
MB 1167 S NF
3 055,8
605,1
Ariston
MBA 2185 S
3 190,8
631,8
Ariston
MBA 2200
3 384,2
670,1
Ariston
MBA 2200 S
3 827,5
757,9
Ariston
MBA 4531 NF
4 800,0
950,5
Ariston
MBA 4533 NF
5 018,3
993,7
Ariston
MBA 45 D1 NFE
5 182,5
1 026,2
Bosch
KTL 15421
2 185,0
432,7
Bosch
KGV 36600
2 933,3
580,9
Bosch
KGV 33610
2 993,3
592,7
Bosch
KGV 36610
3 276,7
648,8
Bosch
KSU 405204 O
3 307,5
655,0
Bosch
KGV 33640
3 385,8
670,5
Bosch
KSV 33660
3 582,5
709,4
Bosch
KGV 36640
3 714,2
735,5
Bosch
KGS 36310
3 937,5
779,7
Bosch
KGS 39310
4 358,3
863,0
Bosch
KGP 36320
4 719,2
934,5
Bosch
KGS 39360
5 079,2
1 005,8
Bosch
KGF 29241
5 209,2
1 031,5
Bosch
KGP 36360
5 303,3
1 050,2
Bosch
KSR 38493
5 680,0
1 124,8
Bosch
KSW 38920
5 735,0
1 135,6
Electrolux
ERB 9041
3 256,7
644,9
Electrolux
ERB 8643
3 310,0
655,4
Electrolux
ERB 8644
3 523,3
697,7
Electrolux
ERB 8648
3 736,7
739,9
Electrolux
ERB 9043
3 750,0
742,6
Electrolux
ERB 9044
3 870,8
766,5
Electrolux
ERB 9048
4 068,3
805,6
Electrolux
ERB 3502
4 217,5
835,1
Electrolux
ERE 3500 X
4 671,7
925,1
Electrolux
ERB 4109
4 831,7
956,8
Electrolux
ERB 3909
4 858,3
962,0
Electrolux
ERZ 3100
5 285,0
1 046,5
Electrolux
ENB 3569
5 552,5
1 099,5
Electrolux
ERE 3600
5 660,8
1 121,0
Electrolux
ERB 4199 X
5 765,8
1 141,7
Electrolux
ERE 3600 X
5 803,3
1 149,2
Electrolux
ERB 4119
5 872,5
1 162,9
Electrolux
ERB 4119 X
6 059,2
1 199,8
Electrolux
ERB 4110 AC
6 139,2
1 215,7
Electrolux
ERZ 3600
6 139,2
1 215,7
Electrolux
ERZ 3600 X
6 551,7
1 297,4
Electrolux
ERB 4198
6 940,0
1 374,3
Electrolux
ERB 4198 AC
7 260,0
1 437,6
Frigidaire
GLTT 20 V8
6 386,7
1 264,7
Frigidaire
GLTT 23 V8
6 842,5
1 355,0
Frigidaire
GLSZ 25 V8
11 848,3
2 346,2
Frigidaire
GPSZ 25 V9
12 772,5
2 529,2
Frigidaire
GLSZ 28 V8
13 215,0
2 616,8
Frigidaire
GLVC 25 V7
15 281,7
3 026,1
Frigidaire
GLVC 25 VBDB
15 281,7
3 026,1
Frigidaire
GPVC 25 V9
16 194,2
3 206,8
Gorenje
K 337/2 CELB
3 539,2
700,8
Gorenje
K 357/2 CELA
3 741,7
740,9
Gorenje
RK 6285 OR
3 970,8
786,3
Gorenje
K 337/2 MELB
4 220,8
835,8
Gorenje
K 357/2 MELA
4 423,3
875,9
Gorenje
RK 67365 W
7 176,7
1 421,1
Indesit
TT 85
1 100,0
217,8
Indesit
TT 85 TI
1 183,3
234,3
Indesit
R 27 Forma
1 528,3
302,6
Indesit
RA 32 Forma
1 695,0
335,6
Indesit
C 132 Forma
1 917,5
379,7
Indesit
RA 36 Forma
1 917,5
379,7
Indesit
C 132 NF Forma
2 028,3
401,7
Indesit
C 132 SLV Forma
2 103,3
416,5
Indesit
C 138 Forma
2 158,3
427,4
Indesit
C 132 NF SLV Forma
2 214,2
438,4
Indesit
C 138 NF Forma
2 286,7
452,8
Indesit
CA 140 Forma
2 304,2
456,3
Indesit
C 138 SLV Forma
2 344,2
464,2
Indesit
R 36 NF SLV Forma
2 344,2
464,2
Indesit
C 236 Forma
2 400,8
475,4
Indesit
C 138 NF SLV Forma
2 510,8
497,2
Indesit
CA 140 SLV Forma
2 547,5
504,5
Indesit
C 240 Forma
2 572,5
509,4
Indesit
C 236 SLV Forma
2 609,2
516,7
Indesit
C 236 NF Forma
2 622,5
519,3
Indesit
C 240 SLV Forma
2 654,2
525,6
Indesit
C 236 NF SLV Forma
2 818,3
558,1
Indesit
TEAA 5 P GF
3 695,0
731,7
LG
GR-292 SQ
2 369,2
469,1
LG
GR-372 SVF
2 623,3
519,5
LG
GR-389 SQF
3 003,3
594,7
LG
GR-N389 SQF
3 250,8
643,7
LG
GR-S392 QVC
3 366,7
666,7
LG
GR-409 GVQA
3 554,2
703,8
LG
GR-409 GLQA
3 675,0
727,7
LG
GR-409 GTPA
3 882,5
768,8
LG
GR-459 GVCA
4 066,7
805,3
LG
GR-P207 MAHA
11 280,8
2 233,8
Liebherr
CT 2811
2 458,3
486,8
Liebherr
CUN 30210
2 900,0
574,3
Liebherr
CU 2711
2 916,7
577,6
Liebherr
KTPes 1740
3 173,3
628,4
Liebherr
CUP 3553
3 951,7
782,5
Liebherr
C 4023
4 050,0
802,0
Liebherr
KDNv 4642
5 383,3
1 066,0
Liebherr
Ces 4003
5 416,7
1 072,6
Liebherr
Ca 4023
5 930,0
1 174,3
Liebherr
CBes 4056
7 082,5
1 402,5
Liebherr
CBN 3856
7 082,5
1 402,5
Liebherr
KDNves 4642
7 150,0
1 415,8
Liebherr
CN 5056
7 765,0
1 537,6
Liebherr
Kes 4260
8 416,7
1 666,7
Liebherr
CNes 5056
9 667,5
1 914,4
Nord
428-7-010 (белый)
1 000,0
198,0
Nord
245-010 (белый)
1 410,8
279,4
Nord
245-6-021 (белый)
1 480,0
293,1
Nord
244-010 (белый)
1 511,7
299,3
Nord
244-6-021 (белый)
1 585,8
314,0
Nord
239-7-010 (белый)
1 745,8
345,7
Nord
218-7-021 (белый)
1 776,7
351,8
Nord
239-7-321 (серебро)
1 904,2
377,1
Panasonic
NR-B703R S
4 101,7
812,2
Panasonic
NR-C703R W
5 016,7
993,4
Panasonic
NR-B703R W
5 028,3
995,7
Panasonic
NR-D700R W
5 698,5
1 128,4
Samsung
RT-29 BV PW
2 462,5
487,6
Samsung
RL 28 DB SW
2 565,0
507,9
Samsung
RT-34 MBSW
2 658,3
526,4
Samsung
RT-37 MBSW
2 757,5
546,0
Samsung
RT-38 BV PW
2 768,3
548,2
Samsung
RT-37 MBMG
2 790,0
552,5
Samsung
RT-38 BV MS
2 929,2
580,0
Samsung
RL 33 EB MS
2 983,3
590,8
Samsung
RL 33 EB SW
2 983,3
590,8
Samsung
RL 33 EA MS
3 083,3
610,6
Samsung
RL 33 EA SW
3 083,3
610,6
Samsung
RS-21KL AL
12 500,0
2 475,2
Sharp
SJ-38MGY
3 103,3
614,5
Sharp
SJ-38MSL
3 200,0
633,7
Sharp
SJ-42MWH
3 409,2
675,1
Sharp
SJ-44NWH
3 789,2
750,3
Sharp
SJ-P44NWH
3 869,2
766,2
Sharp
SJ-44NBE
3 933,3
778,9
Sharp
SJ-44NSL
3 933,3
778,9
Sharp
SJ-P44NSL
4 019,2
795,9
Sharp
SJ-P48NWH
4 235,8
838,8
Sharp
SJ-48NBE
4 303,3
852,1
Sharp
SJ-P48NBE
4 394,2
870,1
Sharp
SJ-59MWH
4 684,2
927,6
Sharp
SJ-59MSL
4 716,7
934,0
Sharp
SJ-64MGY
4 999,2
989,9
Sharp
SJ-P59MBE
5 054,2
1 000,8
Sharp
SJ-P59MGL
5 080,8
1 006,1
Sharp
SJ-64MWH
5 107,5
1 011,4
Sharp
SJ-64MGL
5 176,7
1 025,1
Sharp
SJ-64MBE
5 188,3
1 027,4
Sharp
SJ-64MSL
5 209,2
1 031,5
Sharp
SJ-P64MBE
5 397,5
1 068,8
Sharp
SJ-P64MGL
5 423,3
1 073,9
Sharp
SJ-69MGL
5 616,7
1 112,2
Sharp
SJ-69MBE
5 649,2
1 118,6
Siemens
KG 40U123
4 527,5
896,5
Siemens
KG 46S123 IE
4 653,3
921,5
Siemens
KG 39P390
6 434,2
1 274,1
Stinol
242 Q
1 480,8
293,2
Stinol
256 Q
1 599,2
316,7
Stinol
RF 305A.008
1 648,3
326,4
Stinol
RF 345A.008
1 785,0
353,5
Vestfrost
BKF 355 B 58 Br (коричневый)
4 307,5
853,0
Vestfrost
BKF 355 B 58 Al (алюминиевый)
4 445,8
880,4
Vestfrost
BKF 356 B 58 Al (алюминиевый)
4 445,8
880,4
Vestfrost
BKF 356 B 58 S (серебро)
4 445,8
880,4
Vestfrost
BKF 405 E 58 W (белый)
4 445,8
880,4
Vestfrost
BKF 405 E 58 came (бежевый)
4 528,3
896,7
Vestfrost
BKF 405 E 58 Br (коричневый)
4 636,7
918,2
Vestfrost
BKF 355 B 58 G (зеленый)
4 973,3
984,8
Vestfrost
FZ 347M BE
5 022,5
994,6
Vestfrost
FZ 347M AL
5 582,5
1 105,4
Whirlpool
ARC 0060
1 472,5
291,6
Whirlpool
ARC 5520
2 781,7
550,8
Whirlpool
ARC 5250
3 027,5
599,5
Whirlpool
ARC 5550
3 055,0
605,0
Whirlpool
ARC 5570
3 355,0
664,4
Whirlpool
ARC 5580
3 573,3
707,6
Whirlpool
ARC 4020 WH
3 764,2
745,4
Whirlpool
ARC 4020 IX
3 818,3
756,1
Whirlpool
ARC 6700 IX
4 581,7
907,3
Атлант
МХТЭ 30-00-02
924,2
183,0
Атлант
МХМ 268-00
1 610,8
319,0
Атлант
МХМ 2706-80
1 801,7
356,8
Атлант
МХМ 1707-00 (01,06,07)
1 926,7
381,5
Атлант
ШВ-0.24
2 032,5
402,5
Атлант
ШВ-0.29
2 119,2
419,6
Атлант
МХМ 2712-00
2 133,3
422,4
Атлант
МХМ 1800-20
2 223,3
440,3
Атлант
МХМ 1709-00 (01,06,07)
2 281,7
451,8
Атлант
МХМ 1709-02 (03,08,09)
2 281,7
451,8
Атлант
МХМ 1809-20
2 281,7
451,8
Атлант
МХМ 1834-21
2 450,8
485,3
Атлант
МХМ 1717-00 (01,06,07)
2 508,3
496,7
Атлант
МХМ 1804-21
2 613,3
517,5
Атлант
МХМ 1804-33
2 613,3
517,5
Атлант
МХМ 1742-01
2 804,2
555,3
Атлант
МХМ 1744-00
2 827,5
559,9
Атлант
МХМ 1844-21
2 827,5
559,9
Атлант
МХМ 1748-00
2 858,3
566,0
Атлант
МХМ 1748-01
2 858,3
566,0
Атлант
МХМ 1833-21
2 866,7
567,7
Атлант
МХМ 1845-23
3 045,0
603,0
Атлант
МХМ 1743-01
3 092,5
612,4
Атлант
МХМ 1745-01
3 219,2
637,5
Атлант
ШВ-0.44
3 322,5
657,9
Бирюса
10 С-1
1 129,2
223,6
Бирюса
6 С-1
1 223,3
242,2
Бирюса
18 С
1 398,3
276,9
Бирюса
22-2 С
1 400,0
277,2
Бирюса
131
1 953,3
386,8
Бирюса
130
2 115,0
418,8
Бирюса
129
2 225,0
440,6
Смоленск
8
860,8
170,5
Смоленск
414
970,8
192,2
Смоленск
417
1 150,0
227,7
Смоленск
8А
1 227,7
243,1
Приложение В
Первичный материал характеристик спроса на холодильники




















