Исследование и прогнозирование конъюктуры товарного рынка
Оглавление
Введение 3
1. Исследование и прогнозирование конъюнктуры товарного рынка 5
1. 1 Понятие рыночной конъюнктуры, цели и методы ее анализа 5
1. 2 Показатели конъюнктуры 13
1. 3 Анализ тенденций и устойчивости развития рыночной
конъюнктуры 16
2. Характеристика объекта исследования 20
2.1. Становление и состояние предприятия и организационно-правовая форма предприятия 20
2.2. Вид деятельности 22
3. Анализ внешней среды предприятия 24
3.1. Анализ общехозяйственной конъюнктуры 24
3.2. Анализ и прогноз конъюнктуры рынка 35
4. Анализ внутренней среды предприятия 48
4.1. Анализ производственно-финансовой деятельности 48
4.2. Анализ кадрового состава 53
4.3. Анализ сбытовой деятельности 54
4.4. Маркетинг 57
4.5. Системы и организация управления 62
4.6. Анализ конкурентоспособности товара 64
4.7 SWOT анализ предприятия 69
5. Разработка рыночных стратегий на предприятии и оценки их эффективности 71
Заключение 75
Библиографический список литературы 77
Введение
Экономика России как материальная база проводимого общественного переустройства представляет собой сложный комплекс отраслей.
Промышленности строительных материалов, изделий и конструкций (ПСМ), как одной из основных отраслей народного хозяйства в составе инвестиционного комплекса России, принадлежит ведущая роль в воспроизводственном процессе национального богатства. Доля ее товарной продукции составляет около 3,0% от общего объема промышленной продукции России, стоимость основных фондов отрасли – 2,8% от стоимости производственных фондов страны.
В 1999-2001 гг. ежегодный прирост товарной продукции составлял 6-13 процентов, а в 2002 году - 3 процента. По отдельным видам основных строительных материалов, изделий и конструкций в натуральном выражении ежегодный прирост составлял от 3 до 30 процентов.
Цементная промышленность России является базовой отраслью строительного комплекса, от которого зависит состояние и развитие экономики страны в целом, решение проблем воспроизводственных процессов, социальных вопросов, в частности, строительство жилья, объектов здравоохранения, просвещения и культуры.
В настоящее время цементная промышленность России включает в себя 50 действующих предприятий, из которых 46 полного цикла производства и 4 - помольные установки, работающие на покупном клинкере.
За последние 4 года производство цемента в России имеет постоянный рост и в 2002 году его выпуск составил 3,8 млн. т. В 2002г. по сравнению с 1997г. производство цемента возросло на 58%. Вместе с тем уровня производства 1990г. пока не достигнуто. В 2001г. произведено меньше, чем в 1990г. цемента в 1,6 раза.
Следует отметить, что такое положение в отрасли наблюдается на только в Белгородской области, но и других регионах России. В целом по РФ по сравнению с 1990г. темпы снижения намного больше, нежели в Белгородской области. Так, производство цемента сократилось в 2,4 раза. За счет этого возросла роль белгородских предприятий на рынке строительных материалов России. Если в 1990г. на их долю от общероссийского производства приходилось 7,3% цемента, то в 2001г. – 11% всего производимого в России цемента.
Цементную промышленность в области представляют 2 предприятия ОАО «Белгородский цемент» и ОАО «Осколцемент», объем промышленной продукции которых в 2002 г. составил 2106,8 млн. руб., а доля в общем производстве строительных материалов составила 38,8%.
В связи с невостребованностью в области важнейших видов строительных материалов растет их доля, вывозимая за пределы области. В 2002г. за пределы области вывезено 73% произведенного цемента (2783,6 т.) [7]
Актуальность темы курсовой работы состоит в том, что перед предприятиями стоит проблема сбыта произведённой продукции, поэтому приоритетными направлениями для них являются маркетинговые исследования в области сбыта продукции; распределения долей рынка между компаниями; прогнозирование внутриотраслевой конъюнктуры цементного рынка, которое представляет собой комплексную оценку перспектив развития конъюнктуры рынка, изменения рыночных условий на предстоящий период для учета прогнозных данных в маркетинговых программах, в стратегии и тактике маркетинга предприятия.
Результаты анализа прогнозируемых показателей конъюнктуры рынка в сочетании с отчетными и плановыми данными дают возможность заблаговременно выработать меры, направленные на развитие позитивных процессов, устранение имеющихся и предотвращение возможных диспропорций и принятие оперативных решений по управлению производством и сбытом товаров.
Цель прогноза — определить тенденции изменения факторов, воздействующих на рыночную ситуацию, таких как: общехозяйственная конъюнктура, структурные изменения экономики, инвестиционная активность в потребляющих товар отраслях, научно-техническое развитие этих отраслей, изменение потребностей покупателей под влиянием научно-технического прогресса, социальных и других факторов, появление новых товарных рынков, изменение уровня цен, показателей кредитной и валютно-финансовой сфер.
Основная цель курсовой работы при исследовании конъюнктуры рынка – установить, в какой мере деятельность промышленности и торговли влияет на состояние рынка, на его развитие в ближайшем будущем и какие меры следует принять, чтобы полнее удовлетворить спрос населения на товары, более рационально использовать имеющиеся у производственного предприятия возможности.
Предметом исследования является ЗАО «Белгородский цемент».
В соответствии с целью курсовой работы нами поставлены и решены следующие задачи:
1. Дать понятие рыночной конъюнктуры, целям и методам ее анализа.
2. Определить показатели конъюнктуры.
3. Рассмотреть основные элементы конъюнктурного анализа.
4.Сформировать историческую справку по образованию ЗАО «Белгородский цемент» и охарактеризовать его состояние в настоящее время.
5. Проанализировать внешнюю среду предприятия, взяв в качестве исходных позиций общехозяйственную структуру РФ и конъюнктуру цементного рынка в стране.
6. Проанализировать внутреннюю структуру предприятия исходя из производственно-финансовой деятельности и маркетинговой, организационно-штатной структуры и системы управления, конкурентоспособности производимого товара.
7. Рассмотреть разрабатываемые на предприятии рыночные стратегии и оценить их эффективность.
1. Исследование и прогнозирование конъюнктуры товарного рынка
1. 1 Понятие рыночной конъюнктуры, цели и методы ее анализа
Любая маркетинговая операция (разработка стратегии и планирование, выбор сегмента рынка, принятие решения о выпуске нового товара, заключение контракта на сбыт, уход с рынка, изменение цены и т.д.) осуществляется с учетом рыночной ситуации и позиции фирмы на рынке. Термин ситуация происходит от позднелатинского situacio - положение.
Рыночная ситуация представляет собой сочетание условий и обстоятельств, создающих конкретную обстановку, или положение на рынке.
Понятия рыночной ситуации и рыночной конъюнктуры тесно связаны.
Первый принцип маркетинга: "исследование рынка", или marketing reseаrch. Под данным принципом понимается работа профессионала (требующая достаточно высокой квалификации) по изучению и анализу рыночной конъюнктуры, а также включающая в себя собственно-маркетинговые исследования товарных и других аналогичных рынков.
Из определения очевидно, что в "marketing reseаrch" входят две составляющие: "конъюнктура" и "собственно-маркетинговые исследования", которые также называются "комплексный анализ рынка".
Предлагаются следующие определения рыночной конъюнктуры:
"Трендовое", или "динамическое" понимание конъюнктуры - это изучение совокупности взаимосвязанных причин и условий, определяющих переход от одного состояния рынка (и его отдельных сегментов) в другое.
В этом плане имеются экономические теории - длинных, средних, коротких волн конъюнктуры.
Вообще говоря, имеются следующие циклы или "волны" конъюнктуры:
товарных запасов (около 3-3,5 лет);
промышленные (или Марксовы - 7-11 лет);
строительные (или Кузнеца 19-21 лет);
длинные Кондратьевские (технологические, 49-62 лет);
сверхдлинные Сорокинские (социокультурные, около 100 лет).
Основные идеи этих теорий (которые подтвердились на практике) состоят в том, что анализируются 4 фазы того или иного цикла: процветание (подъем), спад (кризис), депрессия ("полный развал"), восстановление (оживление); то, что лежит в основе возникающих "спектров колебаний" (например, смена технологического способа производства в длинных кондратьевских волнах, активная часть основного капитала в средних марксовых циклах, и т.п.); и анализируются экономические и социально-политические события, которые на этих фазах происходят.
"Структурное", или "статическое" понимание конъюнктуры (его можно назвать еще и "дифференциальное" - поскольку оно фиксирует только сложившиеся события на рынке по отношению к фирме) будет следующим: конъюнктура - это сложившаяся на рынке экономическая ситуация, которую характеризуют следующие основные параметры (переменные) рынка, которые важны для деятельности фирмы:
соотношение между спросом и предложением (по отрасли);
уровень цен;
товарные запасы;
портфель заказов;
другие параметры, которые связаны с краткосрочными тенденциями развития рынка по отношению к данной фирме.
Тогда рынок в контексте такого понимания конъюнктуры – это сфера обмена, вообще говоря, только по трем параметрам: по уровню спроса; по уровню предложения; по ценам, которые взяты в определенной динамике.
Говоря в целом, конъюнктурные исследования связаны с изучением спроса, предложения и цены по отдельным сегментам рынка, в соотношениях с емкостью и объемом интересующих фирму сегментов, эластичности спроса и эластичности предложения, условий конкуренции, и т.д., причем, как правило, еще и по трем временным интервалам - стратегическому, тактическому и оперативному. Отметим, что в действительности, хорошие (качественные) конъюнктурные исследования - это достаточно дорогостоящие мероприятия, причем
скорее чисто экономического, чем маркетингового характера.
Итак: конъюнктурные исследования - это специально-экономическое изучение причин колебаний от равновесия спроса и предложения по тем или иным сегментам рынка, которые предназначены для разработки прогнозов развития сегментов рынков в долгосрочной перспективе. Но, как правило, собственно конъюнктурные исследования выступают в качестве некоего "фона" для собственно-маркетинговых комплексных исследований рынка.
Вторая часть "marketing reseаrch" (комплексный анализ рынка) включает в себя следующие переменные:
- изучение спроса (а также и объемов спроса);
- изучение товара (по сравнению с конкурентами);
- изучение рынка (по тенденциям развития) и определение рыночной структуры;
- изучение покупателей (по стратам и сегментам);
- изучение конкурентов и условий конкуренции;
- анализ форм и методов сбыта;
- изучение правовых аспектов торговли на данном рынке.
Можно дать и такое определение конъюнктуры:
Конъюнктура рынка – сложившаяся экономическая ситуация, включающая в себя соотношение между спросом и предложением, движением цен и товарных запасов, портфель заказов по отраслям и другие экономическими показателями. Другими словами, конъюнктура рынка – это конкретная ситуация, сложившаяся на рынке на данный момент или ограниченный отрезок времени, а также совокупность условий, которые эту ситуацию определяют.
Комплексный подход к изучению конъюнктуры рынка предполагает: использование различных, взаимодополняющих источников информации; сочетание ретроспективного анализа с прогнозом показателей, характеризующих конъектуру рынка; применение совокупности различных методов анализа и прогнозирования.
Изучение конъюнктуры рынка базируется на анализе показателей, характеризующих производство и поставку товаров этой группы, объем и структуру розничной продажи, товарных запасов на складах предприятия, в оптовой и розничной торговле.
При изучении конъюнктуры рынка ставится задача не только определения состояния рынка на тот или иной момент, но и предсказания вероятного характера дальнейшего его развития по крайне мере на один – два квартала, но не более чем на полтора года. Результаты анализа прогнозируемых показателей конъюнктуры рынка в сочетании с отчетными и плановыми данными дают возможность заблаговременно выработать меры, направленные на развитие позитивных процессов, устранение имеющихся и предотвращение возможных диспропорций.
По своему характеру прогноз показателей конъюнктуры является краткосрочным прогнозом. Специфика его заключается в том, что с одной стороны, точность краткосрочных прогнозов повышается по сравнению с годовыми снижает эту точность.
Задачи при изучении конъюнктуры рынка:
В определенный промежуток времени отобрать из источников информации конкретные и самые последние сведения по всему рынку, а именно: выявить всех конкурентов, изучить ассортимент выпускаемой продукции, изучить политику ценообразования, определить круг лиц, для которых ваша фирма будет выпускать продукцию и другие показатели.
Систематизировать эти показатели.
Установить силу и масштабы воздействия соответствующих коньюнктуро-образующих факторов, их взаимосвязь и взаимообусловленность, и направленность действия.
Выявить активность взаимодействия этих факторов в ближайшей перспективе для разработки прогноза.
Данная экономическая категория характеризуется рядом качественных и количественных показателей, наиболее важными из которых являются предложение товаров, покупательский спрос, уровень цен, пропорциональность рынка, колеблемость, цикличность рынка и тенденции его развития, рыночный риск, уровень конкуренции.
Конъюнктура рынка может меняться неожиданно и под воздействием разнообразных причин, даже таких вроде бы невесомых как слухи.
Отличительными чертами конъюнктуры рынка являются: динамичность; пропорциональность; вариабельность; цикличность.
Следовательно, и конъюнктурный анализ должен отразить эти четыре характеристики. Соответственно выдвигаются четыре концептуальные задачи конъюнктурного анализа:
анализ динамических закономерностей, тенденций;
пропорциональность развития;
анализ устойчивости рынка, его колеблемости и в статике, и в динамике;
анализ повторяемости развития рынка, выделение циклов.
Стихийность рынка, хотя и ограниченная в определенных пределах маркетингом, остается его главным признаком. Она как бы заложена в рыночный механизм. Изменения основных параметров рынка на некоторых отрезках времени происходят с различной скоростью и интенсивностью, что и приводит к кратковременным или к более долгосрочным нарушениям в пропорциональности рыночного процесса, к отклонениям от основной тенденции развития. И поскольку рынок по своей сути склонен к стихийности, следовательно, его параметры подвержены колебаниям, как случайным, так и постоянно проявляющимся (цикличным и сезонным), очень гибок в своем развитии, чутко реагирует на многие социально-экономические воздействия, более того, весьма зависим от политических и психологических влияний, слухов, паники и т.п. Размах и длительность этих колебаний обусловлены комплексом и сочетанием разнообразных факторов и сил окружающей среды маркетинга.
Подобно тому, как товарный рынок представляет собой составной элемент рыночной экономики, конъюнктура товарного рынка является частью общеэкономической конъюнктуры. Ситуация на товарном рынке в значительной степени зависит от положения на других рынках. Поэтому глубокое изучение товарного рынка должно быть комплексным, увязанным с оценками разных типов рынков: ценных бумаг, услуг, инвестиций, недвижимости, труда и т.д. Многие процессы на товарном рынке объясняются или обусловлены ситуацией, сложившейся на других рыках. Рынок ценных бумаг чутко реагирует на конъюнктурные колебания товарного рынка. Такие комплексные оценки служили основой попыток построить интегральную модель конъюнктуры - экономический барометр.
Конъюнктурный анализ должен всесторонне проанализировать рыночную ситуацию и дать комплексную оценку состояния рынка, прежде всего с позиции маркетинговых действий фирмы, т.е. благоприятна ли конъюнктура для осуществления поставленных целей.
Конъюнктура товарного рынка является составным компонентом общеэкономической конъюнктуры страны и, в известной мере, мировой конъюнктуры. Однако отдельные (локальные) рынки в рамках общей конъюнктуры могут иметь значительные особенности в своем развитии. Товарный рынок в своем развитии тесно связан с финансовым рынком, рынком инвестиций, рынком труда и т.п. Биржевой рынок (как товарный, так и рынок ценных бумаг) выступает в качестве одного из индикаторов конъюнктуры товарного рынка, но в то же время биржевая игра оказывает сильное влияние на рыночную ситуацию. Конъюнктуру можно изучать как с позиции состояния всего товарного рынка, так и различая федеральный рынок, региональные и муниципальные рынки. Исследуется также состояние отдельного сегмента рынка (или рыночной ниши), на который ориентируется конкретная фирма. Следует учитывать, что, находясь в зависимости от рынка более высокого ранга, каждый рынок нижнего уровня в силу своей специфики в состоянии развиваться по собственному пути, и его конъюнктура может значительно отличаться от общеэкономической конъюнктуры.
Оценки рыночной конъюнктуры выставляются на основе комбинирования рыночных индикаторов. Индикатором рынка считается показатель, позволяющий единолично или в комбинации с другими показателями отразить рыночную ситуацию. К рыночным индикаторам относятся: поступление товаров (поставка или в качестве альтернативы объем производства), продажа товара (товарооборот, в стоимостных или натуральных единицах), товарные запасы (в стоимостном выражении или в днях оборота), цены (в денежных единицах или в отношении к доходу), прибыль (или рентабельность). Часто рыночными индикаторами являются не статичные показатели, а их темпы роста (динамические индексы).
Неформальными конъюнктурными оценками являются характеристики покупательских настроений, отражающие тенденции оживленности рынка, и инфляционных ожиданий, предсказывающих изменения цен. Обе эти характеристики базируются на основе опросов, как самих потребителей, так и предпринимателей, выступающих на рынке в качестве продавцов.
Каждая фирма, готовясь к выходу на рынок, сталкивается с необходимостью дать оценку сложившейся рыночной ситуации. Она разрабатывает конъюнктурный обзор - комплексную оценку рыночной конъюнктуры, выполненную по результатам специальных исследований.
Конъюнктурными исследованиями на предприятиях обычно занимаются конъюнктурные службы, которые выделяют следующие основные задачи конъюнктурных исследований товарного рынка:
сбор и обработка конъюнктурной информации;
интегральные и дифференциальные оценки состояния рынка, типология рыночной ситуации;
характеристика масштаба (объема) рынка;
выявление, анализ и прогнозирование тенденций развития рынка и его динамической устойчивости;
оценка и анализ колеблемости, сезонности и цикличности развития рынка;
оценка и анализ региональных различий рынка;
оценка и анализ деловой активности;
оценка коммерческого (рыночного) риска;
характеристика степени монополизации и интенсивности конкуренции.
Поставленные задачи ориентированы на всестороннюю, взаимосвязанную характеристику состояния рынка в целом и в разрезе отдельных его элементов и составных частей.
Можно выделить два этапа или уровня реализации этих задач. На первом, оценочном, осуществляется анализ рыночной конъюнктуры, который должен охарактеризовать масштабы и типологию рынка, его главные пропорции, вектор и скорость изменения основных параметров, уровень устойчивости развития. Второй, более высокий уровень анализа, имеет целью выявление причинно-следственных связей, условий, определяющих рыночную ситуацию, и на этой основе прогнозирование рыночной конъюнктуры, выводов о перспективности развития рынка, с позиций маркетинга фирм (см. Приложение 3)[3].
Безусловно, каждое предприятие, осознав необходимость проведения конъюнктурных исследований, определяет для себя их цели и направления, а также те проблемы и решения, в которых могут быть определены результаты исследований. Перечень решаемых проблем и задач может быть самым разным: объективная оценка деятельности предприятия на данном товарном рынке, отслеживание изменений во внешней среде и формирование стратегии маркетинга, поддержка принятия управленческих решений, получение конкурентных преимуществ, снижение рисков и неопределенности, выработка экспортной стратегии, повышение эффективности деятельности предприятия и т.д.
Завершающий этап в изучении рынка – составление прогноза развития рынка с учетом предполагаемой его реакции на выход товара.
Прогноз развития рынка во многом напоминает конъюнктурный прогноз, однако, в маркетинговом исследовании цель ставится более значительная – прогноз должен быть долгосрочным и перспективным, чтобы фирма сумела, основываясь на этом, разработать и осуществить комплексную и длительную рыночную стратегию и систему мер маркетингового воздействия на рынок.
По своему содержанию прогноз аналогичен содержанию и последовательности рыночных исследований, т. е. определяет будущие показатели по емкости рынка, спросу, предложению, конкурентоспособности, эластичности спроса, ценам, включая показатели по производству, внутренней и внешней торговле, денежно-кредитной и финансовой сфере, а также данные по капиталовложениям и заказам, фирменной структуре и т. д.
Также следует иметь в виду, что маркетинг предполагает составление прогноза развития рынка, включающий прогноз общехозяйственной конъюнктуры, оценку перспектив развития уровня потребления, политической стабильности, совокупной степени риска и т. д.
Построение и краткосрочного, и долгосрочного прогнозов основано на объективной особенности развития явлений социально-экономической жизни общества, а именно на его инерционности.
Таким образом, прогнозирование конъюнктуры рынка – завершающий этап комплексного исследования рынка, основные результаты которого фирмы используют при планировании своей деятельности.
Обычно конъюнктурные прогнозы используются для определения тактических действий на близкую перспективу (не более чем на 1 год), поскольку именно в этих временных можно достаточно точно предсказывать характер изменения товарной конъюнктуры.
Краткосрочные прогнозы составляют на срок до 1,5 лет. Главный акцент при этом делают на количественной и качественной оценках изменений объема производства, спроса, предложения и потребления товара, уровня конкурентоспособности и индексов цен, валютных курсов, соотношений валют и кредитных условий. Учитывают также временные, случайные факторы. Среднесрочное (на 5 лет) и долгосрочное (на 10 - 15 лет) прогнозирование товарных рынков основывается на системе прогнозов: конъюнктуры рынка, соотношения спроса и предложения, международной торговли, охраны окружающей среды. При среднесрочном и долгосрочном прогнозировании не учитывают временные и случайные факторы воздействия на рынок.
При проведении конъюнктурного прогноза важно иметь в виду, что:
невозможно получить абсолютно точный прогноз. Поэтому надо стремиться к сведению к минимуму неопределенности, которая присуща каждому прогнозу;
необходимо разрабатывать спектр альтернативных вариантов развития рыночной конъюнктуры в зависимости от воздействия тех или иных конъюнктурообразующих факторов;
разработка прогнозов должна производиться непрерывно и повседневно.
Определение наиболее вероятных оценок состояния рынка в будущем может осуществляться различными способами. Наиболее представительные из них следующие:
Метод экспертных оценок. Метод, основанный на выявлении и обобщении мнений опытных специалистов-экспертов (термин "эксперт" в переводе с латинского означает "опытный"), использовании их опыта и нетрадиционных подходов к анализу деятельности организации.
Естественно, что сам по себе метод экспертных оценок не является исчерпывающим, и надежность прогнозирования конъюнктуры, как правило, дополняется другими методами.
Метод статистической экстраполяции (метод тренда или продления динамических рядов). Он заключается в переносе явлений, имевших место на рынке в прошлом, на прогнозируемый период. Это достаточно простой метод, но он не совсем долговременный. Он может применяться лишь в тех случаях, когда есть уверенность, что в прогнозируемый период будет действовать те же факторы, что и в предшествующий период, и характер воздействия этих факторов остается неизменным.
Метод экономико-математического моделирования – построения многофакторных моделей с использованием ЭВМ (например, метод сегментной регрессии и главных компонентов, метод многошагового регрессивного анализа и др.). Эти методы определяют функциональные зависимости, между отдельными показателями на основе имеющихся, и ряд предшествующих лет данных о конъюнктуре товарных рынков, и выражает их в виде системы уравнений.
Графический метод. При краткосрочном прогнозировании используется графический анализ, иногда называемый чартизмом (от англ. chart – график). Он позволяет оценивать динамику отдельных экономических показателей для выявления схожих моментов в их поведении, с тем, чтобы определить характер и изменение в бедующем.
Этот метод применяется в основном при прогнозировании котировок на товарных и фондовых биржах. Приверженцы этого метода исходят из того, что изучение графиков биржевых цен может обеспечить достаточно достоверный прогноз, поскольку в цене аккумулированы проявление всех остальных конъюнктурообразующих факторов.
Это метод прогнозирования приемлем при оценке конъюнктуры таких рынков, как рынки нефти, цветных металлов, продовольственного сырья.
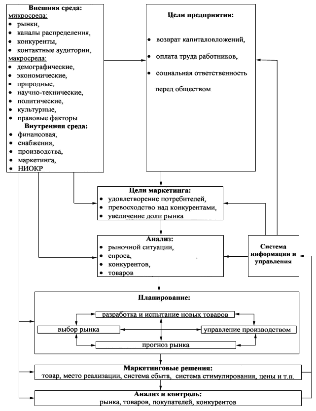
Основой маркетинга являются комплексные маркетинговые исследования, включающие изучение как внешней маркетинговой среды, рынка и мотиваций потребителя, так и внутренней маркетинговой среды, т. е. оценку производственно-сбытовых возможностей самой фирмы, строящей работу на принципах маркетинга. Такие маркетинговые исследования позволяют выбрать оптимальный рынок сбыта, осуществить планирование, т. е. обоснованное, согласно результатам маркетинговых исследований, предвидение, прогноз развития рыночной ситуации и разработку соответствующих мер маркетингового воздействия на рынок с целью обеспечения эффективности предпринимательской и маркетинговой деятельности фирмы и реализации стратегических направлений предпринимательства.
Маркетинговые исследования создают научно и практически обоснованную базу для принятия квалифицированных решений управленческим аппаратом компании и ее высшим руководством.
Определяющее значение при проведении комплексных исследований рынка имеет наличие большого количества разнообразной информации, т.е. сведений, которые служат объектом обработки, передачи и хранения (см. Прил. 1). Можно выделить три главных источника информации о рынке: данные о производственно-хозяйственной деятельности предприятия и его конкурентах, результаты специальных исследований и наблюдений, общие социально-экономические показатели развития страны, региона и т.п. Информация должна быть достоверной, полной, непрерывной, точной и своевременной. Комплексное исследование рынка включает следующие основные процедуры:
формирование потребностей и прогнозирование спроса;
сбор данных о товарах, конкурентах и анализ конкурентоспособности предприятия;
сегментирование рынка и позиционирование товара;
выбор стратегии маркетинга.
В процессе комплексных исследований рынка определяют (см. Прил. 2):
объем рынка, его главные тенденции и сезонные факторы;
потенциальные продажи вводимых на рынок или находящихся на нем товаров;
состав потребителей — половозрастной, региональный, социальный, по составу семьи и покупательскому поведению, особенностям потребления, уровню доходов;
покупательские мотивы и установки, которые можно использовать при планировании организации сбыта и рекламы;
объемы продаж изделий, их долю в общей емкости рынка, в т.ч. по регионам и сегментам;
конкурентоспособность предприятия и его позиции на рынке.
1. 2 Показатели конъюнктуры
Все показатели конъюнктуры можно представить в виде четырех групп:
показатели материального производства, характеризующие предложение товара;
показатели спроса на товары;
показатели валютной и кредитно-денежной ситуации, характеризующие как предложение, так и спрос;
цены, как наиболее концентрированные показатели.
Показатели материального производства. Показатели материального производства, к которым относятся данные о промышленном производстве товаров (автомобилей, полезных ископаемых, урожае сельскохозяйственных культур), можно классифицировать следующим образом.
абсолютные показатели (натуральные и стоимостные);
относительные показатели (индексы, темпы роста и пр.);
косвенные показатели.
Абсолютные показатели.
Обычно в натуральных показателях измеряется производство многих важнейших товаров, на характеристики которых практически не влияют достижения научно-технического прогресса. Например, выпуск металлургической продукции, сбор зерновых, выработку электроэнергии, добычу нефти удобно измерять соответственно в тоннах, киловатт в час, баррелях. В данном случае такие показатели дают вполне объективную картину состояния конкретного товарного рынка.
В тех случаях, когда потребительские свойства готовых изделий подвергаются быстрым изменением под воздействием научно-технического прогресса, использование только натуральных показателей может давать искаженную картину состояния рынков. Например, едва ли возможно оценивать конъюнктуру автомобильных рынков по количеству единиц выпускаемой продукции, если не учитывать все возрастающую долю малолитражных и сокращающуюся долю крупно- и среднелитражных автомобилей.
С другой стороны, использование стоимостных показателей производства готовой продукции также не может считаться универсальным средством анализа конъюнктуры рынка, поскольку такие показатели исчисляются в текущих ценах, причем в разных странах эти цены могут быть различными. Поэтому возникает необходимость внесения в эти показатели определенных корректив. Кроме того, следует иметь в виду, что стоимостные показатели приводятся в национальных валютах, курсовые соотношения которых также подвержены частным и даже значительным колебаниям.
Относительные показатели.
В ряде случаев данные об изменениях объема производства публикуются в виде индексов, составленных на основе стоимостных показателей по отраслям или отдельным крупным секторам экономики. В то же время следует помнить, что возможности анализа конъюнктуры с помощью индексов достаточно ограничены.
Косвенные показатели.
Когда абсолютные показатели не позволяют оценить конъюнктуру или эти показатели не доступны, прибегают к косвенным показателям. К ним можно отнести: объем или портфель заказов, динамику загрузки производственных мощностей, объем инвестиций и даже уровень занятости в соответствующей отрасли и т.д. Такие показатели целесообразно использовать при анализе машиностроительной продукции с большим технологическим циклом, например в судостроении, крупном энергомашиностроении и т.д.
Показатели спроса на товары. Показатели спроса на внутреннем рынке отражают характер потребления на рынке потребительских товаров и включают в себя данные об оптовой и розничной торговле, движение товарных запасов, объем внутренних перевозок грузов. На внешнем рынке такими показателями спроса выступают валовой импорт и валовой экспорт. Рост этих показателей говорит о росте спроса на товар, а снижение – о его падении.
Спрос на товары можно оценивать и по таким расчетным показателям, как емкость (Ep), доля (Др) и насыщенность рынка (Нр). Емкость рынка означает возможный объем спроса или объем реализуемого товара по данном уровне цен в определенный период времени, обычно в течение года. Емкость национального рынка по любому товару за год рассчитывают на основе данных внутренней и внешней статистики в физических единицах или по стоимости по следующей формуле (1.1.):
Ер = Т+ З + И + Ик – Э – Эк, (1.1.)
где Т – национальное производство данного товара; З – остаток товарных запасов на складах предприятий-изготовителей в данной стране; И – импорт; Ик – косвенный импорт; Э – экспорт; Эк – косвенный экспорт.
Здесь косвенный импорт (экспорт) представляет собой поставки товара, используемого в других более сложных изделиях в виде комплектующих узлов, деталей, материалов. Например, при оценке емкости рынка электродвигателей нужно учитывать электродвигатели, установленные в станках, машинах и оборудовании, ввозимых или вывозимых из страны. Однако учет косвенного импорта и экспорта, а также движение товарных запасов зачастую оказывается трудно учитывать. Поэтому на практике учет емкости рынка проводят по упрощенной схеме:
Ер = Т+ И + Э. (1.2.)
Сравнение емкости за ряд лет позволяет судить, как меняются ситуация на рынке.
Доля рынка Др представляет собой удельный или долю продаж фирмы на рынке и рассчитывается по следующей формуле (1.3.):
Др = Р / Ер * 100, (1.3.)
где Р - объем реализации товаров фирмы.
Снижение доли рынка является показателем неблагополучного положения фирмы и служит поводом для проведения тщательного анализа этой ситуации.
Насыщенность рынка Нр (%).- показатель, который определяется отношением числа потребителей, уже купивших товар Пт, к общему числу потребителей П:
Нр = Пт \ П * 100. (1.4.)
Чем меньше значение имеет этот показатель, тем перспективнее рынок для сбыта товаров.
Показатели валютной и кредитно-денежной ситуации. Для оценки конъюнктуры рынка на отраслевом и национальных уровнях важную роль играют показатели валютной и кредитно-денежной ситуации: курсы акций, величины учетного процента, число банкротств и т.п.
Курс акций – это показатель, характеризующий уровень цен на акции и дающие их владельцу право на получение дохода. Курс акций, – ведущий показатель при прогнозировании конъюнктуры рынка, поскольку он зависит не только от размеров полученных в прошлом году дивидендов, но и от размера ожидаемых доходов в будущем.
Изменение спроса на акции наиболее ясно показывает, как покупатели акций, вкладчики капитала оценивают перспективы развития конъюнктуры того или иного рынка.
Этот показатель не может считаться абсолютно надежным индикатором изменений конъюнктуры, поскольку курсы акций подвержены достаточно резки колебание под воздействием самых разных факторов – спекуляции на фондовом рынке, изменением политической ситуации и т.д.
Обычно регулирующее воздействие государства на конъюнктуру рынка проявляется через изменение учетного процента. Повышение учетного процента ведет к снижению капиталовложений в промышленную сферу и, в конечном счете, к экономическому спаду, и наоборот, уменьшение учетного процента способствует увеличению инвестиций в промышленность, что ведет к повышению занятости и росту предложений товара на рынке.
Еще один показатель валютной и кредитно-денежной ситуации - число банкротств. Обычно функционирование рыночной экономики сопровождается непрерывным разорением старых и появлению новых предприятий. Само по себе число банкротств ничего не говорит о состоянии экономики, если оно уравновешивается возникновением новых предприятий. Поэтому показателем конъюнктуры может служить существенное превышение числа банкротств над числом вновь возникающих предприятий. Этот показатель важен потому, что относится к числу опережающих и отражающих начальную фазу кризиса.
Цены. Они являются важнейшим показателем конъюнктуры. Цены можно разделить на две группы: абсолютные, характеризующие уровень и изменение цен в денежном выражении на конкретные изделия, и относительные, характеризующие изменение цен во времени (индексы). В динамике цен отражается по сути дела движение всех других показателей и влияющих на них факторов.
Изучение ценовых показателей представляется сложной задачей, обусловленной спецификой многообразных товарных рынков, наличием нескольких рядов ценовых показателей на один и тот же товар, не всегда надежной и доступной информацией о ценах.
Поэтому при анализе ценовых показателей следует полагаться на детальное знание товара и рынка, изучение всех имеющихся на товар ряда цен, учет зависимости результатов анализа от квалификации экспертов.
1. 3 Анализ тенденций и устойчивости развития рыночной конъюнктуры
Анализ рыночной конъюнктуры следует начинать с характеристики масштаба и типа рынка. Масштаб рынка определяется объемом продажи товаров, а также числом и размером фирм, выступающих на нем в качестве продавцов, как производителей, выводящих свой товар на рынок, так и торговых посредников. При этом характеризуется функциональная специализация предприятий: вид товара, его ассортимент, основные свойства. Объем продаж определяется размером сбыта произведенной продукции, оптово-посредническим товарооборотом, оптово-потребительским товарооборотом, розничным товарооборотом. Фирмы ранжируются по размеру и формам собственности, а также по доле, занимаемой ими на рынке. Доля фирмы на рынке определяется как отношение товарооборота фирмы к общему объему продаж на рынке.
Сегментирование рынка и позиционирование товара
Сегментирование рынка представляет собой разделение покупателей на определенные однородные группы, для каждой из которых могут потребоваться отдельные товары и (или) комплексы маркетинга. По каждому выделенному сегменту собирают подробную информацию о потребителях (отраслевая принадлежность, общий мотив потребности, процесс адаптации к новым товарам и др.). При выявлении побудительных мотивов приобретения товаров производственного назначения у потребителя выясняют, какие задачи он будет решать, используя этот товар: либо расширять свою долю на рынке за счет выпуска более качественной продукции, либо снижать издержки, либо создавать условия для решения новых производственных задач.
Выделяют следующие виды сегментирования:
демографическое, связанное с объединением в сегменты потребителей по полу, возрасту, семейному положению и т.д.;
отраслевое, связанное с принадлежностью потребителей к отдельным отраслям;
социально-психологическое, связанное с анализом социальной и культурной ориентацией потребителей, их жизненного стиля, уровня жизни и т.п.
В своей деятельности на различных сегментах рынка предприятие использует следующие маркетинговые подходы:
стандартизированный (массовый) маркетинг, когда различия сегментов мало существенны или сегменты трудно идентифицировать. В этом случае не учитывают различия в специфике потребительского спроса и выпускают одну модификацию товара со стандартной рекламой, одинаковой ценой, упаковкой и т.д., пытаясь привлечь к товару покупателей всех типов;
дифференцированный маркетинг, при котором для каждого из сегментов разрабатывают несколько модификаций продукции разного качества, в различном оформлении и расфасовке, проводят отдельную рекламу, сбытовую политику и т.п. с целью предложить рынку разнообразные товары, отличающиеся от товаров конкурентов;
концентрированный (целевой) маркетинг, когда предприятие разграничивает различные сегменты, выбирает из них один или несколько, стремясь в максимальной степени удовлетворить запросы именно этих групп потребителей.
В настоящее время в странах с развитой рыночной экономикой наблюдается переход от стандартизированного и дифференцированного маркетинга к концентрированному маркетингу, который в большей мере способствует выявлению рыночных возможностей и созданию более эффективных товаров и комплексов маркетинга. Выбор конкретных сегментов рынка определяет круг конкурентов предприятия и возможности его позиционирования на рынке.
Под позиционированием предприятия (или товара) понимают действия по обеспечению ему конкурентоспособного положения на рынке и разработку соответствующего комплекса маркетинга. Если предприятие принимает решение о конкурентном позиционировании, т.е. рядом с одним из конкурентов, то оно должно дифференцировать свое предложение для потенциальных покупателей. Конкурентное позиционирование можно обеспечить, предлагая товары более высокого качества, с отличным оформлением, организованным сервисным обслуживанием, по приемлемой цене. Решение о позиционировании определяет выбор стратегии маркетинга.
Важным элементом конъюнктурного анализа служит характеристика динамики исследуемого явления. Рынок - явление динамическое, он непрерывно изменяется, и время выступает в качестве абсциссы экономической кривой, отражающей тенденции развития рынка.
Тенденция развития рынка - экономическое и статистическое понятие, характеризующее закономерность изменения его основных параметров во времени. Общее направление (вектор) развития и средняя скорость изменения погашают случайные отклонения от общего курса. Термин тенденция происходит от лат. tendere - направляться, стремиться. На основе количественных оценок и моделей динамики рынка даются качественные характеристики изменения рыночной ситуации: растущий/развивающийся рынок, стабильный рынок, сокращающийся рынок и т.д.
Для определения вектора и скорости развития рынка строятся динамические ряды показателей, характеризующих основные параметры рынка, а затем исчисляются темпы роста или прироста (базисные и цепные).
В тех случаях, когда изучаемое явление рынка представляет собой сложную агрегированную величину (например, товарооборот, состоящий из совокупности разнородных товаров), характеристика динамики количественных показателей достигается с помощью агрегатных или средних индексов, в частности, индекса физического объема товарооборота (т.е. оценки изменения стоимости товаров в сопоставимых ценах) и общего индекса цен.
Тенденции развития рынка определяются на основе анализа изменения основных своих параметров (поставки, продажи, цен, товарных запасов). Визуально рассматриваются динамические ряды темпов роста или их графические изображения (диаграммы), и на этой основе дается описательная характеристика тенденций. Иногда используется так называемый метод технического сглаживания уровней динамического ряда. Фактические данные (эмпирические уровни) наносятся на график, а после этого проводится линия, на глаз усредняющая все колебания. Такой метод широко применяется в анализе биржевой конъюнктуры, когда требуются моментальные выводы о тенденции развития рынка. Применяется еще достаточно простой, но не очень точный метод, известный в теории статистики как метод механического сглаживания.
Более надежный способ выявления основной тенденции развития рынка заключается в построении и графическом изображении трендовых моделей (так называемый метод статистического, или аналитического, выравнивания).
Тренд - графическое или математическое выражение закономерности динамического развития, т.е. отражение основной тенденции изменений изучаемого явления.
Данный метод имеет то преимущество, что определяет не только вектор, но и скорость развития, а также отражает его характер: ускорение (степенная и показательная кривая, парабола n-го порядка), рост с замедлением (полулогарифмическая кривая), спад с замедлением (гипербола), равномерное развитие (прямая) и т.д. Сущность данного метода заключается в том, что изменение явления (например, продажи товара) рассматривается как функция времени.
Стихийность рынка, действие случайных, непредсказуемых факторов проявляется в колебаниях его параметров, в их отклонениях от линии нормального развития. Рыночные колебания имеют два вектора: динамический (колебания во времени) и пространственный (колебания по предприятиям, по территории). В первом случае наблюдаются рассмотренные ранее отклонения от основной тенденции развития, во втором - от среднего уровня состояния рынка. Чем меньше размах колебаний, т.е. чем устойчивее рынок и его развитие, тем надежнее его оценки и прогнозы, тем ниже риск маркетинговых мероприятий. Характеристика устойчивости развития рынка является важным этапом конъюнктурного анализа.
Как выявить колебания основных параметров рынка, каким образом измерить их интенсивность и тем самым определить степень устойчивости рынка? Техническая (графическая) характеристика способна визуально обратить наше внимание на неравномерное или, наоборот, на равномерное развитие рынка. В первом случае график покажет ломаную линию динамики, а во втором - линию, близкую к прямой. Рисунок отразит и размах колебаний. Однако это неформальная оценка, не позволяющая смоделировать процесс, выразить его количественно, сравнить с базисным периодом или с другим рынком.
Напомним, что линия тренда как бы усредняет колебания, равно удалена (в идеале) от точек, характеризующих эмпирические уровни динамического ряда. Это дает возможность использовать трендовую модель в целях измерения устойчивости развития рынка во времени. Определяется средний размер отклонений от тенденции развития, выраженной линией тренда.
В процессе анализа динамической устойчивости рынка нельзя использовать обычный коэффициент вариации, поскольку, чем выше скорость развития и больше угол возвышения тренда, тем больше будет отклонение от средней и соответственно больше коэффициент вариации, даже при полной равномерности развития.
Анализ тенденций и колеблемости рынка - это достаточно трудоемкий процесс, требующий сбора соответствующей информации, построения динамических рядов, статистических расчетов (как правило, с использованием электронно-вычислительной техники). Для оперативных целей наряду с графическим (техническим) методом характеристики тенденций и устойчивости рынка и методами механического сглаживания, также не требующими сложных расчетов, рекомендуется использовать уже упоминавшийся специфический конъюнктурный метод тестирования.
В практике конъюнктурного анализа получили большое распространение тенденциальные опросы, являющиеся по существу вариантом экспертного исследования. Именно на их основе разрабатываются конъюнктурные тесты, которые представляют собой средние арифметические из трех возможных оценок сложившейся тенденции развития рынка: рост (подъем), стабильность, понижение (спад), каждой из которых присваивается соответствующий балл. В результате дается обобщающая оценка тенденций развития рынка.
Конечно, любые качественные характеристики рынка носят отпечаток субъективности, но в них можно включать и объективные показатели: темп роста товарооборота, уровень устойчивости, степень деловой активности.
2. Характеристика объекта исследования
2.1. Становление и состояние предприятия и организационно-правовая форма предприятия
Предприятие ОАО «Белгородский цемент» - крупнейший производитель высокомарочных цементов России. Мощность – 2 млн. 800 тыс. тонн цемента в год. ОАО «Белгородский цемент» и три завода ОАО «Новоросцемент», находящиеся на побережье в Новороссийске в крупнейший в России цементный холдинг – «Новый Русский Цемент». Общая мощь заводов цементного холдинга – 7,5 млн. тонн цемента в год, что составляет более 10% от всех производственных мощностей цементной промышленности России. Холдинг «Новый Русский Цемент» единственный в СНГ, располагающий своим цементным терминалом. Он имеет уникальную возможность отгружать цемент морским транспортом в любую точку мира.
ЗАО «Белгородский цемент» - одно из лучших предприятий холдинга и России, первое единственное среди цементных предприятий СНГ, получившее в 1998 г. международный сертификат качества. Высокое качество белгородских цементов, производимых по международному стандарту EN – 197, их стабильные характеристики ставят наше предприятие в ряд ведущих мировых производителей. Устойчивый ежегодный рост на 10–15% производства и реализации нашей продукции позволяет улучшать благосостояние работников предприятия.
Это один из первых, построенных в России цементных заводов, которые занимают лидирующие позиции в отрасли. ЗАО «Белгородский цемент» - достойный представитель отрасли на внутреннем и мировом рынках. Высокое качество цемента и его специфические свойства ставят ЗАО «Белгородский цемент» в ряд ведущих мировых производителей.
В порядке выполнения 4-го пятилетнего плана восстановления народного хозяйства СССР Министерством промстройматериалов от 18 апреля 1946 г. было предусмотрено сооружение в Белгороде завода мощностью 300 тыс. тонн цемента в год. Точка строительства была выбрана из расчета как близости основного вида сырья – мела, глины, так и с учетом возможности доставки рабочих с ближайших сел железнодорожным транспортом
«Белгородский цементный завод» был сдан в эксплуатацию 31 декабря 1949 г., т. е. была пущена первая технологическая линия мощностью 130 тыс. тонн цемента в год, а 20 апреля 1951 г. завод был полностью сдан в эксплуатацию. В 1953 г. мощность завода перекрыта в 2 раза по сравнению с проектной. В 1956 г. была сдана в эксплуатацию 4-я технологическая линия и годовая мощность предприятия составила 840 тыс. тонн. В 1960 г. завершено строительство седьмой технологической линии, мощность завода достигла 2 млн. 200 тыс. тонн цемента в год. Первые десять лет (1950-1960) деятельность завода характеризовалась активным нарастанием объемов производства цемента за счет строительства новых технологических линий. В последующие годы шло наращивание мощностей, и особенно, совершенствование технологии, механизации и автоматизации производства. В 1974 году выпуск цемента был доведен до 2 млн. 350 тыс. тонн в год. «Белгородский цементный завод» освоил семь марок цемента. Одному из них – портландцементу «500» был присвоен государственный знак качества, остальная продукция была аттестована первой категорией. Производственные достижения многократно отмечались высокими наградами, Диплом ВДНХ и ВЦСПС, Почетными грамотами и переходящими знаменами Министерства промстройматериалов СССР.
Некоторые технологические новшества: гидротранспорт глиняного шлама, применение гидроциклонов на сырьевых мельницах, промышленное освоение болтушек с вертикальным планетарным приводом и другие применялись впервые в цементной промышленности на «Белгородском цементном заводе», что имеет большое значение в целом для отрасли и сейчас используется на многих родственных предприятиях страны.
В 2000 году впервые за время эксплуатации объемы продажи цемента составили более 228 000 тонн в месяц.
В 2002 г. проведена реконструкция цементной мельницы с установкой сепаратора бельгийской фирмы «Маготто», что дало возможность выпускать высокомарочный цемент. В 2002 г. смонтирован и сдан в эксплуатацию бетонно-растворимый узел немецкой фирмы «Штеттер», производительностью 60,0 тыс. тонн товарного бетона в год.
В 1992 г. было создано совместное российско-панамское предприятие ЗАО «Белгородский цемент». Иностранным учредителем является Панамская фирма "Central Cement", которой принадлежит 49% уставного капитала (101 млн. рублей). «Белгородский цемент» является юридическим лицом и зарегистрировано как закрытое акционерное общество "Белгородский цемент" Государственной Регистрационной палатой 25.04.96 года (свидетельство № Р-540.16.1).
Собранием акционеров созданы следующие органы управления акционерным обществом:
Наблюдательный Совет.
Исполнительная дирекция.
Основными видами деятельности предприятия являются: производство цемента, клинкера, мела, калийно-известковых удобрений, осуществление строительных работ, посредническая деятельность, реализация собственной продукции и услуг в Российской Федерации и за рубежом и т.д.
Цемент ЗАО «Белгородский цемент» прошел очень жестокие испытания и сертифицированы по стандарту EN – 197 в испытательной лаборатории Организации контроля качества Союза немецких цементных заводов в Дюссельдорфе. Кроме того, сертификация произведена в Канаде, США, Англии, Венгрии, Украине, Словакии, Эстонии, Израиле, Польше, Испании, Португалии, Финляндии.
2.2. Вид деятельности
Предприятие выпускает продукцию:
1. Портландцемент (ГОСТ 10178-85): ПЦ 600 ДО; ПЦ 550 ДО; ПЦ 500 ДО;
ПЦ 500 ДО; ПЦ 400 Д20; ПЦ 400 ДО.
2. Портландцемент для производства асбестоцементных изделий (ТУ 21-26-18-91).
3. Шлакопортландцемент (ГОСТ 10178-85): ШПЦ 400.
4. Сульфатостойкий портландцемент с минеральными добавками (ГОСТ -22266-85): ССПЦ 400 Д20.
5. Сульфатостойкий шлакопортландцемент (ГОСТ 22266-85): ССШПЦ 400;
6. Портландцемент тампонажный (ГОСТ 1581-85): ПЦ 500 ДО;
7. Портландцемент быстротвердеющий (ГОСТ 10178-85): ПЦ 400 Д20-Б;
8. Портландцемент для бетона дорожных и аэродромных покрытий (ГОСТ 10178-85); ПЦ 400 Д20-Н;
9. Портландцемент для железобетонных напорных и безнапорных труб, железобетонных шпал, мостовых конструкций, стоек опор высоковольтных линий электропередач (ГОСТ 10178-85): ПЦ 500 ДО-Н;
10. Стабилизированное дезагрегированное вяжущее: СДВ М800 по ТУ 21-0281366-01-92;
1. Клинкер портландцементный. Минералогический состав:
3CaO-Si02-60%, 2CaO-Si02-18%, 4СаО-А120з-Fе20з-13%, ЗСаО-Аl2Оз - 5%.
12. Мел марок МТД-1, МТД-2 , МТД-3 (ТУ 21-763-79 или ОСТ 21-10-83);
13. Мел марок ММС-1, ММС-2 (ГОСТ 17498-72);
14. Мел обогащенный сухим способом (ГОСТ 12085-88) марок ММС-1, ММС-2.
15. Калийно-известковое удобрение.
16. Портландцемент EN-197-1CEM I 52,5R; EN-197-1CEM I 52,5N; EN-197-1CEM I 42,5R; EN-197-1CEM I 42,5N; EN-197-1CEM II/ A-S 32,5R; EN-197-1CEM II/ A-S 32,5N.
Предприятие использует механизированный комплекс производства немецкой фирмы «Меллерс» который позволяет одновременно осуществлять тарирование цемента в бумажные мешки, формировать мешки с цементом в пакеты без поддонов. Мощность комплекса — 200 тыс. тонн цемента в год. Кроме этого имеется комплекс по затариванию цемента в мягкие контейнеры типа биг-бег мощностью 200 тыс. тонн упакованного цемента в год.
Предприятие располагает работоспособным технологическим оборудованием для производства 2,4 тонн клинкера и 2,8 тонн цемента в год. Коэффициент изношенности оборудования составляет 0,6.
Производство является безотходным: на основе высокощелочной пыли, уловленной электрофильтрами вращающихся печей, работает цех по производству калийно-известковых гранулированных удобрений чрезвычайно ценного, но в то же время не дорогого продукта.
На предприятии цемент производят мокрым способом. Этот способ обеспечивает более качественную гомогенизацию смеси и достаточно легкую корректировку сырьевой смеси. Экологичность производства при такой технологии заметно лучше, чем при сухом способе производства. Минус этой технологии - высокая энергоемкость.
Сырьевые материалы, мел и глина, добываются в карьерах предприятия. Мел транспортируется от карьера до завода железнодорожным транспортом на расстояние 2,5 километра (таблица 2.1). Глина из забоя вывозится автотранспортом до отделения приготовления сырьевого шлама. Готовый глиняный шлам далее транспортируется по трубопроводу в сырьевой цех. Так как предприятие имеет собственные полигоны, проблем с сырьем предприятие не имеет.
Таблица 2.1
Сырьевые материалы и их поставщики.
|
Сырье, материалы |
Поставщики |
|
Мел |
Собственный карьер «Полигон» |
|
Глина |
Собственный карьер «Черная поляна» |
|
Колчеданные огарки |
Уваровский химический завод, Тамбовская область |
|
ЛСТ |
Котласский Ц/Б комбинат, Архангельская область |
|
Фильтрат |
Белгород, Завод лимонной кислоты |
|
Активно - гранулированный доменный шлак |
Мариупольский металлургический комбинат |
|
Специальные добавки ЛСТМ-2 |
Слокский ЦБК, Юрмала, Латвия |
|
Гипсовый камень |
Новомосковский гипсовый комбинат |
|
Огнеупоры |
Пайтелемоновский огнеупорный комбинат, Семелукский огнеупорный завод |
|
Шары (мелящие тела) |
Воскресенский машиностроительный завод |
|
Броменлиты |
Новороссийский машиностроительный завод |
|
Бумажная тара |
Котласский ЦБК |
|
Топливо на обжиг клинкера |
Газ Уренгойского месторождения |
|
Электроэнергия |
Белгород, подстанция системы Белгородэнерго |
3. Анализ внешней среды предприятия
3.1. Анализ общехозяйственной конъюнктуры
Общехозяйственная конъюнктура характеризует состояние всей экономической системы (экономики РФ) в тот или иной период времени.
Россия (Российская Федерация)– индустриально-аграрная страна, расположенная в Восточной Европе и в Северной Азии. Граничит: с Норвегией, Финляндией, Эстонией, Латвией, Польшей, Беларусью, Украиной – на Западе, с Грузией, Азербайджаном, Казахстаном, Монголией, Китаем на юге, КНДР на юге-востоке. На севере омывается морями Северного Ледовитого океана, на востоке – морями Тихого океана, на западе – водами Балтийского моря, на юге имеет выход к Черному морю.
Площадь – 17075, 2 тыс. км2 (первое место в мире). Население – 145,2 млн. человек (по переписи 2002 г. ).
Государственный язык – русский. Государственная денежная единица – рубль.
Столица – город Москва.
Россия – постоянный член Совета Безопасности ООН.
Государственное устройство России – Федеративная республика. Глава государства – президент. Глава правительства – Председатель правительства. Высший законодательный орган – Государственная дума (двухпалатный парламент). В административном отношении состоит из 21 республики, 1 автономной области, 10 автономных округов и 2 городов федерального подчинения.
Политическая обстановка
На данном этапе развития, вероятность возврата России к старой политической системе невелика. Нынешний Президент РФ В. В. Путин идет по пути укрепления вертикали власти. В первую очередь это касается регионов. Президентом внесён в Государственную Думу законопроект об отмене прямых выборов губернаторов и утверждении их региональными законодательными органами по представлению Президентом, а также проект закона об избрании депутатов только на партийной основе. 3 декабря 2004 г. эти законы были приняты в третьем, окончательном чтении.
В стране создано семь крупных округов, в которых власть Президента представляют его представители. Проведена реорганизация Кабинета Министров страны, сокращено количество министерства.
В стране одновременно проводится ряд крупных реформ: административная, военная, пенсионная. Готовятся реформы в области здравоохранения, жилищно-коммунального хозяйства.
Снижена государственная задолженность по выплате пенсий, заработной плате и другим платежам населению, что в значительной мере способствовало снижению политической напряженности в стране. С 1 января 2005 г. проводится реформа по замене льгот денежными выплатами, что способствует восстановлению социальной справедливости по отношению ко всем ветеранам и инвалидам страны.
Серьезную тревогу вызывает рост наркомании и преступлений, особенно среди молодежи, криминализация и коррупция в государственных и коммерческих структурах. Если в 1990 г. в России действовало не более 300 организованных преступных группировок, то 2003 г. их количество возросло в 30 раз, с числом активных участников 90-100 тысяч человек.
Экономическая обстановка
В целом, процесс экономического подъема продолжается шестой год подряд. При этом по темпам экономического роста Россия опережает большинство стран мирового сообщества, несмотря на начавшееся восстановление экономического роста в развитых странах. Положительно решён вопрос о приёме нашей страны во Всемирную торговую организацию (ВТО). В настоящее время проводится подписание протоколов со всеми странами-участниками этой организации.
Согласно оценкам Минэкономразвития, рост российской экономики в 2003 г. составил 6,8% (в 2002 г. - 4,3%). При этом экономический рост в прошлом году был значительно более равномерным, чем в 2002-м, произошли заметные сдвиги в структуре ВВП, увеличилась доля производства услуг, а производство товаров уменьшилось. Высокие темпы роста экономики и доходы от экспорта нефти позволили поддерживать устойчивые темпы роста доходов и расходов федерального и консолидированного бюджетов. В результате доля расходов бюджетов по отношению к ВВП не уменьшалась в течение последних четырех лет. В уходящем году экономический рост прочно опирался на внутренний инвестиционный и потребительский спрос. В стране идет модернизация производственных мощностей, растет производительность труда.
Инфляция в России в 2003 г. составила 12,0% (в 2002 г. - 15,1%), в 2004 инфляция будет несколько выше спланированной (10%).
При исполнении бюджета-2003, доходы федерального бюджета составили 2,6 трлн. руб., расходы - 2,4 трлн. руб. Основная причина перевыполнения Минфином плана на 1% заключается в высоких ценах на нефть.
Часть сэкономленных средств - 103,5 млрд. руб. - была направлена в открытый 1 января 2004 года стабилизационный фонд. Стаблизационный фонд, по заявлению министра финансов А.Кудрина, нужен для того, чтобы «стерилизовать средства, поступающие от высоких цен на нефть, и создать запас прочности на случай резкого снижения цен на нефть», что происходит, по наблюдениям экспертов Минфина, каждые шесть лет.
Золотовалютные резервы за 2003 год России выросли с $47,793 млрд. до $76,938 млрд.
Рост реального ВВП России продолжает опережать соответствующий показатель индустриально развитых стран. Прирост сезонно очищенного ВВП России за 2003 года в годовом исчислении составил 8,7 проц., тогда как в США и Еврозоне - 8,2 проц. и 1,6 проц. соответственно, а в Японии - лишь 1,2 проц.
В целом динамика изменения индекса физического объема ВВП и ВВП на душу населения за 1997 –2003 г.г. выглядит следующим образом (таблица 3.1.2.):
Таблица 3.1
Динамика физического объема ВВП на душу населения.
|
ПОКАЗАТЕЛЬ |
1997 ГОД |
1998* ГОД |
1999 ГОД |
2000 ГОД |
2001 ГОД |
2003 ГОД |
|
ФИЗИЧЕСКИЙ ОБЪЕМ |
2200300 |
2967,55 |
2478,6 |
2696,4 |
2782,7 |
3275,9 |
|
ОБЪЕМ НА ДУШУ НАСЕЛЕНИЯ (ТЫС. РУБ.) |
14893 |
12,765 |
16,826 |
18,355 |
19,551 |
23,390 |
*- после деноминации, млрд. руб.
В целом объем производства ВВП в 2003 г. составило 103,9% от уровня 2002 г. (1 полугодие):
Основным торговым партнером России являлись страны ЕС, доля которых в товарообороте составила 33,2%. Около 70% товарооборота с этими странами приходится на Германию, Италию, Великобританию и Нидерланды. Индекс «условий торговли» за год увеличился и составил 1,12, хотя в целом в 1991-2001 г.г. он снизился на 23,6%.
В 2003 г.г. добыча нефти сократилась на 35% при росте ее вывоза за рубеж в 2,4 раза, природного газа – более чем на 7% и в 2,3 раза соответственно. Производство нефтепродуктов снизилось на 63%, их экспорт возрос почти в 2 раза, минеральных удобрений – на 33 и 57%, целлюлозы – на 73%. Заготовки круглого леса упали на 67%, его экспорт увеличился на 82%.
Добыча золота в нашей стране выросла на 0,4% по сравнению с тем же периодом 2002 г. и составила 108,58 т.
Это привело к увеличению экспортных квот фактически по всем основным товарам российского экспорта, уровень которых достиг предельной величины, ограничив дальнейшую возможность его интенсивного развития.
В 2003 г. объем экспорта несколько снизился и достиг 99,1 млрд. долларов от уровня 2002 г. Рост импорта продолжался, его объем увеличился по сравнению с 2002 г. на 6,3% и достиг 62,1 млрд. долларов. Объем импорта увеличился на 8,6%.
Сальдо торгового баланса сократилось на 10,6% и составило 37 млрд. долларов.
Инвестиционная активность в 2003 году характеризовалась более высокой динамикой, чем в 2002 году. Инвестиции в основной капитала увеличились в 2003 году по сравнению 2002 годом на 12,2 проц., реальные располагаемые денежные доходы населения выросли на 13,8 проц., реальная заработная плата на 9,8 проц. Номинальная начисленная среднемесячная зарплата составила 5343 рублей.
Основной объем привлеченных иностранных инвестиций приходится на 10 ведущих стран, в том числе доля Германии составила 23%, США – 21%, Великобритания – 13%, Франция – 12% и Кипра – 11,6%.
Основными факторами, определившими рост инвестиций, являлись прежде всего: высокие мировые цены на энергоресурсы, обеспечившие усиление инвестиционной активности в топливно-энергетических отраслях; падение доходности по рублевым финансовым инструментам, что стимулирует частных инвесторов вкладывать средства в реальный сектор экономики; улучшение финансового состояния предприятий; общая экономическая стабильность в стране.
Рост доходов федерального бюджета и жесткий контроль исполнения его расходной части обеспечили значительный первичный и общий его профицит. В связи с этим обслуживание и погашение государственного долга осуществлялись без привлечения внешних заимствований, был так же создан резерв для компенсации возможного ухудшения внешнеторговой конъюнктуры.
На фондовом рынке РФ после нормализации ситуации на мировом финансовом рынке наблюдается подъем.
За январь-сентябрь 2004 г. предприятиями промышленности Белгородской области произведено промышленной продукции на 84,4 млрд. руб., выпуск продукции сельского хозяйства оставил 21,5 млрд. руб. Индекс физического объёма произведенной промышленной продукции по сравнению с январём-сентябрём 2003 г. составил 105, 4%. [1]
В 1997-2003 г.г. деятельность строительного комплекса России развивалась в сложных финансово-экономических условиях. Для строительной индустрии были характерны неравномерные темпы деловой активности.
В 2003 г. в промышленности строительных материалов тенденция объема роста производства составила 4%. Это связано с повышением спроса на многие строительные материалы вследствие некоторого оживления инвестиционной активности в отдельных отраслях реального сектора, увеличение объемов подрядных работ, а также жилищного строительства.
Инвестиции в основной капитал в 2002 году в промышленность строительных материалов составили 10,4 млрд. рублей (в 2001 г. - 8,93 млрд. рублей), или в сопоставимых ценах 113,3 процента.[2] В промышленность строительных материалов поступление иностранных инвестиций осуществлялось в основном в форме прямых инвестиций.
Доля отечественной продукции на внутреннем рынке составляет около 93%. Однако, по группе отдельных отделочных материалов и изделий, предметов домоустройства доля импортных материалов достигает 20%, и в ближайшие годы вряд ли ее удастся существенно снизить.
Основной причиной является отсутствие по многим видам изделий современных технологий и оборудования, а также некоторых видов химического сырья, которые невозможно из-за отсутствия у предприятий средств закупать за рубежом.
Техническое оснащение многих предприятий стройматериалов значительно ниже уровня передовых зарубежных технологий. Степень износа основных фондов в отрасли достигает 54 %, причем ежегодное выбытие их составляет около 2 %, а ввод в действие новых - около 1 %. Это приводит фактическому сокращению производственных мощностей. Средний срок эксплуатации основной части машин и оборудования составляет 17 лет.
Около 7 % объема промышленной продукции отрасли приходится на малые предприятия. Основную долю продукции, производимой малыми предприятиями, составляют стеновые и нерудные материалы, местные вяжущие, конструкции из бетона, полимерные материалы. На них трудятся более 15% численности работающих в отрасли.[3]
Определенное положительное влияние на развитие некоторых предприятий отрасли оказали ряд зарубежных компаний и фирм, которые пришли в реальный сектор экономики. В отрасли работают порядка 65 предприятий с участием иностранного капитала или 0,7 процента от общего числа предприятий. При этом на них выпускается 11,4 процента общего объема производства продукции и занято 2,7 процента общей численности промышленно-производственного персонала отрасли.
Социально – демографическая обстановка
Итоги прошедшей в 2002 г Всероссийской переписи населения интересны, важны и показательны. Для России характерно старение населения, высокий приток мигрантов, прекращение урбанизации и рост образовательного уровня людей. 4
Численность постоянного населения составляет 145,2 млн. человек. Мужчин – 67, 6 млн., женщин – 77, 6 млн. По сравнению с предыдущей переписью 1988 г. численность населения уменьшилась на 1, 8 млн. человек.
Россия занимает седьмое место в мире по численности населения. На территории России проживают представители свыше 160 народов. Русские являются наиболее многочисленной национальностью. Их численность составила 116 млн. человек (80% жителей страны). Средний возраст жителей страны составляет 37, 7 года, в области – 36 лет.
Таблица 3.2
Основные показатели естественного движения населения.
|
ОБЩИЙ КОЭФФИЦИЕНТ РОЖДАЕМОСТИ |
ОБЩИЙ КОЭФФИЦИЕНТ СМЕРТНОСТИ |
КОЭФФИЦИЕНТ ЕСТЕСТВЕННОГО ПРИРОСТА |
ОЖИДАЕМАЯ ПРОДОЛЖИТЕЛЬНОСТЬ ЖИЗНИ ДЛЯ МУЖЧИН, ЛЕТ |
ОЖИДАЕМАЯ ПРОДОЛЖИТЕЛЬНОСТЬ ДЛЯ ЖЕНЩИН, ЛЕТ |
|
8,6 |
13,8 |
-5,2 |
60,8 |
72,9 |
Из общего числа лиц, занятых в экономике, 95% работают по найму, примерно 1, 5% - работодатели, около 3% - индивидуальные предприниматели. Пособие по безработице получали 1, 2 млн. человек.
Крупными городами-«миллионниками» являются: Москва, Санкт-Петербург, Нижний Новгород, Новосибирск, Екатеринбург, Самара, Омск, Уфа, Казань, Пермь, Волгоград, Ростов-на-Дону, Челябинск. В них проживает почти пятая часть населения страны.
В Белгородской области в январе –сентябре 2004 года характеризовалась продолжающимся процессом естественной убыли населения. За 9 месяцев 2004 г. число умерших превысило число родившихся в 1,7 раза. Естественная убыль населения составила 7893 человека. Миграционный прирост населения составил 5261 человек.
На конец октября 2004 г. уровень безработицы составил 1,5% экономически активного населения.
В сентябре 2004 г. средняя заработная плата по области составила 5468, 3 руб. и увеличилась по сравнению с сентябрём 2003 г. на 5, 5 %. Суммарная задолженность по заработной плате на 1 ноября 2004 г. составила76, 3 млн. руб. [5]
Экологическая обстановка
В 2004 г. сохранилась тенденция прошлых лет по снижению воздействия промышленного производства на различные компоненты окружающей среды. Наша страна подписала и ратифицировала Киотский протокол по снижению выбросов в атмосферу и их влиянии на озоновый слой Земли.
В регионах с наибольшим объемом выбросов в поверхностные водные объекты (более 500 тыс. тонн в год), на которые приходится долее 60% всех выбросов от стационарных источников загрязнения, проживает 33 млн. человек.
В целом по городам России данные наблюдения показывают, что уровень загрязнения атмосферы остаются еще высоким. В более чем 200-х городах средние за год концентрации одного или нескольких веществ превышали предельно допустимую концентрацию (ПДК). В 80 городах максимальные концентрации некоторых веществ превышали 10 ПДК, среди них города с населением более 1 млн. человек: Волгоград, Казань, Москва, Новороссийск, Омск, Пермь, Ростов-на-Дону, Санкт-Петербург. При этом наблюдается уменьшение концентрации основных загрязнителей атмосферного воздуха промышленного происхождения при некотором увеличении в атмосфере таких веществ, как окись углерода и оксид азота, характерных для выброса автотранспорта.
В России ежегодно уменьшается общая площадь сельскохозяйственных угодий (за последние 25 лет – на 33 млн. га), снижается их качество. Земли около 3% городов России отнесены к чрезвычайно опасной категории загрязнения, около 8% - к опасной.
Экологические факторы являются причиной 20-30% заболеваемости и смертности населения России.
Природно-климатическая обстановка
В России добываются все виды минерального топлива, из них основную массу составляют нефть и природный газ. 2\3 нефти и свыше 90% всего газа дает Западная Сибирь.
В РФ сосредоточено 12,9% разведанных запасов нефти мира, 15,6% ее добычи, 36,4 запасов газа, 30,9% его добычи, 1\3 мировых запасов угля.
В России три металлургические базы: Уральская, Центральная и Сибирская. Важное значение для развития черной металлургии имеет Курская магнитная аномалия.
Потенциальная суммарная ценность разведанных запасов основных видов полезных ископаемых по оценке Минприродресурсов России составляет около 25 трлн. долл., в том числе угля – 10, нефти и природного газа – 7,3, цветных и редких металлов – 3,0, железных руд – 1,9, алмазов – 0,15 трлн. долл.
Климат России – умеренно-континентальный. На крайнем севере – арктический, на черноморском юге – субтропический. Средняя годовая температура на большей части территории страны +3оС. Около 70% территории занимают обширные равнины. Европейскую и азиатскую части России разделяет Уральский хребет (высшая точка – 1895 м). Между реками Енисей и Лена расположено Среднесибирское плоскогорье. Имеются значительные горные области – Кавказ, Алтай, Саяны, Камчатские горы. Высшая точка страны – горы Эльбрус (5642 м). Крупнейшие реки: Обь, Енисей, Лена, Иртыш, Амур, Волга, Северная Двина. Леса занимают около 65% площади страны (сосна, ель, пихта, кедр, береза, осина, граб, дуб, ясень и другие). Области вечной мерзлоты на севере занимают до 10 млн. км2.
Научно-техническая обстановка
Следует отметить, что слабое развитие технологического ресурса в значительной степени связан с недостаточным обеспечением научно-технической сферы, следствием чего является низкая зарплата занятых в этой сфере, не стимулирующая высокопроизводительный труд, и практически совсем прекратившееся материально-техническое обеспечение. Данные по собственным источникам развития технологического ресурса приведены в таблице 3.3.
Таблица 3.3
Собственные источники развития технического развития.
|
ЭКСПЕРТНЫЕ РЕЙТИНГОВЫЕ ОЦЕНКИ |
|
|
ПОКАЗАТЕЛЬ |
МЕСТО ЗАНИМАЕМОЕ В МИРЕ |
|
ОБЩЕЕ СОСТОЯНИЕ ТЕХНОЛОГИЧЕСКОГО РЕСУРСА |
55 |
|
УРОВЕНЬ РАЗВИТИЯ ИНФОРМАЦИОННЫХ ТЕХНОЛОГИЙ |
41 |
|
СОБСТВЕННЫЕ НОВВЕДЕНИЯ |
36 |
|
СОБСТВЕННЫЕ ИЗВЕСТНЫЕ ТОРГОВЫЕ МАРКИ |
30 |
|
УРОВЕНЬ НОВОЙ ТЕХНОЛОГИИ |
45 |
|
РАСХОДЫ НА НИОКР |
30 |
|
ЧАСТНЫЕ РАСХОДЫ НА НИОКР |
57 |
|
ОХВАТ ВЫСШИМ ОБРАЗОВАНИЕМ |
18 |
|
УРОВЕНЬ МАТЕМАТИЧЕСКОГО И ЕСТЕСТВЕННОГО ОБРАЗОВАНИЯ |
26 |
|
НАЛИЧИЕ ВЫСОКОКЛАССНЫХ УЧЕНЫХ И ИНЖЕНЕРОВ |
17 |
|
НАЛИЧИЕ НИИ МИРОВОГО УРОВНЯ |
18 |
Особое место в рассматриваемом ресурсе принадлежит информационным технологиям (компьютеры и телекоммуникации), на базе которых в последние 15 лет развернулась настоящая информационная революция. Степень развития телекоммуникаций стала все больше определять экономическое процветание страны и интеграцию в мировое хозяйство, поскольку телекоммуникационные сети образуют «нервную систему и соединительную ткань» современной мировой экономики, превращая ее в сетевую экономику.
В общем объеме мировых продаж наукоемкой продукции доля России составляет всего 0,3%. Тем не менее, патентная деятельность в России развивается: с 1997 по 2001 г.г. в 2,7 раза выросло число зарегистрированных патентов на изобретения, в 2,2 раза лицензий и 3,4 раза – программ ЭВМ. Растет также число заявок на регистрацию товарных знаков
За 1997-2002 г.г. рост степени износа основных производственных фондов крупных и средних организаций имел место по всей России. В 2002 г. в наибольшей степени были изношены основные фонды Северо-Кавказского экономического района, где степень износа составила 45,2%, Поволжского, Западно-Сибирского и Уральского экономических районов (степень износа – 44-45%), сравнительно меньше были изношены основные фонды Дальне-Восточного, Восточно-Сибирского, и Центрального районов (износом – 34-39%).
В 2002 г. в РФ в образовании было занято 5,9 млн. человек (9,1% занятых в народном хозяйстве) из них 10% докторов наук и 48% кандидатов наук.
Как бы не были занижены качество жизни, курс национальной валюты и уровень душевого ВВП, по сравнению со многими индустриальными странами Россия обладает рядом уникальных технологий, фундаментальной науки и все еще высоким уровнем образования, то есть в целом она располагает гораздо более развитым человеческим потенциалом.
По индексу развития человеческого потенциала (ИРИП), рассчитываемого в соответствии с программой развития ООН, Россия в 2001 г. занимало 69-е место в Европе из 173 стран, попав в группу со средним уровнем развития человеческого потенциала.
Если по первым двум позициям Россия существенно отстает от развитых стран, то по уровню образования, научного потенциала и даже технологического развития мы можем сравниться со странами лидерами.
Из 1000 человек в возрасте 15 лет и старше 902 имеет основное общее образование (в 1989 г. — 806). В полтора раза возросла численность лиц с высшим и средним профессиональным образованием. Послевузовское образование имели 369 тыс. человек. [6]
Анализ общехозяйственной конъюнктуры Российской Федерации
Для того чтобы определить стратегию рыночного поведения необходимо определить фазу, в которой в настоящий момент находится экономика России. Через анализ фазы экономического цикла, можно прогнозировать поведение основных макроэкономических показателей за определенный период времени. Для определения фазы, в которой находится экономика России в настоящее время, составим таблицу 3.4.
Таблица 3.4
Поведение основных показателей экономики РФ.
|
ПОКАЗАТЕЛЬ |
ПОВЕДЕНИЕ ПОКАЗАТЕЛЯ |
|
ОБЪЕМ ПРОИЗВОДСТВА |
ВОЗРАСТАЕТ |
|
БЕЗРАБОТИЦА |
снижается |
|
ПЛАТЕЖЕСПОСОБНЫЙ СПРОС |
ВОЗРАСТАЕТ |
|
ВЛОЖЕНИЯ В ОСНОВНОЙ КАПИТАЛ |
ВОЗРАСТАЕТ |
|
СПРОС НА ССУДНЫЙ КАПИТАЛ |
ВОЗРАСТАЕТ |
|
СООТНОШЕНИЕ СПРОСА И ПРЕДЛОЖЕНИЯ |
СПРОС>=ПРЕДЛОЖЕНИЯ |
Отсюда можно сделать вывод, что российская экономика в настоящий момент находится в фазе оживления, хотя в России эта фаза экономического цикла имеет некоторые характерные особенности. В частности в социально-демографической сфере продолжается падение демографических показателей. Серьезную озабоченность вызывает высокая смертность, низкая рождаемость, снижение продолжительности жизни и как следствие сокращение численности населения России.
В 2004 г. сформировалась тенденция некоторого улучшения ситуации в российской экономике. Устойчиво снижалась задолженность по выплатам заработной платы, была полностью погашена задолженность по пенсиям, продолжала сокращаться безработица, стабилизировался валютный курс рубля, наблюдается значительный рост собираемости налогов в федеральный бюджет.
Сложилась хорошая ситуация в промышленности. Это было обусловлено, прежде, ростом производства в ряде отраслей, которые выпускают сырьевые ресурсы и ориентированы в значительной степени на внешний рынок. Достаточно благоприятная внешнеторговая конъюнктура позволила им увеличить экспорт продукции, что позитивно повлияло на производственно-хозяйственную деятельность.
Произошло увеличение производственного запаса для оборонной промышленности, железнодорожного, тракторного и сельскохозяйственного машиностроения. Началась легализация «теневого» производства спиртовой и ликероводочной промышленности. Все это способствовало росту производства в промышленности.
Однако зависимость экономического положения России от уровня и динамики цен на сырьевые ресурсы, в том числе и топливно-энергетические, ослабляет экономическую безопасность РФ и затрудняет переход российской экономики к устойчивому длительному росту.
Для определения влияния общехозяйственной конъюнктуры на устойчивое положение фирмы и удовлетворение потребности клиентов составим таблицу 3.5.
Таблица 3.5
Влияние факторов страны на устойчивое положение предприятий.
|
ПОКАЗАТЕЛЬ |
СТЕПЕНЬ ВЛИЯНИЯ |
НАПРАВЛЕНИЕ ВЛИЯНИЯ |
|
МЕЖДУНАРОДНАЯ ОБСТАНОВКА |
0,4 |
+ |
|
ПОЛИТИЧЕСКАЯ ОБСТАНОВКА |
0,9 |
+ |
|
КРИМИНАЛЬНАЯ ОБСТАНОВКА |
0,8 |
- |
|
ТЕМПЫ ИНФЛИЦИИ |
0,4 |
- |
|
КРЕДИТНО-ФИНАНСОВАЯ СФЕРА |
0,7 |
- |
|
СОЦИАЛЬНАЯ ОБСТАНОВКА |
0,9 |
+ |
|
ДЕМОГРАФИЧЕСКАЯ ОБСТАНОВКА |
0,5 |
- |
|
ПРАВОВАЯ ОБСТАНОВКА |
0,8 |
+ |
|
ЭКОЛОГИЧЕСКАЯ ОБСТАНОВКА |
0,3 |
+ |
|
ОБЕСПЕЧЕННОСТЬ ПРИРОДНЫМИ РЕСУРСАМИ |
0,5 |
+ |
|
НАУЧНО-ТЕХНИЧЕСКОЕ РАЗВИТИЕ |
0,9 |
- |
|
КУЛЬТУРНОЕ РАЗВИТИЕ |
0,3 |
+ |
На основании таблицы 3.5 можно сделать вывод, что положительное влияние на деятельность организаций оказывают такие факторы общехозяйственной конъюнктуры России, как улучшение внешнеэкономических связей и политической обстановки в стране, снижение темпов инфляции, улучшение экологической обстановки в стране, снижение темпов инфляции, улучшение экологической обстановки в стране, богатые природные ресурсы и высокое развитие культуры страны. Отрицательное влияние оказывает напряженная криминальная обстановка в стране, не достаточно развитие кредитно-финансовой системы, низкий уровень заработной платы в бюджетной сфере, тяжелая социально-демографическая обстановка, низкая научно-техническая обеспеченность промышленности и сильный износ основных производственных фондов.
В то же время в течение время 2004 г. действовали факторы, тормозящие развитие российской экономики, и многие из них будут оказывать свое негативное влияние на динамику экономического роста в 2005 г.
Особо следует выделить два фактора: низкий уровень заработной платы в бюджетной сфере, отставание минимального размера заработной платы от прожиточного минимума и отсюда низкий платежный спрос и снижение жизненного уровня населения.
Прогноз общехозяйственной конъюнктуры Российской Федерации
При этом прогнозе необходимо учитывать значительную инертность российской экономики, особенно реального сектора, вследствие чего любые изменении, даже кризисного характера, начнут давать результаты с некоторым опозданием. Представленный прогноз разработан на основе важнейших тенденций, сформировавшихся в экономике России 1997-2003 г.г. Конечно, эти тенденции в течение 2005 г. могут меняться, и тогда прогнозирование оценки должны быть скорректированы.
Динамика производства ВВП в 2005 г. почти полностью будет повторять динамику 2004 г. В первом полугодии, возможно, некоторое снижение объемов ВВП, которое во втором полугодии сменится незначительным ростом. Официальный прогноз правительства РФ по росту ВВП в 2004 г. составляет 5,9%. Рост ВВП России в 2003 г. составил 7% .
Тенденция роста основных видов основных видов продукции химической и нефтехимической промышленности сохранится. Можно ожидать увеличения экспорта минеральных удобрений, синтетических смол и пластических масс, синтетических каучуков и тому подобного. В то же время будут продолжать расти внутренний спрос на многие виды продукции.
В машиностроении и металлообработке продолжится наращивание производства многих основных видов продукции. В общем, объеме промышленного производства повысится удельный вес продукции автомобильной промышленности, тяжелого, энергетического, транспортного, тракторного и сельскохозяйственного машиностроения и снизится доля приборостроения, электротехнической, станкостроительной и инструментальной промышленности.
В 2005 г. правительство, видимо продолжит проводить жесткую денежно-кредитную политику. Так же будет расти кредиторская задолженность, которая оказывает влияние на уровень потребительских цен. С будет проводиться монетизация льгот, на эти цели выделено 170 млрд. руб. С 1 января 2005г. повышается размер заработной платы в бюджетной сфере на 20%, а с1 июля 2005 г. предусмотрено введение доплат к тарифным савкам (окладам 1-4 разрядов).
Тенденции демографической ситуации России не изменятся. Число умерших превысит число родившихся.
В сфере занятости тенденция, сформировавшаяся в 2004 г., несколько изменится: будет наблюдаться некоторый рост в безработице.
Тенденции в формировании баланса денежных доходов и расходов населения изменится незначительно. Значительно сократится доля расходов, направленных на покупку валюты, приобретение ценных бумаг и формирование сбережений в виде вкладов в банке. И, наоборот, увеличиться расходы на питание и приобретение предметов первой необходимости.
Продолжиться медленное восстановление объема импорта товаров. Как в предыдущие годы больше всего будут покупаться машин и оборудования, а также продовольствия.
Россия имеет высокую внешнюю задолженность и характеризуется высокими темпами оттока капитала.
Состояние национальной экономики по-прежнему находится в теснейшей зависимости от внешних факторов, прежде всего конъюнктуры мировых сырьевых рынков.
3.2. Анализ и прогноз конъюнктуры рынка
Краткий обзор цементного рынка России.
Становление и состояние цементной промышленности
Цементная промышленность включает свыше 50 предприятий совокупной мощностью почти 90 млн. тонн цемента в год. Ежегодно производится свыше 30 млн. тонн, что примерно втрое меньше пикового для страны уровня 1989 года.
Цементная промышленность является составной частью тяжелой промышленности и определяет потенциал любого государства Отрасль является основным поставщиком сырья для производства бетона и железобетона (свыше половины производимого цемента), который в свою очередь выступает основным конструкционным материалом в строительстве. Другими словами, это сектор, спрос, на продукцию которого прямо зависит от объемов жилищного и промышленного строительства.
Цементная промышленность имеет две основные отличительные особенности. Первая – производство цемента чрезвычайно энергоемко. Доля энергоресурсов, а также топлива превышает половину себестоимости. Это делает ее очень чувствительной к колебаниям стоимости энергоресурсов и различных видов топлива. Цемент является ключевым элементом в производстве основного строительного материала – железобетона, и, соответственно, цементная промышленность в экономике играет роль одного из каналов трансляции инфляции издержек на всю экономику. Доля затрат на топливно-энергетические ресурсы в себестоимости зависит от технологии производства.
Влияние стоимости энергоресурсов на цементную промышленность очень велико. Низкая стоимость газа на внутреннем рынке вкупе с постоянно растущей стоимостью электроэнергии делают экономически невыгодным переход на более передовое производство сухим способом, к тому же изначально большинство цементных заводов сориентировано на мокрую технологию (по ней производится чуть менее 90% цемента). Впрочем, ситуация меняется по мере увеличения стоимости газа. Однако вопрос энергоемкости на фоне постоянного роста энерготарифа пока открыт.
Другая важная особенность отрасли – то, что при перевозках на дальние расстояния доля тарифа на грузоперевозки в стоимости для потребителя может достигать половины себестоимости продукта. Это резко усиливает локализацию рынка в рамках отдельных региональных сегментов. В основном же перевозки внутри региона имеют смысл только при существенном недостатке мощностей по производству цемента либо возможности существенно сэкономить на железнодорожном тарифе.
Цементная промышленность является одной из старейших отраслей нашей страны. Первый цементный завод был построен в 1839 г. в Петербурге, затем были построены заводы под Москвой и в Прибалтике. В 1900 г. в России уже насчитывалось около 50-ти цементных заводов. В годы первой мировой войны производство цемента резко упало и составило всего 36 тыс. тонн. Общая мощность цементных заводов к концу 1940 г. возросла по сравнению с 1928 г. в три раза и составила 5675 тыс. тонн Дальнейший рост производства был прерван Великой Отечественной войной. К маю 1945 г. были частично восстановлены 11 заводов, а в 1948 г. удалось произвести довоенный уровень производства цемента. В 1953 г. было выпущено цемента в три раза больше, чем в 1940 г. По объему производства СССР вышел на первое место в мире, а в 1966 г. перегнал США по производству цемента на душу населения.
Характеристика цементного рынка России по регионам
Анализ структуры потребления в разрезе федеральных округов показывает, что региональная сегментация российского рынка цемента в целом совпадает с размещением основных его производств. Одна из причин этого - экономическая нецелесообразность продажи цемента с транспортировкой на расстоянии более 1000 км. Регионом с наиболее емким рынком является центральный федеральный округ, где сконцентрировано 36,1% внутреннего потребления цемента. За ним с существенным отставанием располагается Приволжский (18,3%), Южный округ (15%), Уральский (11,3%), Северо-Западный (7,0%), Сибирский ( 9,5%) Дальневосточный ( 2,8%).
Следует отметить, что внутри округов области также сильно дифференцируемы по объемам потребления. Поэтому при рассмотрении региональных рынков целесообразно учитывать и деление по областному признаку, так как в основе выделения области учтены, экономические, географические и производственные, организационные и другие факторы.
Наиболее перспективными сточки зрения объемов потребления цемента являются Московский регион (22,7% общероссийского рынка), Краснодарский край (5,6%) и Свердловская область (5,2%). Среди других территорий весьма развитые региональные рынки имеют Татарстан, Тюменская и Челябинские области, а также Башкортостан (таблица 3.6). В целом на долю 10 регионов с максимальными объемами потребления цемента приходится более половины внутреннего рынка.
Таблица 3.6
Региональная структура потребления цемента в России, %.
|
Наименование региона |
Доля региона |
|
Московский регион (Москва и обл.) |
22,7 |
|
Краснодарский край |
5,6 |
|
Свердловская область |
5,2 |
|
Республика Татарстан |
3,3 |
|
Тюменская область |
3,1 |
|
Челябинская область |
2,9 |
|
г. Санкт-Петербург |
2,6 |
|
Республика Башкортостан |
2,5 |
|
Новосибирская область |
2,3 |
|
Волгоградская область |
2,1 |
|
Прочие |
47,7 |
|
Итого |
100 |
Лидирующие положение среди цементных заводов в 2002 г. занял ОАО «Мальцовский портландцемент», доля которого в общероссийском масштабе составила 12,4%. На втором месте, с довольно большим отрывом, следует ОАО «Мордовцемент», доля которого составила 7,6%. Третье, четвертое и пятое место распределились следующим образом:
3. ОАО «Осколцемент» - 7,2%;
4. ОАО «Топкинский цемент» - 6,3%;
5. ОАО «Себряковский цементный завод» - 6,2%.
На этих предприятиях были осуществлены меры, направленные на их техническое перевооружение и улучшение технико-экономических показателей работы.
Таблица 3.7
Производство цемента на ведущих предприятиях России в 2001 г. и показатели средней марки цемента.
|
№ п\п |
Предприятия |
Выпуск цемента, тыс. т в 2001 г. |
Тарирование цемента, тыс. тонн |
Средняя марка цемента |
|
1 |
2 |
3 |
4 |
|
|
2 |
Россия всего |
26022 |
3209 |
424 |
|
3 |
Пикалевское АО «Глинозем» |
1115 |
33 |
405 |
|
4 |
Мальцовский портландцемент |
2394 |
104, 6 |
485 |
|
6 |
Воскресенск цемент |
1114 |
78, 8 |
400 |
|
7 |
Михайловцемент |
648 |
32, 8 |
400 |
|
8 |
Белгородский цемент |
1254 |
155, 1 |
472 |
|
9 |
Осколцемент |
1229 |
142, 9 |
444 |
|
10 |
Липецкцемент |
900 |
94, 0 |
397 |
|
11 |
Себряковцемент |
962 |
343, 0 |
490 |
|
12 |
Вольскцемент |
848 |
106, 2 |
470 |
|
13 |
Ульяновскцемент |
1211 |
100, 6 |
400 |
|
14 |
Кавказцемент |
1186 |
123, 2 |
409 |
|
15 |
Новоросцемент |
1655 |
204, 0 |
496 |
|
16 |
Сухоложскцемент |
1005 |
165, 9 |
410 |
|
17 |
Стерлитамакское АО «Сода» |
686 |
109, 4 |
403 |
|
18 |
Топкинский цемент |
750 |
100, 8 |
425 |
|
19 |
Урал цемент |
768 |
132, 3 |
414 |
Увеличению производства цемента на этих предприятиях способствовало повышение их конкурентоспособности за счет совершенствования техники и технологии производства, улучшение использования топливно-энергетических и материальных ресурсов, снижение себестоимости, повышение качества, ассортимента продукции, грамотная ценовая политика.[7]
На ОАО «Михайловцемент», контрольный пакет акций которого принадлежит ОАО «Штерн Цемент» осуществлен перевод обжиговых печей клинкера с жидкого топлива на природный газ, улучшено качество и снижена себестоимость цемента в среднем на 20%.
На ОАО «Липецкцемент» с помощью группы «Штерн Цемент» была реконструирована система производства и потребления сжатого воздуха, что позволило резко сократить его потребление; также проведены другие мероприятия, с помощью которых на предприятии снижены удельные энергозатраты на выпуск продукции, снижена ее себестоимость, а в результате увеличено производство и реализация.
На ОАО «Вольскцемент» и «Спасскцемент» с помощью группы «Альфа Цемент» и его научно-технического центра внедрена система управления качеством цемента с подготовкой и переподготовкой кадров.
Главным рынком сбыта стал московский регион борьбу, за который успешно выигрывает уже на протяжении нескольких лет «Мальцовский цементный завод», расположенный в Брянской области. Основная часть продукции которого (около 90%) направляется в Москву на цементные элеваторы «Штерн цемент». Доля «Мальцовского завода» на рынке московского региона составила 39%, остальные 61% поделили между собой:
Осколцемент – 11,2%; Михайловский цементный завод – 11%;
Воскресенский цементный завод – 10%; Мордовцемент – 7%;
Щуровский цементный завод – 6%; Белгородский цементный завод – 5,5%;
Серебряковский цементный завод – 4,8%; Липецкий цементный завод – 3,9%;
Савинский цементный завод – 1,6%.
При этом отгрузка в Московский регион со всех цементных заводов принадлежащих компании Штерн составила 55,5%. Если учесть, что сделка по покупке Штерном контрольного пакета акций ОАО «Осколцемент» состоится – доля «Штерн цемента» в Московском регионе может достичь цифры порядка 70%, что позволит Штерну на 100% контролировать цементный рынок столицы.
Если в Московском регионе лидирующая позиция заводов компании «Штерн цемент» неоспорима, то во многих прилегающих областях Штерн проигрывает позиции другим цементным заводам, таким как Мордовцемент и Осколцемент, которые «теснят» его с юга и востока.
Мордовцемент Осколцемент:
Владимирская область (46%); Воронежская область (59%);
Вологодская область (38%); Курская область (66%);
Ивановская область (35%); Липецкая область (82%);
Кировская область (45%); Тульская область (46%).
Нижегородская область (73%);
Республика Марий Эл (58%);
Республика Мордовия (98%);
Удмуртия (41%);
Чуваши (88%);
Ярославская область (43%).
Ленинградская область.
К этой «зоне» относятся Ленинградская область и Мурманская область, и Республика Карелия. Здесь есть явный лидер — это «Пикалевский цементный завод», доля отгруженной продукции которого, в каждого из вышеперечисленных областей составляет 50%. Однако заводы группы Штерн продолжают теснить Пикалевский завод и на его «родной» территории. Доля отгруженного цемента с заводов группы Штерн здесь составила: 16% в Ленинградской области, 48% в Мурманской области и 19% в Республике Карелия.
Зона Зауралья.
Доля потребления «Зоны Зауралья», несмотря на свои огромные территориальные размеры, составляет всего 22,6% от общероссийской, что на 5% меньше, чем потребление цемента отдельно взятым московским регионом.
Но и здесь наблюдалась жестокая конкуренция в таких регионах, как: Ямало-Ненецкий автономный округ (между Сухоложским и Горнозаводским заводами) и Свердловская область (между Сухоложским и Невьянским заводами).
Приуральская зона.
Доля потребления составила 6,3% от общероссийской. Основная конкуренция была отмечена на рынке Оренбургской области, который примерно равными долями поделили между собой Вольский и Новотроицкий цементные заводы и в Удмуртии между Горнозаводским и Мордовскими заводами. По прежнему на юге в Самарской и Саратовской областях уверенно лидирует Вольский цементный завод, в Республике Башкортостан - ОАО «Сода». На севере - Воркутинский цементный завод. Регионы же, распложенные в средней части Уральского хребта держит под своим контролем Горнозаводский цементный завод.
Южная зона.
Себряковский цементный завод является самым мощным из заводов, расположенных в этой цементной зоне, и ему по праву принадлежит основная доля сбыта в Волгоградской области (90%), Республике Ингушетия (90%), Республике Дагестан (87%), Республике Калмыкия (60%), Чечне (65%). Основными его конкурентами являются Черкесский и Новороссийский цементные заводы, которые расположены южнее и охватывают южные регионы.
Черкесский завод:
Кабардино-Балкария (81%); Новороссийский завод:
Карачаево-Черкесия (100%); Краснодарский край (52%).
Северная Осетия (61%);
Ставропольский край (67%).
Общая характеристика цементного рынка
Цементная промышленность РФ за период экономических реформ прошла стадию длительного спада производства и находится в состоянии деловой активности.
Производство цемента в России осуществлялось во всех экономических районах за исключением Калининградской области, куда цемент поступал с предприятий Центрального, Центрально-Черноземного и Поволжского районов.
Цементная промышленность полностью обеспечивает потребность страны в цементе. Доля импорта цемента составляет 2% процента, а экспорта — около 10% по отношению к объемам производства. Основными потребителями цемента продолжают оставаться строительный комплекс и ремонтно-строительные организации (более 50%), предприятия сборного железобетона (около 25%) и асбестоцементной промышленности и асбестоцементной промышленности ( около 5%) .
Таблица 3.8
Производство и потребление цемента в 2003 г.
|
Экономические районы |
Производство цемента,тыс. т |
Потребление цемента, тыс. т |
||||||
|
год |
1990 |
2000 |
2001 |
2002 |
1990 |
2000 |
2001 |
2002 |
|
Отечественный цемент |
82626,5 |
32400,4 |
35273,9 |
16896,2 |
79542,2 |
30612,5 |
33559,1 |
16727,2 |
|
Северный |
1783,1 |
403,7 |
473,7 |
227,7 |
3402,1 |
520,2 |
548,1 |
250,0 |
|
Северо-западный |
4046,3 |
1722,0 |
1614,0 |
772,0 |
3687,6 |
1494,4 |
1698,2 |
850,0 |
|
Центральный |
10746,9 |
6196,6 |
7168,0 |
3617,7 |
15068,6 |
8726,3 |
9496,6 |
4717,0 |
|
Волго-Вятский |
2975,2 |
1630,3 |
2958,0 |
1086,1 |
3631,9 |
1126,2 |
1213,1 |
580,0 |
|
Центрально-Черноземный |
8686,3 |
4855,6 |
5363,4 |
2471,6 |
4346,9 |
2110,7 |
2096,31 |
1100,0 |
|
Поволжский |
10674,2 |
4425,2 |
4813,0 |
2421,2 |
9679,8 |
3416,4 |
3794,7 |
1800,0 |
|
Северо-Кавказский |
8477,8 |
2963,1 |
3190,8 |
1600,2 |
7448,6 |
3660,8 |
4155,2 |
2200,0 |
|
Уральский |
15928,2 |
5961,4 |
6029,0 |
2493,7 |
10658,2 |
4339,8 |
4371,7 |
2200,0 |
|
Западно-Сибирский |
7277,7 |
1835,2 |
2236,0 |
1021,3 |
9664,5 |
2763,8 |
3537,1 |
1800,0 |
|
Восточно-Сибирский |
7182,8 |
1542,1 |
1399,1 |
686,8 |
6090,4 |
1475,6 |
1474,5 |
700,0 |
|
Дальневосточный |
4848,0 |
862,2 |
928,9 |
497,9 |
5176,7 |
837,7 |
999,0 |
450,0 |
|
Калининградская область |
- |
- |
- |
- |
379,9 |
82,0 |
103,5 |
45,0 |
|
Импорт Экспорт – всего: |
307,0 921,6 |
58,6 2025,3 |
71,9 2324,7 |
35,2 1240,0 |
||||
|
В т. ч. в страны СНГ Дальнего зарубежья |
- 921,6 |
468,8 1556,5 |
811,0 1536,7 |
400,0 840,0 |
Из 11 экономических районов, производящих цемент, в 4 районах - Волго-Вятском, Центрально-Черноземном, Поволжском и Уральском - его производство превышало потребление. В Центральном, Западно-Сибирском, Северо-Кавказском, Северо-3ападном, Северном, Восточно-Сибирском и Дальневосточном потребление цемента превышало его выпуск. При этом следует отметить, что имеющиеся мощности по производству цемента на ряде предприятий всех упомянутых экономических районов используются лишь на 30-50% (таблицы 3.8, 3.9).
Таблица 3.9
Реализация цемента за 1998-2003 г.
|
Районы ввоза |
1998 г. |
1999 г. |
2000 г. |
2001 г. |
2002 г. |
2003 г. |
|
Средняя цена (руб.) |
260-51 |
272-37 |
323-08 |
497-56 |
541-8 |
— |
|
Российская Федерация |
260-43 |
272-37 |
313-68 |
423-56 |
540-75 |
576-08 |
|
Северный |
290-43 |
302-07 |
342-14 |
445-00 |
582-14 |
554-28 |
|
Северо-Западный |
266-43 |
277-77 |
315-59 |
381-66 |
510-46 |
552-49 |
|
Центральный |
214-64 |
232-63 |
267-18 |
396-72 |
594-42 |
550-72 |
|
Волго-Вятский |
230-87 |
341-38 |
380-83 |
464-46 |
483-89 |
449-61 |
|
Центрально-Черноземный |
236-04 |
236-23 |
254-45 |
377-30 |
461-55 |
534-77 |
|
Поволжский |
275-26 |
277-91 |
356-38 |
482-00 |
554-70 |
577-77 |
|
Северо-Кавказский |
260-08 |
296-55 |
339-23 |
475-18 |
553-27 |
525-98 |
|
Уральский |
251-28 |
286-97 |
349-06 |
409-95 |
546-71 |
593-93 |
|
Западно-Сибирский |
286-80 |
250-95 |
269-00 |
331-04 |
518-89 |
674-05 |
|
Восточно-Сибирский |
310-45 |
353-75 |
349-11 |
447-96 |
702-14 |
674-87 |
|
Дальневосточный |
477-20 |
467-87 |
474-78 |
681-03 |
912-42 |
1018-20 |
|
Калининградская область |
262-20 |
248-57 |
301-51 |
391-05 |
522-78 |
__ |
|
Средняя цена продаж в страны СНГ, всего |
288-53 |
285-84 |
388-85 |
475-28 |
812-57 |
— |
|
Азербайджан |
269-37 |
230-53 |
366-56 |
488-82 |
488-82 |
— |
|
Армения |
— |
434-82 |
336-76 |
637-39 |
657-39 |
— |
|
Беларусь |
240-77 |
295-56 |
758-05 |
720-76 |
720-76 |
— |
|
Грузия |
643-33 |
337-91 |
883-76 |
— |
— |
— |
|
Молдова |
430-85 |
- |
- |
- |
- |
- |
|
Казахстан |
310-39 |
295-86 |
375-62 |
436-76 |
436-76 |
- |
|
Туркменистан |
- |
- |
1033-3 |
- |
- |
- |
|
Таджикистан |
873-13 |
586-92 |
1039-0 |
1370-0 |
1370-0 |
- |
|
Узбекистан |
989-70 |
- |
612-94 |
1369-4 |
1369-4 |
- |
|
Украина |
424-24 |
441-35 |
365-12 |
501-42 |
591-42 |
- |
|
Другие страны |
257-87 |
279-65 |
- |
583-36 |
583-36 |
- |
Тенденция одновременного роста потребления и производства цемента в России сохранилась в 8-ми экономических районах, за исключением Северо-Западного, Центрально-Черноземного и Восточно-Сибирского районов. Основные страны-покупатели российского цемента и клинкера – Испания, Китай, Украина, Казахстан, Венгрия, Финляндия, страны Ближнего Востока, Алжир, Азербайджан, Польша, Турция, Эстония, КНДР, Монголия (таблица 3.8).
Основные страны поставщики цемента в Россию – Белоруссия, Литва, Казахстан, Германия, Бельгия, Дания, Италия, Республика Корея, Словакия, Франция.
Производство и продажа цемента в настоящее время в России, в связи с прекращением крупного промышленного строительства, стали сезонными. Причем «пик» потребления и производства на абсолютном числе предприятий приходится на III квартал года. Наиболее низкий уровень продаж и производства приходится на I квартал года. Это ставит перед цементными предприятиями задачи изменения организации производства и труда, переоснащения основного и вспомогательного оборудования, изменения системы его ремонтов, создания резервных мощностей по упаковке цемента и другие (таблица 3.7).
Низкие отпускные цены на цемент компании ОАО «Штерн Цемент» и наибольший удельный вес продаж их цемента в Центральном экономическом районе обеспечили сравнительно низкий уровень отпускной цены по району в целом. Такое же значение в области цен по Центрально-Черноземному району у ЗАО «Белгородский цемент» и ОАО «Осколцемент», по Западно-Сибирскому экономическому району - у ОАО «Топкинский цемент» и ОАО «Искитимцемент», по Уральскому району - у ОАО «Сухоложскцемент» .
Анализ показывает, что, несмотря на постоянно опережающий рост цен на топливно-энергетические ресурсы (131,5%), тарифов за перевозки (138,6%) и другие услуги транспортных, ремонтных и других организаций и, в связи с этим, увеличение эксплуатационных затрат и себестоимости цемента, индекс цен на цемент в среднем по цементной промышленности России был равен 1,28.
В целях расширения объема продаж своего цемента и с учетом конъюнктуры рынка, некоторые предприятия практикуют установление отпускных цен на уровне более низком, чем у их конкурентов, зачастую даже себе в убыток. Это отрицательно сказывается на их рентабельности и общих финансовых показателях работы.
Наряду с этим следует отметить значительные темпы роста цен приобретения цемента, которые в среднем по стране в 1,84 раза выше цен производителей.
В декабре 2001 г. средняя цена приобретения цемента потребителями в России была 995,46 руб. за тонну, а цена производителя - 542 руб. за тонну (без НДС). В июле месяце 2002 г. эти цены соответственно составили 990,50 и 631 руб. за тонну. Начиная с 1998 г., наша страна увеличила потребление цемента на 8,7% и восстанавливает свои позиции на мировом рынке. С июня 2003 г. повышены отпускные цены на цемент. В целом 1 т цемента подорожала на 45-50%.
Тенденции динамики развития цементной промышленности России предопределяются воздействиями множества факторов, которые упрощенно можно разделить на группы:
характеристики цементных заводов и месторождений, расположенных на территории РФ;
внутренние условия функционирования цементной промышленности в строительной отрасли
внутренние ресурсы компании (фонд сырья, производственные мощности, финансовые и трудовые ресурсы).
Каждая из рассматриваемых групп факторов оказывает непосредственное влияние на процесс определения стратегии развития цементной промышленности в строительном комплексе.
Современное российское цементное производство можно охарактеризовать как ориентированное на внутренний и на внешний рынок. Российская цементная промышленность на протяжении всей своей истории придерживалась одной доминирующей стратегии – ростом производства. Данная концепция требовала постоянно возрастающего объема инвестиций для разработки новых программ, в том числе и маркетинговых. Отсутствие постоянного притока инвестиций в строительную отрасль, углубленное структурными преобразованиями российской экономики в 90 – е годы, предопределило резкое снижение объема производства цемента (таблица 3.8).
В поисках рынка сбыта своего цемента увеличили расстояния его перевозок многие предприятия - ОАО «Савинский ЦЗ», «Воскресенскцемент», «Михайловцемент», «Осколцемент», «Липецкцемент», «Себряковцемент», «Новоросцемент» и другие. Изменилась структура поставок и потребления цемента во всех экономических районах страны и прежде всего в Центральном, Центрально - Черноземном и Севере - Западном экономическом районах.
Наиболее крупными экспортерами в 2002 г. явились: «Новоросцемент», «Белгородский цемент», Сланцевый завод «Цесла», Пикалевское ПО «Глинозем», «Вольскцемент». Резко снизился экспорт цемента в Украину. Это связано с введением этой страной специальной пошлины на российский цемент в размере 41%. Импорт цемента в Россию составил 0,2% к общему объему производства и не оказывал существенного влияния на российский рынок. Импорт же цемента в нашу страну осуществлялся примерно по среднеевропейской цене - 72,5 дол США за тонну, что значительно дороже отечественных цементов.
Как отмечено ранее, ряд цементных предприятий реализует часть своего цемента в другие страны. Этот вид продаж становится в последние годы стабильным и увеличивается.
Объем производства цемента (в том числе и на ЗАО «Цементный завод») определяется следующими факторами: объем экспорта цемента (увеличился в 2001 г. от общего объема продаж); состояние производственных мощностей; уровень спроса на цемент на внутреннем рынке; возможность экспорта.
Несмотря на сложные экономические условия работа предприятий отрасли в последние 3 года стабилизировалась, и появились предпосылки для увеличения производства цемента. Рост цен на цемент на внутреннем рынке обеспечился значительным улучшением финансового положения финансовых компаний. Высокие результаты компаний обеспечили возможность значительного увеличения капиталовложений. Цементные организации планируют осуществить активную инвестиционную политику, направленную на поддержание и развитие цементных производственных мощностей и на модернизацию технологического оборудования. Значительный объем капиталовложений позволяет улучшить снабжение внутреннего рынка и повысить качество экспортируемой продукции. Значительное количество намеченных инвестиционных проектов связано с созданием и внедрением в производство нового технологического оборудования, позволяющего получить более качественную продукцию (таблица 3.10.).
Таблица 3.10
Инвестиции в строительную деятельность.
|
Инвестиционно-строительная деятельность |
сумма, млрд. руб. |
|
|
2000 г. |
2001 г. |
|
|
Инвестиции в основной капитал - в процентах к предыдущему году Объем работ по договорам строительного подряда (в фактически действовавших ценах) - в процентах к предыдущему году (в сопоставимых ценах) Ввод жилых домов млн. м2 общей площади - в процентах к предыдущему году Индекс промышленного производства в промышленности стройматериалов к предыдущему году |
1165,2 117,1 530,3 111,5 30,3 94,7 109,7 |
1375,1 118,0 737,5 109,9 31,7 104,6 105,5 |
Суммарный объем видимого потребления цемента в 2001 г. составил 32,6 млн. т, увеличившись на 8,4% по сравнению с прошедшим годом. Расширение внутреннего рынка цемента полностью обеспечивалось за счет внутреннего производства, доля, контролируемая иностранцами ничтожно мала и в течении года не была подвержена заметным изменениям. Основным фактором развития увеличение объемов строительства как в промышленном и инфраструктурном, так и в химическом секторе.
Анализ спроса в разрезе применения различных видов и марок цемента по результатам 2000-2001 г.г. проводился путем изучения фактической структуры выпуска и реализации продукции двадцатью крупнейшими российскими производителями цемента. Учитывая, что суммарная доля этих предприятий в общероссийском выпуске цемента достигает 90% при отсутствии значительных экспортно-импортных операций, используемые данные позволяют адекватно и оценивать ситуацию, складывающуюся на российском рынке.
Основная доля в потреблении цемента в России приходится на портландцемент. По оценке, его удельный вес на рынке составляет не менее 92%, тогда как оптимальную часть занимает шлакопортландцемент и, в значительно меньших объемах, другие разновидности цемента.
В видовой структуре потребления портландцемента преобладают сорта, содержащие минеральные добавки. На их долю приходится почти половина портландцемента, используемого в России. Весьма значителен сегмент продукции, не содержащий минеральных компонентов. Его удельный вес превышает 38% суммарного объема потребления. Из специальных видов цементов наибольшим спросом пользуется сульфатостойкий цемент. Рынок других видов продукции пока еще остается крайне узким: так, например, цемент с пластифицирующей добавкой занимает лишь 0,1% общего объема применения, а быстродействующие сорта – около 0,5%.
Структура потребления по основным видам портландцементов в 2001 г. с минеральными добавками 47,0 %, без добавок 38,5%, прочие 8,3%, 6,2% - сульфатостойкий.
В марочном ассортименте потребления превалирует цемента марок 400 и 500. На их долю приходится соответственно 66,2% и 32,6% общего объема рынка. Следует отметить, что с этой точки зрения в структуре потребления цемента произошли качественные изменения, в бывшем СССР потребители в силу дефицита качественной продукции были вынуждены использовать цементы более низких марок. Так, в конце 80-х г.г. сегмент цемента марки 300 составил более 10%, тогда как в настоящее время он сузился до 0,4%. Явный прогресс достигнут и в потреблении цемента марки 500, удельный вес которой в общем объеме используемого цемента возрос за последние годы (таблица 3. 11).
Таблица 3.11
Структура потребления цемента по основным маркам в России и в бывшем СССР.
|
Годы |
М 300 |
М 400 |
М 500 |
М 550 |
М 600 |
|
2000-2001 гг. |
0,4 |
66,2 |
32,6 |
0,4 |
0,4 |
|
Середина 80-х гг. |
13,8 |
62,8 |
22,1 |
0,8 |
0,5 |
Основные потребители цемента - предприятия производящие сборные железобетонные конструкции и изделия, товарный бетон, строительный раствор, асбестоцементные изделия, а также домостроительные комбинаты, строительные организации, осуществляющие как жилищное, гражданское, так и промышленного строительства. Таких потребителей цемента на территории России более 150 тысяч, в том числе около 130 тысяч подрядных организаций, более 16 тысяч предприятий промышленности строительных материалов. Кроме того, имеется довольно перспективная группа потребителей цемента – население, использующего цемент для индивидуального, садового и гражданского строительства.
Эта группа уже в настоящее время уже занимает достаточно большой удельный вес в потреблении цемента и в ближайшем будущем останется одним из наиболее перспективных сегментов рынка.
Основными потребителями цемента являются предприятия по изготовлению железобетонных изделий и конструкций. Примерно одинаково оцениваются доли изготовителей асбестоцементных изделий и строительно-монтажных организаций.
Структура рынка цемента по основным группам потребителей в России представлена на рис. 3. 1:
производство ЖБИ – 53%;
проведение СМР – 21%;
производство АЦИ – 20%.

Рис. 3.1 Структура рынка цемента по основным группам потребителей в России.
Продажа цемента населению предъявляет дополнительные требования к производителям по доставке, упаковке и качеству продукции (в настоящее время доля цемента, расфасованного в специальную тару, составляет не более 10% общего объема потребления), однако довольно большой объем потребления и ожидаемая достаточно высокая динамика развития, делают его одним из перспективных направлений сбыта.
Летний период, как всегда, характеризуется повышенной активностью на цементном рынке. Именно летом спрос на цемент достигает своего пика, и каждый цементный завод старается работать с максимальной мощностью, борясь за новые рынки сбыта, чтобы обеспечить себе безбедное существование в период спада потребления цемента в зимнее месяцы (рисунок 3.2.5.).
С 1995 г. производство цемента ЗАО «Белгородский цемент» увеличивается с каждым годом на 15%, в 2002 г. составило 2800 тыс. тонн цемента.
4. Анализ внутренней среды предприятия
4.1. Анализ производственно-финансовой деятельности
Предприятие располагает работоспособным технологическим основным и вспомогательным оборудованием для производства 2,4 млн. тонн клинкера и 286 млн. тонн цемента в год.
В 2002 г. мощности ЗАО "Белгородский цемент" были использованы на 56% по клинкеру и на 59% по цементу, что объясняется общей неблагоприятной экономической обстановкой в России, снижением темпов строительства в стране и покупательной способностью населения, высоким уровнем цен на природный газ, электроэнергию, грузовые железнодорожные перевозки.
Таблица 4.1
Основные технико-экономические показатели работы предприятия
|
№ П/П |
ПОКАЗАТЕЛИ |
ЕД. ИЗМЕРЕНИЯ |
ВЕЛИЧИНА ПОКАЗАТЕЛЯ |
ОТКЛОНЕНИЯ + /- |
|
|
ОТЧЕТНЫЙ ГОД 2002 г. |
ПРЕДЫДУЩИЙ ГОД 2001 г. |
||||
|
1 |
Годовой выпуск продукции в натуральном в стоимостном выражении |
тонн |
2034549 |
17691732 |
265375 |
|
2 |
Объем реализованной продукции |
тыс. руб. |
840706 |
632120 |
208586 |
|
3 |
Численность работающих всего, в том числе рабочих |
чел. |
1220 862 |
1167 848 |
53 14 |
|
4 |
Основные производственные фонды |
тыс. руб. |
242401 |
224169 |
18232 |
|
5 |
Фондоотдача |
руб./ руб. |
3,47 |
2,81 |
0,65 |
|
6 |
Оборотные средства |
тыс. руб. |
202678 |
177972 |
24706 |
|
7 |
С/ст. товарной продукции |
тыс. руб. |
689608 |
523148 |
166460 |
|
8 |
Затраты на один рубль товарной продукции |
pуб./ pуб |
0,82 |
0,827 |
-0,007 |
|
9 |
Прибыль валовая |
141855 |
100087 |
41768 |
|
|
10 |
Рентабельность производства |
25,4 |
19,1 |
6,33 |
Для определения эффективности использования имущества предприятия в финансовом анализе используют следующие показатели: коэффициент мобильности, коэффициент оборачиваемости оборотных средств, однодневный оборот, продолжительность оборота, частные слагаемые показатели коэффициента оборачиваемости оборотных средств предприятия.
Таблица 4.2
Финансовые показатели за 1999-2002 г.
|
Показатели |
1999 г. |
2001 г. |
2002г. |
|
К моб., раз/год |
0,13 |
0,3 |
0,43 |
|
К об., раз/год |
- |
4,91 |
3,93 |
|
О од., тыс. руб./ дней |
- |
694,26 |
749,01 |
|
П об., дней |
- |
73,95 |
91,55 |
Судя по результатам коэффициент мобильности на исследуемом предприятии далек от норматива, что говорит о его некоторой рыночной неустойчивости. Положительным фактором является то, что наблюдается рост коэффициента (в 2,3 раза), очевидно, это вызвано изменением доли оборотных средств с 13,32% в 2000 г. до 30,62% в 2001 г., соответственно.
Из таблицы 4.2. видим, что за год коэффициент оборачиваемости уменьшился, что является отрицательным моментом в деятельности предприятия.
Однодневный оборот увеличился в 2002 г. на 7,8 % по сравнению с 2001 г.
Из-за уменьшения коэффициента оборачиваемости оборотных средств произошло увеличение продолжительности оборота.
Для более тщательного анализа оборачиваемости оборотных средств необходимо рассмотреть частные показатели. Их расчет представлен в таблице 4.3.
Таблица 4.3.
Показатели оборачиваемости составляющих оборотных активов
|
КОЭФФИЦИЕНТЫ ОБОРАЧИВАЕМОСТИ ОБОРОТНЫХ АКТИВОВ |
2001г. |
2002г. |
||
|
К об. |
П об. |
К об. |
П об. |
|
|
Оборотные активы |
4,91 |
73,35 |
3,93 |
91,55 |
|
Запасы |
7,85 |
45,84 |
8,24 |
43,71 |
|
Дебиторская задолженность |
15,67 |
22,97 |
8,78 |
40,99 |
|
Денежные средства |
1824,34 |
0,20 |
688,74 |
0,52 |
Из таблицы видно, что со снижением общего К об. увеличилась оборачиваемость по производственным запасам. Это связано с увеличением объемов производства в 2002 г. на 35,733 тыс. тонн. Рост оборачиваемости производственных запасов связан с их пропорциональным ростом объема производства. Также снизилась оборачиваемость дебиторской задолженности, что вызвано отсутствием достаточного количества денежных средств у потребителей.
Таблица 4.4.
Финансовые показатели активов.
|
№ |
ПОКАЗАТЕЛИ |
2001 год |
2002 год |
|
1 |
Коэффициент текущей ликвидности |
1,57 |
1,39 |
|
2 |
Коэффициент обеспеченности собственными оборотными средствами |
0,36 |
0,28 |
|
3 |
Рентабельность активов |
22,9% |
12,65% |
|
4 |
Доля собственных средств в активе баланса |
75% |
68% |
|
5 |
Оборачиваемость дебиторской задолженности, дней |
30 |
18,9 |
|
6 |
Чистые активы |
234864 |
258142 |
Значение коэффициента текущей ликвидности свидетельствует о том, что у организации достаточно оборотных средств, для того чтобы погасить свои краткосрочные обязательства.
Значение коэффициента обеспеченности собственными оборотными средствами свидетельствует об устойчивом финансовом состоянии предприятия.
За 2002 г. произошло ускорение оборачиваемости дебиторской задолженности (на 11 дней), что позволило освободить из хозяйственного оборота часть оборотных активов - 19 490.
Балансовая стоимость имущества организации (валюта баланса) на 01.01.2002 396826.
Таблица 4.5
Основные показатели финансового положения ЗАО «Белгородский цемент»
|
Наименование показателей |
Ед. измерения |
2001г. |
2002г. |
|
Оценка имущественного положения Сумма хозяйственных средств, находящихся в распоряжении компании Доля ОС в активах Коэффициент износа ОС Коэффициент обновления Коэффициент выбытия |
руб. % % % % |
387160309 71,8 0,59 0,5 0,04 |
389193560 76,2 0,58 4,4 1,43 |
|
Оценка ликвидности Величина собственных оборотных средств Коэффициент платежеспособности Доля оборотных средств в активах Коэффициент покрытия запасов |
Руб. % |
-2891045 0,18 13,5 0,33 |
-4846442 0,32 12,6 1,01 |
|
Оценка финансовой устойчивости Коэффициент концентрации собственного капитала Коэффициент финансовой зависимости Коэффициент соотношения заемных и собственных средств |
0,85 1,18 0,18 |
0,86 1,17 0,16 |
|
|
Оценка деловой активности Выручка от реализации Фондоотдача Оборачиваемость собственного капитала Оборачиваемость совокупного капитала |
Руб. |
223777086 0,81 0,68 0,58 |
253409921 0,86 0,76 0,65 |
|
5. Оценка рентабельности Чистая прибыль Рентабельность продукции Рентабельность совокупного капитала Рентабельность собственного капитала |
Руб. % % % |
13880692 10,9 3,6 4,2 |
24279222 13,9 6,2 7,3 |
За указанные в таблице 4.5 годы стоимость имущества и источников его приобретения увеличилась на 1744695 рублей. Увеличение имущества предприятия в абсолютных суммах шло за счет собственных средств и свидетельствует о сохранении имущественного потенциала предприятия.
Возросла на 4,4 пункта доля основных средств в активах. Коэффициент износа основных, средств уменьшился на 1%, увеличил свое значение коэффициент обновления на 3,9 пункта.
Рассмотрев показатели финансовой устойчивости можно сделать вывод, что предприятие остается финансово независимым.
За приведенный период повысилась эффективность текущей основной производственной деятельности. Увеличилась на 13,2% выручка от реализации продукции, на 74,9% - чистая прибыль, увеличились показатели, характеризующие эффективность использования материальных трудовых ресурсов: производительность труда, фондоотдача.
Экономический анализ основных показателей финансово-хозяйственной деятельности ЗАО «Белгородский цемент» представлен в следующей таблице.
Таблица 4.6
Экономический анализ основных показателей финансово-хозяйственной деятельности ЗАО «Белгородский цемент» за 1998 2001 г.
|
Показатели |
1998 |
1999 |
2000 |
2001 |
|
Себестоимость реализации продукции, тыс. руб. |
233330 |
342033 |
457783 |
568600 |
|
Коммерческие расходы, тыс. руб. |
7128 |
8773 |
9121 |
10247 |
|
Прочие расходы, тыс. руб. |
8 |
873 |
566 |
887 |
|
Налог на прибыль, тыс. руб. |
9612 |
22886 |
25688 |
31458 |
|
Прибыль от реализации товаров |
29184 |
75207 |
82865 |
101483 |
Как видно из таблиц 4.1- 4.1ЗАО «Белгородский цемент» имеет возрастающие показатели прибыли, что свидетельствует о стабилизации и эффективности развития предприятия. Финансовый анализ деятельности предприятия позволяет оценить работу предприятия с учетом сложившихся экономических условий в стране, как удовлетворительную.
Однако, по данным таблицам, можно сказать, что более эффективной деятельности предприятие способствуют мероприятия, направленные на снижение себестоимости продукции.
4.2. Анализ кадрового состава
В таблице показана доступные данные структуры и динамики кадров ЗАО "Белгородский цемент".
Таблица 4.7
Анализ численности категорий кадров.
КАТЕГОРИИ ПЕРСОНАЛА |
1999 год |
2000 год |
Отклонение |
|||
|
Человек |
% |
Человек |
% |
Человек |
% |
|
|
Промышленно-производственный персонал в т.ч. |
1221 |
88,29 |
1060 |
90,83 |
-161 |
2,54 |
|
рабочие |
987 |
71,37 |
848 |
72,66 |
-139 |
1,29 |
|
служащие |
234 |
16,92 |
212 |
18,17 |
-22 |
1,25 |
|
Непромышленный персонал в т.ч. |
162 |
11,71 |
107 |
9,17 |
-55 |
-2,54 |
|
торговли |
115 |
8,32 |
77 |
6,60 |
-38 |
-1,72 |
|
общественное питание |
14 |
1,01 |
14 |
1,20 |
0 |
0,19 |
|
оздоровительных учреждений |
11 |
0,80 |
6 |
0,51 |
-5 |
-0,29 |
|
культурно-просветительских учреждений |
8 |
0,58 |
3 |
0,26 |
-5 |
-0,32 |
|
прочих организаций |
14 |
1,01 |
7 |
0,60 |
-7 |
-0,41 |
|
Всего персонала |
1383 |
100,0 |
1167 |
100,0 |
-216 |
0 |
Из таблицы видно, что в общей структуре кадров доля промышленного персонала в 1999 г. возросла, а непромышленного, соответственно, снизилась. Уменьшилась численность торгового персонала, оздоровительных учреждений, культурно-просветительских учреждений, прочих организаций. Связано с недостатком средств для их финансирования.
Показатели движения рабочей силы.
Важнейшими показателями, характеризующими трудовые ресурсы, являются показатели движения рабочей силы:
Таблица 4.8
|
Показатели |
1999 г. |
2000 г. |
1999/2000 |
|
К приема |
0,038 |
0,021 |
1,8 |
|
К выбытия |
0,238 |
0,168 |
1,4 |
|
К оборота |
0,275 |
0,189 |
1,4 |
|
Ктекучести кадров |
0,219 |
0,159 |
0,8 |
Из таблицы 4.8 видно, что прием кадров на предприятии сократился в 1,8 раза. В динамике коэффициент выбытия сократился в 1,4 раза, что положительно, а отрицательно - то, что коэффициент выбытия намного больше коэффициента приема. Текучесть кадров на предприятии в 2000 г. снизилась, что положительно.
4.3. Анализ сбытовой деятельности
Россия является нетто-экспортером цемента. Подавляющую часть объемов экспорта (93%) обеспечивают 10 российских предприятий. К трем ведущим предприятиям-экспортерам, обеспечивающих более 70% общероссийских поставок, относится и ЗАО «Белгородский цемент» (таблица 4.9).
Таблица 4.9
Крупнейшие российские предприятия-экспортеры цемента в 2000-2001 г.г.
|
Страна- производитель |
Объем экспорта, тыс. т |
Доля, % |
Динамика 2000/2001 % |
||
|
2000г. |
2001г. |
2000г. |
2001г. |
||
|
ОАО«Спасскцемент», г. Спасск, Приморский край |
764,3 |
767,9 |
33,4 |
30,7 |
100,5 |
|
ЗАО «Белгородский цемент», г. Белгород |
244,3 |
570,8 |
10,7 |
22,8 |
233,6 |
|
ОАО«Новоросцемент», г. Новороссийск |
540,5 |
477,5 |
23,6 |
19,1 |
88,3 |
|
ОАО «Новотроицкий цементный завод», Оренбургская область |
74,5 |
98,1 |
3,3 |
3,9 |
131,7 |
|
«Сланцевский цементный завод «Цесла», Ленинградская область |
120,4 |
97,0 |
5,3 |
3,9 |
80,6 |
|
ООО «Югтранзитсервис- Огнеупор», г. Таганрог |
- |
77,0 |
- |
3,1 |
- |
|
ОАО «Вольскцемент», Саратовская область |
102,8 |
68,3 |
4,5 |
2,7 |
66,4 |
|
ОАО «Осколцемент», Белгородская область |
30,8 |
64,4 |
1,3 |
2,6 |
209,1 |
|
ОАО «Пикалевский глинозем», Ленинградская область |
23,6 |
55,0 |
1,0 |
2,2 |
233,1 |
|
ООО «Штерн-Эксорт», г. Москва |
- |
50,1 |
- |
2,0 |
- |
|
Прочие |
389,9 |
176,2 |
17,0 |
7,0 |
45,2 |
|
Итого |
2291,0 |
2502,3 |
100,0 |
100,0 |
109,2 |
Наиболее крупными потребителями цемента ЗАО «Белгородский цемент» являются белгородские предприятия, производящие строительные материалы на его основе. На ОАО «БелАЦИ» каждый год поставляются более 16% цемента. Также сбыт цемента осуществляется в Московский регион, Смоленскую, Курскую и др. области (таблица 4.10).
Таблица 4.10
Наиболее крупные потребители цемента ЗАО «Белгородский цемент»
|
предприятия |
потребление |
доля, % |
|
ОАО «БелАЦИ», г. Белгород, ул. Мичурина |
300000 |
16,5 |
|
ОАО «Белгородский завод ЖБК-1», ул. Коммунальная 5 |
20000 |
1,1 |
|
ОАО «Белгородстройдеталь», ул. Мичурина |
15000 |
0,8 |
|
Мостотряд – 18, г. Москва ул. Земляной вал |
10000 |
0,55 |
|
Мостотряд – 90, Московская область, г. Дмитров |
8000 |
0,45 |
|
Дмитровский ЖБК, Московская область, г. Дмитров |
9000 |
0,5 |
|
ЗАО «Смоленский завод ЖБИ-2», г. Смоленск |
19000 |
1,04 |
|
ОАО «Курский завод КПД», г. Курск |
8000 |
0,45 |
|
Магазин ЗАО «Белгородский цемент» |
36000 |
2 |
|
Прочие |
1399 800 |
76,6 |
|
Итого |
1824 800 |
100 |
Выгодное географическое расположение предприятия (42 км от российско-украинской границы) позволяют успешно проводить экспортно-импортные операции. Кратчайший путь к портам Азовского и Черного морей, в Европу транзитом через Украину дает возможность экспортировать свою продукцию с наименьшими затратами по доставке партнерам. Налаженные производственные связи с экспедиторскими фирмами и портами дают нам возможность доставлять продукцию по требованию партнеров по всему миру. Специалисты отдела маркетинга и внешнеэкономических связей и отдела сбыта оформляют все необходимые документы, связанные с отгрузкой и доставкой продукции по назначению. Экспорт цемента в последние годы постоянно расширяется, и в 2002 году он достиг 33% от общего объема продаж.
Цементы прошли очень жесткие испытания и сертифицированы по стандарту EN-197 в испытательной лаборатории Организации контроля качества Союза немецких цементных заводов в Дюссельдорфе. Кроме того, сертификация цементов произведена в Канаде, США, Англии, Венгрии, Украине, Словакии, Эстонии, Израиле, Польше, Испании, Португалии, Финляндии.
Испытательное подразделение в составе ОТК и лаборатории оснащено современным оборудованием английской фирмы «ELE International» (Великобритания) проведения физико-механических испытаний цементов в соответствии с требованиями EN-196, что обеспечивает обязательный контроль качества каждой партии цемента. По уровню оснащенности оборудованием, качеству подготовки специалистов оно считается одним из лучших в СНГ и Европе.
Значительную долю сбыта продукции занимает экспорт цемента в Австрию, Болгарию, Венгрию, Германию, Египет, Индию, Китай, Финляндию, Югославию и другие страны. Продажа цемента частным лицам производится посредством ДО "Родничок" и ДО "Рекорд-Центр", непосредственно на площадке завода, через торговые сети г. Белгорода и области. Еще одним каналом сбыта является магазин «Белгородский цемент». Если потребителем является предприятие, то доставка цемента производится навалом в закрытых железнодорожных вагонах.
На ЗАО "Белгородский цемент" основными формами стимулирования сбыта являются средства массовой информации (газеты, местное телевидение), наглядная агитация (рекламные щиты) и участие в международных выставках.
В 2002 г. средняя себестоимость одной тонны ПЦ составила 452,88 руб.
При установлении цены предприятие использует метод ценообразования "Средние издержки плюс прибыль". Она стремится назначить такую цену на цемент, чтобы она полностью покрывала все издержки по его производству, распределению и сбыту, включая справедливую норму прибыли за приложенные усилия и риск. Цена одной тонны ПЦ включает стоимость доставки продукции до потребителя, включает НДС 1540 руб.
Хотя максимальная цена может определяться спросом, а минимальная - издержками, на установление фирмой среднего диапазона цен влияют цены конкурентов и их рыночные реакции.
4.4. Маркетинг
В ЗАО «Белгородский цемент» имеется отдел маркетинга, который занимается: изучением рынка, его проблемами и перспективами; проводит мероприятия по стимулированию сбыта (всевозможные рекламы, выставки). Отдел разрабатывает следующие стратегии: цены — устанавливает цену, в зависимости от положения на рынке; предпочтения — предполагает применение в качестве конкурентоспособных факторов качество товара и работ (упаковка, сервисное обслуживание, соблюдение договорных обязательств и надежность поставок товаров). Маркетологи следят за тем, чтобы товар соответствовал Российским и Европейским стандартам, являлся конкурентоспособным и отвечал запросам потребителей. Изучая спрос и предложения на рынке цемента, специалисты маркетингового отдела проводят исследование в целях изучения емкости и характера рынка, уровня цен и ценовой эластичности спроса и предложения, степени и условий рыночной конкуренции и принимает соответствующие решения.
Численность персонала отдела маркетинга за последние несколько лет увеличилось более чем в 3 раза. Персонал отдела маркетинга часто отправляется на курсы повышения квалификации, проводятся другие мероприятия, повышению уровня его работы.
На предприятии применяется товарно-функциональная структура управления, которая дает возможность концентрировать внимание на управлении процессом реализации товара. Характер информационных потоков в деятельности предприятия представлен в приложении 1.
Достоинства данного типа оргструктуры управления маркетингом:
способность быстро реагировать на требования рынка;
в поле зрения находятся все модели товара, как пользующиеся повышенным спросом, так и менее популярные у покупателей;
возможность координировать различные маркетинговые затраты по данному товару;
Недостатки данного типа оргструктуры управления маркетингом:
большие затраты;
у сотрудников товарных подразделений существуют линии подчинения своим непосредственным руководителям и руководителям функциональных маркетинговых служб.
Однако, отдел маркетинга на предприятии не занимается разработкой ассортиментной и товарной политики. Для этого на ЗАО «Белгородский цемент» имеется отдел сбыта. В отделе сбыта есть управляющий сбытом, который занимается функционированием спроса на товар и разрабатывает комплекс мероприятий по стимулированию сбыта. В этом отделе также имеется и управляющий ассортиментом, который занимается изучение факторов влияющих на формирование ассортимента предприятия и реализует ассортиментную политику, проводимую предприятием.
Отдел маркетинга не занимается рекламной деятельностью, для этого имеется специальная должность рекламный агент, который занимается исследование рынка, планирует маркетинговую деятельность на следующий период. На предприятии основными формами стимулирования сбыта являются средства массовой информации (газеты, местное телевидение), наглядная агитация (рекламные щиты) и участие в международных выставках
ЗАО «Белгородский цемент» входит в компьютерную сеть «Блик компьюникейшенз.
Отдел маркетинга старается давать рекламу и в периодические издания, выходящие на территории Черноземья. Завод участвует в выставках строительных материалов, проходящих как на территории России, так и за рубежом (Украина, Болгария, Югославия и др.). Реклама осуществляется через средства массовой информации (радио, телевидение), а также в виде рекламных счетов.
Планирование, разработка и анализ опыта проведения маркетинговых программ.
Обострение конкурентной борьбы на рынке цементной промышленности объективно повышает востребованность маркетинга как основного инструмента исследования рынка. Операторы данного рынка в целом осознали полезность маркетинга как практического инструмента для успешного бизнеса.
При этом для крупных вертикально-интегрированных компаний ввиду масштабов их деятельности наиболее актуальны комплексные маркетинговые программы межрегионального характера, охватывающих цепь: добыча сырья - переработка сырья – производство цемента – хранение и сбыт цемента.
Настоящий маркетинговый анализ проводится с позиции наличия, как комплекса, так и локальных маркетинговых работ или маркетинговых услуг.
При проведении маркетинговых исследований рынка цемента сообщается информация:
об объемах потребления цемента (ретроспектива);
об основных группах потребителей;
о схемах снабжения цементом в сегментах рынках;
об объемах производства цемента в различных регионах.
Планирование.
В ближайшие годы планируется значительное увеличение объемов производства цементной продукции, что позволяет улучшить внутреннее снабжение и избежать кризиса. Функционирование комплекса в ближайшие 10 лет будет происходить в условиях возможных спросовых ограничений, определяемых уровнем развития экономики и ее структурой, внутренним и мировым рынков, скоростью и масштабов процесса строительства.
В перспективе в зависимости от общехозяйственной обстановки возможны два совершенно различных варианта развития комплекса производства цемента.
Первый вариант заключается в реставрировании в экономике негативных тенденций, действующих в 1998-2003 г.г. (высокие налоги, неплатежи, неблагоприятный инвестиционный климат) в связи с низкими ценами на цемент. По этому варианту масштабы развития отрасли будут определять не столько спрос на цементную продукцию, сколько факторы, ограничивающие ее развитие и ведущие к сворачиванию производства. В результате производство цемента может упасть.
При таком падении добычи сырья и производства внутренняя потребность в цементе будет обеспечена лишь на 60-80%. В случае же полного обеспечения внутреннего спроса за счет резкого сокращения экспорта будет потеряно около 20% валютных поступлений в Россию от цементной промышленности.
Второй вариант предполагает развитие общеэкономической ситуации, обеспечивающей высокие темпы роста валового внутреннего продукта и промышленного производства в России. В соответствии с этим вариантом добыча сырья и производства должна возрасти к 2014 г.
Учитывая значительный объем инвестиций в развитие промышленности в 2003 г., а также сохраняющуюся очень благоприятную экономическую ситуацию на рынке, реальный рост производства цемента может быть более высоким, чем в прогнозах.
Разработка маркетинговых программ.
Исходные предпосылки.
Упрочнение позиции ЗАО «Цементный завод» происходит на динамично развивающемся российском цементном рынке, и это диктует необходимость изменения подходов к разработке собственных планов деятельности, одним из инструментов которых должна стать рыночно ориентированная программа, базирующаяся на маркетинговых исследованиях рынка цемента.
Отсутствие маркетинговых оценок рыночных перспектив компании при разработке планов деятельности затрудняет формирование обоснованных производственных и финансовых программ, приводит к недополучению прибыли от текущей деятельности, снижает инвестиционную привлекательность компании.
Перед рыночно - ориентированной программой ЗАО ставились следующие цели:
определить перспективы и увеличить долю на рынке цементов;
выявить новые перспективные региональные рынки и свободные ниши для реализации цемента;
разработать конкурентоспособные схемы и установить условия работы с конечными потребителями;
максимизировать в краткосрочный и долгосрочный перспективах прибыль компании.
В ходе финансирования маркетинговых программ изучались материальные и финансовые потоки по всей цепи участников рынка цементов. Как уже было отмечено выше, конечный потребитель предприятия ЗАО «Белгородский цемент» — организации осуществляющие строительство. Конечные потребители представлены двумя сегментами:
корпоративные клиенты;
физические лица.
Рыночно ориентированная программа должна обеспечивать решение следующих задач:
оптимизация объемов условий поставок цемента на внутренний и внешний рынок присутствия компании для максимизации текущей прибыли;
локализация и определение параметров платежеспособного спроса на цемент в перспективных для предприятия регионов в сегментах корпоративных и частных потребителей;
определение оптимальных с позиции насыщения спроса мест расположения рознично сбытовой сети цемента, а также оптимизация сервисной структуры.
определение финансовой программы на основании установленных рыночных и производственных задач и показателей;
расчет инвестиционной программы компании;
определение эффективных методов стимулирования сбыта;
оптимизация объемов и условий поставок цемента в регионы присутствия компании для максимизации текущей прибыли;
локализация и определение параметров платежеспособного спроса на цемент в перспективах для компании в региональных сегментах корпоративных и частных потребителей;
определение оптимальных с позиции насыщения спроса мест расположения рознично сбытовой сети цемента, а также оптимизация ее сервисной инфраструктуры.
2) Технология построения маркетинговой программы.
Проект по исследованию рынка цементов на основе региональных программ осуществляется в три этапа:
На первом этапе на основе анализа вторичной информации производится отбор изучаемых потребительских сегментов, представляющих потенциальный интерес для компании.
На втором этапе проводится полевые исследования, экустрополяционные, аналитические и расчеты, построения финансовой модели функционирования предприятия ЗАО «Белгородский цемент».
На третьем этапе разрабатывается рыночно ориентированная программа деятельности ЗАО «Белгородский цемент».
Выбор организаций для включения их в программу предусматривал изучения их потенциала потребления цементов, оценку конкурентной среды, анализ регионального законодательства, уточнения позиции администрации регионов.
Изучение потенциала цемента включало:
оценку и прогноз развития экономики области, в том числе в резерве остальных отраслей, отдельных предприятий, организаций – крупных потребителей цемента.
прогноз объемов потребления цемента в области и регионе на изучаемую перспективу.
Для уточнения перспектив экономического роста области анализировалась инвестиционная активность субъектов рынка.
При составлении аналитических и прогнозных оценок использовались следующие материалы:
программа социально-экономического развития субъектов РФ;
среднесрочная программа реструктуризации экономики РФ;
прогноз социально-экономического развития РФ на период до 2010 г. (региональный раздел);
данные Госкомстата РФ и региональных или областных органов статистики;
основные концептуальные положения развития цементного комплекса в России.
Прогнозная оценка потребления цемента в каждом субъекте РФ проводилась методом прямых расчетов:
данные о потреблении цемента в каждом субъекте РФ за определенный период по организациям потребителям, уточнялись с использованием данных по отдельным организациям;
полученные на этой основе базовые параметры умножались на прогнозные темпы развития отрасли по наиболее вероятному варианту;
вводились поправочные коэффициенты, характеризующие зависимость роста потребления цемента от роста строительства или от увеличения числа объектов-потребителей.
Оценка конкурентной среды осуществлялась по трем группам конкурентов:
ОАО «Осколцемент» Россия, Белгородская область, г. Старый Оскол;
ОАО «Мальцовцемент» Россия, Брянская область, Дятьковский район, г. Фокино;
ОАО «Себряковцемент» Россия, Волгоградская область, г. Михайловка.
Конкуренты оценивались по следующим параметрам:
занимаемая доля рынка;
объемы поставок ассортимента и цены на цемент;
схемы поставок периодичность поставок и другие условия.
Анализ регионального законодательства с целью выявления его особенностей в следующих сферах:
экологические ограничения;
налоговый климат;
специфика регулирования деятельности объектов производства цемента.
Выбор областей осуществляется на основе комплексного анализа, учитывающего текущие объемы и благоприятную перспективную динамику потребления цемента и производства и наличие конкурентных преимуществ компании на областном рынке, возможности адаптации к действующему законодательству и сложившиеся взаимоотношения с администрацией.
Регионы, в которых проводились полевые исследования, можно разделить на 2 группы:
регионы, в которых компания традиционно осуществляла реализацию цемента;
новые регионы, перспективные для развития в них деятельности компаний по реализации цемента.
В рамках маркетингового исследования рассматривались две основные группы потребителей: оптовые и розничные, а также операторы цементного рынка (ООО «Родничок ДО ЗАО «БЦ», ООО «Рекорд-Центр» ДО ЗАО «БЦ»).
Выбор целевых сегментов потребителей – юридических лиц, осуществляется исходя из объемов потребления цемента ими в сегменте региона. При формировании выборки по предприятиям и организациям по данным разных информирующих источников (Госкомстата РФ, справочная литература, данные предыдущего маркетинговых исследований) составлялся список из более 100 организаций потребителей цемента.
В ходе опроса корпоративных потребителей цемента устанавливались следующие параметры потребительского спроса:
Количественные;
объемы потребления;
требуемая периодичность поставок;
сезонность поставок;
зависимость спроса от цены.
Качественные;
требование по качеству поставляемого цемента;
Определение мотивации выбора каналов поставок цемента;
установление процедуры принятия решения о поставках;
описание существующих систем взаимодействия между организациями – потребителями и поставщиками цемента.
Анализ информации позволяет получить:
характеристики объемов потребления (продаж) цементов;
характеристики текущих и оптимальных условий сбыта с оптовыми и розничными поставщиками цемента;
оптимальные коммуникационные каналы.
4.5. Системы и организация управления
На ЗАО "Белгородский цемент" используется линейно-функциональная структура управления. Она представляет собой принцип построения управленческого процесса по функциональным подсистемам организации (маркетинг, производство, исследования и разработки, финансы, персонал и пр.). По каждой из них формируется иерархия служб, пронизывающая всю организацию сверху донизу. Линейные полномочия - это полномочия, которые передаются непосредственно от начальника к подчиненному и далее к другим подчиненным.
Главным органом управления ЗАО «Белгородский цемент» является общее собрание акционеров. В промежутках между общими собраниями управление осуществляет совет директоров состоящий из Председателя Совета Директоров, Генерального директора и четырех директоров.
Схема управления ЗАО «Белгородский цемент»
О
бщее
собрание акционеров Совет директоров
Дирекция
1.0 Дирекция
ОТК и лаборатория
задачи: осуществляет контроль за качеством выпускаемой продукцией, соответствие ее государственным стандартам и ее техническим условиям
ОКТ и З 1.0.3 юридический отдел
1.0.4 начальник штаба ГО 1.0.5 секретарь
1.0.6 машбюро 1.0.7 спорткомплекс
1.0.7служба безопасности 1.0.8 социально-бытовой отдел
1.0.9 участок подготовки производства и ТНП
директор коммерческий
отдел материально-технического снабжения
отдел маркетинга и внешнеэкономических связей
задача: разработка перспективных т текущих планов и контроль за их выполнением в целях повешения эффективности производства, улучшение сбыта товара
одел сбыта
задачи: обеспечение выполнения плана реализации продукции в заданном ассортименте
цех тарирования и отгрузки
в цехе для хранения готовой продукции имеется 22 силоса. Продукция потребителем отправляется в специализированных железных вагонах и цементовозах
автогараж
директор технический
диспетчерская служба
главный технолог
обязанности: организовывает технологические процессы производства, утверждает технологические карты, осуществляет систематический контроль за соблюдением нормативов. Руководит эксплуатацией всего оборудования, внедрения новой техники и новых видов продукции, механизации трудоемких работ и автоматизацией производственных процессов.
горно-подготовительное производство
отдел АСУ
отдел главного энергетика
производственно-технический отдел
задачи: разрабатывает организационно-технические мероприятия, обеспечивающие выполнение плана производства по всем показателям
отдел охраны труда и ТБ
цех обжига
цех помола
1.2.10 ремонтно-электрический цех 1.2.11 цех КИПА и С
1.2.12 пароводогазокомпрессовый цех
директор по ремонтам
отдел ремонтного производства
участок ГПМ и дорожно-строительной техники
ремонтно-механический цех
участок по ремонту техники и обеспыливания
участок ремонтно-строительных и футеровочных работ
директор по экономике и финансам
финансово-экономический отдел
задачи: выполнение финансового плана, обеспечение сохранности и правильное использование оборотных средств и специальных фондов, выполнение обязательств по платежам в государственный бюджет и др.
директор по строительству
ОКС
отдел кадров
задачи: осуществляет мероприятия по подбору изучению и расстановки инженерно-технических работников, служащих и рабочих предприятия. Осуществляет начисление заработной платы.
дочерние предприятия
ООО «Родничок» ДО ЗАО «БЦ»
ООО «Рекорд-Центр» ДО ЗАО «БЦ»
В настоящее время на предприятии работает 1480 человек, из них:
в заводоуправлении – 80 человек;
в производственной сфере – 1000 человек;
в непроизводственной сфере – 400 человек.
Предприятие располагает высококвалифицированными кадрами. Более 150 цементников награждены правительственными наградами СССР и России.
4.6. Анализ конкурентоспособности товара
Для цементной отрасли характерна конкурентная борьба за рынки сбыта между собственно российскими производителями и объединяющими часть из них холдинговыми структурами. Конкуренция между продукцией российских цементных заводов определяется их различной технической оснащенностью, поскольку от нее зависит как качество цемента, так и цены на него.
Производство цемента отличается довольно высокой для промышленности строительных материалов конкуренцией производства (таблица 4. 11). Так, 10 ведущих предприятий обеспечивают более половины выпуска цемента по стране, причем в 2002 г. доля компаний-лидеров существенно возросла.
Таблица 4.11
Доля производства цементных предприятий
|
№ |
Наименование |
год |
|
|
2001 г. |
2002 г |
||
|
1 |
ОАО«Мальцовский цемент» |
9,3 |
9,8 |
|
2 |
ОАО «Себряковцемент» |
5,5 |
6,1 |
|
3 |
ПО «Мордовцемент» |
5,0 |
5,9 |
|
4 |
ОАО «Новоросцемент» |
4,8 |
5,5 |
|
5 |
ЗАО «Белгородский цемент» |
5,3 |
5,2 |
|
6 |
ОАО «Сухоложсцемент» |
5,4 |
5,2 |
|
7 |
ОАО «Осколцемент» |
5,3 |
4,7 |
|
8 |
ОАО «Липецкцемент» |
5,4 |
4,6 |
|
9 |
ОАО «Топкинский цемент» |
2,9 |
4,4 |
|
10 |
ОАО «Михайловцемент» |
3,7 |
4,1 |
|
11 |
Прочие |
49,5 |
44,5 |
|
Всего по России |
100,0 |
100,0 |
Доминирующее положение занимает крупнейшее предприятие холдинговой группы «Штерн-цемент», АО «Мальцовский портландцемент». В 2002 году им контролировалось 9,8% общероссийского выпуска цемента, что более чем в 1,5 раза выше, чем доля его ближайшего конкурента АО «Серебряков цемент» (6,1%). ЗАО «Белгородский цемент» в этом списке занимает пятое место с долей рынка в 2002 г. 5,2%.
Таблица 4.12
Данные о производстве цемента в России по основным предприятиям
|
№ |
Наименование |
Производство, тыс. т |
|
|
2001 г. |
2002 г |
||
|
1 |
ОАО«Мальцовский цемент» |
3015,2 |
3423,4 |
|
2 |
ОАО «Себряковцемент» |
1784,0 |
2122,0 |
|
3 |
ПО «Мордовцемент» |
1630,1 |
2058,0 |
|
4 |
ОАО «Новоросцемент» |
1561,0 |
1935,7 |
|
5 |
ЗАО «Белгородский цемент» |
1711,6 |
1824,8 |
|
6 |
ОАО «Сухоложсцемент» |
1758,0 |
1814,0 |
|
7 |
ОАО «Осколцемент» |
1721,2 |
1633,3 |
|
8 |
ОАО «Липецкцемент» |
1076,0 |
1600,0 |
|
9 |
ОАО «Топкинский цемент» |
948,0 |
1530,0 |
|
10 |
ОАО «Михайловцемент» |
1183,0 |
1451,0 |
|
11 |
Прочие |
15955,0 |
15681,7 |
|
12 |
Всего по России |
32343,1 |
35073,9 |
В 2002 г. именно ведущие предприятия отрасли задавали тон в темпах развития производства. Основная часть компаний, входящих в десятку «лидеров» увеличила выпуск намного активнее в сравнении с более мелкими предприятиями. Наилучших результатов добились «Мордовцемент» (рост на 26,2%), тогда как АО «Мальцовцемент» в 2002 г. увеличило выпуск на 13%, по сравнению с предыдущим годом. Прирост в производстве ЗАО «Белгород цемент»незначителен, составил 6,6%.
Основными конкурентами ЗАО "Белгородский цемент" являются:
Таблица 4.13
Анализ конкуренции
|
КОНКУРЕНТЫ |
СИЛЬНЫЕ СТОРОНЫ |
СЛАБЫЕ СТОРОНЫ |
|
ОАО «Осколцемент» Белгородская область, г. Старый Оскол; |
Более высокая производственная мощность Нет затрат на добычу сырья, т.к. предприятие работает на вскрыши Стойленского ГОКа Менее энергоемкое оборудование |
Неравномерный химический состав используемого сырья Отсутствие клинкерных складов замедляет процесс производства цемента Цех тарирования не отвечает требованиям Низкая скорость погрузки ж\д вагонов |
|
ОАО «Мальцовцемент» Брянская область, Дятьковский район, г. Фокино; |
Географически ближе к строительному комплексу Москвы Ниже цена Более мощная производственная мощность |
В 1986 г. попал в зону Чернобыля Активность клинкера не позволяет выпускать цемент более высокой марки, чем ПЦ 500. Проблемы с экспортом, т.к. цемент не соответствует европейскому стандарту (EN- 196) |
|
ОАО «Себряковцемент» Волгоградская область, г. Михайловка. |
Большая печь полусухого способа производства, а значит меньше затрат на энергию Природная влажность сырья меньше Более высокая производственная мощность |
Удален от крупных городов, и, следовательно, и от основных рынков сбыта Полусухой способ дает большие затраты на ремонт и эксплуатацию оборудования |
Одним из основных конкурентов на рынке Европейской части России и основным конкурентом на рынке г. Белгорода и области является предприятие «Осколцемент». Составим кривые сильных и слабых сторон предприятий.
Таблица 4.14
Показатели анализа конкуренции
|
Показатель |
Оценка в баллах |
|||||||||
|
0-3 |
4-7 |
8-10 |
||||||||
|
1. Производственный потенциал |
||||||||||
|
-мощность |
3 |
5 |
||||||||
|
-номенклатура |
7 |
|||||||||
|
-возможность расширения |
9 |
|||||||||
|
2. Гибкость производства |
9 |
|||||||||
|
3. Состояние технологического оборудования |
||||||||||
|
-износ |
2 |
|||||||||
|
-степень автоматизации |
9 |
|||||||||
|
-уровень прогрессивности |
9 |
|||||||||
|
-коэффициент использования |
8 |
|||||||||
|
4. Уровень качества |
||||||||||
|
-соответствие мировым стандартам |
10 |
|||||||||
|
-контроль качества сырья |
10 |
|||||||||
|
5. Степень известности предприятия |
9 |
|||||||||
|
6. Продолжительность жизненного цикла товаров |
6 |
|||||||||
|
7. НИОКР |
9 |
|||||||||
|
8. Репутация |
10 |
|||||||||
|
9. Методы сбыта |
10 |
|||||||||
|
10. Средства связи |
8 |
|||||||||
|
11.Сервисные услуги |
9 |
|||||||||
|
12. Качество товара |
9 |
|||||||||
|
13. Стоимость цемента |
6 |
|||||||||
|
14. Надежность поставок |
10 |
|||||||||
|
15. Квалификация персонала |
9 |
|||||||||
|
16. Менеджмент на предприятии |
9 |
|||||||||
|
17. Местонахождение |
10 |
Преимуществом Оскольского завода является то, что он более новый, а следовательно более современный, а значит оборудование имеет меньший износ и технология производства более современна (сухой способ). На заводе установлена финская упаковочная линия, позволяющая свести на нет потери при тарировании. Качество цемента производимого в Старом Осколе не выше Белгородского, но проигрывает в цене. Старооскольский завод в 1,5 раза мощней Белгородского.
Таблица 4.15
Значение экономических параметров товара
|
Параметр |
i |
Вес i- го параметра |
Предприятия |
|
|
Белгородский цемент |
Осколцемент |
|||
|
Цена изделия |
1 |
0,9 |
9 |
8 |
|
Расходы на транспортировку |
2 |
0,7 |
6 |
6 |
|
Качество изделия |
3 |
0,7 |
10 |
10 |
|
Соответствие мировым стандартам |
4 |
0,5 |
9 |
7 |
|
Репутация |
5 |
0,6 |
8 |
8 |
|
Надежность поставок |
6 |
0,7 |
8 |
9 |
|
Реклама |
7 |
0,6 |
7 |
5 |
|
Сервисные услуги |
8 |
0,5 |
8 |
6 |
Также наиболее близким и сильным конкурентом ЗАО «Белгородцемент» является ОАО «Липецкцемент», г. Липецк.
Таблица 4.16
Оценка конкурентоспособности ЗАО «Белгородский цемент».
|
Показатель |
ЗАО «Белгород цемент» |
ОАО «Липецк цемент» |
|
Потребительские: доля рынка доля экспорта средняя марка цемента Экономические: 1.средняя цена за 1тонну навалом 2. средняя цена за 1 т в таре |
5,2 22,8 439,1 762 928,5 |
4,7 2,6 440,5 758 915 |
Таким образом, ЗАО «Белгородский цемент» довольно сильный конкурент ОАО «Осколцемент» и ОАО «Липецкцемент», это в большей степени обусловлено экспортом цемента, что, тем не менее не опровергает сильную позицию предприятия.
4.7 SWOT анализ предприятия
SWOT - анализ является первым шагом стратегического планирования. Задача SWOT - анализа заключается в выявлении сильных и слабых сторон, возможности функционирования на рынке и угроз (со стороны появления новых товаров, поставщиков, конкурентов, государства, внутренней угрозы).
Для оценки внутренней маркетинговой среды предприятия построим профиль конкурентных преимуществ ЗАО «Белгородский цемент».
Таблица 4.17
Сводная таблица анализа внутренней среды.
|
Показатель |
Белгородский цемент |
Вольскцемент |
Штерн-цемент |
Серебряков цемент |
|
Объем выпуска |
3 |
2 |
5 |
4 |
|
Доля экспорта |
5 |
3 |
4 |
2 |
|
Возраст ОПФ |
3 |
2 |
4 |
5 |
|
Уровень квалификации кадров |
5 |
3 |
4 |
2 |
|
Географическое расположение |
5 |
4 |
5 |
4 |
|
Уровень конкурентоспособности |
4 |
3 |
5 |
4 |
|
Цена |
2 |
3 |
4 |
5 |
|
Номенклатура |
5 |
2 |
4 |
3 |
|
Сбыт продукции |
4 |
3 |
5 |
2 |
|
итого |
36 |
25 |
40 |
31 |
Оценив по пятибалльной шкале ЗАО «Белгородский цемент» и еще 3 наиболее крупных предприятий цементной промышленности, мы получим следующие результаты:
сильные стороны предприятия – это:
а) доля экспорта: ЗАО «Белгородский цемент» входит в 5 крупнейших экспортеров страны;
б) наиболее широкий и глубокий ассортимент продукции: цементы марок 400,500, 550, 600 с добавками и без, цементы для дорожных покрытий, железобетонных труб мостовых конструкций и др.;
в) достаточно высокий выпуск продукции;
г) хорошие географические расположения завода: завод имеет собственные сырьевые базы, что позволяет экономить на транспортировке сырья, широкую сеть автомобильных и железнодорожных дорог;
д) низкая себестоимость продукции за счет постоянного снижения удельных норм ТЭР и материалов;
е) меньше численность персонал, а значит и более высокая производительность труда;
ж) орган по сертификации ОС "БелГТАСМ - сертификация" сертифицировал в системе ГОСТ Р цементы ЗАО "Белгородский цемент" на соответствие требованиям ГОСТ 10178-85, ГОСТ 22266-91 и ТУ 21-26-18-91. Впервые в России наши цементы получили международные сертификаты по немецкому стандарту DIN 1164 -СЕМ I 42,5 и СЕМ Т I/A-S 32,5, выданный Исследовательским институтом цементной промышленности Германии;
з) предприятие несколько лет подряд принимает участие во Всероссийских конкурсах на лучшее предприятие стройиндустрии и награждается Дипломом 1-й степени за достижение высокой эффективности и конкурентоспособности в строительстве и промышленности строительных материалов в новых экономических условиях;
и) высокая скорость отгрузки покупателю;
к) широкий ассортимент упаковки: мешки по 50 и 20 кг, "биг-бег", по 1, 1,5, 2 тонны, тарирование цемента в термоусадочную пленку.
слабые стороны предприятия – это:
а) относительно высокие цены;
б) возраст ОПФ: почти все оборудование цементного завода в замене и модернизации;
в) несвоевременные работы по проведению сертификации продукции;
г) недостаточные маркетинговые исследования рынка;
д) отсутствие оборотных средств для приобретения необходимых запасов топлива и энергии, полуфабрикатов;
е) отсутствие запасных частей для ремонта печей, мельниц, компрессоров.
Все полученные данные представим в итоговой матрице (таблица 4.18).
Таблица 4.18
Итоговая матрица SWOT – анализа ЗАО «Белгородский цемент».
|
-высокий объем выпуска; -большой ассортимент; -высокое качество; -географическое расположение; -устойчивые связи с потребителями. S |
-сравнительно высокие цены; -моральный и физический износ оборудования. W |
|
-снижение затрат на производство; -расширение рынков сбыта; -инвестиции на приобретение нового оборудования. O |
-организационно-экономические риски; -макроэкономические условия. T |
5. Разработка рыночных стратегий на предприятии и оценки их эффективности
Стратегический анализ является логическим продолжением конъюнктурного, но отличается от него более широким кругом охватываемых проблем и более глубоким изучением взаимосвязей и закономерностей товарно-денежного обращения. Стратегический прогноз в отличие от конъюнктурного, преимущественно предупреждающего, носит характер перспективного, долгосрочного.
На предприятии сейчас разрабатываются стратегии корпоративной диверсификации, т.е. освоение новых видов услуг: строительство автомобильных дорог с использованием собственных бетонов, составлен план по организации производства пено- и керамзитбетона, различных бетонных и железобетонных изделий, выпуску сухих строительных смесей, строительству коттеджей. Перечисленное в наибольшей степени отвечает основному принципу диверсификации, т.е. стремление предприятия ЗАО «Белгородский цемент» внедриться в области деятельности, которые не связаны с нынешней деятельностью.
Для более эффективного функционирования ЗАО «Белгородский цемент» в будущем, расширения его рынков сбыта, в рамках глобальной стратегии развития предприятия, направленных на достижение досрочных задач и целей можно предложить разные варианты дальнейшего развития предприятия:
1. снижение затрат и себестоимости на определенный вид продукции – ценовая стратегия;
2. усилить на предприятии использование рекламы и промоушен в качестве основных средств маркетинговых коммуникаций – рыночная стратегия;
3. определения вида посредников в различных географических регионах и расширение канала распределения – сбытовая стратегия.
Эти стратегии предполагают наиболее полное использование имеющихся возможностей предприятия: маркетинговых, технологических, организационных. Они основываются на устранении слабых мест в маркетинговой и производственной деятельности, что позволит увеличить долю на рынках, где реализовывается продукция фирмы.
1. Снижение затрат и себестоимости портландцемента с минеральными добавками тарированного в мешки по 50 кг – ПЦ 500 Д-20.
Расходы при этом виде маркетингового планирования будут содержать текущие и единовременные затраты, связанные с увеличением мощности предприятия и модернизации технологического оборудования при:
- реконструкции цеха помола путем модернизации мельниц. При этом будут производиться высокомарочные цементы, которые усилят конкуренцию.
- использовании при обжиге клинкера альтернативных видов топлива для частичной замены природного газа.
- в целях снижения удельного расхода электроэнергии и сжатого воздуха при помоле и транспортировке цемента, для повышения производительности цементных мельниц на предприятии можно предложить расширение использования замкнутого цикла помола с новыми сепараторами, внедрить оригинальные внутри мельничные устройства, применить новые интесификаторы помола. Это позволит улучшить физико-химический свойства цемента, сократить время производства, получить цементы с высокой удельной поверхностью.
Снижение текущих затрат и себестоимости товара в целом обуславливает возможность снижения его отпускной цены (ценовая конкуренция), а значит, возможность роста объема продаж соответственно ценовой эластичности спроса на данный товар. В этом случае эффективность маркетингового мероприятия выразится в увеличении выручки от реализации продукции.
2. Расширение рекламной деятельности
Реклама не только позволяет информировать потребителей о товаре, на котором есть спрос на рынке, но и создать этот спрос, в особенностях на развивающихся рынках.
С целью наиболее эффективного решения стратегических задач в области рекламы необходимо четкое представление о бизнесе и особенностях товара, знать сильные и слабые стороны предприятия, обладать информацией о рынке, знать возможности которые он предлагает, и представлять себе проблемы деятельности на этом рынке.
Реклама оказывает влияние на маркетинг, которое трудно уловить и конкретизировать. Необходимо четко спланировать рекламную компанию в отношении сроков, средств рекламы, задействованных в компании, рекламного бюджета и т. д.
Создание рекламной компании должно быть направлено, в основном, на такой растущий сегмент рынка цемента как население с целью информирования данных потенциальных покупателей о существовании специализированных магазинов «Белгородский цемент», созданных именно для работы с данными лицами.
Данная рекламная кампания будет включать в себя:
создание рекламных щитов по Белгородскому району (4 щита);
выпуск буклетов с описанием свойств различных марок и видов цементов, и также сфер его использования, по которым любой покупатель сможет самостоятельно определиться с выбором необходимой ему марки. Данные буклеты будут предлагаться в фирменных магазинах предприятия.
Увеличение выручки предприятия от проведения рекламной компании произойдет из-за:
увеличения объемов от продаж от 3 до 10%;
более высокие цены на тарированный цемент.
3. Определение вида посредников, расширение канала распределения в различных географических регионах
Решение о выборе канала распределения - одно из самых важных и сложных решений, которые необходимо принять руководству.
Каналом нулевого уровня является канал, по которому товар напрямую попадает от производителя к потребителю. Канал первого уровня - канал, при котором товар попадает от производителя к потребителю через розничного торговца; канал второго уровня — канал с использованием еще и оптового торговца, и т.д.
ЗAO «Белгородский цемент» использовало до недавнего времени только канал нулевого уровня. Сейчас использует канал второго уровня.
Наиболее приемлемым является вариант, когда канал распределения, состоит из независимого производителя («Белгородский цемент») и нескольких представителей. Каждый член канала представляет собой отдельное предприятия, стремящиеся обеспечить себе максимально возможные прибыли. Ни один из членов канала не имеет полного или достаточно полного контроля над деятельностью других членов. ЗАО «Белгородский цемент» имеет розничных дилеров: ДО «Родничок», ДО «Рекорд-Центр», магазин «Белгородский цемент».
С учетом вышесказанного, предлагается организовать структуру официальных представительств и дилеров ЗАО «Белгородский цемент». Они должны быть ориентированы на конкретные регионы, как России, так и зарубежья. Представительства можно организовать:
в г. Москве (регион — Москва и область);
в г. Калининграде;
в г. Таллинне (Прибалтийский регион);
в г. Харькове (Украина);
в г. Ростов-на-Дону (Кавказский регион);
в г. Брянске или Воронеже (Центрально-Черноземный регион).
Посредников нужно постоянно мотивировать на выполнение своих обязанностей наилучшим образом. Обычно производитель четко определяет, чего именно он хочет, от дистрибьюторов и на что, они могут рассчитывать с его стороны. Он стремиться к согласию с ними в отношении розничных политических установок, и может увязать размеры вознаграждения с тем, насколько точно придерживаются дистрибьюторы этих установок.
В рамках отдела маркетинга предлагается учредить особый отдел, который называется отделом но планированию работы с дистрибьютором и занимается выполнением нужд дистрибьюторов, а так же разработкой программ стимулирования сферы торговли, призванных помочь каждому дистрибьютору наиболее полно раскрыть свои возможности.
Совместно с дистрибьюторами отдел намечает коммерческие цели, которых необходимо достичь, планирует рекламные кампании, составляет план стимулирования сбыта. Цель этой работы - наглядно показать дистрибьюторам, что они зарабатывают деньги благодаря тому, что является частью тщательно продуманной маркетинговой системы.
Рекламные кампании осуществляться могут как за счет ЗАО «Белгородский цемент», так и за счет представительства. Представительство согласовывает рекламу с предприятием. «Белгородский цемент» осуществляет рекламную поддержку в специализированных изданиях на территории региона, на котором действует представитель.
Сбыт осуществляется представительствами двумя способами:
1. представительство покупает у ЗАО «Белгородский цемент», с отсрочкой платежа до 10 дней.
2. Представительство направляет покупателя в ЗАО «Белгородский цемент».
Дилеры осуществляют сбыт самостоятельно, имея небольшие льготы. (Постоянные поставки, цены, отсрочки платежей и др.).
Функции и права представительства и дилера предоставляются предприятиям, работающим на рынке цемента не менее трех лет.
Одной из проблем цементного производства в России является сезонные колебания спроса. Зимой объем спроса падает более чем в 2,5 раза. В мировой практике при нерегулярном спросе используется синхромаркетинг, задача которого поиск способов сглаживания спроса с помощью гибких цен, методов продвижения и других инструментов маркетинга та. Для ЗАО "Белгородский цемент" было бы целесообразно разработать гибкую систему скидок для потребителей, желающих приобрести товар и товар в зимнее время.
Одним из вариантов сглаживания является заранее спланированный переход на зимнее время на другой рынок (Кавказ, Средняя Азия). Существенную помощь в этом должны оказать созданные в этих регионах представительства и дилеры.
Заключение
В результате проведённого исследования по теме: „Исследование и прогнозирование конъюнктуры товарного рынка на примере ЗАО «Белгородский цементный завод»“ можно сделать ряд выводов:
1. Конъюнктура рынка – сложившаяся экономическая ситуация, включающая в себя соотношение между спросом и предложением, движением цен и товарных запасов, портфель заказов по отраслям и другие экономическими показателями. Другими словами, конъюнктура рынка – это конкретная ситуация, сложившаяся на рынке на данный момент или ограниченный отрезок времени, а также совокупность условий, которые эту ситуацию определяют.
Изучение конъюнктуры цементного рынка позволило выявить экономическую ситуацию, сложившуюся на данный момент на рынке цементных предприятий, определить спрос потребителей на данную продукцию, конкурентоспособность на данном рынке предприятия ЗАО «Белгородский цемент», которые формируются под воздействием комплекса сил, факторов и условий на развивающемся рынке в России.
2. В результате проведенного исследования была проведена полная оценка и анализ деятельности ЗАО «Белгородский цемент». Полностью изучена его внутренняя и внешняя маркетинговая среда, определены такие элементы функционирования предприятия как ассортимент, конкуренты и потребители, позиции предприятия на рынке. "ЗАО Белгородский цемент" располагает хорошей сырьевой базой, современной технологией производства и имеет низкие эксплуатационные затраты. Это позволяет иметь сравнительно низкую себестоимость и не терять в качестве продукта.
3. Позиции ЗАО «Белгородский цемент» на цементном рынке довольно устойчивы – из 50 предприятий цементной промышленности предприятие занимает 5 место по выпуску цемента и 3-е место по ее экспорту.
Сильные стороны данного предприятия – это номенклатура и качество выпускаемой продукции (предприятия выпускает различные марки цементов) и географическое расположение (предприятие имеет обильную сеть железных и автомобильных дорог).
К слабым сторонам ЗАО «Белгородский цемент» можно отнести относительно высокие цены на продукцию, а также физический износ основного оборудования предприятия.
4. Развитие конкуренции и состязательности на цементном рынке создало условия для активного использования маркетингового подхода к решению управленческих и производственно-сбытовых задач с целью укрепления конкурентоспособности предприятия. Обеспечение оптимального сбыта произведённой продукции потребовало ориентации на запросы и предпочтения целевых групп потребителей, а также формирования соответствующего рыночного спроса по объёму и качественным характеристикам.
5. Для решения этих задач на предприятии был создан отдел маркетинга. При изучении конъюнктуры рынка перед отделом ставятся следующие задачи:
В определенный промежуток времени отобрать из источников информации конкретные и самые последние сведения по всему рынку, а именно: выявить всех конкурентов, изучить ассортимент выпускаемой продукции, изучить политику ценообразования, определить круг лиц, для которых предприятие будет выпускать продукцию и другие показатели.
Систематизировать эти показатели.
Установить силу и масштабы воздействия соответствующих коньюнктурообразующих факторов, их взаимосвязь и взаимообусловленность, и направленность действия.
Выявить активность взаимодействия этих факторов в ближайшей перспективе для разработки прогноза.
6. Так как ЗАО "Белгородский цемент" является зрелой организацией, прочно стоящей на ногах, то руководство предприятия предпочитает стратегию ограниченного роста. При этой стратегии цели развития устанавливаются "от достигнутого" и корректируются на изменяющиеся условия.
В рамках маркетинговых стратегий предприятию было предложено провести мероприятия направленные:
на снижение отпускной цены продукции;
проведение рекламных компаний для большого завоевания своего рынка сбыта, и расширения за счет этого, такого сегмента рынка как население;
расширение канала поставок в различные географические регионы, с помощью создания посредников в этих регионах.
7. В целях завоевания ведущих позиций на цементном рынке на предприятии необходимо осуществить ряд перспективных направлений технического прогресса: [12]
- внедрение в производство энергосберегающих технологий;
создание принципиально новых типов вяжущих и цементов, не требующих тепловой обработки при производстве бетонных конструкций и изделий;
создание и внедрение новых видов высокоэффективного оборудования (модулей), в том числе для сухого и полусухого способов производства цемента в сочетании с действующими вращающимися печами;
создание компактных установок для помола цементного клинкера с использованием минеральных добавок (золошлаковых отходов ТЭС, шлаков металлургии, песка и т. п.);
создание дополнительных мощностей по упаковке и тарированию цемента;
- разработка составов многокомпонентных цементов и сухих смесей с активными химическими и другими добавками.
Библиографический список литературы
Барышев А. Ф. Маркетинг. — М.: Издательский центр «Академия», 2002.
Белгородская область в 2002 году. Статистический сборник. – Белгород: БОКГС, 2003. – 457с.
Бородко Т.Л., Беляцкий Н.П. Мониторинг товарных рынков /Маркетинг в России и за рубежом №5 - 2003.
Браверман А. А. Маркетинг в российской экономике переходного периода. — М.: ОАО «Издательство Экономика», ТОО «КоМаркет Лтд», 1997.
Бухгалтерские балансы ЗАО «Белгородский цемент» за 1999 –2002 годы.
Голубков Е. П., Секерин В. Д. Маркетинг. — М.: «Экономика» , 1993.
Дорошенко Ю. А. Перспективы развития промышленности строительных материалов. Диссертация кандидата технических наук. — Белгород, БГГУ им. Шухова, 2004.
Журнал «Цемент» № 1-12, 2001.
Журнал «Цемент» № 1-12, 2002.
Журнал «Цемент» № 1-12, 2003.
Журнал «Цемент»№ 1-8, 2004.
Концепция развития приоритетных направлений промышленности строительных материалов и стройиндустрии на 2001 – 2005 годы. — М.: Госстрой РФ, 2001.
Котлер Ф. Основы маркетинга. — Спб.: «Литера – плюс», 1999.
Ноздрева Р. Б., Гречков В. Ю. Маркетинг. Учебник, практимум и учебно-методический комплекс по маркетингу — М.: Экономистъ, 2003.
Промышленность строительных материалов Российской Федерации в цифрах в 2000г. Справочник. – М.: ВНИИЭСМ, 2002.
Романов А. Н. Маркетинг. — М.: «ЮНИТИ»,1996.
Рынок строительного цемента в России // Рейтинговое Агентство «Эксперт РА». Аналитический обзор. — Белгород, 2002 .
Сборник «Цементная промышленность России в 1998, 1999г. ».
Сергеев И. В., Веретенникова И. И. Организация и финансирование инвестиций. — М.: «Финансы и статистика», 2000.
Хруцкий В. Е., Корнеева Н. В. Настольная книга по исследованию рынка: Учебное пособие – 2-е изд., перераб. и доп. – М.: Финансы и статистика, 1999.
Приложение 1

Рис. 1. Информационные потоки в маркетинговой деятельности предприятия
Приложение 2
Характеристика направлений исследования рынка
Направление Характеристика
С точки зрения 1. Новизна и конкурентоспособность
товара 2. Соответствие законодательным нормам и правилам
3. Способность удовлетворить существующие и перспективные требования покупателей
4. Необходимость совершенствования в соот- ветствии с выявленными требованиями покупателей, законодательных актов и т.п.
С точки зрения 1. Доля конкурентов на рынке
конкурентов 2. Ценовая политика
3. Рекламно-пропагандистские кампании
4. Конкуренты, владеющие наибольшей долей рынка
5. Наиболее динамично развивающиеся конкуренты
6. Торговые марки (знаки) товаров конкурентов
7. Особенности товаров конкурентов, вызывающих предпочтение покупателей
8. Направления совершенствования товара
9. Упаковка товаров конкурентов, вид и особенности
10. Формы и методы сбытовой деятельности
11. Используемые каналы товародвижения
12. Мероприятия по стимулированию сбыта
13. Направления и объем расходов на НИОКР
14. Официальные данные о прибыли конкурента
15. Численность работающих в материнской компании и дочерних фирмах и отделениях
16. Слияния, покупки, продажи филиалов и дочерних предприятий
17. Публикации в средствах массовой информации
С точки зрения рынка 1. Налоговая политика
2. Хозяйственное законодательство
3. Политика лицензирования
4. Политика протекционизма
5. Территориальные (географические) границы рынка
6. Потенциал рынка
7. Товарная структура
8. Конкуренция
9. Конъюнктура и тенденции ее развития
С точки зрения
1. Покупательский спрос на продукцию пред- потребителя
приятия и конкурентов
2. Запросы и потребности реальных и потенциальных потребителей
3. Мотивы приобретения товаров
4. Покупательские предпочтения
5. Характеристики потребителей
6. Типичные способы использования товара
7. Возможность сегментирования рынка по тем или иным признакам
8. Способы и время совершения покупки
9. Потребности, не удовлетворенные товаром
10. Возможное развитие потребностей реальных и потенциальных покупателей
П
риложение
3
Рис. 2. Этапы конъюнктурных исследований товарных рынков
1 Экономика Белгородчины в январе-сентябре 2004 г. «Белгородская правда» от 12 ноября 2004г.
2 Строительный комплекс России: Стратегия развития до 2010 года. Строительная газета от 06.05.03
3 Можаев В. П., генеральный директор Российской ассоциации производителей строительных материалов // журнал Формула строительства, 1 (22) январь 2003
4 Основные итоги переписи. „ Белгородская правда “ от 16 января 2004 г.
5 Экономика Белгородчины в январе-сентябре 2004 г. «Белгородская правда» от 12 ноября 2004г.
6 Основные итоги переписи. „ Белгородская правда “ от 16 января 2004 г.
7 Журнал «Цемент и его применение» (1998 г. - №1, №2, №3, №4; 1999 г. №1, №2, №3)