Виды весов. Оборудование складских помещений
МИНИСТЕРСТВО ОБРАЗОВАНИЯ РЕСПУБЛИКИ БЕЛАРУСЬ
УЧРЕЖДЕНИЕ ОБРАЗОВАНИЯ «БРЕСТСКИЙ ГОСУДАРСТВЕННЫЙ ТЕХНИЧЕСКИЙ УНИВЕРСИТЕТ»
Контрольная работа по дисциплине:
«Оборудование предприятий торговли»
Выполнила:
студентка Ложенкова Е.В.
Брест 2009
Содержание
Задание 1. Характеристика основных видов весов
Задание 2. Элементы складской площади и методы ее расчета
Задание 3. Склады металлов
Список литературы
1. Характеристика основных видов весов
Весы – прибор для измерения массы тела.
В зависимости от назначения весы делятся на:
- образцовые (для поверки гирь);
- лабораторные (в том числе аналитические);
- общего назначения, применяемые в различных областях науки, техники и народного хозяйства.
По принципу действия весы подразделяются на:
- рычажные;
- пружинные;
- электротензометрические;
- гидростатические;
- гидравлические.
По виду указательного устройства весы классифицируются на:
- гирные;
- шкальные;
- шкально-гирные;
- циферблатные;
- цифровые электронные.
По виду отсчета показаний взвешивания весы бывают с:
- визуальным отсчетом;
- документальной регистрацией.
По способу снятия показаний различают весы
- местным способом снятия показаний;
- дистанционным способом снятия показаний.
В соответствии с кодами ОКП, существует и классификация весов неавтоматического действия среднего и обычного классов точности, предназначенных для статического взвешивания различных грузов.
По области применения (эксплуатационному назначению) такие весы делятся на:
- автомобильные;
- багажные;
- вагонеточные;
- вагонные;
- для взвешивания людей;
- для взвешивания молока;
- для взвешивания животных;
- крановые;
- медицинские;
- монорельсовые;
- почтовые;
- товарные;
- торговые;
- элеваторные.
По принципу действия весы подразделяются на:
- рычажные;
- пружинные;
- электротензометрические;
- гидростатические;
- гидравлические.
По точности взвешивания различают весы:
- среднего класса точности;
- обычного класса точности.
По способу установки на месте эксплуатации весы группируются на:
- врезные;
- встроенные;
- напольные;
- настольные;
- передвижные;
- подвесные;
- стационарные.
По виду уравновешивающего устройства весы делятся на:
- механические;
- электромеханические (электронные).
По виду грузоприемного устройства весы классифицируются на:
- бункерные;
- ковшовые;
- конвейерные;
- крюковые;
- монорельсовые;
- платформенные.
По способу достижения положения равновесия различают весы:
- с автоматическим уравновешиванием;
- с полуавтоматическим уравновешиванием;
- с неавтоматическим уравновешиванием.
В зависимости от вида отсчетного устройства различают весы:
- с аналоговым отсчетным устройством;
- с дискретным отсчетным устройством.
На сегодняшний день широко применяются весы трех видов: механические, электромеханические и электронные. Научно-технический прогресс привел к тому, что механические весы уступили место электромеханическим и электронным весам. Механические весы, в которых взвешивание происходит благодаря взаимодействию системы рычагов и грузов (пружин). Отображение информации о взвешиваемом грузе происходит благодаря перемещению стрелки, которая механически связана с общей системой рычагов. Основные недостатки механических весов:
- частый выход из строя весового механизма;
- подверженность разрушению ржавчиной;
- неудобство считывания показаний;
- большая длительность взвешивания, по сравнению с электронными аналогами;
- потребность в регулярном техническом обслуживании.
Электромеханические весы по своей природе сочетают в себе достоинства и суммируют недостатки электронных и механических весов. Механизм взвешивания устроен также, как и у механических, а считывает результаты электронное устройство. Долговечность таких приборов зависит от соблюдения условий их эксплуатации, так как они чувствительны к радиопомехам, перебоям в сети электропитания, ударам и падениям.
Электронные весы обладают всеми преимуществами электромеханических, не имеют недостатков механических весов. Они лишены громоздких механических деталей, надежны, точны и долговечны. Их длительный срок эксплуатации объясняется в первую очередь тем, что весы находятся в состоянии равновесия, все механические детали прибора неподвижны, а значит, не изнашиваются. При соблюдении правил их эксплуатации электронных весов они служат неопределенно долго.
Кроме того, одним из значительных достоинств электронных весов является наличие дополнительных функций, таких как: тарирование, определение количества одинаковых предметов, усреднение, контрольное и процентное взвешивание. В процессе взвешивания можно использовать панель управления весов или дистанционный ИК-пульт. Яркий светодиодный дисплей обеспечивает легкость считывания показаний веса. Большинство моделей снабжены интерфейсом для связи с компьютером и ЭККА, что позволяет организовать учет операций взвешивания и маркировку продукции. Преимущества электронных весов перед механическими: Наличие встроенных функций и простых в использовании программ: тарирование, процентное взвешивание, ведение протокола измерений через дополнительный принтер либо компьютер Существенно меньшее влияние оператора на процесс измерения и как следствие уменьшение ошибок измерения Возможность адаптации весов к внешним условиям - цифровое усреднение Возможность измерения в различных единицах - каратах, унциях, тройских унциях и т.д. Существенно меньшие габариты.
Торговые весы
Основной отличительной чертой, отличающей торговые весы от других, является наличие двухстороннего дисплея. Это свойство позволяет отслеживать массу, стоимость и цену покупки одновременно как продавцу, так и покупателю. От производителя весов и их цены соответственно зависит их качество, удобство в использовании и наличие дополнительных функций. Существует два вида торговых весов: для прилавочной торговли и для магазинов самообслуживания.
Весы для прилавочной торговли
Выпускаемые в наше время весы для прилавочной торговли позволяют в автоматическом режиме производить расчет цены на товар после ввода единичной расценки за килограмм. Одновременно просчитывается стоимость всех приобретенных товаров и количество выдаваемой сдачи (в случае необходимости). Но функция просчета выдаваемой сдачи не позволяет из весов сделать кассовый аппарат. На территории России только контрольно-кассовый аппарат может быть использован для произведения денежных расчетов в торговле.
Функция суммирования стоимости всех покупок позволяет покупателю потратить только ту сумму, которую он запланировал на этот вид товара. Большинство весов имеют PLU, так называемые «горячие клавиши». При помощи них можно запрограммировать цену одного килограмма товара. Ассортимент товара, как правило, значительно превышает количество свободных ячеек, имеющихся в памяти, поэтому для удобства использования в память аппарата вносятся только цены на самый продаваемый товар. При этом, для ввода стоимости товара, который не внесен в память весов, понадобится нажать больше четырех клавиш, а для находящегося в памяти - всего одну.
Для суммирования стоимости покупок нужно после каждого взвешивания нажимать клавишу «СУММА», при этом вся информация сохраняется во временном буфере памяти. Для просчета окончательного результата нужно воспользоваться клавишей «ИТОГ», при этом на дисплее автоматически высветится количество произведенных покупок и совокупная стоимость товара.
Это касается и штучного товара, который имеет определенную стоимость. Но при суммировании такого товара требуется нажать кнопку «ФИКСИРОВАННАЯ СТОИМОСТЬ». Такие весы, как правило, обладают функцией, которая позволяет создавать отчет о количестве проданного товара за день. Эта функция незаменима при проведении хозяином магазина своего маркетингового исследования. Такое исследование позволит получить истинные данные о количестве проданного в течение дня товара. К данной категории весов относятся ВE-15ТЕ.2 и ВП-15T.2 (Масса) и АР-ЕХ и ТР (CAS).
Весы для магазинов самообслуживания
Весы для магазинов самообслуживания в основном применяются в супермаркетах, гипермаркетах и других больших магазинах. Такие весы отличаются от прилавочных возможностью маркировки товара. Они позволяют производить печать этикеток, на которых находится информация о названии, весе, стоимости, единичной расценке, сроке хранения и другие данные. Так же эти аппараты оснащены дополнительными функциями и большим объемом внутренней памяти, который позволяет хранить весь перечень товаров отдела (отделов) полностью. В расчетном узле продажа товара будет происходить именно по этой этикетке. Для подключения к персональному компьютеру такие весы оснащаются различными видами интерфейсов. Это, в свою очередь, позволяет производить автоматическое программирование информации, находящейся в памяти весов. Такие весы имеют в своем арсенале широкий выбор форм печатаемых этикеток.
Согласно максимально возможным пределам взвешивания торговые весы разделяют на три группы: первая - до 6 кг, вторая - до 15 кг и третья - до 30 кг. Весы первой группы устанавливают в отделах, где производится торговля легкими товарами (гастрономия, кондитерский отдел). Ввиду того, что цена деления в таких весах составляет всего 2 грамма, то происходит наиболее точное округление стоимости товара. В мясных, рыбных и овощных отделах, как правило, устанавливают весы второй и третьей групп. При этом цена деления у весов до 15 кг составляет 5 граммов, а у весов до 30 кг - 10 грамм.
Порционные весы
Эти весы имеют предел взвешивания от 120 грамм до 30 килограмм. Они получили обширное распространение и используются как контрольные в торговых центрах и магазинах. Они применяются и для расфасовки сыпучих товаров, а также для порционирования блюд на предприятиях общественного питания. Наиболее известные модели производителя CAS - это AD, SW, PW.
Нашлось им применение на производстве и при торговле в непродовольственных магазинах. Так, например, порционно-счетные весы можно использовать для взвешивания болтов, гаек, шурупов и прочей мелочи с наибольшей точностью. Такой функцией обладает модель CS производитель CAS.
Существующие порционно-лабораторные весы за счет особо точного взвешивания нашли применение в аптеках для синтеза разнообразных лекарственных препаратов. Используются они так же в химической и других отраслях промышленности. Порционно-счетные весы, как правило, наделены функцией ограничения веса, имеют разные меры измерения (в каратах, процентах) и специальный счетный режим. К таким весам относятся весы производства CAS - модель MW-T.
Товарные весы
К таким весам относятся напольные весы с предельным весом взвешивания до 2 тонн. Они получили широкое распространение во всевозможных складах, оптовых базах, магазинах и промышленных предприятиях. Размеры платформы в таких весах зависят от максимально взвешиваемого веса: чем больше предел взвешивания - тем больше и площадь взвешивания.
Функцией ввода тары обязательно оборудуются все торговые весы. Эта функция позволяет автоматически просчитывать вес товара и тары. Например, нам необходимо взвесить 20 кг гвоздей. Для этого необходимо на весы установить пустой ящик и нажать кнопку «ТАРА»; после заполнения ящика товаром, произойдет автоматическое вычитание массы пустого ящика из общего веса.
Такие весы могут быть наделены и функцией удержания нестабильного веса. Например, если на весы поставить емкость с пивом, то пиво внутри будет раскачиваться, и соответственно, неравномерным будет давление на платформу весов. При этом показания весов будут неправильными. А функция удержания нестабильного веса совершает несколько замеров за заданный промежуток времени, производит их суммирование и высчитывает усредненное значение веса.
В некоторых моделях присутствует функция ограничения веса, которая представляет собой подачу звукового сигнала после набора определенного веса. Иногда такие весы оснащают дополнительным интерфейсом, который позволяет управлять фасовочным дозатором. При этом при наборе определенного веса створки дозатора автоматически закрываются, перекрывая просыпание товара. В ассортименте выпускаемых видов весов есть и специальные модификации, которые имеют увеличенную защиту от воздействия внешних неблагоприятных факторов (вода, пыль и т.д.). Такие модели весов используются и на обрабатывающих морепродукты предприятиях. Еще выпускаются весы для тех мест, где наличие электросети не предусмотрено. Такие товарные весы снабжены независимым электропитанием в виде набора обыкновенных батареек. В этих весах имеется энергосберегающий режим, который выключает питание при интервалах в работе, когда весы не используются.
Весы платформенного типа являются еще одной разновидностью товарных весов. Они имеют автономный дисплей и большую полезную площадь. Наибольший размер таких весов не превышает двух метров в длину и двух метров в ширину. Эти весы в случае надобности, могут иметь подъездной пандус и могут быть встроены в пол.
|
МЕТРОЛОГИЧЕСКИЕ ХАРАКТЕРИСТИКИ Торговых весов типа AP
|
Весы типа АР - это электронные весы с двухсторонним дисплеем, который крепится на стойку весов. Весы оснащены функцией тарирования, выполняют расчет стоимости, имеют автономный источник питания (аккумуляторная батарея 6 В, 4,5 А•ч), светодиодный дисплей, режим энергосбережения, промышленный уровень надежности, современный дизайн и отличные метрологические характеристики.
Особенности: - точное взвешивание
- надежная конструкция
- питание от аккумуляторной батареи или от сети электроснабжения
- большая грузоприемная платформа
- функция расчета сдачи
- функция суммирования стоимости покупок
- удобство в эксплуатации
- рабочий температурный диапазон: от -10 до +40°С.
Сферы применения:
- выездная торговля
- рынки
- магазины
- могут использоваться в качестве контрольных весов
|
Особенности |
Преимущества |
|
Электронные весы с большой грузоприемной платформой |
Широкая область применения |
|
Светодиодный индикатор с регулируемым уровнем яркости |
Снижает утомляемость оператора, повышает производительность и точность работы |
|
Режим пониженного энергопотребления |
Экономичность в процессе эксплуатации |
|
Аккумуляторная батарея в комплекте |
Возможность работы в автономном режиме |
|
Герметичная кнопочная клавиатура |
Облегчает работу с весами независимо от опыта и квалификации оператора, высокая надежность и ремонтопригодность |
|
Отличные метрологические характеристики |
Высокая точность и стабильность взвешивания |
|
Высокая надежность |
Длительный срок эксплуатации |
2. Элементы складской площади и методы ее расчета
Коэффициент полезно используемой площади К>s> равен отношению площади, занятой под складирование (под технологическое оборудование), - S>гр>, к общей площади склада – S>ос>;

Аналогично определяют коэффициент полезно используемого объема К>V>:

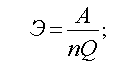
где V>ос> – общий складской объем, м3; V>гр> – складской объем, занимаемый оборудованием, на котором хранится груз, м3; h>ос> – высота складского помещения, м3; h>скл> – используемая высота складского помещения под хранение груза, м. Экономическим критерием при оценке вариантов систем складирования может быть показатель общих затрат (в рублях на 1 т товара), рассчитанный как сумма единовременных и текущих затрат:

где Э – текущие затраты, руб./т; К – единовременные затраты, руб./т; 0,29 – коэффициент эффективности капитальных вложений.
Текущие затраты (издержки производства и обращения в рублях на 1 т товара) исчисляются по формуле:

где А – затраты, связанные с амортизацией, эксплуатацией и ремонтом оборудования склада, руб.; n – оборачиваемость товара (365 дней : t>3>); здесь t>3> – средняя продолжительность срока хранения товара на складе, т.е. товарный запас в днях; Q – вес товара, размещенного на оборудовании склада, т.
Единовременные затраты (в рублях на 1 т товара) определяются следующим образом:

где С>Т> – стоимость оборудования, размещенного на данном складе.
При альтернативном выборе системы складирования на основе применяемого при этом оборудовании оптимальным является вариант с максимальным значением показателя эффективности использования складского объема при минимальных затратах. Осуществляя выбор систем складирования на практике, необходимо помнить, что в одном складском помещении возможно сочетание различных вариантов в зависимости от перерабатываемого груза.
3. Склады металлов
По назначению склады промышленных предприятий подразделяются следующим образом: склады материально-технического обеспечения (сырья, материалов, комплектующих); склады готовой продукции; производственно-технологические склады (незавершенного производства, тары, инструмента, остатков и отходов).
Складирование сырья, материалов и готовой продукции необходимо в связи с колебаниями циклов производства, транспортировок и потребления. Склады разных типов могут создаваться в начале, середине и конце транспортных грузопотоков или производственных процессов для временного накапливания грузов и своевременного снабжения производства материалами в нужных количествах. Временное складирование (накапливание) готовой продукции обусловлено характером производства, транспорта и сбыта. Оно позволяет преодолеть временные, пространственные, количественные и качественные несоответствия между наличием и потребностью в процессе производства и реализации продукции.
Структура складских хозяйств разных предприятий зависит от специфики производственного процесса, типа производства и объема выпуска продукции, хотя их общей особенностью является то, что склады промышленных предприятий характеризуются относительной однородностью перерабатываемых грузов, ритмичностью поставок потребителю и большими объемами хранения и переработки.
В настоящее время общепринятой является следующая классификация складов промышленных предприятий: – по характеру деятельности, т. е. по назначению – склады материальной продукции (снабженческие), внутрипроизводственные (межцеховые и внутрицеховые), сбытовые; – по виду и характеру хранимых материалов – универсальные и специализированные; – по типу конструкции – закрытые, полузакрытые, открытые, специальные (например, бункерные сооружения, резервуары); – по месту расположения и масштабу действия – центральные, участковые, прицеховые; – по степени огнестойкости – несгораемые, трудносгораемые, сгораемые. Складское хозяйство решает следующие задачи: – планирование транспортно-складских работ; – приемку, обработку (в том числе сортировку) грузов; – организацию надлежащего хранения (создание условий для исключения повреждений и порчи; поддержание необходимой температуры, влажности);
– постоянный контроль и учет движения материальных ценностей; – своевременное обеспечение производственного процесса материалами, комплектующими изделиями и т. д.; создание условий, предотвращающих хищение материальных ценностей; – строгое соблюдение противопожарных мер безопасности (особенно на складах ГСМ, легковоспламеняющихся жидкостей и газов, красок и лаков, резинотехнических изделий, химикатов и т. п.); – комплектование готовой продукции, ее консервацию, упаковку, подготовку отгрузочной документации и отгрузку.
Склады металлов разнообразны как по хранимым и перерабатываемым на них материалам (черные и цветные металлы), так и по физическим характеристикам грузов (черный прокат сортовой, тонко- и толстолистовой, чушки, проволока в бухтах, метизы и так далее), а также — по типу, назначению, строительной части (открытые, закрытые отапливаемые, неотапливаемые склады) и так далее.
Склады металлопроката для механизации перегрузочных и складских работ оснащаются специализированным оборудованием, параметры и конструкции которого соответствуют особенностям характеристик этих грузов. К таким особенностям металлопроката относятся: большая длина (до 9—12 м); малые размеры в поперечном сечении (40—50 мм); большая масса груза (масса пакетов или связок до 10 т); необходимость в ряде случаев выдачи металлопроката отдельными прутками или листами из пачек и связок и так далее.
Основные виды оборудования, необходимого для механизированной переработки на складах металла: складская тара (поддоны-лотки), стеллажи, штабелирующее оборудование, напольные средства перемещения металлопроката, грузозахватные приспособления для кранов и других грузоподъемных машин, оборудование для взвешивания, обвязки и развязки пачек и связок металла, торцевания и так далее.
Для переработки металлопроката россыпью на складах применяется специальная тара — поддоны-лотки, которые позволяют перемещать металлопрокат укрупненными грузовыми единицами и в то же время обеспечивают при необходимости возможность поштучной выдачи металлопроката отдельными прутками. Применяют лотки трех типов: неразрезные решетчатой конструкции, разрезные из листового металла и комбинированные. Расход металла на один решетчатый лоток грузоподъемностью 5т — 200-- 250 кг, на 1 лоток из листа — 350—400 кг. Лотки из листа могут перемещаться по роликовым конвейерам, а решетчатые — только кранами или на тележках (поскольку они имеют в нижней части ножки).
Основные требования к стеллажному оборудованию для металла — такие же, как и для стеллажей для грузов других типов: наиболее полное использование объемов складских помещений; возможность выдачи любого груза без перемещения грузов других наименований; минимальный расход металла на изготовление и так далее.
Спецоборудование для складов
Стоечные и елочные стеллажи обслуживаются стреловыми и козловыми кранами (на открытых складских площадках) и мостовыми кранами (в закрытых складах и на открытых площадках). Консольные стеллажи обслуживаются автопогрузчиками, мостовыми и стеллажными кранами-штабелерами. Применение передвижных стеллажей позволяет лучше использовать объемы складских помещений для многономенклатурных складов металлопроката. Для хранения (особенно цветных металлов) могут быть использованы и обычные каркасные или полочные стеллажи с расстоянием между стойками до 3—4 м. В качестве подъемно-транспортного оборудования для переработки металлопроката на складах используются:
- мостовые краны — для погрузки и разгрузки транспортных средств (полувагонов, автомобилей, тележек и т. д.), механизации комплектовочных работ на открытых и закрытых складах и для обслуживания зон хранения металлопроката на открытых крановых эстакадах;
- козловые краны, стреловые железнодорожные и башенные краны-погрузчики — на открытых складах металла для погрузки и разгрузки вагонов и автомобилей, обслуживания зон хранения грузов и механизации комплектовочных работ;
- консольные передвижные краны и электротали — для погрузки и разгрузки автомобилей и механизации комплектовочных работ на закрытых складах металлопроката;
-мостовые краны-штабелеры — для обслуживания зон хранения металлопроката, погрузки и разгрузки автотранспорта на закрытых и открытых складах металла;
- автопогрузчики с боковым выдвижным грузоподъемником — на открытых складах металлопроката для обслуживания стеллажей в зонах хранения;
- стеллажные краны-штабелеры с ручным и полуавтоматическим управлением и электропогрузчики с боковым выдвижным грузоподъемником — для обслуживания зон хранения металлопроката на закрытых складах.
Существуют мостовые краны-штабелеры с вилочным грузозахватом как общего назначения, так и краны специальные, с телескопическим грузозахватом. На небольших складах металлопроката наиболее эффективно применение автопогрузчиков с боковым выдвижным грузоподъемником моделей 4063, 4065, 4070, на средних по размерам складах — мостовых кранов-штабелеров, а при больших грузопотоках и запасах хранения металла — стеллажных кранов-штабелеров и высотных консольных стеллажей.
Для внутрискладских перемещений металлопроката, а также для приема и выдачи его в цехи-потребители со складов промышленных предприятий используются рельсовые тележки или приводные роликовые конвейеры. Работа этих механизмов может быть автоматизирована.
Грузозахватные приспособления делятся на клещевые, эксцентриковые, электромагнитные. Применяют электромагниты постоянного тока напряжением 220 В, круглой и прямоугольной формы. Грузоподъемность их достигает 10 т. Для применения грузоподъемных электромагнитов на кранах устанавливается дополнительное оборудование — выпрямитель тока.
Электромагниты применяют для перегрузки чушкового чугуна, лома черных металлов, металлической шихты для литейных цехов, листовой стали. Есть примеры оснащения грузоподъемными магнитами погрузчиков, что позволяет механизировать перегрузку металла при небольших грузопотоках и отсутствии кранов.
К вспомогательному оборудованию складов металла относятся торцеватели, взвешивающие устройства, устройства для обвязывания пачек металла лентой и проволокой для отмер а и резки стальных пакетов, проволоки, ленты и другие. Торцеватель служит для выравнивания прутков металла по длине перед укладкой их в лотки и на места хранения. Выравнивание осуществляется под действием собственного веса металлопроката при подъеме одного конца лотка краном или другим грузоподъемным устройством.
При организации складов металлов на предприятиях придерживаются двух принципов: специализации складов по производственному назначению металлов с учетом основных их потребителей или соответствия конструктивно-технического устройства складов особенностям хранения родственных номенклатурных групп металла.
Разнообразная номенклатура металлопродукции и различная степень ее подверженности разрушению обусловливают и разные способы хранения.
Открыто хранятся металлические конструкции, крупные профили проката и труб, кузнечные и осевые заготовки, толстолистовой металл, чугунные отливки. Под навесами хранят металлические конструкции из проката малых профилей, рядовой прокат средних и малых профилей, трубы газовые, катаные, цельнотянутые, радиаторы отопления.
В закрытых неотапливаемых помещениях складов хранят тонколистовую кровельную сталь, прокат качественных сталей, тонкостенные трубы, проволоку, стальную и чугунную арматуру парового и водяного отопления, конструкционные стали, металлоизделия, приборы.
В закрытых отапливаемых помещениях хранят высококачественные и легированные стали, пружинную проволоку, мелкие металлоизделия точной обработки, прокат цветных металлов, олово, кальциевые баббиты, чувствительные приборы. Главное требование при хранении металлопродукции — это защита от коррозии.
Коррозия металла происходит от воздействия воды, паров, кислот, щелочей, солей, газов и т. д. Чем менее гладкая поверхность металла, тем интенсивнее разрушение его от коррозии.
Менее подвержены коррозии цветные металлы. Исключением является олово, которое во время хранения при температуре —20°С превращается в непригодный порошок.
Взаимодействуя со влагой воздуха, металлы могут подвергаться коррозии и под навесами, и в помещениях. Поэтому применяют дополнительные, а точнее первичные способы защиты металла.
Металлические конструкции и детали, подлежащие хранению и не окрашиваемые после их установки и монтажа, подвергаются предварительной окраске различными смесями пигментов с высыхающими маслами. Распространенными пигментами являются свинцовые и цинковые белила, сажа, сурик и др. В качестве растворителя и основы краски применяется олифа.
Обмазка производится расплавленными органическими веществами — нефтяными битумами. С ее помощью достигается толщина защитного слоя, необходимая, например, для изоляции водопроводных и газовых труб, укладываемых в земле. Для физической защиты обмазки трубы обматывают плотной бумагой.
Смазка применяется для относительно непродолжительной защиты металла и металлоизделий от коррозии при временном хранении на складе. Для смазки применяют технический вазелин, ланолин, асфальтовый лак, мазут без примесей кислот и щелочей, льняное масло с примесью небольшой дозы свинцового сиккатива. Последними двумя видами консистентных смазок покрывают метизы, проволоку, сетки, скобяные материалы и т. п.
Складские сооружения для хранения металла
В соответствии со способами хранения металла и металлоизделий предусмотрены и соответствующие складские сооружения для их хранения.
Площадки с бетонным или замощенным твердыми породами естественного камня основаниями обслуживаются автокранами, автопогрузчиками или козловыми кранами. На открытых крановых эстакадах с твердым основанием работают мостовые краны, которые перемещаются по подкрановым путям, уложенным на верхние выступы (консоли) двух рядов железобетонных или металлических колонн. Ширина эстакады примерно равна рабочему пролету крана. В пределы крановой эстакады вводится железнодорожный путь.
Если при мостовых и бесконсольных козловых кранах безразлично, на каком удалении от опор крана (естественно, в пределах межопорного пространства) размещается железнодорожный путь, то при консольных кранах его размещают на возможно большем удалении от продольной оси складов металла или поперечной оси козлоеого крана, т. е. продольная ось вагона должна размещаться под концом консоли крана (крайней точкой рабочего пролета крана). Этим достигается значительный экономический выигрыш, так как повышается эффективность использования складской площади за счет выноса продольной половины подъездного железнодорожного пути за пределы склада. Такой рационализации использования площади нельзя добиться при применении мостовых и бесконсольных козловых кранов, поскольку подъездной путь всегда остается между опорами таких кранов и полностью в пределах их рабочих пролетов.
Открыто хранимые крупные профили проката и труб укладывают в штабеля высотой 2—3 м с прокладками или без них. Рельсы, балки, швелеры укладывают на подошву и полками вверх с прокладками из дерева через один-два ряда. Применяется укладка и плашмя, встык — полка к полке и с перевязкой между собой в каждом ряду.
Трубы больших диаметров хранятся в штабелях на подкладках в один или несколько рядов по высоте. Трубы среднего диаметра укладываются в перекрестном направлении раструбами в противоположные стороны. Крупные профили углового железа укладываются углом вверх и ребрами вниз. При таком способе хранения металл меньше подвергается коррозии. Толстолистовую сталь при больших объемах хранят плашмя, без прокладок, если в качестве грузозахватного приспособления применяется электромагнит, и с прокладками при использовании автопогрузчика.
При малых количествах толстолистовую сталь хранят в вертикально-наклонном состоянии в стоечных стеллажах.
Склады металла и металлоизделий закрытого типа бывают отапливаемыми и неотапливаемыми.
В отапливаемых складах хранят легированные и калиброванные стали, цветные металлы и металлоизделия. Эти склады оснащены вентиляционными установками, температура в них поддерживается в пределах 12—16° С, а относительная влажность воздуха — 50%.

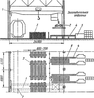
Рис.1 закрытый склад металла с внутренней разгрузкой: 1 — мостовой кран; 2 — грузозахватное устройство; 3 — стоечные стеллажи; 4 — рольганги; 5 — станок заготовительного отделения; 6 — стеллажная площадка; 7 — ветвь железнодорожного пути
В неотапливаемых складах хранят прокат средних и малых профилей, черные металлы и металлоизделия. По назначению, специализации и сфере действия склады металла бывают: базисные (территориальные, размещаемые в центрах промышленно-экономических районов); Центральные сбытовые (металлургических заводов-поставщиков); прицеховые (готовой продукции цехов-изготовителей металлургических заводов); общезаводские (предприятий-потребителей металла); прицеховые расходные (предприятий-потребителей).
В качестве подъемно-транспортного оборудования на складах металла применяются мостовые, козловые и башенные краны (при больших и средних объемах работ); передвижные стреловые краны на автомобильном, гусеничном, железнодорожном ходу, а также автопогрузчики и электротельферы при малых объемах работ.
Грузоподъемность механизмов — от 5 до 20 т (чаще до 10 т). Основные виды грузозахватных приспособлений кранов — канатно-тросовые захваты, вилки, электромагниты.

Рис.2 Прицеховой полузакрытый склад металла с внешней разгрузкой: 1 — места размещения стеллажей для хранения металла; 2 — монорельс для перемещения тельфера; 3 — тельфер
Металл и металлоизделия на открытых и в закрытых складах хранят в зависимости от вида металлопродукции в стеллажах различного типа (стоечных, пирамидальных, консольных - консольные стеллажи, клеточных).
Прицеховой закрытый и полузакрытые склады металла соответственно с внутренней и внешней разгрузкой представлены на рисунках выше.
Передовые методы организации работ на металлобазах и складах металла и металлоизделий, концентрирующих большое количество продукции и обслуживающих сотни и тысячи потребителей, направлены на ускорение процессов отгрузки металла, документального оформления, сокращение простоев транспортных средств. На складах можно организовать предварительный газорезный раскрой листовой стали и длинномерного проката по заказам потребителей. Помимо оказания услуг потребителям эта система обслуживания потребителей предотвращает излишний отпуск металлопродукции, а также упрощает сбор и утилизацию ее отходов после подработки.
Передовые методы организации работ в закрытых складах металлопродукции основаны, в частности, на применении высотных стеллажей и сборных стеллажей с использованием кассет для хранения металла, штабелируемых в 5—6 ярусов и обслуживаемых специальными кранами-штабелёрами мостового и стеллажного типа, работающими в автоматическом или полуавтоматическом режиме.
На открытых складах
металла передовые методы работы основаны
на применении кранового оборудования
с магнитно-механическими (магнитно-грейферными)
захватами цикличного и одновременного
действия, а также накопителями. Это
позволяет увеличивать высоту укладки
пакетов металла на складе с 2 до 4 л,
сокращать порожние и малогруженные
пробеги кранов более чем на 30%.







