Банковская статистика (Контрольная)
Московский Государственный Университет Экономики, Статистики и Информатики
Контрольная работа по курсу
«Банковская статистика »
Выполнил:
Москва 1997
Задача №1
1. По данным вашего варианта (таблица 1) построить ряд распределения по 30 коммерческим банкам (группировка по привлеченным ресурсам).
таблица 1
-
Назание банка
Привлеченные ресурсы
АК Б Торибанк
155729
Автобанк
101
АвтоВАЗбанк
491686
АКБ Енисей
16826
АКБ Софинтрейд
196170
Башкредитбанк
154317
Башпромбанк
297613
Газпромбанк
32935
Гута банк
82060
Еврофинанс
653123
Запсибкомбанк
893982
Импэксбанк
12511
ИнтерТЭКбанк
737797
Конврсбанк.
110261
Кредо банк
105771
Кузбаспромбанк
42226
Международный пром-ый
106720
Межкомбанк
18669
Московский нац. Банк
20893
Мосстройэкономбанк
42534
Мост-банк
10981
Нефтехимбанк
64928
Омскпромстройбанк
181397
П ромрадтехбанк
1482119
Петровский
327621
Промышленно-строит. банк
10545
Ростэстбанк
2269172
Челиндбанк
667271
Произведем группировку с произвольными интервалами с помощью коэффициента вариации, определяемого по формуле:
г
де
— среднее
квадратическое отклонение, x
— средняя арифметическая.
|
№ группы |
Группы банков по количеству привлеченных ресурсов |
Число банков, входящих в группу |
Название банка |
Количество привлеченных ресурсов (млн.руб.) |
|
1 |
Менее 10000 |
1 |
Автобанк |
101 |
|
Промышленно-строит. банк |
10545 |
|||
|
Мост-банк |
10981 |
|||
|
2 |
10000—30000 |
6 |
Импэксбанк |
12511 |
|
АКБ Енисей |
16826 |
|||
|
Межкомбанк |
18669 |
|||
|
Московский нац. Банк |
20893 |
|||
|
Газпромбанк |
32935 |
|||
|
3 |
30000—80000 |
4 |
Кузбаспромбанк |
42226 |
|
Мосстройэкономбанк |
42534 |
|||
|
Нефтехимбанк |
64928 |
|||
|
Гута банк |
82060 |
|||
|
Кредо банк |
105771 |
|||
|
Международный пром-ый |
106720 |
|||
|
4 |
80000—200000 |
8 |
Конверсбанк. |
110261 |
|
Башкредитбанк |
154317 |
|||
|
АКБ Торибанк |
155729 |
|||
|
Омскпромстройбанк |
181397 |
|||
|
АКБ Софинтрейд |
196170 |
|||
|
Башпромбанк |
297613 |
|||
|
5 |
200000—500000 |
3 |
Петровский |
327621 |
|
АвтоВАЗбанк |
491686 |
|||
|
Еврофнианс |
653123 |
|||
|
6 |
500000—900000 |
4 |
Челиндбанк |
667271 |
|
ИнтерТЭКбанк |
737797 |
|||
|
Запсибкомбанк |
893982 |
|||
|
7 |
900000— 2300000 |
2 |
П ромрадтехбанк |
1482119 |
|
Ростэстбанк |
2269172 |
2. А) По полученным рядам распределения определить привлеченные ресурсы в среднем на один коммерческий банк.
|
|
Группы банков по количеству привлеченных ресурсов |
Число банков, входящих в группу (f i) |
Середина интервала X i |
X i * f i |
| X i- X | |
| X i- X | f i |
2 ( X i- X ) |
2 ( X i- X ) f i |
|
1 |
Менее 10000 |
1 |
5000 |
5000 |
299107 |
299107 |
89464997449 |
89464997449 |
|
2 |
10000—30000 |
6 |
20000 |
120000 |
284107 |
1704642 |
80716787449 |
484300724694 |
|
3 |
30000—80000 |
4 |
55000 |
220000 |
249107 |
996428 |
62054297449 |
248217189796 |
|
4 |
80000—200000 |
8 |
140000 |
1120000 |
164107 |
1312856 |
26931107449 |
215448859592 |
|
5 |
200000—500000 |
3 |
350000 |
1050000 |
45893 |
137679 |
2106167449 |
6318502347 |
|
6 |
500000—900000 |
4 |
700000 |
2800000 |
395893 |
1583572 |
156731267449 |
626925069796 |
|
7 |
900000— 2300000 |
2 |
1600000 |
3200000 |
1295893 |
2591786 |
1679338667449 |
3358677334898 |
|
Итого: |
28 |
8515000 |
2734107 |
8626070 |
2097343292143 |
5029352678572 |

— в среднем на один коммерческий банк.
Б) Найти модальное и медианное значение привлеченных ресурсов.
|
Интервал |
Число банков, входящих в этот интервал |
Накопленные частоты |
|
Менее 10000 |
1 |
1 |
|
10000—30000 |
6 |
7 |
|
30000—80000 |
4 |
11 |
|
80000—200000 |
8 |
19 |
|
200000—500000 |
3 |
22 |
|
500000—900000 |
4 |
26 |
|
900000— 2300000 |
2 |
28 |
|
28 |
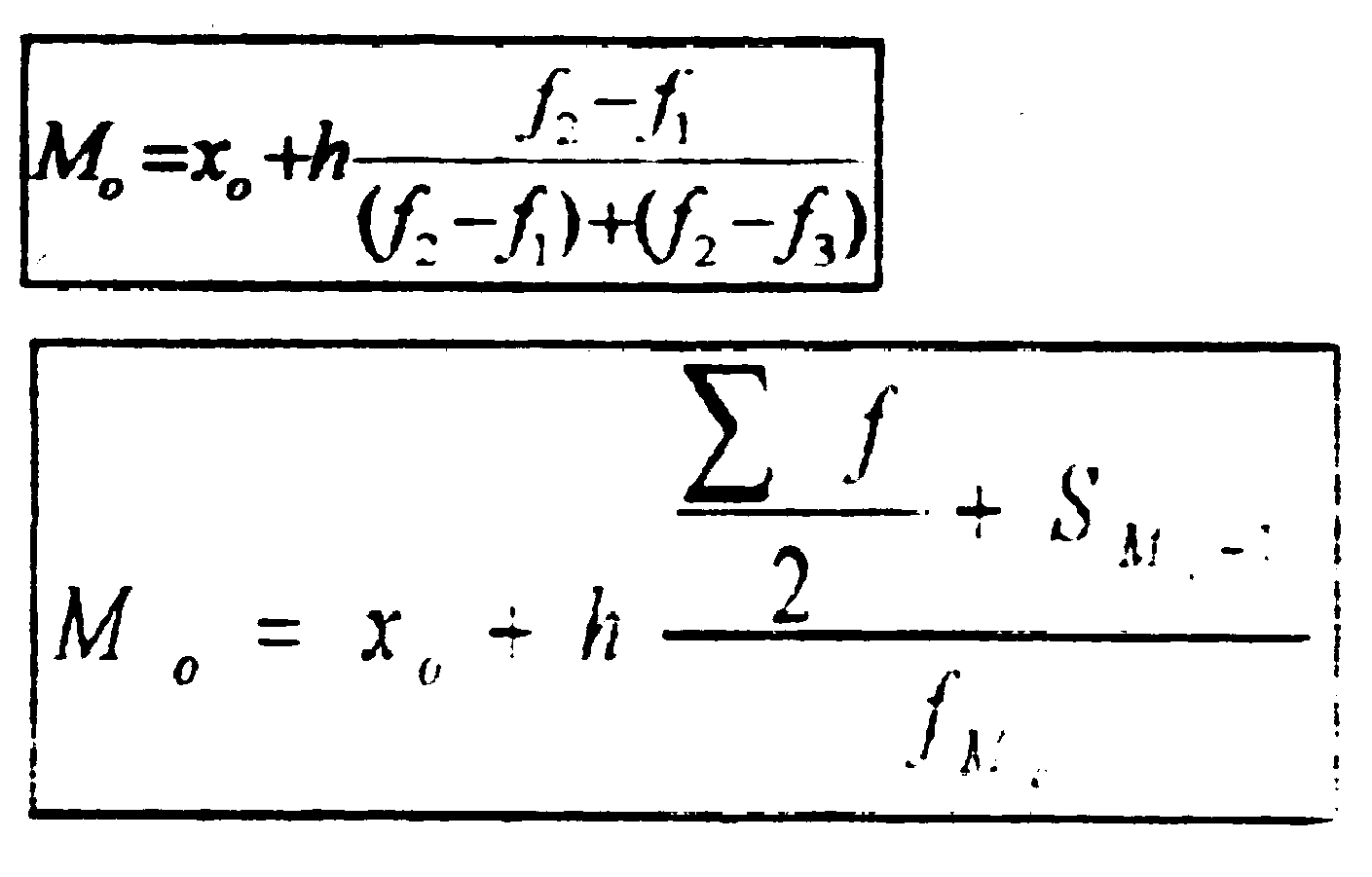
В
—модальное значение

—медианное значение
) По данному ряду распределения рассчитать размах вариации, среднеквадратическое отклонение, коэффициент вариации .


Размах вариации равен
Среднеквадратическое отклонение

Коэффициент вариации

Задача №2
На основе полученного ряда распределения построить структурную группировку этих же 30 банков. каждую выделенную группу охарактеризуйте 3-4 наиболее связанными и существенными показателями, имеющимся в вашей таблице, кроме абсолютных показателей. Выделенные группы охарактеризуйте относительными величинами структуры. Результаты изложите в табличной форме и сделайте выводы.
|
№ группы |
Интервалы |
Число банков в группе |
Относительный показатель структуры (%) |
Относительные показатели координации |
Относительный показатель сравнения (%) |
|
1 |
Менее 10000 |
1 |
3,6 |
0,13 |
16,7 |
|
2 |
10000—30000 |
6 |
21,4 |
0,75 |
150 |
|
3 |
30000—80000 |
4 |
14,3 |
0,5 |
50 |
|
4 |
80000—200000 |
8 |
28,6 |
1 |
266 |
|
5 |
200000—500000 |
3 |
10,7 |
0,38 |
75 |
|
6 |
500000—900000 |
4 |
14,3 |
0,5 |
200 |
|
7 |
900000— 2300000 |
2 |
7,1 |
0,25 |
|
|
Итого: |
28 |
100 |
Относительный показатель структуры (ОПС) представляет собой соотношение структурных частей изучаемого объекта и их целого. ОПС показывают какой долей обладают части в общем итоге, так, например, 4 группа составляет 28%, 2 — 21,4%, а 3 и 6 — 14,3%.
Относительные показатели координации характеризуют соотношение отдельных частей целого между собой при этом в качестве базы сравнения выбирается та часть, которая имеет наибольший удельный вес. В результате получают сколько единиц каждой структурной части приходится на одну единицу(сто,тысячу и т.д.) базисной структурной части
При расчете относительных показателей координации за базу примем 4 группу, так как в нее входит наибоьшее количество банков.
Относительный показатель сравнения представляет собой соотношение одноименных абсолютных показателей. Характеризующих разные объекты. Так, например, количество банков в 1 группе составляет 16,7% от количества банков во 2 группе, во 2 группе количество банков в 1,5 раза больше, чем в 3 группе, а в 6 группе в 2 раза больше, чем в 7.
