Полуточка: модель скорости
Полуточка: модель скорости
Каратаев Евгений Анатольевич
Настоящая статья строит модель скорости в рамках модели полуточки и приводит две простых иллюстрации, демонстрирующие и иллюстрирующие модель скорости в общеизвестных случаях поступательной и вращательной скорости. В статье приводится в основном модель скорости, и разбор отдельных случаев скорости и её видов представляется либо темой отдельной статьи, либо большой работы о кинематике, выраженной на языке гиперкомплексных чисел.
Для понимания предлагаемой модели скорости частично повторим основные положения модели полуточки и модели миров.
Точка пространства испытывает изменение при переходе от одной системы отсчёта к другой:
|
|
(1) |
Считается, что точка
принадлежит
миру с временем
:
|
|
(2) |
В этой статье понятия системы координат и системы отсчёта полагаются совпадающими. Полагается, что положение точки и её состояние измеряются в некоторой идеальной системе, выбираемой наблюдателем по его усмотрению.
Состояния точки в два различных момента времени могут быть определены относительно одной и той же системы координат. Будем полагать, что из первого состояния во второе можно попасть, совершив преобразование системы координат:
|
|
(3) |
Здесь величина
определяет
преобразование, которое следует совершить
для такого перехода. При этом
есть
разность времён этих двух миров:
|
|
(4) |
Также будем полагать, что эти два состояния разделены друг от друга бесконечно малым расстоянием во времени:
|
|
(5) |
Под скоростью будем понимать величину,
определенную классическим способом:
Если величина
зависит
от величины
,
и с течением
величина
испытывает
изменение, то скоростью называется
предел отношения приращений величин
и
:
|
|
(6) |
Ещё одно небольшое отступление нужно сделать для описания и выбора точной модели преобразования Пуанкаре. Дело в том, что пока рассматриваются лишь пространственно-временные преобразования, им в действительности удовлетворяет два различных преобразования:
|
|
(7) |
и
|
|
(8) |
Здесь в первом случае используется скалярно-векторное сопряжение, во втором - скалярно-алгебраическое. Для того, чтобы выявить, в чем они различаются с точки зрения группы Пуанкаре, распишем их операторное представление:
|
|
(9) |
|
|
(10) |
|
|
(11) |
Видно, что эти два оператора отличаются псевдоскалярной частью параметра. В силу того, что её можно вынести из оператора преобразования, оба варианта могут быть представлены как:
|
|
(12) |
|
|
(13) |
где через
обозначен
оператор
с
вынесенной псевдоскалярной составляющей
из его параметров:
|
|
(14) |
Таким образом, предстоит сделать выбор между двумя вариантами преобразований: 1) использовать скалярно-векторное сопряжение или 2) использовать скалярно-алгебраическое сопряжение. Выберем вариант 1 с отбрасыванием рассмотрения псевдоскалярной составляющей параметра преобразований в силу того, что пока в наши цели не входит рассмотрение псевдоскалярных преобразований и в силу того, что векторное сопряжение удобнее в силу его линейности.
А именно:
|
|
(15) |
|
|
(16) |
Поэтому мы можем выполнить дальнейший вывод более наглядно.
В силу того, что величина
и
её приращение являются скалярами, имеем:
|
|
(17) |
И в случае когда
мало,
имеем:
|
|
(18) |
|
|
(19) |
Используя это соотношение для преобразования полуточки, распишем выражение для преобразования точки:
|
|
|
|
|
|
|
|
|
(20) |
Оставив члены первого порядка малости
по
:
|
|
(21) |
Используя определение полуточки

получим:
|
|
(22) |
Положив точку функцией величины
и
сравнив с разложением её в ряд Тейлора
в окрестности
,
получим:
|
|
(23) |
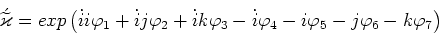
Это выражение и является определением
скорости точки
,
если она движется во времени
,
испытывая в каждый его момент преобразование
Пуанкаре:
|
|
(24) |
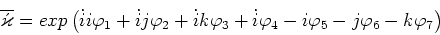
Выражение (23) является скалярно-векторно сопряжённым самому себе:
|
|
(25) |
То есть абсолютное приращение точки
выполняется
несмотря на произвольность величины
так,
что точка
остается
сама себе скалярно-векторно сопряжённой.
Отметим также, что в силу свойства точки
верно
равенство:
|
|
(26) |
Далее...
Придерживаясь модели полной группы
Пуанкере, мы должны считать величины
и
дуальными
бикватернионами, имеющими 16 компонент.
В силу требования скалярно-векторной
сопряжённости самой себе точка часть
компонентов имеет нулевыми.
Для понимания дальнейшего вывода
представим величины
и
в
виде, явно содержащем разделение на
главную и дуальную части:
|
|
|
|
|
|
|
|
|
(27) |
Здесь индексом
обозначены
главные части, а индексом
-
дуальные. Пользуясь введенным обозначением,
распишем выражение скорости:
|
|
|
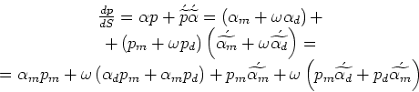
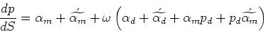
Сгруппировав главные и дуальные части, получим:
|
|
(28) |
Используя это разложение в главных и
дуальных частях и задавая различные
частные случаи величин
,
,
и
,
оценим характер вклада в скорость точки
отдельных
величин
и
.
А также найдём их сопоставление отдельным
общеизвестным скоростям.
Случай 1.
Зададим точку
как
дуальный вектор с единичной главной
частью:
|
|
(29) |
а величину
как
дуальный вектор с нулевой главной
частью:
|
|
(30) |
Тогда, используя разложение (29), найдем скорость точки при таком преобразовании:
|
|
(31) |
В силу того, что выбрано условие
,
имеем:
|
|
(32) |
Таким образом, в приведённых выше
условиях величина
является
линейной скоростью приращения дуальной
части
.
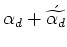
В силу того, что в состав величины
входит
как полярная, так и дуальная части, то
есть:
|
|
(33) |
то в силу свойств функций
и
,
определённых как
|
|
(34) |
|
|
(35) |
И имеющих свойства сопрягаться:
|
|
(36) |
|
|
(37) |
Имеем равенство для первого случая:
|
|
(38) |
Или: величина
является
линейной скоростью изменения вектора
.
Случай 2. Выберем величины
и
такими,
что выполняются следующие условия:
|
|
(39) |
Используя выражение (29) с этими условиями, получим:
|
|
(40) |
В силу выбора
и
свойства (38) имеем:
|
|
(41) |
И, также в силу свойства (38), в выражении скорости остаются члены:
|
|
(42) |
Переведя величины
и
в
векторную запись и раскрыв произведение
по правилу произведения кватернионов,
получим:
|
|
(43) |
где с помощью скобок [] обозначено
традиционное векторное произведение
3-х мерных векторов
и
.
Или: величина
является
угловой скоростью вращения вектора
.
Таким образом, величины
и
имеют
всем хорошо известные механические
кинематические интерпретации.
Целью настоящей работы было дать модель
скорости и её иллюстрация в частных
случаях. Поэтому полный разбор сочетаний
и
здесь
не рассматривается и автор полагает,
что такое рассмотрение должно стать
темой отдельной работы, посвящённой
именно этому вопросу.
К будущим исследованиям могут быть
отнесены: величины
и
,
а также отдельное исследование главной
части точки
.
В данной работе рассматривалась лишь
её дуальная составляющая. Но общая
модель преобразования Пуанкаре
потребовала объединения в одну величину
дуальной и главной частей вектора
,
существенно увеличив его размерность.
Автор полагает, что будущие исследования
покажут оправданность такого объединения.
Кроме того, остаётся совершенно
нерассмотренной возможность замены
скалярно-векторного сопряжения на
скалярно-алгебраическое в преобразовании
Пуанкаре и следствия такой замены.
Список литературы
Для подготовки данной применялись материалы сети Интернет из общего доступа











































