Скалярная проекция гиперкомплексных чисел
Скалярная проекция гиперкомплексных чисел
Каратаев Е.А.
Введение.
При первой же попытке рассмотрения гиперкомплексных чисел в качестве основания для соответствующей геометрии возникает желание найти в гиперкомплексных числах аналоги геометрических понятий. И одной из первых трудностей становится поиск аналога скалярного произведения. Если в геометрии есть проекция отрезка, в векторной алгебре есть скалярное произведение, то чему же это понятие соответствует в гиперкомплексных числах?
Стремление к общности определения наталкивается на ряд понятий, которые оказались введены в классическом подходе в виде, как говорят студенты, “подгонки”. И скалярное произведение, и сопряжение, как оказалось, были введены в математику аксиоматически и теоремы, использоваашие их определение, естественным образом подтвердили их свойства, вытекающие однозначным образом из их определения.
Классическая форма (билинейная форма) была использована, например, в теореме Гурвица и тем самым было введено ограничение на набор рассматриваемых алгебр. Дальнейшие попытки развития теории гиперкомплексных алгебр пошли не по пути рассмотрения свойств алгебр, образующихся путем удвоения и использования этих свойств, а по пути рассмотрения алгебр над полями со все более глубокой их структуризацией.
Мне хотелось бы до конца выяснить вопрос - что является аналогом скалярного произведения в гиперкомплексных числах и, сравнив два подхода, выяснить, где находятся белые пятна классического подхода. И скромно предположить направление исследований, которое может дать, возможно, полезные в технике и физике результаты.
Скалярное же произведение в классической геометрии, определяемое в виде билинейной формы, к гиперкомплексным числам не подходит в общем случае, поскольку автоматически означает и требование билинейности квадрата модуля. А таким требованиям отвечает меньшая часть алгебр. Остальные имеют определение 4-й степени модуля в виде 4-х линейной формы, или, возможно, еще более высокого порядка.
В этой статье и предпринимается попытка отыскания формально общего определения скалярного произведения в форме, допускающей его применение к таким алгебрам с 4-х линейными формами.
1. Классический подход.
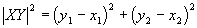
Возьмем на плоскости два вектора


Обозначим концы данных векторов соответственно через X и Y. Из формулы для расстояния между двумя точками имеем:



откуда следует
(1)
Из этого равенства, если учесть теорему
Пифагора, легко увидеть, что необходимым
и достаточным условием перпендикулярности
и
является

Заметим, что если это же рассуждение применить к векторам не на плоскости, а в пространстве, то получим условие перпендикулярности в аналогичной форме:

Формула (1) наводит на мысль связать с
каждой парой векторов
и
на
плоскости число
(2)
а в пространстве - число
(2’)
Это число в геометрии называют скалярным
произведением векторов
и
и
обозначают (x,y). Заметим, что длина
произвольного вектора x выражается
через скалярное произведение. А именно,
в случае плоскости

а в случае пространства

Вышеприведенный ход рассуждений взят из книги [1] и является своего рода образцом. Отмечу еще раз, что скалярное произведение вводится на основе теоремы Пифагора, а не наоборот, как иногда пытаются доказать ленивые студенты.
К основным свойствам скалярного произведения относят:
1)
,
причем (x,x) только при x = 0
2) (x,y) = (y,x)
3) (x,ky) = k(x,y) где k - любое действительное число
4) (x,y+z)=(x,y)+(x,z)
При любом обобщении, как пишут Кантор и Солодовников, понятия скалярного произведения на n - мерный случай желательно, чтобы свойства 1) - 4) сохранили силу. Ввиду этого примем следующее определение.
Определение. Будем говорить, что в n - мерном векторном пространстве A>n> задано скалярное произведение, если каждым двум векторам x и y сопоставлено некоторое действительное число - обозначим его (x,y) - так, что выполнены свойства 1), 2), 3), 4). Число (x,y) будем называть скалярным произведением вектора x на вектор y.
В более общем виде скалярное произведение определяется как

где
-
базисные вектора.
Величины

являются постоянными числами, зависящими только от выбранного базиса. Таким образом, если выбран базис, то

Вышеприведенное классическое определение скалярного произведения сыграло в математике своего рода роль фундамента, причем весьма прочного и основательного. И к большому сожалению такой подход не дал результатов в финслеровых геометриях, когда величина вектора определяется не через билинейную форму, а через n - линейную.
2. Геометрическая трактовка проекции.
Для введения определения скалярного произведения в форме, допустимой к использованию, рассмотрим принцип формирования проекции и попробуем ее формализовать. Обратим внимание на обычные вектора в 2-х или 3-х мерном пространстве.

Проекцией назовем величину, равную расстоянию от начала координат до точки пересечения вектора A с перпендикуляром, построенным на него из точки B. Теперь представим себе, что пространство - это пространство компонент гиперкомплексного числа, и значит построить перпендикуляр мы пока не можем, поскольку это понятие еще не определено.
Теперь повернем оба наших аектора так, чтобы вектор A совпал с одной из осей. В этом случае проекция вектора B на вектор A определяется особенно просто - надо взять компоненту, соответствующую оси X, и эта величина и будет проекцией.
Для того, чтобы этот метода работал в произвольно взятой системе гиперкомплексных чисел Кэли - Диксона, выберем в качестве такой целевой оси для доворота действительную ось, поскольку в любой алгебре Кэли - Диксона определена действительная компонента.
Отметим тот факт, что поворот должен осуществляться в плоскости, проходящей через действительную ось и мы можем использовать механизм скалярно - пространственных поворотов, описанный в работе [2]. В случае использования алгебр, коммутативных по умножению, поворот может быть осуществлен так же, как на обычной комплексной плоскости, путем простого умножения на оператор поворота.
3. Скалярная проекция гиперкомплексных чисел.
Будем искать оператор поворота в виде

Будучи примененным к вектору A, этот поворот должен дать действительное число:

Несложно видеть, что этому уравнению удовлетворяет решение


Или, иначе говоря, сам вектор A и задает оператор поворота, на который следует его повернуть, чтобы получить действительное число.
Применив этот оператор поворота к вектору B, получим:

И для того, чтобы получить проекцию, следует взять действительную часть вектора B’ и провести соответствующую нормировку, поскольку указанным поворотом мы исказили величину модуля вектора B.

К числу весьма важных свойств скалярного произведения относится:

Поэтому, стремясь найти для гиперкомплексных чисел полную аналогию скалярному произведению, мы не будем использовать нормировок. В этом случае определенное выше правило выглядит как:

И для случая A = B переходит в

Перечислим еще раз свойства скалярного произведения в классическом варианте и найдем соответствия им в случае гиперкомплексных чисел:
1)
,
причем (x,x) только при x = 0
2) (x,y) = (y,x)
3) (x,ky) = k(x,y) где k - любое действительное число
4) (x,y+z)=(x,y)+(x,z)
Для первого свойства вышеприведенное правило построения проекции не подходит, поскольку


Поскольку даже для тех алгебр, для
которых
может
быть отрицательным числом, число
всегда
положительно, но исключение составляет
условие
(x,x) = 0 только при x = 0
Тут следует сделать оговорку, что в гиперкомплексных алгебрах случай идеалов вовсе не является исключением, поэтому для скалярной проекции гиперкомплексных чисел вполне возможно снять это условие и разрешить
при

Рассмотрим второе свойство скалярного произведения
(x,y) = (y,x)
В случае построения аналогии в нашем случае следует доказать, что

Для этого докажем промежуточные равенства:
a)

b)

Для доказательства равенства a) рассмотрим коэффициенты таблицы произведения мнимых единиц в алгебрах Кэли - Диксона:

где через
обозначены
мнимые единицы гиперкомплексной алгебры,
-
коэффициенты произведений. Для всех
гиперкомплексных алгебр Кэли - Диксона,
определенных подобной таблицей
произведений, выполняется


при

Таким образом, в произведении
в
действительной части
будут
присутствовать только четные степени
при
,
а нечетных не будет.
Обозначив через
элемент
алгебры, алгебраически сопряженный
элементу X, а через
-
сопряжение путем смены знаков у всех
коэффициентов при мнимых единицах,
получим:


Сопряжение
еще
можно назвать фазовым сопряжением,
поскольку сопрягается фаза числа.
Поскольку выражение для
определено
в виде полиномиального ряда, то в
будут
входить только четные функции от мнимых
компонентов фазы числа X. Поскольку
функции четные, например ch или cos, то
действительная часть
при
алгебраическом сопряжении не меняется:

Для доказательства промежуточного равенства b) рассмотрим также таблицу произведений мнимых единиц алгебр Кэли - Диксона:

Поскольку раскрыв произведение ab мы получим гиперкомплексное число, рассмотрим образование его действительной части. В нее входят:
- произведение действительных частей a и b.
- произведение одинаковых мнимых компонентов a и b.
Поскольку для алгебр Кэли - Диксона нельзя получить действительного числа из произведений

при

а две вышеприведенные составляющие не зависят от порядка сомножителей a и b, то, следовательно,

Для доказательства соответствия предложенной формы скалярной проекции второму свойству скалярного произведения просто преобразуем выражение:


Таким образом, если скалярному произведению
(x,y) сопоставлять
,
то правило коммутативности скалярного
произведения выполняется.
Соответствие предлагаемой формы скалярной проекции третьему свойству скалярного произведения проверяется непосредственно: если k - действительное число, то
,
поэтому

Для проверки соответствия четвертому свойству используем второе и проверим:
(x,y + z) = (y + z,x) = (y,x) + (z,x)
Распишем скалярную проекцию:

Поскольку для алгебр Кэли - Диксона сложение определено покомпонентно, то для любых двух чисел a и b:

Таким образом, введенная нами форма скалярной проекции соответствует четвертому свойству скалярного произведения:

4. Гиперкомплексное произведение как ортогональное преобразование.
В стандартном курсе векторной алгебры после введения понятия скалярного произведения вводится понятие ортогонального преобразования. Будем следовать классике. Преобразование называется ортогональным, если скалярное произведение двух векторов равно скалярному произведению их образов после преобразования. Обозначив преобразование вектора как F(x), получим:
(F(x),F(y)) = (x,y)
Ортогональным это преобразование называется из-за того, что если (x,y)=0, то и
(F(x),F(y)) = 0
То есть если два вектора были ортогональны, то будут ортогональны и их образы после такого преобразования.
Ясно, что ортогональное преобразование сохраняет и длину любого вектора:
|F(x)| = |x|
В алгебрах гиперкомплексных чисел одним из видов преобразования является произведение гиперкомплексного числа x на другое гиперкомплексное число a. Покажем, что в случае |a| = 1 такое произведение задает ортогональное преобразование, или что

и что при преобразовании



Для этого докажем равенство:
Re(abc) = Re(cab):


Поэтому выражение скалярной проекции равно:

Поскольку
,
то получим:

Таким образом, при задании преобразования числа x как умножения слева на число |a|=1 мы получаем ортогональное преобразование, сохраняющее модуль числа x и скалярную проекцию векторов ax и ay.
То же самое можно доказать и для умножения справа на число a, где |a|=1.

5. Выводы.
Нам удалось найти для гиперкомплексных алгебр аналог скалярного произведения, введенного в векторной алшебре. Его удалось дать в достаточно общей форме, распространимой на ассоциативные гиперкомплексные алгебры Кэли - Диксона. Полученная форма полностью соответствует четырем основным свойствам скалярного произведения. Проанализировав, в каком именно месте рассуждений мы отошли от классического варианта, несложно обнаружить, что мы нигде не потребовали и не использовали равенства:

Если бы мы потребовали его выполнения,
то мы естественным образом сузили бы
набор рассматриваемых гиперкомплексных
алгебр. Точно так же, как это было сделано
в теореме Гурвица: Любая нормированная
алгебра с единицей изоморфна одной из
четырех алгебр - действительных чисел,
комплексных чисел, кватернионов или
октав. Более того, равенство
у
него считается очевидным.
Автор надеется, что некоторая часть этой статьи может оказаться полезной и при работе с финслеровыми геометриями.
Москва, октябрь 2001.
Список литературы
1. И. Л. Кантор, А. С. Солодовников. Гиперкомплексные числа, М, Наука, 1973.
2. Е. А. Каратаев. Скалярно - пространственные повороты в кватернионах, http://karataev.nm.ru/sclvec/index.html