Метод решения уравнений Ньютона - Рафсона
Метод решения уравнений Ньютона - Рафсона
Метод Ньютона-Рафсона, также известный как Метод Ньютона, представляет собой обобщенный метод поиска корня уравнения
|
|
|
(1) |
Примем x = xj в
качестве j-го приближения к корню
уравнения (1). Предположим, что xj
не является решением.
Следовательно,
. Предположим также, что мы получили
разложение в ряд Тейлора для уравнения
(1) относительно точки x = xj:
|
|
(2) |
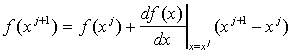
Если примем в качестве следующего члена x = xj+1, то уравнение (2) будет иметь вид:
|
|
(3) |
Теперь предположим, что справедливо необязательное допущение того, что предыдущее приближение xj было удовлетворительным, так что xj+1 - xj мало. Если это предположение верно, мы можем пренебречь членами более высокого порядка в уравнении (3), так как n-я степень малой величины значительно меньше, чем малая величина для n>=2. В этом случае уравнение (3) может быть аппроксимировано следующим образом:
|
|
(4) |
Нашей целью является выбор такого
xj+1, чтобы
оно стало решением уравнения (1).
Следовательно, если наше предыдущее
предположение справедливо, xj+1
должно быть выбрано таким, что
.
Приравняв уравнение (4) к нулю и решив
относительно xj+1,
получим:
|
|
(5) |
Уравнение (5) называется уравнением Ньютона - Рафсона. Если наше предположение, приведшее к выводу уравнения (5), справедливо, этот алгоритм будет сходящимся, но только в том случае, если точка начального приближения достаточно близка к точке решения. Геометрическая интерпретация сходящегося метода Ньютона - Рафсона приведена на рис. 1а.
|
|
|
|
а) метод сходится |
б) метод не сходится |
Рис.1. Геометрическая интерпретация метода Ньютона - Рафсона
Однако, если точка начального приближения далека от точки решения, то метод Ньютона - Рафсона может не сходиться совсем. Геометрическая интерпретация не сходящегося метода Ньютона - Рафсона приведена на рис. 1б.
Алгоритм
Назначение: поиск решения уравнения (1)
Вход:
Начальное приближение x>0>
Точность (число итераций I)
Выход:
x>I> - решение уравнения (1)
Инициализация:
calculate f’(x>0>)
Шаги:
1. repeat:
2. calculate x>i> using (5)
3. let i=i+1
4. if i>I then break the cycle
end of repeat
Модификация алгоритма Ньютона для решения системы нескольких уравнений заключается в линеаризации соответствующих функций многих переменных, т. е. аппроксимации их линейной зависимостью с помощью частных производных. Например, для нулевой итерации в случае системы двух уравнений:

Чтобы отыскать точку, соответствующую каждой новой итерации, требуется приравнять оба равенства нулю, т.е. решить на каждом шаге полученную систему линейных уравнений.
Список литературы
Для подготовки данной применялись материалы сети Интернет из общего доступа






