Новое о гравитационном константе G
НОВОЕ О ГРАВИТАЦИОННОЙ КОНСТАНТЕ G: ПЯТНАДЦАТЬ ЭКВИВАЛЕНТНЫХ ФОРМУЛ ДЛЯ ВЫЧИСЛЕНИЯ КОНСТАНТЫ G
Аннотация
Показано, что гравитационная константаG является составной константой, содержит в себе постоянную Планка h, скорость света c и другие константы и функционально с ними связана. В частности константа G имеет функциональную зависимость от следующих важнейших физических констант:
G=f (h> >,> >c, R>∞>, α, π<FONT)< B>
На основе группы универсальных суперконстант h>u , >l>u >, t>u >, α , π получены 15 эквивалентных формул для вычисления гравитационной константы G [2,3,5,6]. Найденное по этим формулам новое значение константы G равно:
G=6,67286741(89)• 10-11 m3 kg-1s-2.
Новое значение константы G вместо четырех цифр содержит 9 цифр [2,3,6]. Полученные результаты указывают на фундаментальную связь электромагнетизма и гравитации и на существование единого онтологического константного базиса, который является основой физических и астрофизических констант.
ВАЖНЕЙШАЯ КОНСТАНТА ФИЗИКИ И АСТРОФИЗИКИ
Большинство физических констант связаны законами физики с другими константами. Это является решающим фактором для определения каждой константы [17]. Однако такие константы как: гравитационная константа < FONT>G, отношение масс протон-электрон m>p>/m>e>, постоянная Хаббла H>0> считаются не связанн ыми вообще ни с какими другими константами. В отношении важнейшей физической константы G остается надежда на то, что удастся выявить ее связь с чем-либо в рамках будущей единой теории, которая должна объед инить все четыре взаимодействия.
Гравитационная константа G широко используется как в физических теориях,так и в практике, начиная с астрофизики и кончая космонавтикой [19]. Однако ее значение определено с недостаточной точностью. Как отмечает автор в [19]: "повышение точности знания G способствует углублению понимания физики гравитации и уточнению фундаментальных закономерностей смежных с ней отраслей знаний." Кроме того, все е ще остается открытым вопрос о природе гравитации и о сущности гравитационной константы G. Как известно, сама форма закона всемирного тяготения Ньютона – пропорциональность силы массам и обратная пр опорциональность квадрату расстояния, проверена с гораздо большей точностью, чем точность гравитационной константы G. Поэтому основное ограничение на точное определение гравитационных сил наклады вает константа G. Эта константа определена экспериментально. Науке пока неизвестно существует ли аналитическое соотношение для определения гравитационной константы, существует ли связь между кон стантой G и другими фундаментальными физическими константами. В теоретической физике эту важнейшую константу пытаются использовать совместно с константой Планка h и скоростью света c для создания квантовой теории гравитации и для разработки единых теорий. Поэтому, вопрос о первичности и независимости константы G выходит на первый план. Важно выяснить в какой степени зависимы или независимы другие фундаментальные константы. В этом клубке проблем работы по уточнению значения гравитационной константы приобретают особую актуальность. Одним из путей для решения этой задачи являются орбитальные гравитационные эксперименты. Космические исследования открывают тут новые возможности. Однако, как отмечается в [19], для этого потребуются "и компенсация сноса корабля, и высокая точность диагноза температурного и гравитационного полей, и наконец, очень высокая точность определения пространственного положения пробных тел. Кроме того, могут потребоваться дополнительные усилия по доставке корабля в либрационные точки и по обеспечению связи с ним". Сложность экспериментальных работ по уточнению гравитационной константы G заставляет искать другие способы определения ее точного значения.
СОСТАВНАЯ СУЩНОСТЬ КОНСТАНТЫ G
В [5-12] проведены исследования константы G и других фундаментальных физических констант. Ставилась задача выявить константы, которые могут претендовать на роль “истинно фундаментальных” констант. В результате была открыта группа первичных, независимых констант, из которых состоят важнейшие фундаментальные константы [2-9]. Таких первичных, независимых констант пять:
фундаментальный квант действия h>u >(h>u>=7,69558071(63)•10-37 J s),
фундаментальная длина l>u >(l>u>=2,817940285(31)•10-15 m),
фундаментальный квант времени t>u >(t>u>=0,939963701(11)•10-23 s),
постоянная тонкой структуры α (α =7,297352533(27)•10-3 ),
число π (π=3,141592653589).
Эти пять констант являются “истинно фундаментальными” константами и имеют онтологический статус. Константы, входящие в эту группу, являются первичными и независимыми константами. Чтобы подчеркнуть их “ист инную фундаментальность” они были названы универсальными суперконстантами [2]. Универсальные суперконстанты проистекают из свойств физического вакуума [2 - 12].
Размерные суперконстанты h>u>, l>u>, t>u> определяют физические свойства вакуума и являются константами фундаментального состояния материи [3 - 8]. Суперконстанты π и α определяют геометрические свойства пространства-времени. Суммой геомет рических (π , α) и физических (h>u>, l>u>, t>u> ) супер констант представлен онтологический базис фундаментальных физических констант (Рис.1).

Рис.1 Онтологический базис фундаментальных физических констант.
Группа, состоящая из пяти первичных суперконстант [2,8], позволила выявить важнейшую особенность гравитационной константы G. Оказалось, что эта константа является сос тавной константой и содержит в себе постоянную Планка h, скорость света c, постоянную тонкой структуры α и другие константы. Таким образом, гравитационная константа Ньютона функционально зависима от других фундаментальных констант. В частности, одной из функциональных зависимостей является следующ ая: G=f(h,c, R>∞>, α, π). Дальнейшие исследования показали, что константа G, как и другие фундаментальные константы, наиболее просто может быть выражена посредством единой группы констант – универсальных суперконстант [2-9]:
{G, m>pl>, c, h, … e, m>e>, R>∞>, μ>B>,> >Ф>о>} = f (h>u , >l>u >, t >u >, α , π).
Таким образом, подтверждается подход А.Пуанкаре, согласно которому утверждается дополнительность физики и геометрии [13]. Согласно этому подходу в реальных экспериментах мы всегда наблюдаем некую “сумму” физики и геометрии. Это значит, что экспериментально измеренные значения физических констант также должны содержать в себе "что-то от физики" и "что-то от геометрии". Как показано в [2 - 8], универсальные суперконстанты являются составляющими важ нейших физических констант. "Что-то от физики" и "что-то от геометрии" как раз несут в себе эти составляющие (универсальные суперконстанты) своим составом геометрических и физических суперконстант.
3. ПЯТНАДЦАТЬ ЭКВИВАЛЕНТНЫХ ФОРМУЛ ДЛЯ ВЫЧИСЛЕНИЯ КОНСТАНТЫ G.
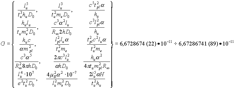
Группа универсальных суперконстант (h>u , >l>u>, t>u>, α, π) позволила выявить глобальную взаимосвязь фундаментальных констант и получить математические формулы для вычисления гравитационной константы G [2,3.5]. Ниже приведены 15 эквивалентных формул для вычисления гравитационной константы G. Часть из них ранее были опубликованы в [5, 6, 15]:
G = l>u>5/t>u>3h>u>D>o>, G = l>u>3/t>u>2 m>e> D>o> ,
G = l>pl>2 l>u> α/t>u>2 m>e>, G = 2πc3lu2/αhD>o>,
G = c3α2l>u>/2h R>∞> D>o> G = c3l>pl>2α/h>u>,
G = t>pl>2c2l>u> α/t>u>2 m>e>, G = c5t>pl>2α/h>u>,
G = l>u>4107/e2t>u>2D>o>, G = h>u>α2/4πt>u >m>pl>2R>∞>,
Из приведенных формул видно, что константа G выражается с помощью других фундаментальных констант очень компактными и простыми соотношениями. Все формулы для гравитационной константы сохраняют когерентность. В числе констант, с помощью которых представлена гравитационная константа, использованы такие константы: фундаментальный квант h>u>, скорость света c, постоянная тонкой структуры α, постоянная Планка h , число π, фундаментальная метрика пространства-времени (l>u>,t>u>), элементарная масса m>e>, элементарный заряд e, большое космологическое число D>o>> >[2, 14], планковские единицы длины l>pl>, массы m>pl>< /FONT>, времени t>pl>. Это указывает на единую сущность электром агнетизма и гравитации и на существование единого фундаментального базиса у всех физических констант. Это же подтверждают пять приведенных ниже дополнительных формул.
Используя константы h, c, R>∞>, απ, получим следующую формулу:
G =с3 α5/8 πh R>∞>2D0
Используя константы h>u, >l>u >, t>u,>m>e>, α, π, получим следующую формулу:
G = h>u>l>u>/t>u>m>e>2D>0>
Используя константы h>u>, c, α, m>pl>, пол учим следующую формулу:
G = h>u> c/α m>pl>2
Используя константы l>u, >магнетон Бора μ>B, >m>e>, α, π, получим следующую формулу:
G = 4μ>B>2α2·10-7/l>u> 2m>e>2D>o>
Используя константы l>u> , постоянную Хаббла H, t>u> , h>u>,α, получим следующую формулу:
G = 2l>u>5α H/t>u>2 h>u>
Все 15 формул являются эквивалентными. Отметим, что каждая из 14 формул допускает редукцию к формуле:
G = l>u>5/t>u>3h>u>D>o>
Таким образом, формулы показывают, что гравитационная константа G не является независимой. Она связана с важнейшими фундаментальными конста нтами.
4. ЭКСПЕРИМЕНТАЛЬНЫЕ ЗНАЧЕНИЯ КОНСТАНТЫ G.
Значение G было определено впервые английским физиком Г.Кавендишем в 1798 г. на крутильных весах путем измерения силы притяжения между дву мя шарами. Значение, полученное Г.Кавендишем:
G=6,740(50)• 10-11 m3kg-1s-2 .
В последующие годы измерения гравитационной константы продолжались. В 1982 году G.Luther и W.Towler получили значение [20]:
G=6,67260(50)• 10-11 m3kg-1s-2 .
Значение гравитационной константы, рекомендованное Комиссией по фундаментальным физическим константам CODATA в 1986 г.:
G = 6,67259 (85)• 10-11 m3kg-1s-2 .
В [20] приведены результаты измерений гравитационной константы, полученные разными авторами. Значения, полученные разными авторами, значительно отличаются. Эти значения представлены тремя-шестью цифрами. При этом лучшие экспериментальные значения не превышают пять-шесть знаков. Очевидно, это связано с тем, что измерение значений гравитационной константы сопряжено с большими трудностями. На точность измерения оказывает влияние множество факторов. В частности , на точность измерения константы G влияют некоторые космические ритмы (солнечные, лунные, звездные), которые пока не нашли какого-либо объяснения [20]. В 1996 году О.В.Карагиоз и В.П.Измай лов получили значение:
G=6,67290(50)• 10-11 m3kg-1s-2 .
Современное значение константы G, рекомендованное CODATA 1998 [1]:
G=6,673(10)• 10-11 m3kg-1s-2 .
5. НОВОЕ ЗНАЧЕНИЕ КОНСТАНТЫ G, ПОЛУЧЕННОЕ РАСЧЕТОМ.
Рекомендованное значение гравитационной константы претерпело такую метаморфозу: сначала CODATA 1986 предложил более точное значение, затем CODATA 1998 рекомендует менее точное значение. Из всех универсальных физических констант точность в определении G остается сам ой низкой. Среднеквадратическая погрешность для G на несколько порядков превышает погрешность других констант. Точность в три-пять десятичных знаков для важнейшей физической констант ы нельзя считать нормальным положением дел. На важность исследований, целью которых должно быть повышение точности фундаментальных физических констант, обратили внимание Тейлор и Коэн [18]: "Мы считаем, что в области фундаментальных констант должна бы ть проведена большая работа и что романтике следующего десятичного знака нужно отдаться со всей страстью не ради ее самой, но ради новой физики и более глубокого понимания природы, которая здесь еще скрывается от нас". Это в полной мере относится к г равитационной константе.
Используя приведенные выше формулы, значение гравитационной константы можно получить расчетом. При этом точность ее можно повысить сразу на несколько десятичных знаков и приблизить к точно сти электромагнитных констант. Все приведенные выше формулы дают новое значение константы G, которое по точности на четыре порядка(!) выше принятого на сегодня значения. Наибол ее точное значение гравитационной константы можно получить на основе использования следующих физических констант: скорости света в вакууме c, постоянной Планка h , постоянной Ридберга R>∞>, постоянной тонкой структуры α, числа π. Такое же точное значение гравитационной константы получается при использ овании универсальных суперконстант (h>u , >l>u >, t>u >, α , π). Новое значение константы G содержит 9 цифр [2]:

Таким образом, более чем за 200 лет своего существования гравитационная константа прошла несколько этапов, на которых ее значение считалось разным:

Значение гравитационной константы, полученное расчетом по приведенным выше формулам, оказалось наиболее точным.
6. СРАВНЕНИЕ РАСЧЕТНЫХ ЗНАЧЕНИЙ КОНСТАНТЫ G
Все приведенные 15 формул дают практически одинаковые значения гравитационной постоянной. Отклонения очень незначительные и наблюдаются в седьмом-девятом знаках, что связано с различной точностью тех констан т, посредством которых представлена гравитационная константа G.

По мере того, как будет возростать точность рекомендованных значений констант, можно будет с еще большей точностью вычислять значение грав итационной константы G. Отметим, что для этого достаточно иметь более точные значения двух констант - h и α [16].
В таблице приведены экспериментальные результаты [20] и расчетные значения константы G, полученные по приведенным выше формулам:
|
Кем и когда получено |
Формула |
Значение |
|
Cavendish, 1798 |
Нет |
6,740(50)• 10-11 m3kg-1 s-2 |
|
Luther, Towler, 1982 |
Нет |
6,67260(50)• 10-11 m3kg-1 s-2 |
|
CODATA 1986 |
Нет |
6,67259(85)• 10-11 m3kg-1 s-2 |
|
Karagioz, Izmaylov, 1996 |
Нет |
6,67290(50)• 10-11 N m2 kg-2 |
|
CODATA 1998 |
Нет |
6,673(10)• 10-11 m3kg-1 s-2 |
|
Kosinov, 2000 |
G = l>u>5/t>u>3h>u>D>o> |
6,67286741(93)• 10-11 m3kg-1 s-2 |
|
Kosinov, 2000 |
G = l>u>3/t>u>2 m>e> D>o> |
6,67286741(91)• 10-11 m3kg-1 s-2 |
|
Kosinov, 2000 |
G = c5t>pl>2α/h>u> |
6,67286742(97)• 10-11 m3kg-1 s-2 |
|
Kosinov, 2000 |
G = h>u>l>u>/t>u>m>e>2D>0> |
6,6728674(20)• 10-11 m3kg-1 s-2 |
|
Kosinov, 2000 |
G = h>u> c/α m>pl>2 |
6,6728674(22)• 10-11 m3kg-1 s-2 |
|
Kosinov, 2000 |
G = c3α2l>u>/2h R>∞> D>o> |
6,6728674(16)• 10-11 m3kg-1 s-2 |
|
Kosinov, 2000 |
G = l>u>4107/e2t>u>2D>o> |
6,6728674(13)• 10-11 m3kg-1 s-2 |
|
Kosinov, 2000 |
G = l>pl>2 l>u> α/t>u>2 m>e> |
6,6728674(11)• 10-11 m3kg-1 s-2 |
|
Kosinov, 2000 |
G = c3l>pl>2α/h>u> |
6,67286742(97)• 10-11 m3kg-1 s-2 |
|
Kosinov, 2000 |
G = 2πc3l>u>2/αhD>o> |
6,67286741(93)• 10-11 m3kg-1 s-2 |
|
Kosinov, 2000 |
G = t>pl>2c2l>u> α/t>u>2 m>e> |
6,6728674(11)• 10-11 m3kg-1 s-2 |
|
Kosinov, 2000 |
G = h>u>α2/4πt>u >m>pl>2R>∞ ;> |
6,6728674(13)• 10-11 m3kg-1 s-2 |
|
Kosinov, 2000 |
G =с3 α5/8 πh R>∞>2D>0> |
6,67286741(89)• 10-11 m3kg-1 s-2 |
|
Kosinov, 2000 |
G = 4μ>B>2α2·10-7/l>u>2 m>e>2D>o> |
6,6728674(22)• 10-11 m3kg-1 s-2 |
|
Kosinov, 2000 |
G = 2l>u>5α H/t>u>2 h>u> |
6,6728674(11)• 10-11 m3kg-1 s-2 |
ВЫВОДЫ
Гравитационная константа является составной константой и может быть выражена посредством других физических констант
Получены 15 эквивалентных формул для вычисления гравитационной константы.
Полученные результаты указывают на то, что гравитационная константа не является первичной и независимой константой.
Получено новое расчетное значение гравитационной константы, которое на несколько порядков точнее ее экспериментального значения.
Наиболее точное значение гравитационной константы следует из формулы с применением суперконстант h>u>, l>u>, t>u>, α, π.
На роль истинно фундаментальных констант предлагается группа универсальных суперконстант h>u>, l>u>, t>u>, α< /FONT>, π , которые являются первичными и независимыми константами.
ЛИТЕРАТУРА
1. Peter J. Mohr and Barry N.Taylor. CODATA Recommended Values of the Fundamental Physical Constants: 1998 ; Physics.nist.gov/constants. Constants in the category "All constants"; Reviews of Modern Physics, Vol 72, No. 2, 2000.
2. Косинов Н.В. Физический вакуум и гравитация. Физический вакуум и природа, N4, 2000.
3. Nikolay V. Kosinov, Shanna N. Kosinova “GENERAL CORRELATION AMONG FUNDAMENTAL PHYSICAL CONSTANTS.” Journal of New Energy , 2000 , Vol. 5, no. 1, pages 134 -135.
4. Kosinov N. Five Fundamental Constants of Vacuum, Lying in the Base of all Physical Laws, Constants and Formulas. Physical Vacuum and Nature, N4, 2000.
5. Косинов Н.В. Пять универсальных суперконстант, лежащих в основе всех фундаментальных констант, законов и формул физики и космологии. Актуальные проблемы естествознания начала века. Материалы международной конференции 21 - 25 августа 2000 г., Санкт-Петербург, Россия. СПб.: "Анатолия", 2001, с. 176 - 179.
6.Косинов Н.В. Пять универсальных физических суперконстант. http://piramyd.express.ru/disput/kosinov/grate/text.htm
7. Косинов Н.В. Электродинамика физического вакуума. Физический вакуум и природа, N1, 1999.
8. Косинов Н.В. Законы унитронной теории физического вакуума и новые фундаментальные физические константы. Физический вакуум и природа, N3, 2000.
9. Косинов Н.В. Вакуум-гипотеза и основные теоремы унитронной теории физического вакуума. Физический вакуум и природа, N2, 1999.
10. Косинов Н.В. Проблемы происхождения - новейшее направление физических исследований. Физический вакуум и природа, N4, 2000.
11. Косинов Н.В. Решение проблем происхождения - основная задача унитронной теории физического вакуума. Физический вакуум и природа, N3, 2000.
12. Косинов Н.В. Проблема вакуума в контексте нерешенных проблем физики. Физический вакуум и природа, N3, 2000.
13. Пуанкаре А. Наука и гипотеза. Пуанкаре А. О науке, М., 1983.
14. Косинов Н.В. Большие числа в физике и космологии.(СВЯЗЬ БОЛЬШИХ ЧИСЕЛ С КОНСТАНТАМИ ФИЗИКИ И КОСМОЛОГИИ)