Высшая математика, интегралы (шпаргалка)
Равномерная непрерывность
Определение
28.7: Функция
называется
равномерно
непрерывной на
множестве
,
если:
.
(в отличие от критерия Коши:
).
Пояснение:
Пусть:
.
Тогда:
Т.е. функция
не
является равномерно непрерывной на
множестве
.
Теорема 28.3: Непрерывная на отрезке функция – равномерно непрерывна на нём.
Классы интегрируемых функций
Теорема 28.4: Непрерывная на отрезке функция – интегрируема на нём.
Теорема 28.5: Монотонная на отрезке функция – интегрируема на нём.
Теорема
28.5: Если функция
определена
и ограничена на отрезке
,
и если
можно
указать конечное число интервалов,
покрывающих все точки разрыва этой
функции на
.
Причём общая длина этих интервалов
меньше
.
То
-
интегрируема на
.
Замечание:
Очевидно, что если
-
интегрируема на
,
а
отличается
от
только
в конечном числе точек, то
-
интегрируема на
и
.
Существование первообразной
Определение
28.9: Пусть
-
интегрируема на
,
,
тогда:
функция
интегрируема
на
и
функция
называется
интегралом с переменным
верхним пределом,
аналогично функция
-
интеграл с переменным
нижним пределом.
Теорема
28.6: Если функция
-
непрерывна на
,
то у неё существует на
первообразная,
одна из которых равна:
,
где
.
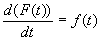
Замечание
1: Из
дифференцируемости функции
следует
её непрерывность, т.е.

Замечание
2: Поскольку
-
одна из первообразных
,
то по определению неопределённого
интеграла и теореме о разности
первообразных:
.
Это связь между определённым и
неопределённым интегралами
Интегрирование подстановкой
Пусть
для вычисления интеграла
от
непрерывной функции сделана подстановка
.
Теорема.
Если 1. Функция
и
ее производная
непрерывны
при

2.
множеством значений функции
при
является
отрезок [a;b]
3.
,
то
=
.
Док-во:
Пусть F(x)
есть первообразная для f(x)
на отрезке [a;b].
Тогда по формуле Ньютона-Лейбница
=
.
Т.к.
,
то
является
первообразной для функции
,
.
Поэтому по формуле Ньютона-Лейбница
имеем
=
.
Формула замены переменной в определенном интеграле.
при вычислении опред. интег-ла методом подстановки возвращаться к старой переменной не требуется;
часто вместо подстановки
применяют
подстановку t=g(x)не следует забывать менять пределы интегрирования при замене переменных.
Интегрирование заменой переменной.
а). Метод подведения под знак дифференциала
Пусть
требуется вычислить интеграл
.
Предположим, что существуют дифференцируемая
функция
и
функция
такие,
что подынтегральное выражение
может
быть записано в виде:
.
Тогда:
.
Т.е. вычисление интеграла
сводится
к вычислению интеграла
(который
может оказаться проще) и последующей
подстановке
.
Пример:
Вычислить
.
.
Подстановка:
.
б). Метод подстановки
Пусть
требуется вычислить интеграл
,
где
.
Введём новую переменную формулой:
,
где функция
дифференцируема
на
и
имеет обратную
,
т.е. отображение
на
-
взаимно-однозначное. Получим:
.
Тогда
.
Т.е. вычисление интеграла
сводится
к вычислению интеграла
(который
может оказаться проще) и последующей
подстановке
.
Пример:
Вычислить
.
,
откуда:
.
Интегрирование
по частям.
Пусть
-
дифференцируемые функции, тогда
справедлива формула:
,
или короче:
.
Эта формула используется в тех случаях,
когда подынтегральное выражение
можно
так представить в виде
,
что интеграл
вычисляется
проще исходного.
Пример:
Вычислить
.
Положим
.
Тогда
.
В качестве
выберем
первообразную при
.
Получим
.
Снова
.
Тогда
.
Окончательно получим:
.
Замечание
26.5: Иногда
при вычислении интеграла
методом
интегрирования по частям получается
зависимость:
.
Откуда можно получить выражение для
первообразной:
.
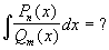
Интегрирование рациональных функций
Постановка
задачи:

|
1).
|
2).
|
|
3).
|
т.е. все задачи сводятся к задаче B.2).
Теорема
1: Пусть
,
тогда, если:
,
где
,
то

Из
этой теоремы следует, что для интегрирования
любой рациональной функции необходимо
уметь интегрировать следующие функции:
|
1.
|
2.
|
3.
|
4.
|
5.
|
|
6.
|
7.
|
8.
|
9.
|
10.
|
Интегрирования дробно-линейных и квадратичных иррациональностей

Сделав
подстановку:
,
получим:
.
тогда


a). Подстановки Эйлера.
1).
Корни многочлена
-
комплексные, сделав подстановку:
,
получим:
.
2).
Корни многочлена
-
действительные:
.
Подстановка:
,
получаем:
.
b).
Подстановка:
,
далее, если:
|
1).
|
2).
|
|
3).
|
c).
Если
подстановка
-

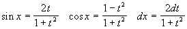
Интегрирование функций, рационально зависящих от тригонометрических

Универсальная
подстановка:
,
тогда:

подстановка:

или
-
нечётные: вносим функцию при нечётной
степени под знак дифференциала
Интегрируется по частям
Неопределенный интеграл
Определение
26.1: Функция
называется
первообразной
для функции
на
,
если:
.
Пусть
и
-
первообразные функции
на
.
Тогда:
.
Определение
26.2: Неопределённым
интегралом от функции
на
называется
объединение всех первообразных
на
этом интервале. Обозначается:
.
Замечание
26.1: Если
-
одна из первообразных
на
,
то
.
Замечание
26.2: Подынтегральное
выражение в определении представляет
из себя полный дифференциал первообразной
на
,
т.е.
.
Замечание
26.3: Два
неопределённых интеграла равны “с
точностью до постоянной”.
Св-ва неопределенного интеграла:
1.Дифференциал от неопределенного интеграла равен подынтегральному выражению, а производная неопред. интегр. равна подынтегр. функции. Благодаря этому св-ву правильность интегрирования проверяется дифференцированием.
,

2. Неопред. интегр. от дифференциала нек-рой функции равен сумме этой функции и производной постоянной:

3. Постоянный множитель м. выносить за знак интеграла:
,
где a
0-постоянная.
4. Неопред. интегр. от алгебраич. суммы конечного числа непрерывных функций равен алгебраич. сумме интегралов от слагаемых функций:

5.
(Инвариантность формулы интегрирования).
Если
,
то и
,
где u=
-
произвольн. функция, имеющая непрерывную
производную.
Табличные интегралы
|
|
|
|
|
|
|
|
|
|
|
|
|
|
|
|
|
|
|
|
|
|
|
|
|
|
|
|
|
|
|
|
|
|
|
|
|
|
|
|
|
|
|
|
|
|
|
|
|
|
|
Определённый интеграл.
Интегрируемость
Определение
28.1: Множество точек отрезка
таких,
что:
называют
разбиением отрезка
.
Длины частичных
отрезков разбиения обозначим:
.
Мелкостью разбиения
(читается
– “дельта большое”) назовем максимальнуя
из длин отрезков разбиения, т.е.
.
Определение
28.2: Пусть в определении
28.1 для всех
точки
.
Интегральной суммой
функции
на
отрезке
с
разбиением
будем
называть сумму (зависящую от разбиения
и
выбора точек
)
вида:
.
Определение
28.3: Пределом
интегральных сумм функции
на
отрезке
назовём
такое число
,
что
.
Обозначается:
.
Определение
28.4: Функция
называется
интегрируемой на отрезке
,
если существует конечный предел её
интегнральных сумм на
.
Обозначается:
.
Теорема
28.1: Если
интегрируема
на отрезке
,
то она ограничена на нём.
Замечание 1: Эта теорема является необходимым, но недостаточным условием интегрируемости функции. Пример – функция Дирихле (ограничена, но неинтегрируема).
Критерий интегрируемости функций
Теорема
28.2: Для того, чтобы
ограниченная на некотором отрезке
функция, была интегрируема на нём,
необходимо и достаточно, чтобы выполнялось
условие:
.
Следствие
1: Условие Т.2
эквивалентно условию:
.
Следствие
2: Если функция интегрируема
на , то:
.
Определение
28.8: Определённым
интегралом функции
на
называется
число
,
равное пределу интегральных сумм
на
.
Условие интегрируемости эквивалентно
существованию определённого интеграла.
Свойства определённого интеграла
1. Если
с – постоянное
число и функция f(x)
интегрируема на [a;b],
то
,
т.е. пост. множитель с
можно выносить за знак определенного
интег-ла.
2. Если функции f(x), g(x) интегрируемы на [a;b], тогда интегрируема на [a;b] их сумма и разность
,

3. Если
,
то:

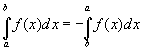
4. Если функция f(x) интегрируема на [a;b] и a<c<b, то
,
т.е. интеграл по всему отрезку равен
сумме интегралов по частям этого
отрезка. Это св-во наз-ют аддивностью
определенного интеграла.
Сравнение определённых интегралов
Если
-
интегрируема на
и
,
то:
.
Если
-
интегрируема на
и
,
то:

Неравенство
м\у непрерывными функциями на отрезке
[a;b],
можно интегрировать. Если
-
интегрируемы на
и
почти для всех
,
то:

Модуль
определенного интег-ла не превосходит
интег-ла от модуля подынтегральной
функции. Если
-
интегрируема на
,
то
-
также интегрируема на
(обратное
неверно), причём:

Оценка
интеграла. Если m
и M-соответственно
наименьшее и наибольшее значения
функции y=f(x)
на отрезке [a;b].
Если
-
интегрируемы на
и
,
то:

Теорема о среднем значении
Если
функция f(x)
непрерывна на отрезке [a;b],
то существует точка
такая, что
.
Док-во: По формуле Ньютона-Лейбница имеем
,
где F’(x)=f(x).
Применяя к разности F(b)-F(a)
теорему Лагранжа (теорему о конечном
приращении функции), получим
F(b)-F(a)=F’(c)*(b-a)=f(c)*(b-a).
Эта
теорема при f(x)
0
имеет простой геометрич. смысл: значение
определенного интег-ла равно, при
нек-ром
,
площади прямоугольника с высотой f(с)
и основанием b-a.
Число
наз-ся средним значением
функции f(x)
на отрезке [a;b].
Формула Ньютона-Лейбница
Если
-
первообразная непрерывной функции
на
,
то:
.
Док-во: Рассмотрим тождество

Преобразуем каждую разность в скобках по формуле Лагранжа
.
Получим
т.е.
,
где
есть
нек-рая точка интервала
.
Т.к. функция y=f(x)
непрерывна на [a;b].
Поэтому существует предел интегральной
суммы, равный определенному интегралу
от f(x)
на [a;b].
Переходя
к пределу при
,
получаем F(b)-F(a)=
=
,
т.е.
.
интеграл с переменным верхним пределом
Если изменять, например, верхний предел так, чтобы не выйти за пределы отрезка [a;b], то величина интеграла будет изменяться. Другими словами, интеграл с переменным верхним пределом представляет собой функцию своего верхнего предела. Производная определенного интег-ла по переменному верхнему пределу равна подынтегральной функции, в к-рой переменная интегрирования заменена этим пределом, т.е.
.
Док-во:
По формуле Ньютона-Лейбница имеем:
.
Следовательно,

=
.
Это значит, что определенный интег-л с переменным верхним пределом есть одна из первообразных подынтегральной функции.












.
подстановка
-

подстановка
-

подстановка
-


































