Интерполяционный многочлен Лагранжа (работа 2)
1
Лабораторная работа № 2
Интерполирование и экстраполирование данных.
Интерполяционный многочлен Лагранжа.
Многочлен Лагранжа, принимающий заданные значения в узловых точках имеет вид:

Задание . Восстановить многочлен Лагранжа, удовлетворяющий приведенным исходным данным.
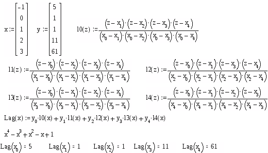
П
ример:
Варианты:
-
1).

0
1
2
5

2
3
12
147
2).

-2
1
2
4

25
-8
-15
-23
3).

-2
-1
0
1
2

6
0
2
0
6
4).

0
1
2
5

3
4
13
148
5).

-2
1
2
4

26
-7
-14
-22
6).

-2
-1
0
1
2

5
0
1
0
5
7).

-1
0
1
4

2
3
12
147
8).

1
2
3
6

2
3
12
147
9).

-3
0
1
3

25
-8
-15
-23
10).

-1
2
3
5

25
-8
-15
-23
11).

-3
-2
-1
0
4

6
0
2
0
6
12).

-1
0
1
2
3

6
0
2
0
6
13).

2
3
4
7

2
3
12
147
14).

-2
-1
0
3

2
3
12
147
15).

-4
-1
0
2

25
-8
-15
-23
16).

0
3
4
6

25
-8
-15
-23
17).

-1
0
1
4

3
4
13
148
18).

1
2
4
6

1
2
34
146
19).

-3
0
1
3

26
-7
-14
-22
20).

-1
2
3
5

26
-7
-14
-22
21).

-3
-2
-1
0
1

7
1
3
1
7
22).

-1
0
1
2
3

5
-1
1
-1
5
23).

-1
0
1
2
3

2
1
0
1
10
24).

-2
-1
0
1

1
6
5
4
25).

-3
-2
-1
0

40
27
12
1
26).

-2
-1
0
1
2

-27
-4
-1
-6
-7
27).

-1
0
1
2

-5
-10
-1
34
28).

-2
-1
0
1
2

16
-1
0
1
8
29).

-2
-1
0
1
2

-23
-6
1
-2
9
30).

1
2
3
4

1
2
13
40