Методы решения некорректно поставленных задач
3
ВВЕДЕНИЕ
Среди математических задач выделяется класс задач, решения которых неустойчивы к малым изменениям исходных данных. Они характеризуются тем, что сколь угодно малые изменения исходных данных могут приводить к произвольно большим изменениям решений. Задачи подобного типа, по существу, являются плохо поставленными. Они принадлежат к классу некорректно поставленных задач.
Быстро растущее использование вычислительной техники требует развития вычислительных алгоритмов для решения широких классов задач. Но что надо понимать под «решением» задачи? Каким требованиям должны удовлетворять алгоритмы нахождения « решений »?
Классические концепции и постановки задач не отражают многих особенностей встречающихся на практике задач. Мы покажем это на примере.
Рассмотрим систему линейных алгебраических уравнений
Az=u,
где z — искомый вектор, и — известный вектор, А ={a>ij>} — квадратная матрица с элементами a>ij>.
Если система невырожденная, т. е. detA 0, то она имеет единственное решение, которое можно найти по известным формулам Крамера или другими способами.
Если система вырожденная, то она имеет решение (притом не единственное) лишь при выполнении условий разрешимости, состоящих из равенств нулю со- ответствующих определителей.
Таким образом, прежде чем решить систему, надо проверить, вырожденная она или нет. Для этого требуется вычислить определитель системы detA.
Если п — порядок системы, то для вычисления detА требуется выполнить около п3 операций. С какой бы точностью мы ни производили вычисления, при достаточно большом значении п, вследствие накопления ошибок вычисления, мы можем получить значение detА, как угодно отличающееся от истинного. Поэтому желательно иметь (построить) такие алгоритмы нахождения решения системы, которые не требуют предварительного выяснения вырожденности или невырожденности системы.
Кроме того, в практических задачах часто правая часть u и элементы матрицы А,
т. е. коэффициенты системы уравнений, известны нам приближенно. В этих случаях вместо системы, мы имеем дело с некоторой другой системой A1z=u1 такой, что
||А1— А||<=h, ||u1-u||<=, где смысл норм обычно определяется характером задачи. Имея вместо матрицы А матрицу А1, мы тем более не можем высказать определенного суждения о вырожденности или невырожденности системы.
В этих случаях о точной системе Az = и нам известно лишь то, что для матрицы А и правой части и выполняются неравенства || А1—А || <= h и || и1—и|| <=. Но систем с такими исходными данными (А, и) бесконечно много, и в рамках известного нам уровня погрешности они неразличимы. Среди таких «возможных точных систем» могут быть и вырожденные.
Поскольку вместо точной системы мы имеем приближенную систему A1z=и1, то речь может идти лишь о нахождении приближенного решения. Но приближенная система может быть и неразрешимой. Возникает вопрос: что надо понимать под приближенным решением системы? Оно должно быть также устойчивым к малым изменениям исходных данных (А, и).
В данной работе будет введено понятие приближенного решения некорректно поставленных задач, а также будет рассмотрено несколько методов нахождения таких решений.
ПОНЯТИЕ КОРРЕКТНО ПОСТАВЛЕННЫХ И НЕКОРРЕКТНО ПОСТАВЛЕННЫХ ЗАДАЧ
1.1. Различают корректно поставленные, и некорректно поставленные задачи. Понятие корректной постановки задач математической физики было введено
Ж. Адамаром в связи с желанием выяснить, какие типы граничных условий наиболее естественны для различных типов дифференциальных уравнений (для эллиптических, например,— задача Дирихле и ей аналогичные, для гиперболических — задача Коши).
Решение всякой количественной
задачи обычно заключается в нахождении
«решения» z
по заданным «исходным данным» и,
z=R(u). Мы будем считать
их эле-
ментами метрических пространств
F
и U
с расстояниями между
элементами
;
u>1>,
u>2>U;
z>1>,z>2>F.
Метрика обычно определяется постановкой
задачи.
1.2. Пусть определено понятие «решения» и каждому элементу иU отвечает единственное решение z=R(u) из пространства F.
Задача определения решения z=R(u) из пространства F по исходным данным
иU называется устойчивой на пространствах (F, U), если для любого числа > О можно указать такое число () > 0, что из неравенства >U>(u>1>,u>2>)<= () следует >F>(z>1,>z>2>)<=, где z>1>=R(u>1>), z>2>=R(u>2>); u>1>,u>2>U; z>1>,z>2>F.
Задача определения решения z из пространства F по «исходным данным» и из пространства U называется корректно поставленной на паре метрических пространств (F, U), если удовлетворяются требования (условия):
1) для всякого элемента и U существует решение z из пространства F,
2) решение определяется однозначно;
3) задача устойчива на пространствах (F, U). В математической литературе длительное время существовала точка зрения, согласно которой всякая математическая задача должна удовлетворять этим требованиям .
Задачи, не удовлетворяющие перечисленным требованиям, называются некорректно поставленными.
Следует отметить, что определение некорректно поставленных задач относится к данной паре метрических пространств (F, U), так как в других метриках та же задача может быть корректно поставленной .
1.3. Задача нахождения приближенного решения некорректно поставленной задачи вида
Az = и, и U, (1; 3,1)
в естественном классе элементов F является практически недоопределенной. Эта задача является некорректно поставленной, например, в случаях, когда А — вполне непрерывный оператор. Тогда обратный ему оператор A-1 вообще говоря, не будет непрерывным на U и решение уравнения (1; 3,1) не будет устойчивым к малым изменениям правой части и (в метрике пространства U). Исходными данными здесь являются правая часть уравнения u и оператор А.
Предположим, что оператор А нам известен точно, а правая часть уравнения (1; 3,1) известна с точностью , т. е. вместо ее точного значения u>T> нам известны элемент и1 и число такие, что >U>(u>T>,u1)<=. По этим данным, т. е. по (u1, ), требуется найти такой элемент z>> , который стремился бы (в метрике F) к z>T> при 0. Такой элемент мы будем называть приближенным (к z>T>) решением уравнения Az = и1.
Элементы zF, удовлетворяющие условию >U>(Az, и1)<=, будем называть сопоставимыми по точности с исходными данными (и1, ). Пусть Q>>—совокупность всех таких элементов z F. Естественно приближенные решения уравнения Az=и1 искать в классе Q>> элементов z , сопоставимых по точности с исходными данными
(и1, ).
Однако в ряде случаев этот класс элементов слишком широк. Среди этих элементов есть такие, которые могут сильно отличаться друг от друга ( в метрике пространства F ). Поэтому не все элементы класса Q>>> >можно брать в качестве приближенного решения уравнения (1;3,1).
МЕТОД ПОДБОРА. КВАЗИРЕШЕНИЯ
Возможность определения приближенных решений некорректно поставленных задач, устойчивых к малым изменениям исходных данных, основывается на использовании дополнительной информации относительно решения. Возможны различные типы дополнительной информации.
В первой категории случаев дополнительная информация, носящая количественный характер, позволяет сузить класс возможных решений, например, до компактного множества, и задача становится устойчивой к малым изменениям исходных данных. Во второй категории случаев для нахождения приближенных решений, устойчивых к малым изменениям исходных данных, используется лишь качественная информация о решения (например, информация о характере его гладкости).
В настоящей главе будет рассмотрен метод подбора, имеющий широкое практическое применение, метод квазирешения, а также метод замены исходного уравнения близким ему и метод квазиобращения. В качестве некорректно поставленной задачи мы будем рассматривать задачу решения уравнения
Az=u (2; 0,1)
относительно z, где uU, zF, U и F—метрические пространства. Оператор А отображает F на U. Предполагается, что существует обратный оператор А-1, но он не является, вообще говоря, непрерывным.
Уравнение (2; 0,1) с оператором А, обладающим указанными свойствами, будем называть операторным уравнением первого рода, или, короче,— уравнением первого рода.
2.1. Метод подбора решения некорректно поставленных задач
2.1.1. Широко распространенным в вычислительной практике способом приближенного решения уравнения (2; 0,1) является метод подбора. Он состоит в том, что для элементов z некоторого заранее заданного подкласса возможных решений М (МF) вычисляется оператор Az, т. е. решается прямая задача. В качестве приближенного решения берется такой элемент z>0> из множества М, на котором невязка >U>(Az,u) достигает минимума, т. е.
>U>(Az>0>,u)=inf >U>(Az,u)
zM
Пусть правая
часть уравнения (2;0,1)
известна точно, т. е. и=u>T>,
и требуется найти его решение z>T>.
Обычно в качестве М берется множество
элементов z, зависящих от
конечного числа параметров, меняющихся
в ограниченных пределах так, чтобы М
было замкнутым множеством конечномерного
пространства. Если искомое точное
решение z>T>
уравнения (2; 0,1) принадлежит
множеству М, то
и достигается эта нижняя граница
на точном решении z>T>.
Если уравнение (2;0,1) имеет
единственное решение, то элемент
z>0>,
минимизирующий >U>(Az,и),
определен однозначно.
Практически минимизация невязки >U>(Az,и) производится приближенно и возникает следующий важный вопрос об эффективности метода подбора, т. е. о возможности как угодно приблизиться к искомому точному решению.
Пусть {z>n>} — последовательность элементов, для которой >U>(Az>n>,u)0 при n. При каких условиях можно утверждать, что при этом и >F>(z>n>,z>T>)0, т. е. что {z>n>} сходится к z>T>?
Это вопрос обоснования эффективности метода подбора.
2.1.2. Стремление обосновать успешность метода подбора привело к установлению общефункциональных требований, ограничивающих класс возможных решений М, при которых метод подбора является устойчивым и z>n>z>T>. Эти требования заключаются в компактности множества М и основываются на приводимой ниже известной топологической лемме.
Лемма. Пусть метрическое пространство F отображается на метрическое пространство U и Uo — образ множества Fo, Fo F, при этом отображении. Если отображение FU непрерывно, взаимно однозначно и множество Fo компактно на F, то обратное отображение UoFo множества Uo на множество Fo также непрерывно по метрике пространства F.
Доказательство. Пусть z — элементы множества F (zF), а u—элементы множества U (uU). Пусть функция u=(z) осуществляет прямое отображение FU, а функция z=(u)—обратное отображение UF.
Возьмем произвольный элемент u>0> из Uo. Покажем, что функция (u) непрерывна на u>0>. Предположим, что это неверно. Тогда существует такое число >1> > 0, что для всякого > 0 найдется элемент и1 из Uo, для которого >U>(и1, и>0>) <, в то время как >F>(z1,z>0>)>=>1>. Здесь z=(u1), z>0>=(u>0>) и z1Fo, z>0>F>0>.
Возьмем последовательность {>n>} положительных чисел >n> , сходящуюся к нулю при п. Для каждого >n> найдется элемент u>n>1 из Uo, для которого >U>(и>n>1, и>0>)< >n> , но >F>(z>n>1,z>0>)>=>1 >, где z>n>1=(u>n>1). Очевидно, последовательность {u>n>1} сходится к элементу u>0>. Так как z>n>1 принадлежат компактному на F множеству Fo, то из последовательности {z>n>1} можно выбрать подпоследовательность {Z1n>k>}, сходящуюся по метрике F к некоторому элементу z>0> F. При этом z>0>1z>0 >, так как для всякого n>k> >F>(Z1n>k>,z>0>)>=>1 >, следовательно и >F>(z1>0>,z>0>)>=>1 >. Этой подпоследовательности {Z1n>k>} отвечает последовательность элементов u1n>k>= (Z1n>k>) из Uo, сходящаяся к u1>0>=(z1>0>) и являющаяся подпоследовательностью последовательности {u1>n>}. Так как последовательность {u1>n>} сходится к и>0> =(z>0>), то u1>0>=(z1>0>)=u>0>=(z>0>) , т. е. (z>0>)=(z1>0>). В силу взаимной однозначности отображения FU z1>0>=z>0>, что противоречит ранее установленному неравенству z1>0>z>0>. Лемма доказана.
Эту лемму можно сформулировать короче.
Если отображение FoUo компакта Fo на множество Uo взаимно однозначно и непрерывно, то обратное отображение UoFo также непрерывно.
Эквивалентность этих формулировок следует из того, что замыкание F*>0> множества Fo, компактного на F, является компактом.
Таким образом, минимизирующая последовательность {z>n>} в методе подбора сходится к z>T> при n, если:
а)z>T> принадлежит классу возможных решений М;
б) множество М — компакт.
Пусть оператор А непрерывен и вместо точной правой части u>T> мы имеем элемент u>> такой, что >U>(u>>,u>T> )<=, причем u>> принадлежит множеству AM (образу множества М при отображении его с помощью оператора A) и М есть компакт. Пусть {>n>} — последовательность положительных чисел таких, что >n> 0 при nоо. Для каждого п методом подбора можно найти такой элемент z>n> , что >U>(A z>n >,u>>)<=>n> . Элементы z>n> будут близки к решению z>T> уравнения Az=u>T>. В самом деле, при отображении с помощью непрерывного оператора образ AM компакта М есть компакт и, следовательно, по лемме обратное отображение, осуществляемое оператором A-1, непрерывно на AM. Так как
>U>(A z>n >,u)<=>U>(A z>n >,u>>)+>U>(u>>,u>T>),
то
>U>(A z>n >,u>T>)<=>n>+=>n>.
Из этого неравенства и из непрерывности обратного отображения АМ М следует, что >F>(z>n >,z>T>)<=(>n>) , причем (>n>)0 при >n>0. Таким образом, при нахождении приближения z>n> к z>T> надо учитывать уровень погрешности правой части u>>.
2.1.3. На основе изложенных соображений М. М. Лаврентьев сформулировал понятие корректности по Тихонову. В применении к уравнению (2; 0,1) задача называется корректной по Тихонову, если известно, что для точного значения u=u>T> существует единственное решение z>T> уравнения (2; 0,1), Az>T>=u>T,> принадлежащее заданному компакту М. В этом случае оператор А-1 непрерывен на множестве N=AM и, если вместо элемента u>T> нам известен элемент u>> такой, что >U>( u>T>, u>>)<= и u>>N, то в качестве приближенного решения уравнения (2; 0,1) с правой частью u= u>> можно взять элемент z>>=A-1u>>> >. При 0 (u>>N) z>> будет стремиться к z>T>. Множество F>1> (F>1> F), на котором задача нахождения решения уравнения (2; 0,1) является корректно поставленной, называют классом корректности. Так, если оператор А непрерывен и осуществляет взаимно однозначное отображение, то компакт М, к которому принадлежит z>T>, является классом корректности для уравнения (2; 0,1). Таким образом, если задача (2; 0,1) корректна по Тихонову и правая часть уравнения uAM, то метод подбора с успехом может быть применен к решению такой задачи. На первый вопрос дан исчерпывающий ответ.
Рассмотрим задачу решения интегрального уравнения Фредгольма первого рода
(2;1,1)
на множестве М>1> монотонно убывающих (возрастающих) и равномерно ограниченных функций |z(s)|<=B. Она корректна по Тихонову, так как множество M>1> — компакт в пространстве L>2>.
Действительно, возьмем любую последовательность E= {z>1>(s), z>2>(s), .... z>n>(s), ...} из M>1>. Согласно теореме Хелли о выборе существуют подпоследовательность
E>1> = {Zn>1> (s), Zn>2> (s), ..., Zn>k> (s), ...},
последовательности Е и функция z*(s) из множества M>1>, z*(s)L>2>, такие, что

всюду, кроме, может быть, счетного множества точек разрыва функции z*(s). Из поточечной сходимости подпоследовательности Е>1> к функции z*(s) всюду, кроме, может быть, счетного множества точек, следует, как известно, сходимость подпоследовательности E>1> к функции z*(s) по метрике L>2>.
Таким образом, в качестве приближенного решения на множестве М>1> уравнения (2; 1,1) с приближенно известной правой частью u1 АМ>1> можно брать точное решение этого уравнения с правой частью u=u1 . Эта последняя задача эквивалентна задаче нахождения на множестве M>1> функции, минимизирующей функционал
N[z,u1]=|| A>1>z – u1 ||2>L2> .
Пусть >U>(u>T>, u1)<=. Тогда, очевидно, в качестве приближенного решения уравнения (2; 1,1) можно брать функцию z>>, для которой
|| A>1>z>> – u1 ||2>L2><= 2 . (2;1,2)
Если заменить интегральный оператор A>1>z интегральной суммой на фиксированной сетке с n узлами и обозначить значения искомой функции в узловых точках через z>i >, то задача построения приближенного решения уравнения (2; 1,1) сведется к задаче нахождения конечномерного вектора, минимизирующего функционал N[z,и1] и удовлетворяющего неравенству (2; 1,2).
В ряде других случаев компактные классы корректности можно указать эффективно, что дает возможность строить устойчивые приближенные решения.
2.1.4. В силу погрешности исходных данных элемент и может не принадлежать множеству AM. В этих условиях уравнение (2; 0,1) не имеет решения (классического) и возникает вопрос: что надо понимать под приближенным решением уравнения (2; 0,1)?
В этом случае вводится понятие квазирешения и метод подбора при условии компактности множества М позволяет найти приближение к квазирешению. В следующем параграфе вопрос о квазирешении рассматривается подробнее.
2.2. Квазирешения
2.2.1. Пусть оператор А в уравнении (2; 0,1) — вполне непрерывный. Построение устойчивого к малым изменениям правой части и приближенного решения уравнения (2; 0,1) по формуле
z=A-1u (2; 2,1)
возможно в тех случаях, как отмечалось в 2.1. , когда решение ищется на компакте МF и правая часть уравнения принадлежит множеству N = AM.
Обычно не существует эффективных критериев, позволяющих установить принадлежность элемента и множеству N. Это приходится предполагать известным априори. В практических задачах часто вместо точного значения правой части и>T> нам известно ее приближенное значение u1, которое может не принадлежать множеству N=AM. В этих случаях нельзя строить приближенное решение уравнения (2; 0,1) по формуле (2; 2,1), так как символ А-1u может не иметь смысла.
2.2.2. Стремление устранить затруднения, связанные с отсутствием решения уравнения (2; 0,1) при неточной правой части, привело В. К. Иванова к понятию квазирешения уравнения (2; 0,1) — обобщению понятия решения этого уравнения.
Элемент z1М, минимизирующий при данном и функционал >U>(Az1,и) на множестве М, называется квазирешением уравнения (2; 0,1) на М,

Если М — компакт, то квазирешение, очевидно, существует для любого иU и если, кроме того, иAM, то квазирешение z1 совпадает с обычным (точным) решением уравнения (2; 0,1). Квазирешение может быть и не одно. В этом случае под квазирешенпем будем разуметь любой элемент из множества квазирешений D.
Можно указать достаточные условия, при которых квазирешение единственно и непрерывно зависит от правой части и.
Напомним определение. Пусть элемент у и множество Q принадлежат пространству U. Элемент q множества Q называется проекцией элемента у на множество Q, q=Ру, если выполняется равенство
где
Теорема 1. Если уравнение Аz=u может иметь на компакте М не более одного решения и проекция каждого элемента uU на множество N = AM единственна, то квазирешение уравнения (2; 0,1) единственно и непрерывно зависит от правой части u.
Доказательство. Пусть z1 — квазирешение и и1=Аz1. Очевидно, и1 есть проекция элемента u на множество N = AM. По условию теоремы она определяется однозначно. Отсюда, в силу взаимной однозначности отображения множества М на множество N, следует единственность квазирешения z1.
Очевидно, что z1 = А-1u=А-1Ри. Согласно лемме о непрерывности обратного отображения компакта (см. предыдущий параграф) оператор А-1 непрерывен на N. Оператор проектирования Р непрерывен на U. Поэтому А-1P — непрерывный на U оператор и, следовательно, квазирешение z1 непрерывно зависит от правой части и.
Таким образом, при переходе к квазирешению восстанавливаются все условия корректности, т. е. задача нахождения квазирешения уравнения (2; 0,1) на компакте М является корректно поставленной.
Если условие единственности решения уравнения (2; 0,1) не выполнено, то квазирешения образуют некоторое множество D элементов компакта М. В этом случае без упомянутых в теореме 1 ограничений на множество N имеет место непрерывная зависимость множества квазирешений D от и в смысле непрерывности многозначных отображений. Для случая, когда уравнение (2; 0,1) линейно, легко получить более общие результаты, содержащиеся в следующей теореме .
Теорема 2. Пусть уравнение (2; 0,1) линейно, однородное уравнение Az=0 имеет только нулевое решение, множество М выпукло, а всякая сфера в пространстве U строго выпукла. Тогда квазирешение уравнения (2; 0,1) на компакте М единственно и непрерывно зависит от правой части и.
Доказательство. Пусть z1 — квазирешение и u1=Az1. Так как множество М выпукло, то в силу линейности оператора А множество N=AM также выпукло. Очевидно, что и1 есть проекция элемента и на множество N. В силу того, что сфера в пространстве U по условию теоремы строго выпукла, проекция и определяется однозначно. Далее доказательство завершается, как в теореме 1.
2.2.3. Пусть F и U — гильбертовы пространства, МS>R> — шар (|| z ||<=R ) в пространстве F и А — вполне непрерывный линейный оператор.
В этом случае квазирешение уравнения (2; 0,1) можно представить в виде ряда по собственным элементам (функциям, векторам) >n> оператора А*А, где А* — оператор, сопряженный оператору А.
Известно, что А*А — самосопряженный положительный вполне непрерывный оператор из F в F. Пусть >1>>=>2>>=…>=>n>>=… — полная система его собственных значений, a >1>,>2>,…,>n>,…—отвечающая им полная ортонормированная система его собственных элементов (функций, векторов). Элемент А*и можно представить в виде ряда
(2;2,2)
В этих условиях справедлива
Теорема 3. Квазирешение уравнения (2, 0,1) на множестве S>R> выражается формулами:
(2;2,3)
если
(2;2,4)
и
если
(2;2,5)
Здесь — корень уравнения
(2;2,6)
Доказательство. Квазирсшение минимизирует функционал
>U>2 (Az, u) == (Az — u, Az — u) (2;2,7)
(где (v,w ) — скалярное произведение элементов v и w из U), уравнение Эйлера для которого имеет вид
A*Az=A*u. (2;2,8)
Решение этого уравнения будем искать в виде ряда по системе {>n>}:
(2;2,9)
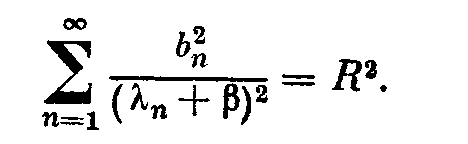
Подставляя этот ряд в уравнение (2; 2,8) и используя разложение (2;2,2), находим с>n>=b>n>/>n>. Следовательно, неравенство (2; 2,4) означает, что ||z||<R и речь идет о нахождении безусловного экстремума функционала (2; 2,7). Ряд (2; 2,3) и будет решением задачи.
Если же выполняется неравенство (2; 2,5), то это означает, что ||z||>=R и надо решать задачу на условные экстремум функционала (2; 2,7) при условии, что || z ||2 = R2. Методом неопределенных множителей Лагранжа эта задача сводится к нахождению безусловного экстремума функционала
(Аz-u, Аz-u) + (z, z),
а последняя — к решению отвечающего ему уравнения Эйлера A*Az+z=А*и. Подставляя сюда z в виде ряда (2; 2,9) и используя разложение (2; 2,2), находим

Параметр определяем из условия || z ||2 = R2 , которое эквивалентно (2; 2,6).
2.3. Приближенное нахождение квазирешений
В предыдущем параграфе мы видели, что нахождение квазирешения связано с нахождением элемента в бесконечномерном пространстве. Для приближенного нахождения квазирешения естественно переходить к конечномерному пространству. Можно указать достаточно общий подход к приближенному нахождению квазирешений уравнения (2; 0,1) , в котором А—вполне непрерывный оператор.
Будем полагать, что выполнены указанные в 2.2. достаточные условия существования единственного квазирешения на заданном множестве М, т. е. полагаем, что множество М — выпуклый компакт и сфера в пространстве U строго выпукла. Пусть
M>1 >M>>M>n >
— возрастающая цепочка
компактных замкнутых множеств М>n>
такая, что замыкание их объединения
совпадает с М.
Квазирешение уравнения
(2; 0,1) существует на
каждом множестве М>n
>. Но
оно может быть не единственным. Обозначим
через Т>n>
совокупность всех квазирешений на
множестве М>n
>.
Покажем, что в качестве приближения к квазирешению z1 на множестве М можно брать любой элемент z1>n> из Т>n >. При этом

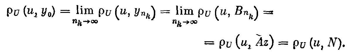
Пусть N>n> = АМ>n> и В>n> — множество проекций элемента и на множество N>n >. Очевидно, что В>n> = АТ>n> и N>1 > N>2 > … N>n>; тогда
>U>(u,N>1>)>= …>= >U> (u,N>n>)>=… >U> (u,N)= >U> (u,Az1) . (2;3,1)
Так как множество
всюду
плотно на N,
то для
всякого
>0 найдется такое число n>0>(),
что для всех п
>n>0>()
>U>(u,N>n>)<>U>(u,N)+ (2; 3,2)
Из (2; 3,1) и (2; 3,2) следует, что
(2;3,3)
Поскольку
то


(2;3,4)
Каждое множество В>n> есть компакт, так как оно является замкнутым подмножеством компакта N>n>. Поэтому в В>n> найдется такой элемент у>n >, что
>U>(y>n >,u) = inf >U>(y,u)
yB>n>
Последовательность {y>n>} имеет хотя бы одну предельную точку, принадлежащую N, так как N — компакт. Пусть у>0> — какая-нибудь предельная точка множества {y>n>} и {уn>k>} — подпоследовательность, сходящаяся к y>0 >, т. е.

Из (2; 3,3) и (2; 3,4) следует, что

Таким образом,
>U>(u,y>0>)=>U>(u,N).
Отсюда и из единственности квазирешения на множестве М следует, что
y>0>=Az1.
Так как у>0> — произвольная предельная точка множества {y>n>}, то последовательность {у>n>} сходится к Аz1. Это и означает, что в качестве приближения к квазирешению можно брать любой элемент z1>n> из множества Т>п>> >, так как в силу леммы параграфа 2.1. z1>n>z* при n.
Если в качестве М>п> брать конечномерные (n-мерные) множества, то задача нахождения приближенного квазирешения на компакте М сводится к минимизации функционала >U>(Az, u) на множестве М>п> , т. е. к нахождению минимума функции п переменных.
2.4. Замена уравнения Аz=u близким ему
Уравнения вида (2; 0,1), в которых правая часть u не принадлежит множеству N=AM, изучались М. М. Лаврентьевым . Ему принадлежит идея замены исходного уравнения (2; 0,1) близким ему, в некотором смысле, уравнением, для которого задача нахождения решения устойчива к малым изменениям правой части и разрешима для любой правой части uU. В простейшем случае это делается следующим образом.
Пусть FUН — гильбертовы пространства, А — линейный, ограниченный, положительный и самосопряженный оператор, S>R> {х, ||x||<=R, xF} есть шар радиуса R в пространстве F, В — вполне непрерывный оператор, определенный на S>R> при любом R > 0. В качестве класса корректности М берется множество D>R>=BS>R> — образ шара S>R> при отображении с помощью оператора В. Предполагается, что искомое точное решение z>T> уравнения (2; 0,1) с правой частью u=u>T> существует и принадлежит множеству D>R>. Уравнение (2; 0,1) заменяется уравнением
(A+E)z Az+z=u , (2:4,1)
где >0 – числовой параметр. Решение уравнения
z>>=(A+E)-1u , (2; 4,2)
при соответствующем выборе параметра , принимается за приближенное решение уравнения (2; 0,1). Здесь Е — единичный оператор.
Замечание. Для оценки уклонения >F>(z>T>,z>>) приближенного решения от точного можно использовать модуль непрерывности обратного оператора на N.
Пусть u>1>, u>2> N и >U>(u>1>,u>2>)<=>>. Тогда
(,N)= sup >F>(A-1u>1>,A-1u>2>).
u>1>,u>2> N
Очевидно, что если >U>(u>T>,u>>)<= и z>>=A-1u>> , то
>F>(z>T>,z>>)<=(,N).
Вернемся к уравнению (2; 4,1). Если || Az ||<= и (,D>R>) = sup || z ||, то легко
D>R>
получить оценку уклонения z>> от z>T>. Очевидно, что
|| z>>> >- z>T> ||<=||z>>1 - z>T>|| + ||z>>> >- z>>1||, (2;4,3)
где
z>>1=(A + E)-1u>T>.
Следовательно,
||z>> - z>T>||<=(,D>R>) + /. (2;4,4)
Если известен модуль непрерывности (,D>R>) или его мажоранта, то из (2; 4,4) можно найти значение параметра как функцию , при котором правая часть в неравенстве (2; 4,4) будет минимальной.
2. 5. Метод квазиобращения
2.5.1. Известно, что задача Коши для уравнения теплопроводности с обратным течением времени является неустойчивой к малым изменениям начальных значений. Неустойчивость сохраняется и в случаях, когда решение подчиняется некоторым дополнительным граничным условиям. Для устойчивого решения таких задач разработан метод квазиобращения . Мы изложим существо его для простейшего уравнения теплопроводности, не вдаваясь в вопросы обоснования. Подробное изложение в применении к более широкому классу задач содержится в .
2.5.2. Рассмотрим прямую задачу. Пусть D — конечная область n-мерного евклидова пространства Rn точек x = (x>1>, x>2>, ..., x>n>), ограниченная кусочно-гладкой поверхностью S, a t — время. Пусть, далее, (x) — заданная непрерывная в D функция. Прямая задача состоит в нахождении решения u=u(x,t) уравнения
(2;5,1)
в области G {x D, t > 0}, удовлетворяющего граничным условиям
u(х, t) =0 при xS (2; 5,2)
и начальным условиям
u(x, 0)=(x). (2; 5,3)
Здесь

Известно, что решение такой задачи существует. Каждой функции (x)C отвечает решение задачи (2; 5,1)— (2; 5,3). Будем обозначать его через u(х, t;).
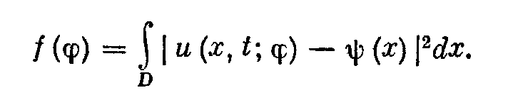
Обратная задача состоит в нахождении функции (х) по известной функции u(х,t;). В реальных задачах функция u(x,t;) обычно получается в результате измерений и, следовательно, известна приближенно. Будем полагать, что uL>2>. Такая функция может и не соответствовать никакой «начальной» функции (х). Таким образом, может не существовать в классе функций С решения обратной задачи. Поэтому будем рассматривать задачу нахождения некоторого обобщенного решения обратной задачи.
Пусть заданы число T > 0 и функция (x), определенная в области D, (x)L>2>. На функциях (х) класса С определен функционал

Обобщенным решением обратной задачи будем называть функцию (х)., на которой достигается
f>0>=inf f()
C
Замечание. «Естественный» подход к решению этой задачи — выбрать функцию (х).так, чтобы f()=0 .
Для этого достаточно найти решение прямой задачи

u(x, t) = 0 для х S, 0 < t < T;
u(x,T) = (x)
и положить (x) = u(x,0). Но такая задача при заданной функции (x) из L>2>, вообще говоря, неразрешима и, кроме того, неустойчива к малым изменениям функции (x).
На некотором классе обобщенных функций (x) f>0>=0 . Поэтому рассматривается задача нахождения приближенного значения f>0> с заданным уровнем погрешности.
Для заданного числа > 0 найти функцию >>(x), на которой f (>>)<=.
Эта задача и решается методом квазиобращения.
Идея метода квазиобращения
состоит в том, что вместо оператора
теплопроводности
находится «близкий»
ему оператор В>>>
>, для
которого задача с обращением отсчета
времени
B>>u>> = 0, x D, t < Т, > 0;
u>>> >(x,T)=(x);
u>>> >(x,t) = 0 для x S, t< Т
устойчива.
Решив эту задачу, полагают
(x)=u>>(x,0).
Обычно в качестве оператора
В>>
берут оператор
и решают прямую задачу
x D, t<T, >0;

u>>> >(x,T)=(x);
u>>> >(x,t) = 0 для x S, 0< t<= Т
u>>=0 для x S, 0< t<= Т.
Затем полагают
(x)=u>>(x,0).
Следует отметить, что u>>не сходится в обычном смысле при .
3.МЕТОД РЕГУЛЯРИЗАЦИИ РЕШЕНИЯ ОПЕРАТОРНЫХ УРАВНЕНИЙ
В главе предыдущем разделе рассмотрены случаи, когда класс возможных решений уравнения (2; 0,1) является компактом. Однако для ряда прикладных задач характерна ситуация, когда этот класс F не является компактом, и, кроме того, изменения правой части уравнения
Аz= u, (3; 0,1)
связанные с ее приближенным характером, могут выводить за пределы множества AF — образа множества F при отображении его с помощью оператора А. Такие задачи называются существенно некорректными. Был разработан новый подход к решению некорректно поставленных задач, позволяющий строить приближенные решения уравнения (3; 0,1), устойчивые к малым изменениям исходных данных, для существенно некорректных задач. В основе этого подхода лежит фундаментальное понятие регуляризирующего оператора (P.O.) . Для упрощения изложения в настоящей главе мы будем полагать, что в уравнении (3; 0,1) приближенной может быть лишь правая часть и, а оператор А известен точно.
3.1. Понятие регуляризирующего оператора
3.1.1. Пусть оператор А в уравнении (3; 0,1) таков, что обратный ему оператор
A-1 не является непрерывным на множестве AF и множество возможных решений F не является компактом.
Пусть z>T> есть решение уравнения Az =u>T>, т. е. Az>T>=u>T>. Часто вместо u>T> мы имеем некоторый элемент u>> и известное число > 0 такие, что >U>(u>>,u>T>)<=, т. е. вместо точных исходных данных (u>T>,А) мы имеем приближенные исходные данные (u>>, А) и оценку их погрешности . Задача состоит в том, чтобы по известным исходным данным (u>>, A, ) найти приближение z>> к элементу z>t>, обладающее свойством устойчивости к малым изменениям u>>. Очевидно, что в качестве приближенного решения z>> уравнения (3; 0,1) нельзя брать точное решение этого уравнения с приближенной правой частью и= u>>, т. е. элемент z>T>, определяемый по формуле
z>>=A-1 u>>
так как оно существует не для всякого элемента uU и не обладает свойством устойчивости к малым изменениям правой части и.
Числовой параметр характеризует погрешность правой части уравнения (3;0,1). Поэтому представляется естественным определить z>> с помощью оператора, зависящего от параметра, значения которого надо брать согласованными с погрешностью исходных данных u>>> >. Эта согласованность должна быть такой, чтобы при 0, т. е. при приближении (в метрике пространства U) правой части u>> уравнения (3; 0,1) к точному значению u>T>, приближенное решение z>> стремилось бы (в метрике пространства F) к искомому точному решению z>t> уравнения Az>T> =u>T>.
Пусть элементы z>T> F и u>T> U связаны соотношением Az>T> = u>T>.
Определение 1. Оператор R(и,), действующий из пространства U в пространство F, называется регуля-ризирующим для уравнения Az = и (относительно элемента u>T>), если он обладает свойствами:
1) существует такое число 1 > 0, что оператор R(u, ) определен для всякого , 0<=<=1, и любого u>>U такого, что
>U>(u>>,u>T>)<=;
2) для всякого > 0 существует 0=0(, u>>)<=1 такое, что из неравенства
>U>(u>>,u>T>)<=<=0;
следует неравенство
>F>(z>>,z>T>)<=,
где
z>>=R(u>>,).
Здесь не предполагается, вообще говоря, однозначность оператора R(u,). Через z>> обозначается произвольный элемент из множества {R(u>>,)} значений оператора R(u>>,).
3.1.2. В ряде случаев целесообразнее пользоваться другим определением регуляризирующего оператора (P.O.).
Определение 2. Оператор R(u,), зависящий от параметра и действующий из U в F, называется регуляризирующим для уравнения Az=и (относительно элемента u>T>), если он обладает свойствами:
1) существуют такие числа 1>0,1>0, что оператор R(u, ) определен для всякого , принадлежащего промежутку (0,1), и любого uU, для которого
>U>(u,u>T>)<=1;
2) существует такой функционал =(u,), определенный на множестве U>1>{u;(u,u>T>)<=1} элементов иU, что для любого > 0 найдется число ()<=1 такое, что если u1U и >U>(u1,u>T>)<=<=(), то
>F>(z>>,z>T>)<= , где
z>>=R(u1,(u1,)).
В этом определении не предполагается однозначность оператора R(u1,(u1,)). Следует отметить, что при = получаем определение 1 .
3.1.3. Если >U>(u>>,u>T>)<=, то известно, что в качестве приближенного решения уравнения (3; 0,1) с приближенно известной правой частью u>> можно брать элемент z>>=R(,), полученный с помощью регуляризирующего оператора R(u,), где =(u>>)=1() согласовано с погрешностью исходных данных u>>. Это решение называется регуляризованным решением уравнения (3; 0,1). Числовой параметр называется параметром регуляризации. Очевидно, что всякий регуляризирующий оператор вместе с выбором параметра регуляризации , согласованного с погрешностью исходных данных u>>> >, =(u>>), определяет устойчивый к малым изменениям правой части и метод построения приближенных решений уравнения (3;0,1). Если известно, что >U>(u>>,u>T>)<=, то согласно определению регуляризирующего оператора можно так выбрать значение параметра регуляризации =(u>>) ,
что при 0 регуляризованное решение R(u>>,(u>>)) стремится (в метрике F) к искомому точному решению z>T>, т. е. >F>(z>T>,z>>>(u>>>>)>). Это и оправдывает предложение брать в качестве приближенного решения уравнения (3; 0,1) регуляризованное решение.
Таким образом, задача нахождения приближенного решения уравнения (3; 0,1), устойчивого к малым изменениям правой части, сводится:
а) к нахождению регуляризирующих операторов;
б) к определению параметра регуляризации по дополнительной информации о задаче, например, по величине погрешности, с которой задается правая часть u>>.
Описанный метод построения приближенных решений называется методом регуляризации.
3.2. О решении вырожденных и плохо обусловленных систем линейных алгебраических уравнений
3.2.1. Известно, с какими трудностями связано решение так называемых плохо обусловленных систем линейных алгебраических уравнений: малым изменениям правых частей таких систем могут отвечать большие (выходящие за допустимые пределы) изменения решения.
Рассмотрим систему уравнений
Аz=u, (3; 2,1)
где А — матрица с элементами a>ij>, А ={a>ij>}, z — искомый вектор с координатами z>j >, z={z>j>}, и — известный вектор с координатами и>i >,u= {u>i>}, i, j =1, 2, ..., п. Система (3; 2,1) называется вырожденной, если определитель системы равен нулю, detA = 0. В этом случае матрица А имеет равные нулю собственные значения. У плохо обусловленных систем такого вида матрица А имеет близкие к нулю собственные значения.
Если вычисления производятся с конечной точностью, то в ряде случаев не представляется возможным установить, является ли заданная система уравнений вырожденной или плохо обусловленной. Таким образом, плохо обусловленные и вырожденные системы могут быть неразличимыми в рамках заданной точности. Очевидно, такая ситуация имеет место в случаях, когда матрица А имеет достаточно близкие к нулю собственные значения.
В практических задачах часто правая часть и и элементы матрицы А, т. е. коэффициенты системы (3; 2,1), известны приближенно. В этих случаях вместо системы (3;2,1) мы имеем дело с некоторой другой системой Az=и такой, что ||A-A||<=h, ||u-u||<=, где смысл норм обычно определяется характером задачи. Имея
вместо матрицы А матрицу A, мы тем более не можем высказать определенного суждения о вырожденности или невырожденности системы (3; 2,1).
В этих случаях о точной системе Аz=u, решение которой надо определить, нам известно лишь то, что для матрицы А и правой части и выполняются неравенства
||A-A||<=h, ||u-u||<=. Но систем с такими исходными данными (А, и) бесконечно много, и в рамках известного нам уровня погрешности они неразличимы. Поскольку вместо точной системы (3; 2,1) мы имеем приближенную систему Аz= и, то речь может идти лишь о нахождении приближенного решения. Но приближенная система Аz=и может быть неразрешимой. Возникает вопрос:
что надо понимать под приближенным решением системы (3; 2,1) в описанной ситуации?
Среди «возможных точных систем» могут быть и вырожденные. Если они разрешимы, то имеют бесконечно много решений. О приближенном нахождении какого из них должна идти речь?
Таким образом, в большом числе случаев мы должны рассматривать целый класс неразличимых между собой (в рамках заданного уровня погрешности) систем уравнений, среди которых могут быть и вырожденные, и неразрешимые. Методы построения приближенных решений систем этого класса должны быть одними и теми же, общими. Эти решения должны быть устойчивыми к малым изменениям исходных данных (3; 2,1).
В основе построения таких методов лежит идея «отбора». Отбор можно осуществлять с помощью специальных, заранее задаваемых функционалов [ z ] , входящих в постановку задачи.
Неотрицательный функционал [ z ] , определенный на всюду плотном в F подмножестве F>1> множества F, называется стабилизирующим функционалом, если:
а) элемент z>T> принадлежит его области определения;
б) для всякого числа d>0 множество F>1,d> элементов z из F>1> , для которых
[ z ]<=d, компактно на F.
3.2.2. Итак, рассмотрим произвольную систему линейных алгебраических уравнений (короче — СЛАУ)
Аz =u, (3; 2,2)
в которой z и u—векторы, z=(z>1>, z>2>, ...,z>n>)Rn, и=(u>1>,u>2>, ...,u>n>)Rm, А—матрица с элементами a>ij>, А = {a>ij>}, где j =1, 2, ..., n; i= 1, 2, ..., т, и число п не обязано быть равным числу т.
Эта система может быть однозначно разрешимой, вырожденной (и иметь бесконечно много решений) и неразрешимой.
Псевдорешением системы (3; 2,2) называют вектор z, минимизирующий невязку || Az – u || на всем пространстве Rn. Система (3; 2,2) может иметь не одно псевдорешение. Пусть F>A> есть совокупность всех ее псевдорешений и z1 — некоторый фиксированный вектор из Rn, определяемый обычно постановкой задачи.
Нормальным относительно вектора z1 решением системы (3;2,2) будем называть псевдорешение z0 с минимальной нормой || z – z1 ||, т. е. такое, что
||
z0
– z1
|| =

Здесь
. В дальнейшем для простоты записи будем
считать z1=
0 и нормальное относительно вектора
z1=0
решение называть просто нормальным
решением.
Для любой системы вида (3; 2,2) нормальное решение существует и единственно.
Замечание 1. Нормальное решение z° системы (3;2,2) можно определить также как псевдорешение, минимизирующее заданную положительно определенную квадратичную форму относительно координат вектора z—z1. Все излагаемые ниже результаты остаются при этом справедливыми.
Замечание 2. Пусть ранг матрицы А вырожденной системы (3; 2,1) равен r < n и z>r+1>,z>r+2>, … , z>n>— базис линейного пространства N>A>, состоящего из элементов z, для которых Аz=0, N>A> = {z; Аz= 0}. Решение z° системы (3; 2,1), удовлетворяющее n—r условиям ортогональности
(z0 – z1, z>S>)= 0, S= r + 1, r + 2, .. ,n, (3; 2,3)
определяется однозначно и совпадает с нормальным решением.
3.2.3. Нетрудно видеть, что задача нахождения нормального решения системы (3; 2,2) является некорректно поставленной. В самом деле, пусть А — симметричная матрица. Если она невырожденная, то ортогональным преобразованием
z = Vz*, u = Vu*
ее можно привести к диагональному виду и преобразованная система будет иметь вид
>i>z>i>*=u>i>* , i= 1, 2,. .., п,
где >i> — собственные значения матрицы А.
Если симметричная матрица А — невырожденная и имеет ранг r, то n – r ее собственных значений равны нулю. Пусть
>i>0 для i=1, 2, ..., r;
и
>i>=0 для i=r+1,r+2, …, n.
Полагаем, что система (3; 2,2) разрешима. При этом u>i>*= 0 для i =r + 1, ..., n.
Пусть «исходные данные» системы (А и и) заданы с погрешностью, т. е. вместо А и и заданы их приближения А и u:
|| A – A ||<=h, ||u – u||<= . При этом
(3;2,4)
Пусть >i> — собственные значения матрицы А. Известно, что они непрерывно зависят от А в норме (3; 2,4). Следовательно, собственные значения >r+1> , >r+2>, …,>n> могут быть сколь угодно малыми при достаточно малом h.
Если они не равны нулю, то
z>i>*=
.
Таким образом, найдутся возмущения системы в пределах любой достаточно малой погрешности А и и, для которых некоторые z>i>* будут принимать любые наперед заданные значения. Это означает, что задача нахождения нормального решения системы (3; 2,2) является неустойчивой.
Ниже дается описание метода нахождения нормального решения системы (3; 2,2), устойчивого к малым (в норме (3; 2,4)) возмущениям правой части и , основанного на методе регуляризации.
3.3. Метод регуляризации нахождения нормального решения
3.3.1. Пусть z° есть нормальное решение системы
Аz = и. (3; 3,1)
Для простоты будем полагать, что приближенной может быть лишь правая часть, а оператор (матрица) А — точный.
Итак, пусть вместо и мы имеем вектор и, || и — и || <=; т. е. вместо системы (3;3,1) имеем систему
(3; 3,2)
Аz = u.
Требуется найти приближение z>> к нормальному решению системы (3;3,1), т. е. к вектору z° такое, что z>>> >z° при 0. Отметим, что векторы u и u (один из них или оба) могут не удовлетворять классическому условию разрешимости.
Поскольку система (3; 3,1) может быть неразрешимой, то inf ||Az-u|| = >=0, где inf берется по всем векторам z Rn.
Естественно искать приближения z>>> > в классе Q>>> > векторов z, сопоставимых по точности с исходными данными, т. е. таких, что || Az – u ||<=+. Но поскольку вместо вектора u мы имеем вектор u, то мы можем найти лишь
=inf || Az – u ||.
z Rn
Отметим, что из очевидных неравенств
||Az – u ||<=||Az – u || + || u – u || ,
||Az – u ||<= || Az – u || + ||u – u ||
следуют оценки <=+, <=+, приводящие к неравенству | — | <=. Поэтому будем искать приближение z>> к нормальному решению z° в классе Q>> векторов z, для которых || Аz — и || <= +2. Отметим, что если имеется информация о разрешимости системы (3;3,1), то = 0 и в качестве класса Q>> можно брать класс векторов z, для которых || Аz — и|| <= . Класс Q>> есть класс формально возможных приближенных решений.
Но нельзя в качестве z>> брать произвольный вектор из класса Q>>, так как такое «приближение» будет неустойчивым к малым изменениям правой части уравнения (3;3,2). Необходим принцип отбора. Он естественным образом вытекает из постановки задачи. В самом деле согласно определению нормального решения искомое решение z° должно быть псевдорешением с минимальной нормой. Поэтому в качестве приближения к z° естественно брать вектор z>> из Q>>, минимизирующий функционал
[ z ] = ||z||2 на множестве Q>> .
Таким образом, задача сводится к минимизации функционала [ z ] = ||z||2 на множестве Q>> векторов z, для которых выполняется условие || Аz — u || <= +2.
3.3.2. Пусть z>> — вектор из Q>>, на котором функционал ||z||2 достигает минимума на множестве Q>>. Его можно рассматривать как результат применения к правой части u уравнения (3; 3,2) некоторого оператора R>1>(u,), зависящего от параметра . Справедлива
Теорема 1. Оператор R>1>(u,) обладает следующими свойствами:
1) он определен для всякого uRm и любого > 0;
2) при 0 z>>== R>1>(u,) стремится к нормальному решению z° уравнения Аz=u, т. е. он является регуляризирующим для уравнения Аz=u .
3.3.3. Пусть z>> — вектор, на котором функционал [ z ] = ||z||2 достигает минимума на множестве Q>>. Легко видеть из наглядных геометрических представлений, что вектор z>> лежит на границе множества Q>>, т.е. ||Az>>> >- u ||= +2 =>1>.
Это следует непосредственно также из того, что функционал [ z ] = ||z||2 является сстабилизирующим и квазимонотонным. Стабилизирующий функционал [ z ] называется квазимонотонным , если каков бы ни был элемент z из F>1 >, не принадлежащий множеству M>0 >, в любой его окрестности найдется элемент z>1> из F>1>, для которого [ z>1> ]<[ z ], т.е. если функционал не имеет локальных минимумов на множестве F>1>\ M>0>.
Задачу нахождения вектора z>> можно поставить так: среди векторов z, удовлетворяющих условию ||Az – u ||= +2 , найти вектор z>> с минимальной нормой, т. е. минимизирующий функционал [ z ]=||z||2.
Последнюю задачу можно решать методом Лагранжа, т. е. в качестве z>>> >брать вектор z, минимизирующий функционал
М [z, u] = ||Az - u ||2+||z||2, >0,
с параметром , определяемым по невязке, т. е. из условия ||Аz— u||=1. При этом параметр определяется однозначно .
3.3.4. Поскольку М [z, u] — квадратичный функционал, то для любых uRm и > 0 существует лишь один минимизирующий его вектор z. В самом деле, допустим,
что существуют два вектора z и z, минимизирующие его. Рассмотрим векторы z, расположенные на прямой (пространства Rn), соединяющей z и z:
z = z + (z - z).
Функционал М [z, u] на элементах этой прямой есть неотрицательная квадратичная функция от . Следовательно, она не может достигать наименьшего значения при двух различных значениях : = 0 (z = z) и =1 (z = z).
Компоненты z>j> вектора z являются решением системы линейных алгебраических уравнений

получающихся из условий минимума функционала М [z, u]:

Здесь

Компоненты z>j> могут быть определены и с помощью какого-нибудь другого алгоритма минимизации функционала М [z, u].
Вектор z можно рассматривать как результат применения к u некоторого оператора z=R(u, ), зависящего от параметра .
Покажем, что оператор R>0>(u, ) является регуляризирующим для системы (3;3,1), т. е. обладает свойствами 1) и 2) определения 2 (см. 3.1.2.). В п. 3.3.2. было сказано, что он определен для всяких uRm и > О и, следовательно, обладает свойством 1). Теперь покажем справедливость свойства 2), т. е. существование таких функций = , что векторы z = R>0>(u, ) сходятся к нормальному решению z° системы (3; 3,1) при 0. Это непосредственно следует из приводимой ниже теоремы 2.
Теорема 2( Тихонова). Пусть z° есть нормальное решение системы Az= u и вместо вектора u мы имеем вектор u такой, что ||u—u||<=. Пусть, далее, и — какие-либо непрерывные на [0, 2] и положительные на (02] функции, монотонно стремящиеся к нулю при 0 и такие, что

Тогда для любой .положительной на (0, ] функции , удовлетворяющей условиям

векторы z = R>0>(u, ) сходятся к нормальному решению z0 системы Az = u при 0, т. е.

Примечание. Доказательства теорем в данном разделе опущены, т.к. основной теоретической частью работы является раздел «Метод Подбора. Квазирешения». Метод Тихонова описан из-за использования его в численном эксперименте.
ЗАКЛЮЧЕНИЕ
Для реализации численного примера был выбран метод Тихонова решения плохо обусловленных СЛАУ. В качестве исходной была взята СЛАУ Az=u, имеющая в матричной записи вид:

Определитель матрицы коэффициентов этой системы близок к нулю – он равен 0.000125. Попробуем решить эту систему с помощью обратной матрицы:
z=A-1u
Получим z>1>=316
z>2>=-990
z>3>=832
Теперь предположим, что правая часть нам известна приближенно, с погрешностью 0.1 Изменим, к примеру, третий элемент вектора-столбца с 1 на 1.1 :

Попробуем решить новую систему также с помощью обратного оператора. Мы получаем другой результат:
z>1>=348
z>2>=-1090
z>3>=916.
Мы видим, что малому изменению правой части данной системы отвечают весьма значительные изменения решения. Очевидно, эта система – плохо обусловленная, и здесь не может идти речи о нахождении решения близкого к точному с помощью обратного оператора.
Будем искать решение методом Тихонова. В теоретической части было показано, что целесообразно использовать регуляризирующий оператор следующего вида: (E + ATA)z=ATu>> , где E – единичная матрица, zприближенное нормальное решение, AT – транспонированная исходная матрица, параметр регуляризации,
u>> -- правая часть, заданная неточно. Эту задачу можно решать стандартными методами, задав предварительно функцию удовлетворяющую условиям теоремы Тихонова. В моем примере это функция =/4Далее будем решать регуляризованную задачу с точностью .001 ,последовательно изменяя значения .
В качестве контр-примера можно подставить в программу любую функцию , не удовлетворяющую условиям теоремы Тихонова. Любая положительная функция монотонно возрастающая, не обладающая свойством 0 при 0, не будет минимизировать невязку.
Текст программы приведен в приложении 1. Полная распечатка результатов приведена в приложении 2. Здесь же представлены окончательные значения на выходе из программы.
Приближение к нормальному решению
Z(1)= 3.47834819174013E+0002
Z(2)=-1.08948394975175E+0003
Z(3)= 9.15566443137791E+0002
Значение правой части при подстановке прибл. решения
U1(1)= 9.99997717012495E-0001
U1(2)= 1.00000741970775E+0000
U1(3)= 1.09948402394883E+0000
Значение параметра регуляризации:
2.61934474110603E-0010
ПРИЛОЖЕНИЯ
Приложение 1.
Текст программы для реализации метода Тихонова на языке PASCAL
Uses CRT;
type
real=extended;
const
matrixA: array[1..3,1..3] of real = ((-19/20,1/5, 3/5),
(-1 ,0.1, 0.5),
(-0.01 ,0 ,1/200));
One: array [1..3,1..3] of real = ((1,0,0),
(0,1,0),
(0,0,1));
U:array[1..3] of real = (1,1,1.1);
var
i,j,k,q:byte;
A,At,A1,A2,Ar,One1:array[1..3,1..3] of real;
delta,Det,S,alpha:real;
B,Z,U1:array[1..3] of real;
f:text;
Procedure TransA;
begin
for i:=1 to 3 do
for j:=1 to 3 do
At[i,j]:=A[j,i]
end;
Function Koef(par1,par2:byte):real;
var
Sum:byte;
Tmp:real;
begin
Sum:=par1+par2;
Tmp:=1;
for k:=1 to sum do
Tmp:=Tmp*(-1);
Koef:=Tmp;
end;
Function AlAdd(par1,par2:byte):real;
type
element=record
value:real;
flag:boolean;
end;
var
BB:array[1..2,1..2] of real;
AA:array[1..3,1..3] of element;
k,v,w:byte;
N:array[1..4] of real;
P1:real;
begin
for v:=1 to 3 do
for w:=1 to 3 do begin
AA[v,w].value:=A2[v,w];
AA[v,w].flag:=true
end;
for v:=1 to 3 do AA[par1,v].flag:=false;
for v:=1 to 3 do AA[v,par2].flag:=false;
{ for v:=1 to 3 do begin
for w:=1 to 3 do write(AA[i,j].value:2:3,' ');
writeln
end; }
k:=1;
for v:=1 to 3 do
for w:=1 to 3 do
begin
if AA[v,w].flag then
begin
N[k]:=AA[v,w].value;
{ writeln(N[k]);}
k:=k+1
end;
end;
BB[1,1]:=N[1]; BB[1,2]:=N[2];
BB[2,1]:=N[3]; BB[2,2]:=N[4];
{ writeln('alg dop',par1,par2,' ',BB[1,1]*BB[2,2]-BB[1,2]*BB[2,1]);}
AlAdd:=BB[1,1]*BB[2,2]-BB[1,2]*BB[2,1];
end;
Function DetCount:real;
var
S1:real;
z:byte;
begin
S1:=0;
for z:=1 to 3 do S1:=S1+A2[1,z]*Koef(1,z)*AlAdd(1,z);
DetCount:=S1;
end;
Procedure RevMatr;
begin
for i:=1 to 3 do
for j:=1 to 3 do
Ar[j,i]:=Koef(i,j)*AlAdd(i,j)/DetCount;
{ for i:=1 to 3 do begin
for j:=1 to 3 do write(Ar[i,j],' ');
writeln;
end;}
end;
Function AllRight:boolean;
begin
writeln(f,'Ґўп§Є Ї® 1-¬г н«-вг',(abs(U[1]-U1[1])));
writeln(f,'Ґўп§Є Ї® 2-¬г н«-вг',(abs(U[2]-U1[2])));
writeln(f,'Ґўп§Є Ї® 3-¬г н«-вг',(abs(U[3]-U1[3])));
writeln(F);
if (abs(U[1]-U1[1])<0.001) and (abs(U[2]-U1[2])<0.001) and
(abs(U[3]-U1[3])<0.001) then AllRight:=true
else AllRight:=false
end;
Function Pow(par1:real;par2:byte):real;
var
S2:real;
z:byte;
begin
S2:=1;
if par2=0 then begin
Pow:=1;
exit
end
else
for z:=1 to par2 do S2:=S2*par1;
Pow:=S2;
end;
BEGIN
clrscr;
Assign(f,'c:\tikh.txt');
Rewrite(f);
for i:=1 to 3 do
for j:=1 to 3 do
A[i,j]:=matrixA[i,j];
TransA;
Det:=0.000125;
{----------------------------}
for i:=1 to 3 do begin
S:=0;
for j:=1 to 3 do begin
S:=S+At[i,j]*U[j];
B[i]:=S
end;
end;
{----------------------------}
for i:=1 to 3 do
for j:=1 to 3 do
begin
S:=0;
for k:=1 to 3 do begin
S:=S+At[i,k]*A[k,j];
A1[i,j]:=S
end
end;
{-----------------------------}
q:=1;
repeat
alpha:=q/pow(4,q);
for i:=1 to 3 do
for j:=1 to 3 do
One1[i,j]:=One[i,j]*alpha;
for i:=1 to 3 do
for j:=1 to 3 do
A2[i,j]:=One1[i,j]+A1[i,j];
RevMatr;
{------------------------------}
for i:=1 to 3 do begin
S:=0;
for j:=1 to 3 do begin
S:=S+Ar[i,j]*B[j];
Z[i]:=S
end;
end;
for i:=1 to 3 do begin
S:=0;
for j:=1 to 3 do begin
S:=S+A[i,j]*Z[j];
U1[i]:=S
end
end;
q:=q+1;
until AllRight;
{------------------------------}
clrscr;
writeln('ЏаЁЎ«Ё¦ҐЁҐ Є ®а¬ «м®¬г аҐиҐЁо');
for i:=1 to 3 do writeln('Z(',i,')=',z[i]);
writeln;
writeln('‡ 票Ґ Їа ў®© з бвЁ ЇаЁ Ї®¤бв ®ўЄҐ ЇаЁЎ«. аҐиҐЁп');
for i:=1 to 3 do writeln('U1(',i,')=',U1[i]);
writeln;
writeln('‡ 票Ґ Ї а ¬Ґва ॣг«паЁ§ жЁЁ:');
writeln(alpha);
Close(f);
readln;
END.
Приложение 2.
Распечатка результатов пересчета на каждом шаге
невязка по 1-му эл-ту 7.75620788018006E-0002
невязка по 2-му эл-ту 9.12970302562861E-0002
невязка по 3-му эл-ту 1.09101153877771E+0000
невязка по 1-му эл-ту 3.51667654246499E-0002
невязка по 2-му эл-ту 4.81631787337596E-0002
невязка по 3-му эл-ту 1.09057642915500E+0000
невязка по 1-му эл-ту 8.14255746519741E-0003
невязка по 2-му эл-ту 1.75271999674588E-0002
невязка по 3-му эл-ту 1.09024740493812E+0000
невязка по 1-му эл-ту 1.64128226088452E-0004
невязка по 2-му эл-ту 1.40420815653456E-0003
невязка по 3-му эл-ту 1.09002512985506E+0000
невязка по 1-му эл-ту 1.09651876415789E-0003
невязка по 2-му эл-ту 8.01044623892439E-0003
невязка по 3-му эл-ту 1.08980075500722E+0000
невязка по 1-му эл-ту 3.24092274239579E-0003
невязка по 2-му эл-ту 1.28969442769472E-0002
невязка по 3-му эл-ту 1.08943309314635E+0000
невязка по 1-му эл-ту 4.29878415191160E-0003
невязка по 2-му эл-ту 1.47864580098997E-0002
невязка по 3-му эл-ту 1.08840358157784E+0000
невязка по 1-му эл-ту 4.64764022304719E-0003
невязка по 2-му эл-ту 1.53489294761093E-0002
невязка по 3-му эл-ту 1.08488736141985E+0000
невязка по 1-му эл-ту 4.70263264899617E-0003
невязка по 2-му эл-ту 1.53524096326819E-0002
невязка по 3-му эл-ту 1.07252416252061E+0000
невязка по 1-му эл-ту 4.54618391386039E-0003
невязка по 2-му эл-ту 1.47935415193105E-0002
невязка по 3-му эл-ту 1.03007092553528E+0000
невязка по 1-му эл-ту 3.97950585276394E-0003
невязка по 2-му эл-ту 1.29378307693635E-0002
невязка по 3-му эл-ту 9.00028069734717E-0001
невязка по 1-му эл-ту 2.71895340473448E-0003
невязка по 2-му эл-ту 8.83742514077426E-0003
невязка по 3-му эл-ту 6.14624514462952E-0001
невязка по 1-му эл-ту 1.25089904346179E-0003
невязка по 2-му эл-ту 4.06552487723671E-0003
невязка по 3-му эл-ту 2.82729125073012E-0001
невязка по 1-му эл-ту 4.15581257891512E-0004
невязка по 2-му эл-ту 1.35064829843828E-0003
невязка по 3-му эл-ту 9.39264706989556E-0002
невязка по 1-му эл-ту 1.18814900667952E-0004
невязка по 2-му эл-ту 3.86149131520602E-0004
невязка по 3-му эл-ту 2.68533566153482E-0002
невязка по 1-му эл-ту 3.22671215741144E-0005
невязка по 2-му эл-ту 1.04868192738639E-0004
невязка по 3-му эл-ту 7.29267248287954E-0003
невязка по 1-му эл-ту 8.61328853146714E-0006
невязка по 2-му эл-ту 2.79931897352870E-0005
невязка по 3-му эл-ту 1.94668264668650E-0003
невязка по 1-му эл-ту 2.28298750498679E-0006
невязка по 2-му эл-ту 7.41970775380851E-0006
невязка по 3-му эл-ту 5.15976051172231E-0004
Приближение к нормальному решению
Z(1)= 3.47834819174013E+0002
Z(2)=-1.08948394975175E+0003
Z(3)= 9.15566443137791E+0002
Значение правой части при подстановке прибл. решения
U1(1)= 9.99997717012495E-0001
U1(2)= 1.00000741970775E+0000
U1(3)= 1.09948402394883E+0000
Значение параметра регуляризации:
2.61934474110603E-0010
СПИСОК ИСПОЛЬЗОВАННЫХ ИСТОЧНИКОВ
1.А.Н.ТИХОНОВ, В.Я.АРСЕНИН «МЕТОДЫ РЕШЕНИЯ НЕКОРРЕКТНЫХ ЗАДАЧ» – МОСКВА «НАУКА» 1979.
2.Г.И.МАРЧУК «МЕТОДЫ ВЫЧИСЛИТЕЛЬНОЙ МАТЕМАТИКИ» – МОСКВА «НАУКА» 1977.
3.Л.И.ГОЛОВИНА «ЛИНЕЙНАЯ АЛГЕБРА И НЕКОТОРЫЕ ЕЕ ПРИЛОЖЕНИЯ» – МОСКВА «НАУКА» 1975.
4.В.И.РАКИТИН, В.Е.ПЕРВУШИН «ПРАКТИЧЕСКОЕ РУКОВОДСТВО ПО МЕТОДАМ ВЫЧИСЛЕНИЙ» – МОСКВА «ВЫСШАЯ ШКОЛА» 1998.
5.В.В.ФАРОНОВ «ПРОГРАММИРОВАНИЕ НА ПЕРСОНАЛЬНЫХ ЭВМ В СРЕДЕ TURBO PASCAL» -- ИЗДАТЕЛЬСТВО МГТУ 1990.