Обеспечение надежности функционирования КС (работа 1)
Министерство образования Украины
НТУУ «КПИ»
Кафедра АСОИУ
КУРСОВАЯ РАБОТА
по дисциплине
«ОБЕСПЕЧЕНИЕ НАДЕЖНОСТИ ФУНКЦИОНИРОВАНИЯ КС»
Вариант № 19.
Принял Выполнил
Кузнецов В.Н. студент группы ИС-31
Савчук О.А.
Киев 1998
Задание
Задание 1.
Вычислить восстанавливаемости (f>>>в> (t),V(t), T>в>) системы, если известна функция F(x) распределения времени длительности восстановления системы. Построить график зависимости плотности f>>>в>(t) распределения от времени t.
Закон распределения F(x): равномерный.
Определяемый показатель: восстанавливаемость.
Задание 2.
Для одного из видов нагрузки (нагружен, ненагружен) определить показатели λ>c>, P>c>(t), Q>c>(t), T>oc> и K>гс> восстанавливаемой системы, состоящей из 3 типов средств, если известны:
|
>1>= |
10E-4 1/ч |
|
>2>= |
10Е-2 1/ч |
|
>3>= |
0,1 1/ч |
|
T>в1>= |
1 ч |
|
T>в2>= |
0,5 ч |
|
T>в3>= |
0,25 ч |
|
t>p>= |
100 ч |
Резерв нагружен.
Схема ССН изображена на рисунке №1.
Р
ис.
1.
Задание 3.
Определить показатели λ>c> и Т>ос>, если известны вероятности безотказной работы элементов за время t=10 ч, система не восстанавливаемая:
|
P>1>= |
0,5 |
|
P>2>= |
0,6 |
|
P>3>= |
0,7 |
|
P>4>= |
0,8 |
|
P>5>= |
0,85 |
|
P>6>= |
0,9 |
|
P>7>= |
0,92 |
Схема ССН изображена на рисунке №2.
Р
ис.2.
Задание 4.
Применяя различные виды резервирования (структурное, временное ), для приведенной в задании 2 структуры обеспечить следующие значения показателей надежности системы при минимальной ее стоимости:
Т>0>>=2*103 ч, К>г>>=0,99 и P(t)>=0,95 при t=100 ч, если известны стоимости средств, входящих в систему (в условных единицах): C>1>=103; C>2>=500;C>3>=100;C>4>=50. Стоимость 1 ч резерва времени считать равной 100 у.е.
Содержание
КУРСОВАЯ РАБОТА 1
Задание 2
Содержание 4
Введение 5
Расчетная часть 6
Задание 1 6
Задание 2 8
Задание 3 11
Задание 4 14
Выводы 15
Литература 16
Введение
В последние годы все больше и больше различная вычислительная техника входит в нашу жизнь и выполняет все более сложные и ответственные задачи. Сейчас уже многие опасные и жизненно важные технологические процессы автоматизированы с использованием вычислительной техники. Это приводит к необходимости обеспечения высокой надежности и эффективности таких систем.
В данной работе отражаются основные принципы и методы расчета надежности автоматизированных систем различных структур.
Расчетная часть
Задание 1
Функция F(x) распределения времени длительности восстановления системы выглядит следующим образом:
Р
ис.
3.
Решение.
1. Найдем f>τ>>в>(t) при различных значениях аргумента. При -∞ < t а f>τ>>в>(t)=0; при a t < b f>τ>>в>(t)=F(t)
> >
Следовательно
П
римем:
a=5, b=10
Н
айдем
вероятность восстановления системы
за время t - G(t):
при -∞
< t
a G(t)=0; при b
t
∞
G(t)=0; при a <
t < b :
Найдем T>в>. При -∞ < t a T>в>=0; при b t ∞ T>в>=1;
п
ри
0
t < ∞
В результате мы получили следующие формулы для вычисления показателей безотказности системы;
а) плотность распределения длительности восстановления системы f>τ>>в>(t):
Р
ис.
4.
на рис. 4 приведен график плотности при a=5, b=10.
б) вероятность восстановления течение времени t
в

)
среднее время восстановления:
Задание 2
Структура системы приведена на рисунке 1 в задании. А данные следующие:
|
>1>= |
0,0001 1/ч |
|
>2>= |
0,01 1/ч |
|
>3>= |
0,1 1/ч |
|
T>в1>= |
1 ч |
|
T>в2>= |
0,5 ч |
|
T>в3>= |
0,25 ч |
|
t>p>= |
100 ч |
Резерв нагружен.
Решение.
Будем использовать алгоритм последовательного структурного укрупнения. Суть метода состоит в последовательном преобразовании системы. Преобразуем параллельную часть структуры системы, используя формулы дублирования для нагруженного резерва:
Все преобразования показаны на рисунке 5.
Р
ис.
5.
Для последовательного включения 2-3 формулы надежности:

Получаем:

Далее
рассчитываем параметры для дублированных
элементов 2-3, при параллельном включении:

Аналогично
для элемента 1:
Предполагаем что время отказа и восстановления системы распределено по экспоненциальному закону. Используя вышеприведенные формулы, вычислим интенсивность отказов системы и среднюю наработку на отказ:
λ> с>= 0,00622589473 1/ч; T>oc> = 160,619 ч;
Также по формуле для среднего времени восстановления системы при последовательном соединении 1d и 23d получаем:

так как интенсивность устранения отказов резервированого узла содержащего k елементов:
μ>у> = k*μ>j> ;
Вероятность безотказной работы системы:

P>c>(100)= 0,537; Q>c>(100)=0,463;
Коэффициент готовности:

К>гс>= 0,999152;
В результате расчетов мы получили следующие показатели надежности:
λ> с>= 0,00622589473 1/ч;
T>oc> = 160,619 ч;
К>гс>= 0,999152;
P>c>(100)= 0,537;
Q>c>(100)= 0,463;
Задание 3
Структура системы отображена на рис. 2 в задании.
Решение.
Будем использовать алгоритм последовательного структурного укрупнения. Суть метода состоит в последовательном преобразовании системы. Преобразуем заданнную структуру в структуру с последовательным соединением элементов. При этом будем использовать метод разложения булевой функции относительно «особого» элемента.
Преобразуем схему в две (рис. 6,7.)
Р
ис.
6.
Р
ис.
7.
Таким образом, мы преобразовали функцию B=f(A>i>), i=1,7 к следующему виду:
B=A>3>f(A>i>) A>3>f(A>i>)
Получаем вероятность безотказной работы
P(B)=P(A>3>f(A>i>))+P(A>3>f(A>i>))= P(A>3>)P(f(A>i>/A>3>))+ P(A>3>)P(f(A>i>/A>3>))= =P>3>(t) P(f(A>i>), при A>3>=1)+(1- P>3>(t)) P(f(A>i>), при A>3>=0)
Также имеем формулы для последовательного и параллельного соединений:
-
последовательное
-параллельное
Отсюда получаем, для схемы 1 и 2:
P>cx1>= P>3>(t)* ( 1-(1-P>1>P>4>P>5>P>6>)(1- P>2>P>7>) ).
P>cx2>= (1- P>3>(t))*( (1-(1- P>1>)(1- P>2>))*(1-(1-P>4>P>5>P>6>)(1- P>7>)) ).
И далее , вероятность безотказной работы:
P>c>= P>cx1> + P>cx2.>
Предполагаем, что время отказа элементов системы распределено по экспоненциальному закону.
Из соотношения
находим

при t=10, получаем:
|
P>1>= |
0,5 |
λ>1>= |
0,0693 |
|
P>2>= |
0,6 |
λ>2>= |
0,0510 |
|
P>3>= |
0,7 |
λ>3>= |
0,0356 |
|
P>4>= |
0,8 |
λ>4>= |
0,0223 |
|
P>5>= |
0,85 |
λ>5>= |
0,0162 |
|
P>6>= |
0,9 |
λ>6>= |
0,0105 |
|
P>7>= |
0,92 |
λ>7>= |
0,0083 |
А время безотказной работы всей системы:


Подставляем полученные фрмулы в интеграл.
В результате расчетов мы получили следующее значение времени безотказной работы:
T>0c >= 8.4531+10-5.9067+12.8866+16.8634-7.7760-7.8989-
-9.2336+5.6306-7.3746+4.8804-8.8339+6.0901+6.1652+6.9493=
=30,895 ч.
Задание 4
Решение.
Произведем сравнение значений полученных в задании 2 показателей надежности T>oc>, К>гс> и P>c>(t) с приведенными требованиями
T>oc> = 160,619 ч<2000;
К>гс>= 0,999152>0,99;
P>c>(100)= 0,537<0.95;
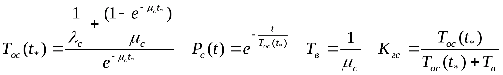
Cравнивая их с требуемыми, видим, что кроме коэффициента готовности, показатели не обеспечены. Так как стоимость резерва времени меньше стоимости ненадежного элемента, применим временное резервирование. Для расчета показателей надежности используются следующие соотношения:

Используя данные соотношения, найдем такое t>*>,чтобы показатели надежности соответствовали норме.
|
t>*> ч |
T>oc>(t>*>) ч |
P>c>(100) |
К>гс> |
|
1 |
1691,978651 |
0,999409 |
0,999919 |
|
0,5 |
199,6174595 |
0,997498 |
0,999317 |
|
0,75 |
405,2974417 |
0,998151 |
0,999664 |
|
0,625 |
258,3638926 |
0,997584 |
0,999473 |
|
1,5 |
60094,52894 |
0,999975 |
0,999998 |
|
1,25 |
9741,126251 |
0,999872 |
0,999986 |
|
1,1 |
3349,283294 |
0,999672 |
0,999959 |
|
1,05 |
2370,37751 |
0,999557 |
0,999942 |
|
1,02 |
1933,929442 |
0,999473 |
0,99993 |
|
1,03 |
2068,882229 |
0,999502 |
0,999934 |
|
1,025 |
2000,168795 |
0,999488 |
0,999932 |
Получаем, что при t>*>=1,025 ч. показатели надежности соответствуют норме. Продублируем последовательно все элементы цена которых меньше 100у.е.*t>*>= 102,5 усл. ед.
Это будет элемент С>3> . Дублируем их:
λ>4c> 0.0047 1/ч.
T>в> 253.25 ч.
Как видим при дублировании самого дешевого элемента мы не обеспечиваем требуемые показатели надежности.
Поэтому применим временное резервирование с параметром t>*>=1,025 ч.
Выводы
В данной работе мы выполнили несколько показательных расчетов, таких как:
вычисление показателей безотказности/восстанавливаемости системы,
определение различных параметров восстанавливаемой системы для нагруженного резерва, состоящей из 3 средств,
определили параметры надежности системы, содержащей узлы типа «треугольник»,
а также применили различные виды резервирования (структурное и временное) и сравнили их эффективность на примере задачи 2.
В целом данная работа показывает основные принципы анализа надежности автоматизированных систем.
Литература
Методические указания к изучению курса «Прикладная теория надежности»/Сост.Рожков.- К.:КПИ, 1988.-48с.
Надежность АСУ: Учеб.пособие для ВУЗов /Под ред. Я.А.Хотагурова.-М.: Высш.шк., 1985.-168 с.
Конспект лекций по курсу «Теория надежности»