Практика перевода числа из одной системы счисления в другую + блок-схема алгоритма определения наименьшего числа
Задание №1, вопрос №1: Перевести заданные числа в десятичную систему счисления.
ТАБЛИЦА
-
С и с т е м а с ч и с л е н и я
10
2
8
16
0
0
0
0
1
1
1
1
2
1 0
2
2
3
1 1
3
3
4
1 0 0
4
4
5
1 0 1
5
5
6
1 1 0
6
6
7
1 1 1
7
7
8
1 0 0 0
1 0
8
9
1 0 0 1
1 1
9
10
1 0 1 0
1 2
A
11
1 0 1 1
1 3
B
12
1 1 0 0
1 4
C
13
1 1 0 1
1 5
D
14
1 1 1 0
1 6
E
15
1 1 1 1
1 7
F
16
1 0 0 0 0
2 0
1 0
А) 1101101,1102
Для перевода целого числа из двоичной системы в десятичную необходимо цифры умножать на двойку в степени номера позиции (номер позиции начинается с нуля и нумеруется с права на лево). В не целых числах та часть числа, которая стоит после запятой, переводится отдельно, и дописывается к уже полученному числу.
11011012 = 1x20+0x21+1x22+1x23+0x24+1x25+1x26=10910
Переведём дробную часть:
1102 = 0x20+1x21+1x22 = 610
Итак, мы получаем, что 1101101,1102=109,610
Б) 226,518
Для того, чтобы перевести число из восьмиричной системы в десятичную, необходимо сначала перевести его по таблице в начале контрольной в двоичную, а затем выше описанным методом в десятичную систему. Перевод по таблице делается справа налево, по одной цифре, причём в двоичном варианте должны выходить триады (цифры по три штуки), и если символов меньше, необходимо при переводе каждой цифры дописывать слева нули.
Мы получаем, что 226,518=10010110,1010012
По правилу перевода числа из двоичной системы в десятичную получаем, что 10010110,1010012=150,4110
Итого: 226,518=150,4110
В) ВС16
Используем метод, описанный в числе «Б», с той разницей, что в двоичном коде мы должны получить тетрады (цифры по четыре штуки).
Получаем, что ВС16=101111002
Затем, способом перевода двоичного числа в десятичное выясняем, что:
ВС16=18810
Задание №1, вопрос №2: Выполнить указанные действия в заданной системе счисления.
А)
100112
+ 1102
= 110012
Б)
6328
- 248
= 6268
В)
64316
+ 6D16
= 6B016
Задание №1, вопрос №3: Заданные чиста и полученные результаты арифметических операции пункта 2 перевести в десятичною систему счисления и выполнить проверку полученных результатов в десятичной системе счисления.
А) Способом, описанным в задании №1, вопросе №1, подвопросе А, получаем, что:
100112=1910
1102=610
110012=2510
Б) Способом, описанным в задании №1, вопросе №1, подвопросе Б, получаем, что:
6328=41010
248=2010
6268=40610
В) Способом, описанным в задании №1, вопросе №1, подвопросе В, получаем, что:
64316=160310
6D16=10910
6B016=171210
ВЫВОД: Так как все операции с числами сходятся в десятичной системе счисления, и при переводе чисел заданий с ответами тоже, то предыдущее задание выполнено верно.
Задание №1, вопрос №4: Перевести заданные в десятичной системе счисления числа в системы с основаниями 2, 8 и 16:
65210
984,65210
23674,56677510
Ответ:
Для того, чтобы перевести число из десятичной системы в любую другую, необходимо это число делить на число – основание той системы, в которую переводится число. Соответственно, эти числа – 2, 8, 10 и 16. Остатки необходимо фиксировать и нумеровать. Число, полученное в результате деления – делим ещё раз, и так до тех пор, пока вновь полученное число уже само не станет остатком, т. е. будет меньше основания – оно замыкает цепочку остатков. Затем остатки, начиная с последнего, переписываем в число, которое является переведённым в другую систему счисления.
Разделим число 63210 на 2, переведя его таким образом в двоичную систему счисления:
632/2=316, остаток №1 (A1)=0;
316/2=158, A2=0
158/2=79, A3=0
79/2=39, A4=1
39/2=19, A5=1
19/2=9, A6=1
9/2=4, A7=1
4/2=2, A7=0
2/2=1, A8=0
A9=1.
Теперь напишем остатки с последнего, и получим число 63210 в двоичной системе, оно = A9+A8+A7+A6+A5+A4+A3+A2+A1 =
= 10011110002
Путём такого деления узнаём, что:
63210 = 10011110002 = 27816 = 11708
984,65210=1111011000,10011110002=3D8, 27816=1730,11708
23674,56677510=57CA,8A5F716=56172,21227678 =
= 101110001111010,100010100101111101112
Задание №1, вопрос №5: Перевести заданные в одной системе счисления числа в другую указанную в скобках систему счисления.
А) 333,13 8 (8 - 2)
Б) 11101010,111112 (2-8)
В) 2336,748 (8-16)
Для того, чтобы перевести число «В» необходимо сначала перевести его в двоичную систему счисления. Используя метод, изложенный при решении задания №1, вопроса№1, подвопроса «Б» и «В» получаем:
333,138=11011011,10112
11101010,111112=352,378
2336,748=4DE,3C16
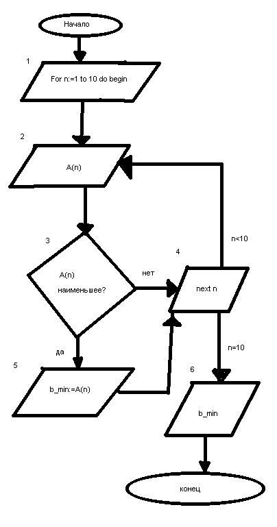
Задание №2: Блок схема алгоритма определения минимального из десяти заданных чисел.
