Сетевые графики (работа 1)
Министерство общего и профессионального образования РФ.
Уральский государственный университет.
Сетевые графики
Курсовая работа студента
группы ИС-202 Лисицын В.С.
Руководитель Замятин А. П.
Екатеринбург, 1999.
Многие крупные проекты, такие как строительство дома, изготовление станка, разработка автоматизированной системы бухгалтерского учета и т.д., можно разбить на большое количество различных операций (работ). Некоторые из этих операций могут выполняться одновременно, другие — только последовательно: одна операция после окончания другой. Например, при строительстве дома можно совместить во времени внутренние отделочные работы и работы по благоустройству территории, однако возводить стены можно только после того, как будет готов фундамент.
Задачи планирования работ по осуществлению некоторого проекта состоят в определении времени возможного окончания как всего проекта в целом, так и отдельных работ, образующих проект; в определении резервов времени для выполнения отдельных работ; в определении критических работ, то есть таких работ, задержка в выполнении которых ведет к задержке выполнения всего проекта в целом; в управлении ресурсами, если таковые имеются и т.п.
Пусть некоторый проект W состоит из работ V>1>,...,V>n>; для каждой работы V>k>, известно, или может быть достаточно точно оценено время ее выполнения t(V>k>). Кроме того, для каждой работы V>k> известен, возможно пустой, список ПРЕДШ(V>k>) работ, непосредственно предшествующих выполнению работы V>k>. Иначе говоря, работа V>k> может начать выполняться только после завершения всех работ, входящих в список ПРЕДШ(V>k>).
Для удобства, в список работ проекта W добавим две фиктивные работы s и p, где работа s обозначает начало всего проекта W. а работа p — завершение работ по проекту W. При этом будем считать, что работа s предшествует всем тем работам vW, для которых список ПРЕДШ(v) пуст, иначе говоря, для всех таких работ vW положим ПРЕДШ(v)={s}. Положим далее ПРЕДШ(s) =, ПРЕДШ(p)={vW: v не входит ни в один список ПРЕДШ(w)}, то есть считаем, что работе p предшествуют все те работы, которые могут выполняться самыми последними. Время выполнения работ s и p естественно положить равными нулю: t(s)=t(p)=0.
Весь проект W теперь удобно представить в виде сети G=(V,E,c). Ориентированный взвешенный граф G=(V,E,c) называется сетью. Сеть может быть представлена матрицей весов дуг, массивами смежностей СЛЕД или ПРЕДШ, или списками СЛЕД[v] или ПРЕДШ[v]. При этом записи в списках смежности состоят из трех компонент: поля имени узла, поля веса соответствующей дуги и поля ссылки на следующую запись), где сеть G=(V,E,c) определим по правилам:
V=W, то есть множеством узлов объявим множество работ;
E={(v,w) : vПРЕДШ(w)}, то есть отношение предшествования задает дуги в сети;
c(v,w)=t(w).
Так построенную сеть G часто называют сетевым графиком выполнения работ по проекту W. Легко видеть, что списки смежностей этой сети ПРЕДШ[v] совпадают с заданными для проекта списками предшествующих работ ПРЕДШ(v).
Понятно, что сетевой график любого проекта не должен содержать контуров. Действительно, пусть узлы V>k1>,V>k2>,...,V>kr>=V>k1> образуют контур в сети G. Это означает, что работа V>k2> не может начаться раньше, чем будет завершена работа V>k1>, работа V>k3> — раньше, чем завершится работа V>k2>, и т.д., и, наконец, V>kr> = V>k1> — раньше, чем будет завершена работа V>kr-1>. Но тогда никакая из работ V>k1>,...,V>kr> никогда не сможет быть выполнена. А каждый реальный проект должен допускать возможность его завершения. Следовательно, в сетевом графике нет контуров.
Отсутствие контуров в сети G позволяет пронумеровать работы проекта W таким образом, чтобы для каждой дуги (V>i>,V>j>) сети G выполнялось условие i<j, то есть каждая дуга идёт из узла с меньшим номером в узел с большим номером. Осуществить такую нумерацию узлов сети G можно с помощью алгоритма топологической сортировки. Поэтому в дальнейшем будем считать, что узлы в сети G топологически отсортированы.
Конечной целью построения сетевой модели является получение информации о возможных сроках выполнения как отдельных работ, так и о возможном сроке выполнения всего проекта в целом. Обозначим через PBЫП(v) (соответственно PHAЧ(v)) наиболее ранний возможный срок выполнения работы v (соответственно наиболее ранний возможный срок начала работы v). Удобно считать, что PBЫП(s)=PHAЧ(s)=0. Поскольку начать выполнять работу v можно только после того, как будут выполнены все работы, предшествующие данной работе v, то получим следующие формулы для расчета значений PHAЧ(v) и PBЫП(w):
PHAЧ(v) = МАКС{PBЫП(w): wПРЕДШ(v)},
PBЫП(v)= PHAЧ(v) + t(v).
Значение PBЫП(p) дает наиболее ранний возможный срок завершения всего проекта в целом. Приведем запись алгоритма, непосредственно вычисляющего характеристики РНАЧ и РВЫП.
АЛГОРИТМ 1.
Данные: Сетевой график G работ V, заданный списками ПРЕДШ(v), vV.
Результаты: Наиболее ранние возможные сроки начала и выполнения работ РНАЧ(v), РВЫП(v), vV.
Объявить возможные ранние сроки начала РНАЧ(v) и выполнения РВЫП(v) работ равными нулю. Текущей вершиной объявить первую вершину v>k>=v>1.>
Всем вершинам v предшествующим текущей вершине v>k, >значение РНАЧ(v>k>) присвоить максимум из значений РВЫП(v) и РНАЧ(v>k>). Значение РВЫП(v>k>) положить равным значению РНАЧ(v>k>) плюс время выполнения самой работы текущей вершины t(v>k>).
Если имеется следующая вершина (работа) после текущей, то объявить ее текущей вершиной v>k>, иначе перейти в Шаг 5.
Вернуться в Шаг 2.
Выдать наиболее ранние возможные сроки начала и выполнения работ РНАЧ(v), РВЫП(v), vV, конец работы алгоритма.
Пусть T — плановый срок выполнения проекта W. Ясно, что Т должно удовлетворять неравенству Т >= РВЫП(V>n+1>).
Через ПВЫП(v) (соответственно ПНАЧ(v)) обозначим наиболее поздний допустимый срок выполнения (начала) работы v, то есть такой срок, который не увеличивает срок Т реализации всего проекта.
Значения возможных и допустимых сроков выполнения работ позволяют определить резервы времени для выполнения той или иной работы. Полный резерв (иногда его называют суммарный) времени выполнения работ определяется по формуле:
PE3EPB(v)=ПHAЧ(v)-PHAЧ(v).
Значение PE3EPB(v) равно максимальной задержке в выполнении работы v, не влияющей на плановый срок Т. Понятно, что справедливо и такое равенство: РЕЗЕРВ(v)=ПВЫП(v)-РВЫП(v).
Работы, имеющие нулевой резерв времени, называются критическими. Через любую такую работу проходит некоторый максимальный s-p-путь в сети G. Критические работы характеризуются тем, что любая задержка в их выполнении автоматически ведет к увеличению времени выполнения всего проекта.
Приведем запись алгоритма, непосредственно вычисляющего характеристики ПВЫП и ПНАЧ.
АЛГОРИТМ 2.
Данные: Сетевой график G работ V, заданный списками ПРЕДШ(v), vV, плановый срок окончания проекта – Т.
Результаты: Наиболее поздние допустимые сроки выполнения и начала работ ПВЫП(v) и ПНАЧ(v).
Объявить для всех работ vV значение наиболее позднего срока выполнения работ равным Т – значению планового срока окончание проекта и вершину v>p> фиктивной работы p объявить текущей v>k>.
Присвоить значение ПНАЧ текущей работы v>k> равным значению ПВЫП работы и вычесть время выполнения текущей работы.
Присвоить значению ПВЫП(v) для всех работ vПРЕДШ(v) предшествующих текущей работе v>k> минимальное значение из значений ПВЫП выполнения роботы v или ПНАЧ выполнения текущей работы v>k>, если таковых нет перейти в Шаг 4.
Если имеется предыдущая вершина (работа) к текущей, то объявить её текущей, иначе перейти в Шаг 6.
Перейти в Шаг 2.
Выдать наиболее поздние допустимые сроки выполнения и начала работ ПВЫП(v) и ПНАЧ(v), конец работы алгоритма.
Проиллюстрируем работу приведенных алгоритмов на следующих примерах:
Пример 1: Проект гаража для стоянки автопогрузчиков.
|
n |
Наименование работы |
Предшеству-ющие работы |
Время вы-полнения t(v>k>) |
|
1 |
Начало проекта (фиктивн. работа) |
Нет |
0 |
|
2 |
Срезка растительного слоя грунта |
1 |
5 |
|
3 |
Монтаж каркаса |
2 |
30 |
|
4 |
Обшивка стен профнастилом |
3 |
15 |
|
5 |
Кровля из профнастила |
3 |
12 |
|
6 |
Заполнение проема воротами |
4 |
5 |
|
7 |
Масляная окраска ворот и профнастила |
5,6 |
10 |
|
8 |
Щебёночное основание под полы |
7 |
3 |
|
9 |
Асфальтовое покрытие |
8 |
3 |
|
10 |
Уборка строительного мусора после строит. |
7 |
3 |
|
11 |
Конец проекта (фиктивная работа) |
9,10 |
0 |

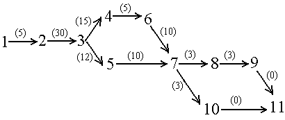
Рис 1. Проект гаража для стоянки автопогрузчиков.
Найдем значения наиболее раннего начала и выполнения работ проекта посредством алгоритма 1. Работу алгоритма изложим в виде последовательности выполняемых шагов.
|
Шаг n |
Действия выполняемые шагом |
|
1 |
Объявление значений РНАЧ(v) и РВЫП(v), vV равными нулю. Текущая вершина v>k>=1. |
|
2 |
Вершин предшествующей первой нет. РВЫП(1)=РНАЧ(1)+t(1). {РНАЧ(1) стало равным 0} |
|
3 |
Текущая вершина v>k>=2. |
|
4 |
Переход в Шаг 2. |
|
2 |
РНАЧ(2)=МАКС{РВЫП(1),РНАЧ(2)} {РНАЧ(2) стало равным 0} РВЫП(2)=РНАЧ(2)+t(2) {РВЫП(2) стало равным 5}. |
|
3 |
Текущая вершина v>k>=3. |
|
4 |
Переход в Шаг 2. |
|
2 |
РНАЧ(3)=МАКС{РВЫП(2),РНАЧ(3)} {РНАЧ(3) стало равным 5} РВЫП(3)=РНАЧ(3)+t(3) {РВЫП(3) стало равным 35}. |
|
3 |
Текущая вершина v>k>=4. |
|
4 |
Переход в Шаг 2. |
|
2 |
РНАЧ(4)=МАКС{РВЫП(3),РНАЧ(4)}{РНАЧ(4) стало равным 35} РВЫП(4)=РНАЧ(4)+t(4) {РВЫП(4) стало равным 50}. |
|
3 |
Текущая вершина v>k>=5. |
|
4 |
Переход в Шаг 2. |
|
2 |
РНАЧ(5)=МАКС{РВЫП(3),РНАЧ(5)}{РНАЧ(5) стало равным 35} РВЫП(5)=РНАЧ(5)+t(5) {РВЫП(5) стало равным 47}. |
|
3 |
Текущая вершина v>k>=6. |
|
4 |
Переход в Шаг 2. |
|
2 |
РНАЧ(6)=МАКС{РВЫП(4),РНАЧ(6)}{РНАЧ(6) стало равным 50} РВЫП(6)=РНАЧ(6)+t(6) {РВЫП(6) стало равным 55}. |
|
3 |
Текущая вершина v>k>=7. |
|
4 |
Переход в Шаг 2. |
|
2 |
РНАЧ(7)=МАКС{РВЫП(5),РНАЧ(7)}{РНАЧ(7) стало равным 47} РНАЧ(7)=МАКС{РВЫП(6),РНАЧ(7)}{РНАЧ(7) стало равным 55} РВЫП(7)=РНАЧ(7)+t(7) {РВЫП(7) стало равным 65}. |
|
3 |
Текущая вершина v>k>=8. |
|
4 |
Переход в Шаг 2. |
|
2 |
РНАЧ(8)=МАКС{РВЫП(7),РНАЧ(8)} {РНАЧ(8) стало равным 65} РВЫП(8)=РНАЧ(8)+t(8) {РВЫП(8) стало равным 68}. |
|
3 |
Текущая вершина v>k>=9. |
|
4 |
Переход в Шаг 2. |
|
2 |
РНАЧ(9)=МАКС{РВЫП(8),РНАЧ(9)}{РНАЧ(9) стало равным 68} РВЫП(9)=РНАЧ(9)+t(9) {РВЫП(9) стало равным 71}. |
|
3 |
Текущая вершина v>k>=10. |
|
4 |
Переход в Шаг 2. |
|
2 |
РНАЧ(10)=МАКС{РВЫП(7),РНАЧ(10)}{РНАЧ(10) стало равным 65} |
|
3 |
Текущая вершина v>k>=11. |
|
4 |
Переход в Шаг 2. |
|
2 |
РНАЧ(11)=МАКС{РВЫП(9),РНАЧ(11)}{РНАЧ(11) стало равным 71} РНАЧ(11)=МАКС{РВЫП(10),РНАЧ(11)}{РНАЧ(11) стало равным 71} |
|
3 |
Переход в Шаг 5. |
|
5 |
Конец работы алгоритма, выдача значений наиболее раннего начала и выполнения работ. |
Таблица результатов работы алгоритма.
|
n |
1 |
2 |
3 |
4 |
5 |
6 |
7 |
8 |
9 |
10 |
11 |
|
РНАЧ(v) |
0 |
0 |
5 |
35 |
35 |
50 |
55 |
65 |
68 |
65 |
71 |
|
РВЫП(v) |
0 |
5 |
35 |
50 |
47 |
55 |
65 |
68 |
71 |
68 |
71 |
Получили, что минимальное время, требуемое для выполнения проекта равно Т=РВЫП(11), Т=71. Теперь найдем посредством алгоритма 2 значение времени наиболее позднего начала и выполнения работ. Работу алгоритма изложим в виде последовательности выполняемых шагов.
|
Шаг n |
Действия выполняемые шагом |
|
1 |
Объявление значений ПВЫП(v), vV равным Т. Текущая вершина v>k>=11. |
|
2 |
ПНАЧ(11)=ПВЫП(11)-t(11) {ПНАЧ(11) стало равным 71}. |
|
3 |
ПВЫП(9)=МИН{ПВЫП(9),ПНАЧ(11)}{ПВЫП(9) стало равным 71} ПВЫП(10)=МИН{ПВЫП(10),ПНАЧ(11)}{ПВЫП(10) стало равным 71} |
|
4 |
Текущая вершина v>k>=10. |
|
5 |
Переход в Шаг 2. |
|
2 |
ПНАЧ(10)=ПВЫП(10)-t(10) {ПНАЧ(10) стало равным 68} |
|
3 |
ПВЫП(7)=МИН{ПВЫП(7),ПНАЧ(10)}{ПВЫП(7) стало равным 68} |
|
4 |
Текущая вершина v>k>=9. |
|
5 |
Переход в Шаг 2. |
|
2 |
ПНАЧ(9)=ПВЫП(9)-t(9) {ПНАЧ(9) стало равным 68} |
|
3 |
ПВЫП(8)=МИН{ПВЫП(8),ПНАЧ(9)}{ПВЫП(8) стало равным 68} |
|
4 |
Текущая вершина v>k>=8. |
|
5 |
Переход в Шаг 2. |
|
2 |
ПНАЧ(8)=ПВЫП(8)-t(8) {ПНАЧ(8) стало равным 65} |
|
3 |
ПВЫП(7)=МИН{ПВЫП(7),ПНАЧ(8)}{ПВЫП(7) стало равным 65} |
|
4 |
Текущая вершина v>k>=7. |
|
5 |
Переход в Шаг 2. |
|
2 |
ПНАЧ(7)=ПВЫП(7)-t(7) {ПНАЧ(7) стало равным 55} |
|
3 |
ПВЫП(5)=МИН{ПВЫП(5),ПНАЧ(7)}{ПВЫП(5) стало равным 55} ПВЫП(6)=МИН{ПВЫП(6),ПНАЧ(7)}{ПВЫП(6) стало равным 55} |
|
4 |
Текущая вершина v>k>=6. |
|
5 |
Переход в Шаг 2. |
|
2 |
ПНАЧ(6)=ПВЫП(6)-t(6) {ПНАЧ(6) стало равным 50} |
|
3 |
ПВЫП(4)=МИН{ПВЫП(4),ПНАЧ(6)}{ПВЫП(5) стало равным 50} |
|
4 |
Текущая вершина v>k>=5. |
|
5 |
Переход в Шаг 2. |
|
2 |
ПНАЧ(5)=ПВЫП(5)-t(5) {ПНАЧ(5) стало равным 43} |
|
3 |
ПВЫП(3)=МИН{ПВЫП(3),ПНАЧ(5)}{ПВЫП(3) стало равным 43} |
|
4 |
Текущая вершина v>k>=4. |
|
5 |
Переход в Шаг 2. |
|
2 |
ПНАЧ(4)=ПВЫП(4)-t(4) {ПНАЧ(4) стало равным 35} |
|
3 |
ПВЫП(3)=МИН{ПВЫП(3),ПНАЧ(4)}{ПВЫП(3) стало равным 35} |
|
4 |
Текущая вершина v>k>=3. |
|
5 |
Переход в шаг 2. |
|
2 |
ПНАЧ(3)=ПВЫП(3)-t(3) {ПНАЧ(3) стало равным 5} |
|
3 |
ПВЫП(2)=МИН{ПВЫП(2),ПНАЧ(3)}{ПВЫП(2) стало равным 5} |
|
4 |
Текущая вершина v>k>=2. |
|
5 |
Переход в Шаг 2. |
|
2 |
ПНАЧ(2)=ПВЫП(2)-t(2) {ПНАЧ(2) стало равным 0} |
|
3 |
ПВЫП(1)=МИН{ПВЫП(1),ПНАЧ(2)}{ПВЫП(1) стало равным 0} |
|
4 |
Текущая вершина v>k>=1. |
|
5 |
Переход в Шаг 2. |
|
2 |
ПНАЧ(1)=ПВЫП(1)-t(1) {ПНАЧ(1) стало равным 0} |
|
3 |
Переход в Шаг 4. |
|
4 |
Переход в Шаг 6. |
|
6 |
Конец работы алгоритма, выдача значений времени наиболее позднего начала и выполнения работ. |
Дадим таблицу результатов работы алгоритма с результатами предыдущего алгоритма и сосчитаем резерв времени для каждой работы по формуле PE3EPB(v)=ПНАЧ(v)-PHAЧ(v) или РЕЗЕРВ(v)=ПВЫП(v)-РВЫП(v).
|
Работы |
РНАЧ |
РВЫП |
ПНАЧ |
ПВЫП |
Резерв |
|
1 |
0 |
0 |
0 |
0 |
0 |
|
2 |
0 |
5 |
0 |
5 |
0 |
|
3 |
5 |
35 |
5 |
35 |
0 |
|
4 |
35 |
50 |
35 |
50 |
0 |
|
5 |
35 |
47 |
43 |
55 |
8 |
|
6 |
50 |
55 |
50 |
55 |
0 |
|
7 |
55 |
65 |
55 |
65 |
0 |
|
8 |
65 |
68 |
65 |
68 |
0 |
|
9 |
68 |
71 |
68 |
71 |
0 |
|
10 |
65 |
68 |
68 |
71 |
3 |
|
11 |
71 |
71 |
71 |
71 |
0 |
Из таблицы видно, что критическими работами являются 1, 2, 3, 4, 6, 7, 8, 9, 11, которые и образуют в сети G критический путь. Расчеты выполнены при Т=71.
Пример 2: Проект склада сажи и других материалов в помещение производственного цеха.
|
n |
Наименование работы |
Предшеству-ющие работы |
Время вы-полнения t(v>k>) |
|
1. |
Начало проекта (фиктивн. работа) |
Нет |
0 |
|
2. |
Монтаж металлоконструкций нижней обвязки каркаса |
1 |
5 |
|
3. |
Устройство бетона под стойки |
2 |
3 |
|
4. |
Монтаж стоек |
3 |
10 |
|
5. |
Монтаж опорных столиков |
4 |
5 |
|
6. |
Монтаж балок |
2 |
7 |
|
7. |
Монтаж металлоконструкций ворот |
6 |
7 |
|
8. |
Обшивка стен и кровли волнистым листом |
6 |
12 |
|
9. |
Монтаж козлового крана |
7 |
5 |
|
10. |
Устройство асфальтобетонных покрытий |
8 |
5 |
|
11. |
Конец проекта (фиктивн. работа) |
5,9,10 |
0 |

Рис 2. Проект склада сажи и других материалов в помещение производственного цеха.
Найдем значения наиболее раннего начала и выполнения работ проекта посредством алгоритма 1. Работу алгоритма изложим в виде последовательности выполняемых шагов.
|
Шаг n |
Действия выполняемые шагом |
|
1 |
Объявление значений РНАЧ(v) и РВЫП(v), vV равным нулю. Текущая вершина v>k>=1. |
|
2 |
Вершин предшествующей первой нет. Значение РНАЧ(1)=РВЫП(1)+t(1). |
|
3 |
Текущая вершина v>k>=2. |
|
4 |
Переход в Шаг 2. |
|
2 |
РНАЧ(2)=МАКС{РВЫП(1),РНАЧ(2)} {РНАЧ(2) стало равным 0} РВЫП(2)=РНАЧ(2)+t(2) {РВЫП(2) стало равным 5}. |
|
3 |
Текущая вершина v>k>=3. |
|
4 |
Переход в Шаг 2. |
|
2 |
РНАЧ(3)=МАКС{РВЫП(2),РНАЧ(3)} {РНАЧ(3) стало равным 5} РВЫП(3)=РНАЧ(3)+t(3) {РВЫП(3) стало равным 8}. |
|
3 |
Текущая вершина v>k>=4. |
|
4 |
Переход в Шаг 2. |
|
2 |
РНАЧ(4)=МАКС{РВЫП(3),РНАЧ(4)} {РНАЧ(4) стало равным 8} РВЫП(4)=РНАЧ(4)+t(4) {РВЫП(4) стало равным 18}. |
|
3 |
Текущая вершина v>k>=5. |
|
4 |
Переход в Шаг 2. |
|
2 |
РНАЧ(5)=МАКС{РВЫП(4),РНАЧ(5)} {РНАЧ(5) стало равным 18} РВЫП(5)=РНАЧ(5)+t(5) {РВЫП(5) стало равным 23}. |
|
3 |
Текущая вершина v>k>=6. |
|
4 |
Переход в Шаг 2. |
|
2 |
РНАЧ(6)={РВЫП(2),РНАЧ(6)} {РНАЧ(6) стало равным 5} РВЫП(6)=РНАЧ(6)+t(6) {РВЫП(6) стало равным 12}. |
|
3 |
Текущая вершина v>k>=7. |
|
4 |
Переход в Шаг 2. |
|
2 |
РНАЧ(7)=МАКС{РВЫП(6),РНАЧ(7)} {РНАЧ(7) стало равным 12} РВЫП(7)=РНАЧ(7)+t(7) {РВЫП(7) стало равным 19}. |
|
3 |
Текущая вершина v>k>=8. |
|
4 |
Переход в Шаг 2. |
|
2 |
РНАЧ(8)=МАКС{РВЫП(6),РНАЧ(8)} {РНАЧ(8) стало равным 12} РВЫП(8)=РНАЧ(8)+t(8) {РВЫП(8) стало равным 24}. |
|
3 |
Текущая вершина v>k>=9. |
|
4 |
Переход в Шаг 2. |
|
2 |
РНАЧ(9)=МАКС{РВЫП(7),РНАЧ(9)} {РНАЧ(9) стало равным 19} РВЫП(9)=РНАЧ(9)+t(9) {РВЫП(9) стало равным 24}. |
|
3 |
Текущая вершина v>k>=10. |
|
4 |
Переход в Шаг 2. |
|
2 |
РНАЧ(10)=МАКС{РВЫП(8),РНАЧ(10)} {РНАЧ(10) стало равным 24} РВЫП(10)=РНАЧ(10)+t(10) {РВЫП(10) стало равным 29}. |
|
3 |
Текущая вершина v>k>=11. |
|
4 |
Переход в Шаг 2. |
|
2 |
РНАЧ(11)=МАКС{РВЫП(9),РНАЧ(11)} {РНАЧ(11) стало равным 24} РНАЧ(11)=МАКС{РВЫП(10),РНАЧ(10)}{РНАЧ(11) стало равным 29} РВЫП(11)=РНАЧ(11)+t(11) {РВЫП(11) стало равным 29}. |
|
3 |
Переход в Шаг 5. |
|
5 |
Конец работы алгоритма, выдача значений наиболее раннего начала и выполнения работ. |
Таблица результатов работы алгоритма.
|
n |
1 |
2 |
3 |
4 |
5 |
6 |
7 |
8 |
9 |
10 |
11 |
|
РНАЧ(v) |
0 |
0 |
5 |
8 |
18 |
5 |
12 |
12 |
19 |
24 |
29 |
|
РВЫП(v) |
0 |
5 |
8 |
18 |
23 |
12 |
19 |
24 |
24 |
29 |
29 |
Получили, что минимальное время, требуемое для выполнения проекта равно Т=РВЫП(11), Т=29. Теперь найдем посредством алгоритма 2 значение времени наиболее позднего начала и выполнения работ. Работу алгоритма изложим в виде последовательности выполняемых шагов.
|
Шаг n |
Действия выполняемые шагом |
|
1 |
Объявление значений ПВЫП(v), vV равным Т. Текущая вершина v>k>=11. |
|
2 |
ПНАЧ(11)=ПВЫП(11)-t(11) {ПНАЧ(11) стало равным 29}. |
|
3 |
ПВЫП(9)=МИН{ПВЫП(9),ПНАЧ(11)}{ПВЫП(9) стало равным 29} ПВЫП(10)=МИН{ПВЫП(10),ПНАЧ(11)}{ПВЫП(10) стало равным 29}. |
|
4 |
Текущая вершина v>k>=10. |
|
5 |
Переход в Шаг 2. |
|
2 |
ПНАЧ(10)=ПВЫП(10)-t(10) {ПНАЧ(10) стало равным 24}. |
|
3 |
ПВЫП(8)=МИН{ПВЫП(8),ПНАЧ(10)}{ПВЫП(8) стало равным 24} |
|
4 |
Текущая вершина v>k>=9. |
|
5 |
Переход в Шаг 2. |
|
2 |
ПНАЧ(9)=ПВЫП(9)-t(9) {ПНАЧ(9) стало равным 24}. |
|
3 |
ПВЫП(7)=МИН{ПВЫП(7),ПНАЧ(9)}{ПВЫП(7) стало равным 24}. |
|
4 |
Текущая вершина v>k>=8. |
|
5 |
Переход в Шаг 2. |
|
2 |
ПНАЧ(8)=ПВЫП(8)-t(8) {ПНАЧ(8) стало равным 12}. |
|
3 |
ПВЫП(6)=МИН{ПВЫП(6),ПНАЧ(8)}{ПВЫП(6) стало равным 12}. |
|
4 |
Текущая вершина v>k>=7. |
|
5 |
Переход в Шаг 2. |
|
2 |
ПНАЧ(7)=ПВЫП(7)-t(7) {ПНАЧ(7) стало равным 17}. |
|
3 |
ПВЫП(6)=МИН{ПВЫП(6),ПНАЧ(7)}{ПВЫП(6) стало равным 12}. |
|
4 |
Текущая вершина v>k>=6. |
|
5 |
Переход в Шаг 2. |
|
2 |
ПНАЧ(6)=ПВЫП(6)-t(6) {ПНАЧ(6) стало равным 5}. |
|
3 |
ПВЫП(2)=МИН{ПВЫП(2),ПНАЧ(6)}{ПВЫП(2) стало равным 5}. |
|
4 |
Текущая вершина v>k>=5. |
|
5 |
Переход в шаг 2. |
|
2 |
ПНАЧ(5)=ПВЫП(5)-t(5) {ПНАЧ(5) стало равным 24}. |
|
3 |
ПВЫП(4)=МИН{ПВЫП(4),ПНАЧ(5)}{ПВЫП(4) стало равным 24}. |
|
4 |
Текущая вершина v>k>=4. |
|
5 |
Переход в Шаг 2. |
|
2 |
ПНАЧ(4)=ПВЫП(4)-t(4) {ПНАЧ(4) стало равным 14}. |
|
3 |
ПВЫП(3)=МИН{ПВЫП(3),ПНАЧ(4)}{ПВЫП(3) стало равным 14}. |
|
4 |
Текущая вершина v>k>=3. |
|
5 |
Переход в Шаг 2. |
|
2 |
ПНАЧ(3)=ПВЫП(3)-t(3) {ПНАЧ(3) стало равным 11}. |
|
3 |
ПВЫП(2)=МИН{ПВЫП(2),ПНАЧ(3)}{ПВЫП(2) стало равным 5}. |
|
4 |
Текущая вершина v>k>=2. |
|
5 |
Переход в Шаг 2. |
|
2 |
ПНАЧ(2)=ПВЫП(2)-t(2) {ПНАЧ(2) стало равным 0}. |
|
3 |
ПВЫП(1)=МИН{ПВЫП(1),ПНАЧ(2)}{ПВЫП(1) стало равным 0}. |
|
4 |
Текущая вершина v>k>=1. |
|
5 |
Переход в Шаг 2. |
|
2 |
ПНАЧ(1)=ПВЫП(1)-t(1) {ПНАЧ(1) стало равным 0}. |
|
3 |
Переход в Шаг 4. |
|
4 |
Переход в Шаг 6. |
|
6 |
Конец работы алгоритма, выдача значений времени наиболее позднего начала и выполнения работ. |
Дадим таблицу результатов работы алгоритма с результатами предыдущего алгоритма и сосчитаем резерв времени для каждой работы по формуле PE3EPB(v)=ПHAЧ(v)-PHAЧ(v) или РЕЗЕРВ(v)=ПВЫП(v)-РВЫП(v).
|
Работы |
РНАЧ |
РВЫП |
ПНАЧ |
ПВЫП |
Резерв |
|
1 |
0 |
0 |
0 |
0 |
0 |
|
2 |
0 |
5 |
0 |
5 |
0 |
|
3 |
5 |
8 |
11 |
14 |
3 |
|
4 |
8 |
18 |
14 |
24 |
10 |
|
5 |
18 |
23 |
24 |
29 |
5 |
|
6 |
5 |
12 |
5 |
12 |
0 |
|
7 |
12 |
19 |
17 |
24 |
7 |
|
8 |
12 |
24 |
12 |
24 |
0 |
|
9 |
19 |
24 |
24 |
29 |
5 |
|
10 |
24 |
29 |
24 |
29 |
0 |
|
11 |
29 |
29 |
29 |
29 |
0 |
Из таблиы видно, что критическими работами являются 1, 2, 6, 8, 10, 11, которые и образуют в сети G критический путь. Расчеты выполнены при Т=29.
Пример 3: Проект водоснабжения и наружной канализации при застройки квартала по ул. Токарей-Синяева в г. Екатеринбурге.
|
n |
Наименование работы |
Предшеству-ющие работы |
Время вы-полнения t(v>k>) |
|
1. |
Начало проекта (фиктивн. Работа) |
Нет |
0 |
|
2. |
Разработка грунта экскаваторами с ковшом 0.5 м3 с погрузкой на автомобили-самосвалы. |
1 |
16 |
|
3. |
Зачистка дна и стенок с выкидкой грунта. |
2 |
10 |
|
4. |
Монтаж водопроводных колодцев |
1 |
32 |
|
5. |
Монтаж плит перекрытий из легкого бетона. |
3 |
21 |
|
6. |
Пробивка в бетонных стенах и полах отверстий. |
5 |
5 |
|
7. |
Оклейка плит рубероидом и гидроизолом на нефтебитуме в 1 слой. |
4,5 |
14 |
|
8. |
Заделка сальников при проходе труб через фундаменты или стены подвалов. |
5 |
10 |
|
9. |
Монтаж скоб. |
6 |
7 |
|
10. |
Устройство стяжек цементных. |
9 |
5 |
|
11. |
Конец проекта. (фиктивн. Работа) |
7,8,10 |
0 |

Рис 3. Проект водоснабжения и наружной канализации при застройки квартала по ул. Токарей-Синяева в г. Екатеринбурге.
Найдем значения наиболее раннего начала и выполнения работ проекта посредством алгоритма 1. Работу алгоритма изложим в виде последовательности выполняемых шагов.
|
Шаг n |
Действия выполняемые шагом |
|
1 |
Объявление значений РНАЧ(v) и РВЫП(v), vV равным нулю. Текущая вершина v>k>=1. |
|
2 |
Вершин предшествующей первой нет. Значение РНАЧ(1)=РВЫП(1)+t(1). |
|
3 |
Текущая вершина v>k>=2. |
|
4 |
Переход в Шаг 2. |
|
2 |
РНАЧ(2)=МАКС{РВЫП(1),РНАЧ(2)}{РНАЧ(2) стало равным 0} РВЫП(2)=РНАЧ(2)+t(2) {РВЫП(2) стало равным 16}. |
|
3 |
Текущая вершина v>k>=3. |
|
4 |
Переход в Шаг 2. |
|
2 |
РНАЧ(3)=МАКС{РВЫП(2),РНАЧ(3)}{РНАЧ(2) стало равным 16} РВЫП(3)=РНАЧ(3)+t(3) {РВЫП(3) стало равным 26}. |
|
3 |
Текущая вершина v>k>=4. |
|
4 |
Переход в Шаг 2. |
|
2 |
РНАЧ(4)=МАКС{РВЫП(1),РНАЧ(4)}{РНАЧ(4) стало равным 0} РВЫП(4)=РНАЧ(4)+t(4) {РВЫП(4) стало равным 32}. |
|
3 |
Текущая вершина v>k>=5. |
|
4 |
Переход в Шаг 2. |
|
2 |
РНАЧ(5)=МАКС{РВЫП(3),РНАЧ(5)}{РНАЧ(5) стало равным 26} РВЫП(5)=РНАЧ(5)+t(5) {РВЫП(5) стало равным 47}. |
|
3 |
Текущая вершина v>k>=6. |
|
4 |
Переход в Шаг 2. |
|
2 |
РНАЧ(6)=МАКС{РВЫП(5),РНАЧ(6)}{РНАЧ(6) стало равным 47} РВЫП(6)=РНАЧ(6)+t(6) {РВЫП(6) стало равным 52}. |
|
3 |
Текущая вершина v>k>=7. |
|
4 |
Переход в Шаг 2. |
|
2 |
РНАЧ(7)=МАКС{РВЫП(5),РНАЧ(7)}{РНАЧ(7) стало равным 47 РВЫП(7)=РНАЧ(7)+t(7) {РВЫП(7) стало равным 61}. |
|
3 |
Текущая вершина v>k>=8. |
|
4 |
Переход в Шаг 2. |
|
2 |
РНАЧ(8)=МАКС{РВЫП(5),РНАЧ(8)}{РНАЧ(8) стало равным 47} РВЫП(8)=РНАЧ(8)+t(8) {РВЫП(8) стало равным 57}. |
|
3 |
Текущая вершина v>k>=9. |
|
4 |
Переход в Шаг 2. |
|
2 |
РНАЧ(9)=МАКС{РВЫП(6),РНАЧ(9)}{РНАЧ(9) стало равным 52} РВЫП(9)=РНАЧ(9)+t(9) {РВЫП(9) стало равным }. |
|
3 |
Текущая вершина v>k>=10. |
|
4 |
Переход в Шаг 2. |
|
2 |
РНАЧ(10)=МАКС{РВЫП(9),РНАЧ(10)}{РНАЧ(10) стало равным 59} РВЫП(10)=РНАЧ(10)+t(10) {РВЫП(10) стало равным 64}. |
|
3 |
Текущая вершина v>k>=11. |
|
4 |
Переход в Шаг 2. |
|
2 |
РНАЧ(11)=МАКС{РВЫП(7),РНАЧ(11)}{РНАЧ(11) стало равным 61} РНАЧ(11)=МАКС{РВЫП(8),РНАЧ(11)}{РНАЧ(11) стало рвным 61} РНАЧ(11)=МАКС{РВЫП(10),РНАЧ(11)}{РНАЧ(11) стало равным 64} РВЫП(11)=РНАЧ(11)+t(11) {РВЫП(11) стало равным 64}. |
|
3 |
Переход в Шаг 5. |
|
5 |
Конец работы алгоритма, выдача значений наиболее раннего начала и выполнения работ. |
Таблица результатов работы алгоритма.
|
n |
1 |
2 |
3 |
4 |
5 |
6 |
7 |
8 |
9 |
10 |
11 |
|
РНАЧ(v) |
0 |
0 |
16 |
0 |
26 |
47 |
47 |
47 |
52 |
59 |
64 |
|
РВЫП(v) |
0 |
16 |
26 |
32 |
47 |
52 |
61 |
57 |
59 |
64 |
64 |
Получили, что минимальное время, требуемое для выполнения проекта равно Т=РВЫП(11), Т=64. Теперь найдем посредством алгоритма 2 значение времени наиболее позднего начала и выполнения работ. Работу алгоритма изложим в виде последовательности выполняемых шагов.
|
Шаг n |
Действия выполняемые шагом |
|
1 |
Объявление значений ПВЫП(v), vV равным Т. Текущая вершина v>k>=11. |
|
2 |
ПНАЧ(11)=ПВЫП(11)-t(11) {ПНАЧ(11) стало равным 64}. |
|
3 |
ПВЫП(7)=МИН{ПВЫП(7),ПНАЧ(11)}{ПВЫП(7) стало равным 64} ПВЫП(8)=МИН{ПВЫП(8),ПНАЧ(11)}{ПВЫП(8) стало равным 64} ПВЫП(10)=МИН{ПВЫП(10),ПНАЧ(10)}{ПВЫП(9) стало равным 64}. |
|
4 |
Текущая вершина v>k>=10. |
|
5 |
Переход в Шаг 2. |
|
2 |
ПНАЧ(10)=ПВЫП(10)-t(10) {ПНАЧ(10) стало равным 59}. |
|
3 |
ПВЫП(9)=МИН{ПВЫП(9),ПНАЧ(10)} {ПВЫП(9) стало равным 59}. |
|
4 |
Текущая вершина v>k>=9. |
|
5 |
Переход в Шаг 2. |
|
2 |
ПНАЧ(9)=ПВЫП(9)-t(9) {ПНАЧ(9) стало ранвым 52}. |
|
3 |
ПВЫП(6)=МИН{ПВЫП(6),ПНАЧ(9)}{ПВЫП(6) стало равным 52}. |
|
4 |
Текущая вершина v>k>=8. |
|
5 |
Переход в Шаг 2. |
|
2 |
ПНАЧ(8)=ПВЫП(8)-t(8) {ПНАЧ(8) стало равным 54}. |
|
3 |
ПВЫП(5)=МИН{ПВЫП(5),ПНАЧ(8)}{ПВЫП(5) стало равным 54}. |
|
4 |
Текущая вершина v>k>=7. |
|
5 |
Переход в Шаг 2. |
|
2 |
ПНАЧ(7)=ПВЫП(7)-t(7) {ПНАЧ(7) стало равным 50}. |
|
3 |
ПВЫП(5)=МИН{ПВЫП(5),ПНАЧ(7)}{ПВЫП(5) стало равным 50} ПВЫП(4)=МИН{ПВЫП(4),ПНАЧ(7)}{ПВЫП(4) стало равным 50}. |
|
4 |
Текущая вершина v>k>=6. |
|
5 |
Переход в Шаг 2. |
|
2 |
ПНАЧ(6)=ПВЫП(6)-t(6) {ПНАЧ(6) стало равным 47}. |
|
3 |
ПВЫП(5)=МИН{ПВЫП(5),ПНАЧ(6)}{ПВЫП(5) стало равным 47}. |
|
4 |
Текущая вершина v>k>=5. |
|
5 |
Переход в Шаг 2. |
|
2 |
ПНАЧ(5)=ПВЫП(5)-t(5) {ПНАЧ(5) стало равным 26}. |
|
3 |
ПВЫП(3)=МИН{ПВЫП(3),ПНАЧ(5)}{ПВЫП(3) стало равным 26}. |
|
4 |
Текущая вершина v>k>=4. |
|
5 |
Переход в Шаг 2. |
|
2 |
ПНАЧ(4)=ПВЫП(4)-t(4) {ПНАЧ(4) стало равным 18}. |
|
3 |
ПВЫП(1)=МИН{ПВЫП(1),ПНАЧ(4)}{ПВЫП(1) стало равным 18}. |
|
4 |
Текущая вершина v>k>=3. |
|
5 |
Переходв Шаг 2. |
|
2 |
ПНАЧ(3)=ПВЫП(3)-t(3) {ПНАЧ(3) стало равным 16}. |
|
3 |
ПВЫП(2)=МИН{ПВЫП(2),ПНАЧ(3)}{ПВЫП(2) стало равным 16}. |
|
4 |
Текущая вершина v>k>=2. |
|
5 |
Переход в Шаг 2. |
|
2 |
ПНАЧ(2)=ПВЫП(2)-t(2) {ПНАЧ(2) стало равным 0}. |
|
3 |
ПВЫП(1)=МИН{ПВЫП(1),ПНАЧ(2)}{ПВЫП(1) стало равным 0}. |
|
4 |
Текущая вершина v>k>=1. |
|
5 |
Переход в Шаг 2. |
|
2 |
ПНАЧ(1)=ПВЫП(1)-t(1) {ПНАЧ(1) стало равным 0}. |
|
3 |
Переход в Шаг 4. |
|
4 |
Переход в Шаг 6. |
|
6 |
Конец работы алгоритма, выдача значений времени наиболее позднего начала и выполнения работ. |
Дадим таблицу результатов работы алгоритма с результатами предыдущего алгоритма и сосчитаем резерв времени для каждой работы по формуле PE3EPB(v)=ПHAЧ(v)-PHAЧ(v) или РЕЗЕРВ(v)=ПВЫП(v)-РВЫП(v).
|
Работы |
РНАЧ |
РВЫП |
ПНАЧ |
ПВЫП |
Резерв |
|
1 |
0 |
0 |
0 |
0 |
0 |
|
2 |
0 |
16 |
0 |
16 |
0 |
|
3 |
16 |
26 |
16 |
26 |
0 |
|
4 |
0 |
32 |
18 |
50 |
32 |
|
5 |
26 |
47 |
26 |
47 |
0 |
|
6 |
47 |
52 |
47 |
52 |
0 |
|
7 |
47 |
61 |
50 |
64 |
3 |
|
8 |
47 |
57 |
54 |
64 |
10 |
|
9 |
52 |
59 |
52 |
59 |
0 |
|
10 |
59 |
64 |
59 |
64 |
0 |
|
11 |
59 |
64 |
64 |
64 |
0 |
Из таблицы видно, что критическими работами являются 1, 2, 3, 5, 6, 9, 10, 11, которые и образуют в сети G критический путь. Расчеты выполнены при Т=64.
Литература:
1. Асанов М. О. «Дискретная оптимизация», УралНАУКА, Екатеринбург 1998.