Теория вероятности и мат статистика
B
Киевский политехнический институт
Кафедра КСОИУ
Конспект лекций
по курсу:
”Теория вероятности и математическая статистика”
Преподаватель: Студент II курса
ФИВТ, гр. ИС-41
проф. Павлов А. А. Андреев А. С.
Киев - 1996 г.
Введение.
Теория вероятности возникла как наука из убеждения, что в основе массовых случайных событий лежат детерминированные закономерности. Теория вероятности изучает данные закономерности.
Например: определить однозначно результат выпадения “орла” или “решки” в результате подбрасывания монеты нельзя, но при многократном подбрасывании выпадает примерно одинаковое число “орлов” и “решек”.
Испытанием называется реализация определенного комплекса условий, который может воспроизводиться неограниченное число раз. При этом комплекс условий включает в себя случайные факторы, реализация которого в каждом испытании приводит к неоднозначности исхода испытания.
Например: испытание - подбрасывание монеты.
Результатом испытания является событие. Событие бывает:
Достоверное (всегда происходит в результате испытания);
Невозможное (никогда не происходит);
Случайное (может произойти или не произойти в результате испытания).
Например: При подбрасывании кубика невозможное событие - кубик станет на ребро, случайное событие - выпадение какой либо грани.
Конкретный результат испытания называется элементарным событием.
В результате испытания происходят только элементарные события.
Совокупность всех возможных, различных, конкретных исходов испытаний называется пространством элементарных событий.
Например: Испытание - подбрасывание шестигранного кубика. Элементарное событие - выпадение грани с “1” или “2”.
Совокупность элементарных событий это пространство элементарных событий.
Сложным событием называется произвольное подмножество пространства элементарных событий.
Сложное событие в результате испытания наступает тогда и только тогда, когда в результате испытаний произошло элементарное событие, принадлежащее сложному.
Таким образом, если в результате испытания может произойти только одно элементарное событие, то в результате испытания происходят все сложные события, в состав которых входят эти элементарные.
Например: испытание - подбрасывание кубика. Элементарное событие - выпадение грани с номером “1”. Сложное событие - выпадение нечетной грани.
Введем следующие обозначения:
А - событие;
w - элементы пространства W;
W - пространство элементарных событий;
U - пространство элементарных событий как достоверное событие;
V - невозможное событие.
Иногда для удобства элементарные события будем обозначать E>i>, Q>i>.
Операции над событиями.
1. Событие C называется суммой A+B, если оно состоит из всех элементарных событий, входящих как в A, так и в B. При этом если элементарное событие входит и в A, и в B, то в C оно входит один раз. В результате испытания событие C происходит тогда, когда произошло событие, которое входит или в A или в B. Сумма произвольного количества событий состоит из всех элементарных событий, которые входят в одно из Ai, i=1, ..., m.




2. Событие C произведением A и B, если оно состоит из всех элементарных событий, входящих и в A, и в B. Произведением произвольного числа событий называется событие состоящее из элементарных событий, входящих во все Ai, i=1, ..., m.

3. Разностью событий A-B называется событие C, состоящее из всех элементарных событий, входящих в A, но не входящих в B.

4. Событие называется противоположным событию A, если оно удовлетворяет двум свойствам.
Формулы де Моргана:
и


5. События A и B называются несовместными, если они никогда не могут произойти в результате одного испытания.
События A и B называются несовместными, если они не имеют общих элементарных событий.
C=A×B=V
Тут V - пустое множество.
Частость наступления события.
Пусть пространство элементарных событий конечно и состоит из m элементарных событий. В этом случае в качестве возможных исходов испытаний рассматривают 2m событий - множество всех подмножеств пространства элементарных событий W и невозможное событие V.
Пример:
W=(w>1>, w>2>, w>3>)
A>1>=V
A>2>=(>1>)
A>3>=(>2>)
A>4>=(>3>)
A>5>=(>1>, >2>)
A>6>=(>2>, >3>)
A>7>=(>1>, >3>)
A>8>=(w>1>, w>2>, w>3>)
Обозначим систему этих событий через F. Берем произвольное событие AÎF. Проводим серию испытаний в количестве n. n - это количество испытаний, в каждом из которых произошло событие A.
Частостью наступления события A в n испытаниях называется число
>
>
Свойства частости.

Частость достоверного события равна 1. >n>(U)=1.
Частость суммы попарно несовместных событий равна сумме частостей.
Рассмотрим систему A>i>, i=1, ..., k; события попарно несовместны, т.е.
Событие

Пусть в результате некоторого испытания произошло событие A. По определению сумы это означает, что в этом испытании произошло некоторое событие A>i>. Так как все события попарно несовместны, то это означает, что никакое другое событие A>j> (i¹j) в этом испытании произойти не может. Следовательно:
n>A>=n>A1>+n>A2>+...+n>Ak>

Теория вероятности используется при описании только таких испытаний, для которых выполняется следующее предположение: Для любого события A частость наступления этого события в любой бесконечной серии испытаний имеет один и тот же предел, который называется вероятностью наступления события A.
Следовательно, если рассматривается вероятность наступления произвольного события, то мы понимаем это число следующим образом: это частость наступления события в бесконечной (достаточно длинной) серии испытаний.
К сожалению, попытка определить вероятность как предел частости, при числе испытаний, стремящихся к бесконечности, закончилась неудачно. Хотя американский ученый Мизес создал теорию вероятности, базирующуюся на этом определении, но ее не признали из-за большого количества внутренних логических несоответствий.
Теория вероятности как наука была построена на аксиоматике Колмогорова.
Аксиоматика теории вероятности.
Построение вероятностного пространства.
Последовательно строим вероятностное пространство.
Этап 1:
Имеется испытание. В результате проведения
испытания может наблюдаться одно событие
из серии событий e.
Все события из системы e
называются наблюдаемыми. Введем
предположение, что если события A Ì
e, B Ì
e наблюдаемы, то
наблюдаемы и события
.
Система событий F называется полем событий или алгеброй событий, если для двух произвольных событий A, B Ì F выполняется:
Дополнения

(A+B) Î F, (A×B) Î F
все конечные суммы элементов из алгебры принадлежат алгебре
все конечные произведения элементов из алгебры принадлежат алгебре
все дополнения конечных сумм и произведений принадлежат алгебре.
Таким образом, систему e мы расширяем до алгебры или поля F путем включения всех конечных сумм, произведений, и их дополнений. Т.е. считаем, что в результате проведения испытания наблюдаемая система является полем или алгеброй.
Множество всех подмножеств конечного числа событий является наблюдаемой системой - алгеброй, полем.
Этап 2:
Каждому событию A Î F ставим в соответствие число P(A), которое называется вероятностью наступления события A. Такая операция задает вероятностную меру.
Вероятностная мера - числовая скалярная функция, аргументами которой являются элементы из системы алгебры F. Введенная вероятностная мера удовлетворяет системе из трех аксиом.

P(U)=1.
Рассмотрим конечную или бесконечную систему попарно несовместных событий, каждое из которых принадлежит алгебре F.
.
Если
,
то
.
Алгебра событий называется s - алгеброй, если эта система событий содержит в себе все конечные суммы и произведения из алгебры F и их дополнения, а также все бесконечные суммы и произведения из алгебры и их дополнения.
Пример: В пространстве R1 зададим в качестве поля событий все конечные интервалы вида a³x>b, b¹a.
Распространение этой алгебры на s - алгебру приводит к понятию борелевской алгебры, элементы которой называются борелевскими множествами. Борелевская алгебра получается не только расширением поля вида a³x>b, но и расширением полей вида a>x³b, a³x³b.
Над наблюдаемым полем событий F задается счетно-аддитивная мера - числовая скалярная функция, элементами которой являются элементы поля F, т.е. события. Она удовлетворяет следующим трем условиям-аксиомам теории вероятности.
.
P(A) - число, принадлежащее сегменту
[0, 1] и называющееся вероятностью
наступления события A.
P(A) Î [0, 1] P(U)=1.
Пусть имеется A>1>, A>2>, A>3>,..., A>k> - система попарно несовместных событий
Если
,
то
.
Теорема о продолжении меры.
Построим минимальную s - алгебру, которой принадлежит поле событий F (например, борелевская s - алгебра - это минимальная s - алгебра, которая содержит поле всех полуинтервалов ненулевой длины).
Тогда доказывается, что счетно-аддитивная функция P(A) однозначно распространяется на все элементы минимальной s - алгебры и при этом ни одна из аксиом не нарушается.
Таким образом, продленное P(A) называется s - аддитивной мерой.
s - алгебра содержит ненаблюдаемые события наряду с наблюдаемыми.
Но в аксиоматической теории вероятности считается, что может произойти любое событие из s - алгебры.
Расширение поля наблюдаемых событий на s - алгебру связано с невозможностью получить основные результаты теории вероятности без понятия s - алгебры.
Определение вероятностного пространства.
Вероятностным пространством называется тройка (W, s, P), где
W - пространство элементарных событий, построенное для данного испытания;
s - s-алгебра, заданная на W - системе возможных событий, которая интересует исследователя, в результате проводимых испытаний;
P - s - аддитивная мера, т.е. s - аддитивная неотрицательная функция, аргументами которой являются аргументы из s - алгебры и удовлетворяющая трем аксиомам теории вероятности.
.
P(A) - называется вероятностью наступления
события A.
Вероятность достоверного события равна 1 P(W)=1.
Вероятность суммы несовместных событий равна сумме вероятностей
,
.
k - возможно бесконечное число.
Следствие:
Вероятность невозможного события равна 0.
По определению суммы имеет место неравенство W+V=W. W и V несовместные события.
По третей аксиоме теории вероятности имеем:
P(W+V)=P(Q)=P(U)=1
P(W)+P(V)=P(W)
1+P(V)=1
P(V)=1
Пусть W состоит из
конечного числа элементарных событий
W={E>1>, E>2>,...,
E>m>} тогда по определению
.
Элементарные события несовместны, тогда
по третей аксиоме теории вероятности
имеет место

Пусть некоторое событие AÌW
состоит из k элементарных событий, тогда
{E>i1>, E>i2>,..., E>ik>}

Доказать: Если AÌB, то P(B)³P(A), B=A+C, A и C несовместны.
* Пусть B=A+C, A и B несовместны. Тогда по третей аксиоме теории вероятности P(B)=P(A+C)=P(A)+P(C) т.к. 1³P(C)³0 - положительное число, то P(B)³P(A).
Классическое определение вероятности.
Пусть W состоит из конечного числа элементарных событий и все элементарные события равновероятны, т.е. ни одному из них из них нельзя отдать предпочтения до испытания, следовательно, их можно считать равновероятными.
Тогда достоверное событие
m - количество равновероятных событий
,
,

Пусть произвольное событие
Тогда
,
т.е. событие A состоит из k элементарных
событий.
Если элементарные события являются равноправными, а, следовательно, и равновероятными, то вероятность наступления произвольного события равна дроби числитель которой равен числу элементарных событий, входящих в данное, а знаменатель - общее число элементарных событий.
Условная вероятность.
P(A/B)
Условной вероятностью наступления события A, при условии события B, называется вероятность наступления события A в результате испытаний, если известно, что в это испытании произошло событие B.
Вывод формулы условной вероятности для случая равновероятных элементарных событий

Действительно, в данном испытании произошло одно из t событий, входящих в B. Все элементарные события равновероятны, следовательно, для данного испытания вероятность наступления произвольного элементарного события, входящего в B равна 1/t. Тогда по классическому определению вероятности, в данном испытании событие A произойдет с вероятностью r/t.


В общем случае доказать эту формулировку невозможно, в теории вероятности она вводится как правило. Существует лишь толкование этой формулы.
Обоснование формулы условной вероятности в общем случае.
Пусть в n>B> испытаниях произошло событие B, а в n>A> испытаниях произошло событие A. Найдем условную частость наступления события A при условии, что произошло событие B. Мы можем сделать это для обоснования формулы, т.к. под вероятностью наступления события понимается предел частости наступления события при условии, что серия испытаний достаточно длинная.
Условная частость


Рассматривая AB как одно событие D имеем:
с другой стороны

Рассмотрим систему событий A>1>,
A>2>,...,A>k>. Покажем, что вероятность
их совместного наступления равна:

Доказательство проведем по мат индукции.
Формула равна для 2 и 3 (см. ранее)
Пусть формула верна для k-1.

Введем событие B.

P(A>1>A>2>...A>k-1>)=P(B)
P(A>1>A>2>...A>k>)=P(A>k>B)=P(B)×P(A>k>B)
Независимые события.
Два события A и B называются независимыми, если P(A/B)=P(A); P(B)=P(B/A) - доказать.
В этом случае вероятность наступления двух событий A и B равна P(AB)=P(B)P(A/B)=P(A)P(B),
при этом покажем, что P(B/A)=P(B); P(AB)=P(B)P(A)=P(A)P(B/A)
События
A>1>A>2>...A>k> называются
независимыми между собой, если
вероятность их совместного наступления
;
.
Два независимых события совместны.
* Если бы события были несовместны, то P(A/B)=0 и P(B/A)=0, т.к. они независимы, то P(A/B)=P(A) и P(B/A)=P(B), т.е. утверждение “независимые события несовместны”, т.к. P(A)=0 и P(B)=0, то это утверждение неверно.
Формула сложения вероятностей.

U - достоверное событие

Покажем,
что события
несовместны.
*
Если события несовместны, то
;
;
т.е. события несовместны.
Тогда
по третей аксиоме теории вероятности


Справедливо следующее тождество на основании (1) и закона дистрибутивности

Показать самим, что все три множества попарно несовместны.

На основании первой и третей аксиомы теории вероятности получаем:

Имеет
место тождество
,
показать самим, что
несовместны

По третей аксиоме:

Для экзамена доказать самим формулу суммы произвольного числа событий

Формула полной вероятности.
Рассмотрим систему A из k попарно несовместных событий.
B>1>,
B>2>, ..., B>k>

Пусть дано событие A, удовлетворяющее равенству A=B>1>A+B>2>A+...+B>k>A.
Показать, что события B>1>A, B>2>A, B>k>A попарно несовместны. B>i>AB>j>A=B>i>B>j>AA=VAA=V
Найти вероятность наступления события A. Любое событие входящее в A, обязательно входит в некоторое, но одно B>i>, т.к. B>1>, B>2>, ..., B>k> образуют полную группу.
Т.к. B>1>, B>2>, ..., B>k> несовместны, то по третей аксиоме теории вероятности имеем:
;
т.е.

Например: Имеются урны трех составов
-
1
5 урн
6 белых и 3 черных шара
2
3 урны
10 белых и 1 черный
3
7 урн
0 белых и 10 черных
Все шары в каждой урне перемешаны.
Испытание - извлекается шар. Какая вероятность того, что при этом будет извлечен белый шар.
B>1> - Вытащить любой шар из урны 1.
B>2> - Вытащить любой шар из урны 2.
B>3> - Вытащить любой шар из урны 3.
A - Извлечь белый шар.
A=B>1>A+B>2>A+B>3>A
B>1>, B>2>, B>3> - попарно несовместны.
Формула полной вероятности: P(A)=P(B>1>)P(A/B>1>)+P(B>2>)P(A/B>2>)+P(B>3>)P(A/B>3>)
|
P(B>1>)=1/3 |
P(A/B>1>)=6/9=2/3 |
|
P(B>2>)=1/5 |
P(A/B>2>)=10/11 |
|
P(B>3>)=7/15 |
P(A/B>3>)=0 |
P(A)=1/3×2/3+1/5×11/10+7/15×0=2/9+2/11=40/99»0.4
Формула Байеса.
Постановка задачи та же, но решаем обратную задачу.
Проводится испытание, в результате которого произошло событие A. Какова вероятность того, что в этом испытании произошло событие B>i>.
Условные вероятности называются апостериорными, а безусловные - априорными вероятностями.
P(AB>i>)=P(A)P(B>i>/A)=P(B>i>)P(A/B>i>)
Откуда,

Таким
образом, формула Байеса:

Композиция испытаний.
Имеется вероятностное пространство, которое порождает испытание 1.

где E>i>, i=1, ..., m>1> - пространство элементарных событий в результате испытания.
P(E>i>), i=1, ..., m>1> - вероятности элементарных событий.
Испытание 2 порождает вероятностное пространство вида

P(E>i>), P(Q>j>) - разные вероятностные меры.
Композицией двух испытаний называется сложное испытание, состоящее в поведении первого и второго испытания.
Композиция испытаний порождает вероятностное пространство вида:

E>i>Q>j> - композиционное событие.
В общем случае по P(E>i>) и P(Q>j>) найти P(E>i>Q>j>) невозможно.
Рассмотрим один частный случай, когда это можно сделать.
Два испытания называются независимыми, если различные исходы обоих испытаний определяются несвязанными между собой случайными факторами.
Из определения независимости испытания вытекает, что условные частости наступления события в одном испытании, при условии, что во втором испытании произошло фиксированное число событий равны безусловным частостям, если они существуют.
Пусть испытания независимы. В результате проведения первого испытания произошло элементарное событие E>i>, в результате второго испытания может произойти все что угодно.
Тогда сложное событие, определяющее исход первого и второго испытания имеет вид:
и равно сумме комбинаций исходов первого
и второго испытаний.
Вероятность сложного события A.
,
т.е. результаты второго испытания не
зависят от результатов первого.
Если
в результате второго испытания произошло
событие Q>j>, а в результате первого
испытания могло произойти все что
угодно, то сложное событие B имеет вид:
.
Вероятность сложного события B равна сумме вероятностей комбинаций вида E>i>Q>j>, i=1, ..., m1
,
т.к. исходы первого испытания не влияют
на исходы второго испытания. Из факта:
P(AB)=P(A)P(B/A); P(B/A)=P(B); AB=E>i>Q>j> (надо
доказать)
A={E>i>Q>1>, E>i>Q>2>, ..., E>i>Q>j>, ..., E>i>Q>m2>}
B={E>1>Q>j>, E>2>Q>j>, ..., E>i>Q>j>, ..., E>m1>Q>j>}
По определению произведения AB в него входят только те события, которые входят и в A, и в B. Из приведенных выше формул следует, что только событие E>i>Q>j> входит и в A, и в B, то AB= E>i>Q>j>. Следует:

Композиционное
пространство имеет вид:

Общая структура независимых событий в композиционном пространстве, порожденном композицией испытаний:

т.е.
в результате первого испытания произошли
элементарные события:
.
В
результате второго испытания события:
.
Сложное
событие B определяет все возможные
комбинации исходов двух испытаний
независимо друг от друга. В результате
первого испытания произошли элементарные
события:
.
В
результате второго испытания события:
.
Тогда:

,
т.к. второе испытание не влияет на
результаты первого.

т.к.
,
(надо доказать)
то

При решении практических задач, связанных с независимыми испытаниями обычно не требуется строить композиционных пространств элементарных событий, а использовать формально неверную запись: P(A×B)=P(A)×P(B).
Композиция n испытаний.
Имеется n испытаний. Зададим для i-го испытания вероятностное пространство:
i=1, ..., n
Композицией n испытаний называется сложное испытание, состоящее в совместном проведении n испытаний. Задается n испытаний, вероятностное пространство каждого из которых имеет вид:
i=1, ..., n
Композиционное пространство имеет вид:
j>1>=1, ..., m>1>; j>2>=1, ...,
m>2>; j>n>=1, ..., m>n>;
Композиция n независимых испытаний.
Испытания (n - испытаний) называются независимыми, если неоднозначность исхода каждого из испытаний определена не связанными между собой группами факторов.
Событие
A>1>: в результате проведения
композиционного испытания в первом
испытании произошло событие
.
Тогда

Событие
A>n>: в результате проведения
композиционного испытания в первом
испытании произошло событие
.
Тогда



i=1, ..., n
Рассмотрим
событие:

В силу определения независимости испытаний очевидно, что:



.
Следовательно:
.
На практике не строят композиционных пространств, а записывают формально неправильную формулу: P(A>1>A>2>...A>n>)=P(A>1>)P(A>2>)...P(A>n>).
Композиционное пространство имеет вид:
j>1>=1, ..., m>1>; j>2>=1, ...,
m>2>; j>n>=1, ..., m>n>;
Общая структура независимых событий в композиционном пространстве имеет вид:
|
1-е событие - |
это событие, которое происходит в 1-м вероятностном пространстве |
|
2-е событие - |
это событие, которое происходит во 2-м вероятностном пространстве |
|
n - событие - |
это событие, которое происходит в n-м вероятностном пространстве |
Рассмотрим два вероятностных пространства.
|
I |
II |
|
|
|
Очевидно, что неопределенность испытания до испытания в первом вероятностном пространстве выше, чем во втором. Действительно, до испытания в I нельзя ни одному из событий отдать предпочтения, а во II событие E>3> происходит чаще.
Энтропия - мера неопределенности исхода испытания (до испытания).
Первым, кто функционально задал выражение для энтропии был Шеннон.
,

Для вероятностного пространства:

Энтропия
задается выражением:
.
Если P>1>=0, то P>i>×logPi=0.
Самим показать, что:
Если вероятностное пространство не имеет определенности, т.е. какое-то из P>i>=1, а остальные равны 0, то энтропия равна нулю.
Если
элементарный исход равновероятен, т.е.
,
то энтропия принимает максимальное
значение.
0£P>i>£1,


,

т.о. вероятности
p>1>, p>2>, ..., p>s> обращаются
в ноль, например p>i>, которая равна
1. Но log1=0. Остальные числа также обращаются
в 0, т.к.
.
Докажем, что
энтропия системы с конечным числом
состояний достигае максимума, когда
все состояния равновероятны. Для этого
рассмотрим энтропию системы как функцию
вероятностей p>1>, p>2>, ..., p>s>
и найдем условный экстремум этой
функции, при условии, что
.
Пользуясь
методом неопределенных множителей
Лагранжа, будем искать экстремум функции:
.
Дифференцируя по p>1>, p>2>, ..., p>s> и приравнивая производные нулю получим систему:
i=1, ..., s
Откуда видно, что экстремум достигается при равных между собой p>1>.
Т.к.
,
то p>1>= p>2>=, ..., = p>s>= 1/s.
Еденицей
измерения энтропии является энтропия
вероятностного пространства вида:

,
которая называется 1 бит.
Неопределенность исхода испытания до испытания автоматически определяет информативность исхода испытания после испытания. Поэтому в битах также измеряется информативность исхода.
Рассмотрим два вероятностных пространства:

Проводим композицию двух испытаний. Композиционное пространство имеет вид:
i=1, ..., s>1> j=1, ..., s>2>
С точки зрения качественного анализа максимальная энтропия композиционного вероятностного пространства достигается тогда, когда испытания независимы. Найдем энтропию композиционного пространства для случая независимых испытаний.


Биномиальное распределение.
n
испытаний называются системой испытаний
Бернулли, если испытания независимы,
в каждом из них происходит событие
,
либо
с вероятностью наступления P(A) = p;

Найдем вероятность того, что в результате проведенных n испытаний событие А произошло m раз:

Рассмотрим композицию n независимых испытаний и построим композиционное пространство элементарных событий.
Общий вид элемента этого пространства следующий:

-
где

При этом вероятность наступления такого события равна:
(умножение
при независимых событиях)
Найдем вероятность наступления любого элементарного события из композиционного пространства:

Рассмотрим в композиционном вероятностном пространстве событие: в n испытаниях событие A произошло m раз.
Событие
A состоит из
- общее кол-во элементарных событий, в
которое входит событие А. А произошло
m раз,
- n-m раз. Вероятность каждого из этих
элементарных событий одинакова и равна:

Следовательно, на основании III аксиомы теории вероятности результат равняется:
(сложение вероятностей)

Случайная величина
Пусть
имеется вероятностное пространство
вида
.
Случайной
величиной называется измеримая
числовая скалярная функция
,
элементами которой являются элементарные
события.
Числовая скалярная функция - это функция, удовлетворяющая следующему условию:
событие
-
алгебре и, следовательно, имеет вероятность
наступления.
Если
произведено испытание, в результате
которого произошло некоторое элементарное
событие
.
В соответствии с функцией
этому элементарному событию соответствует
число, которое называется реализацией
случайной величины x в данном испытании.
В
соответствии с определением случайной
величины вводится числовая скалярная
функция F(x),
,
определенная для каждого действительного
x и по определению равная вероятности
наступления события:

Эта
функция называется функцией распределения
случайной величины
.
Рассмотрим три события:

где a<b, a, b - действительные числа.
Свойства:

Покажем, что из факта
A>2> -алгебре
A>1> -алгебре
и
равенства
следует, что A>3>
.

По определению -алгебры A>3> измерима, поэтому можно принять III аксиому теории вероятности:

F(x) - неубывающая функция
Если x<y, то

т.к.
,
то преобразования верны.
Для всех технических приложений функцию распределения можно считать направленной слева.
В силу того, что функция распределения не убывает, она однозначно задает стчетно-аддитивную меру на поле, порожденном всеми полуинтервалами ненулевой длины.
По
введенному полю построим борелевскую
алгебру. Обозначим ее .
Возьмем произвольное число B
не принадлежащее полю. Это точка или
сегмент. Т.к. множество
получено с помощью счетной суммы или
счетного пересечения множеств
принадлежащих -алгебре,
то и это множество принадлежит -алгебре
и, следовательно, существует вероятность
наступления события B. Следовательно,
имеет место следующее эквивалентное
определение измеримой функции.
Функция
называется измеримой, если для любого
BО множество
алгебре
где

множество, полученное следующим образом:

Функция g(x) называется борелевской функцией, если для любого B множество

Борелевская функция - функция, определяемая на системе борелевских множеств.
В функциональном анализе показано, что все известные аналитические функции являются борелевскими.
ТЕОРЕМА:
Пусть
g(x) борелевская функция,
-
случайная величина, т.е. измеримая
функция. Тогда функция

является измеримой и, следовательно, случайной величиной.
Берем
произвольное B.
по определению борелевской функции.
Рассмотрим множество

т.к.
измеримая
функция и
,
то A-алгебре
Следовательно,
функция
- измеримая функция, т.е. случайная
величина.
Теорема Колмогорова
Любая числовая скалярная функция, которая удовлетворяет свойствам, которым удовлетворяет функция распределения, является функцией распределения и однозначно задает вероятностное пространство вида:

- борелевская алгебра;
P - мера на борелевской алгебре;
R1 - числовая скалярная ось.
Введем функцию F(x)

Эта функция определена для всех x, неубывающая, непрерывная сверху. Показать самим, что такая функция однозначно задает счетно-аддитивную меру на поле, порожденном всеми полуинтервалами ненулевой длины.
Докажем, что 0<F(x)<1
Согласно терминологии, если функция y=f(x) непрерывна на отрезке [a, b], то она ограничена. Поскольку наша функция не убывающая, то максимум и минимум она соответственно будет иметь такой:

т.е. 0<F(x)<1.
2. Пусть имеем следующие функции.
Построим борелеву алгебру на поле, тогда по теореме о продолжении счетно-аддитивная функция, определенная на поле, без изменения аксиом теории вероятности, однозначно распространяется на все элементы борелевой алгебры, не принадлежащие полю. Т.о. вероятностное пространство построено, теорема доказана.
Смысл теоремы.
Теорема
Колмогорова позволяет утверждать, что
если вы исследуете случайную величину,
то не надо строить абстрактное пространство
элементарных событий, -алгебру,
счетно-аддитивную меру, конкретный вид
функции
.
Нашей задачей будет лишь то, что считая
R1 - числовой скалярной осью -
пространство элементарных событий, мы
должны найти функцию распределения
F(x), использую статистику: результата
конкретного испытания над случайной
величиной:
X>1>, X>2>, ..., X>n>
Дискретные случайные величины
Случайная величина называется дискретной, если в результате испытания она может принять значение из конечного либо счетного множества возможных числовых значений.
Случайные величины в дальнейшем будем обозначать большими буквами:
X, Y, Z
Вероятностное пространство дискретной случайной величины задается в виде:
,
n - конечное или бесконечное.
Пример:
Испытание
- композиция n-независимых испытаний, в
каждом из которых происходит событие
A с вероятностью p, либо
с вероятностью 1-p.
Вероятностное пространство

В этом примере -алгеброй является множество всех подмножеств пространства элементарных событий. Введенную нами случайную величину x по определению можно задать:

- верхняя строчка - это совокупность возможных числовых значений, которые может принимать случайная величина;
- нижняя строчка - вероятность наступления этих числовых значений.
Практически
во всех задачах естествознания отсутствует
промежуточный этап: испытание,
- пространство всех возможных исходов
испытания,
-
числовая скалярная функция, элементы
которой w.
На самом деле структура:
- испытание;
- исход испытания;
- число на числовой оси.
Вероятностные характеристики дискретных случайных величин.
Математическим ожиданием случайной величины X называется число вида

x>i> - все возможные различные конкретные исходы испытания;
p>i> - вероятности их наступления.
Математическое ожидание является как бы аналогом центра масс точечной механической системы:

Как центр масс:

Смысл характеристики мат.ожидания заключается в следующем: это точка на числовой оси, относительно которой группируются результаты конкретных испытаний над дискретной случайной величиной.
Свойства математического ожидания
1. MC=C

2. MCX=CMX
Построим таблицу для случайной величины CX:

по определению математического ожидания:

3. M(X+a)=MX+a, a=const
Построим таблицу для случайной величины x+a

Доказать следствие
4. M(aX+b)=aMX+b, где a, b - константы

Пусть случайная величина Y является функцией f(x) от случайной величины X. Построим вероятностное пространство случайной величины Y.

Верхняя строчка является пространством элементарных событий для случайной величины Y. В противном случае верхняя строчка является пространством элементарных событий для величины Y.
Все одинаковые числа в верхней строчке заменяется одним, вероятность наступления которого равна сумме соответствующих вероятностей.
Следствие.
Математическое ожидание случайной величины Y равняется:

Начальным моментом К-го порядка случайной величины X называется математическое ожидание случайной величины Xk.

Центрированная случайная величина - это величина, равная X’=X-MX
Покажем, что математическое ожидание MX’ равно 0.

Центральным моментом К-го порядка называется начальный момент К-го порядка случайной величины X’

при решении реальных задач практические вероятности р>i> неизвестны, но считая, что вероятность - это частость, при большом числе испытаний

Дисперсией случайной величины X, называется центральный момент второго порядка случайной величины X.

Дисперсия является мерой концентрации результатов конкретных испытаний над случайной величиной X.
Свойства.
1. Чем меньше дисперсия, тем более тесно группируются результаты конкретных испытаний относительно математического ожидания.
Пусть дисперсия мала, тогда мало каждое слагаемое суммы (x>i>-)2p>i>. Тогда для , x>i> которое по модулю резко отличается от математического ожидания , p>i> - мало. Следовательно, большую вероятность наступления могут иметь лишь те x>i>, которые по модулю мало отличаются от математического ожидания.
2. Если дисперсия равна 0, то X - const.

3.
D(X+C)=DX
Y=X+C
Y’=Y-MY=X+C-M(X+C)=X+C-MX-C=X-MX=X’
DY=M(Y’)2=M(X’)2=DX
4.
DCX=C2DX
Y=CX
DY= M(Y’)2=M(Y’)2
Y’=Y-MY=CX-MCX=CX-MCX=C(X-MX)=CX’
DY= M(Y’)2=M(CX’)2=C2M(X’)2=C2DX
5.

Построим функцию распределения для дискретной случайной величины. Для удобства договоримся, что случайные величины располагаются в порядке возрастания.

т.е. по определению для любого действительного X, F(x) численно равно вероятности наступления следующего события: в результате испытаний над X оно приняло значение строго меньше x.

Производная функция

Характеристической
функцией случайной величины X называется
функция действительного аргумента вида

Производящей функцией называется скалярная функция вида:

Свойства производящей функции
1.

2.

3. Разложение производящей функции в ряд Маклорена имеет вид

Формула Тейлора имеет вид

при to=0 она носит название формулы Маклорена

Пример:
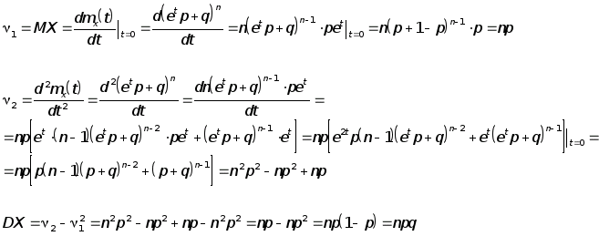
Рассмотрим случайную величину, распределенную по биноминальному закону распределения:

Найдем производящую функцию:

Найти DX и MX

Первая модель распределения Пуассона
Проведена неограниченно большая серия испытаний, в результате каждого испытания случайным образом появляется точка на числовой оси. Случайное распределение точек на числовой оси удовлетворяет следующим трем свойствам.
1. Стационарность. Вероятность того, что на отрезок данной длины попадает данное количество точек определяется только длиной этого отрезка и не зависит от расположения этого отрезка на числовой оси.
2. Ординарность. Вероятность того, что на достаточно малый отрезок длины x попадает одна точка, является бесконечно малой x порядка. Вероятность того, что на этот отрезок попадает более, чем одна точка, является бесконечно малой более высокого порядка, чем x.
3. Свойство без последействия. Вероятность того, что на данный отрезок попало определенное количество точек не зависит от того, сколько точек в результате проведенной бесконечно серии испытаний попало на отрезок, не пересекающийся с данным.
Найти вероятность того, что на данный отрезок длина l попадает m точек.

Обозначим через xl - случайная величина, равная численности точек, выпавших на отрезок длины l.

На числовой оси рассмотрим отрезок длины 1 и обозначим:
MX1=
Математическое ожидание числа точек, попавших на отрезок длины 1. По свойству стационарности l одинаково для всех отрезков.
MX1=ll - доказать
Пусть l - целое число. Разобьем отрезок длины l на l отрезков единой длины. Тогда количество точек, попавших на отрезок длины l будет равно числу точек, попавших на каждый из непересекающихся отрезков длины 1 (тут использовалось свойство беспоследействия).
Используя формулу

имеем
MX1=ll
Математическое ожидание числа точек, попавшие на отрезок длины l равно мат. ожиданий точек, попавших на непересекающиеся отрезки. Пусть l - не целое число. Выделяем целую часть. Тогда

На числовой оси рассмотрим отрезок длины l, разобьем его на n отрезков данной длины

такой, что позволит использовать свойство ординарности. Тогда с определенной погрешностью, которая тем меньше, чем больше n можно считать

т.е. на отрезок длины x попадает не более, чем одна точка, тогда

Для достаточного малого отрезка длины lx вероятность попадания в него одной точки x, а вероятность того, что ничего не произойдет 1- x.
В сделанных предположениях m точек попадает на отрезок длины l только в одном случае, когда в m отрезках попадает по одной точке. Тогда на основании 3-го свойства искомая вероятность равна

Точную
вероятность получим путем предельного
перехода при числе разделений отрезка


Тут
мы разложили
в ряд Маклорена.
Найдем производящую функцию распределения Пуассона

Найти MX и DX

Вторая модель распределения Пуассона
Рассматривается обычная схема биноминального распределения, в котором n - велико, а p - достаточно мало. Тогда точная формула для вероятности появления события A в m испытаниях имеет вид

Эта формула при больших n вычисляется сложно. Такую вероятность заменяют приближенной

Для найденного a построим гипотетический ряд вероятностей

Предполагается, что для достаточно больших n и малых p искомая вероятность

является членом построенного гипотетического ряда вероятностей, а во вторых находится в малой окрестности предельного значения этого ряда. И, следовательно, это значение можно взять в качестве допустимой хорошей аппроксимации значений искомой вероятности.
Непрерывные случайные величины.
Будем
рассматривать пространство элементарных
событий как совокупность всех точек
числовой оси. В этом случае введенная
ранее функция распределения имеет вид:
.
Пусть функция распределения является непрерывной. Найдем вероятность того, что в результате испытаний случайная величина X примет значение a, где a - произвольное действительное число.
P(X=a).
Рассмотрим
неравенство:

Доказать самим.

Следовательно:

Мы впервые столкнулись с ситуацией, когда событие принципиально может произойти в результате испытания, но имеет вероятность равную 0 . В инженерном толковании это означает: в данной конечной серии испытаний данное событие никогда не произойдет.
Случайная величина X называется непрерывной, если ее пространством элементарных событий является вся числовая ось (либо отрезок (отрезки) числовой оси), а вероятность наступления любого элементарного события равна нулю.
P(a£X<b)=P(a£X£b)=F(b)-F(a)
Если от сложного события вычесть конечное либо счетное множество, вероятность наступления нового события останется неизменной.
Функция f(x) - числовая скалярная функция действительного аргумента x называется плотностью вероятности, и существует в точке x, если в этой точке существует предел:

Свойства плотности вероятности.
Плотность вероятности является неотрицательной функцией.






Следствие: Если пространством элементарных событий является отрезок числовой оси, то пространство элементарных событий формально можно распространить на всю числовую ось, положив вне отрезка значение плотности вероятности равное 0.
Второе эквивалентное определение плотности вероятности.
Åñëè
ïëîòíîñòü âåðîÿòíîñòè â òî÷êå x ñóùåñòâóåò,
òî P(x£X£x+Dx)=f(x)Dx+о(Dx).
Вероятность того, что в результате
испытания случайная величина примет
значение в отрезке с точностью до о(Dx)
равна F(x)Dx.
Пример:
Равномерное распределение.
тут p(x)=f(x).


т.к.


Экспоненциальное распределение.



Непрерывная
случайная величина является математической
абстракцией и в чистом виде на практике
не встречается, хотя бы потому, что
теоретически не может существовать
измерительное устройство, вычисляющее
это величину. Следовательно, всегда
исследователь имеет дело со случайными
дискретными величинами. На практике
отрезок [a, b] разбивают на отрезки
одинаковой длинны, длину устремляют к
нулю. При этом x принадлежит отрезку.
Вероятность того, что отрезок содержит
x равна
.
При
ситуация эквивалентна следующему:
имеется бесконечное множество лотерейных
билетов, один ваш. Ясно, что в конечной
серии розыгрышей вы никогда не выиграете.
Независимо от этого велико удобство
работы с непрерывными величинами. Оно
заключается в том, что вероятностные
свойства задаются одной из двух функций
- плотностью распределения либо плотностью
вероятности.
Вероятностные характеристики непрерывных случайных величин.
Пусть имеется случайная величина, являющаяся функцией от непрерывной случайной величины X.
Y=x(x)
Математическим ожиданием непрерывной случайной величены является число:
,
-
плотность вероятности случайной
величины.
Обоснование этой формулы.
Аппроксимируем непрерывную случайную величину Y случайной величены Y*, которая является дискретной. Пусть числовая ось - пространство элементарных событий случайной величены X, разобьем всю числовую ось на отрезки достаточно малой длины.

2n отрезков.
Если в результате испытания случайная величена X попала в отрезок с начальной вершиной x>i>, то случайная величена X* приняла значение x(x>i>) с точностью до бесконечно малой Dx - длины i-го отрезка. Вероятность того, что Y* примет значение x(x>i>) с точностью до бесконечно малой более высокого порядка, чем Dx, тем более точно Y* аппроксимирует Y.
Вероятность
наступления x(x>i>)
для Y* равна


,
при
эта
сумма переходит в
.
Тогда
.
Самим показать, что все свойства мат. ожидания для дискретной случайной величены сохраняются для непрерывной случайной величены.

Доказать, что

Доказать самим, что свойство 1 и 2 для производящей функции в дискретном случае справедливы и для непрерывного.

Распределение Гаусса - нормальное
Случайная величина имеет нормальное распределение (распределение Гаусса) и называется нормально распределенной, если ее плотность вероятности

Из определения

функция распределения

Найдем выражение для производящей функции нормального распределения

=1 (интеграл Эйлера)

Изобразим примерный вид плотности




Рассмотрим центрированную нормальную величину, т.е. MX=0

У центральной нормированной величины все нечетные начальные моменты равны 0

Функция Лапласа
Функцией Лапласа называется функция вида

Свойства:
1) при z>0 функция Лапласа определяет вероятность попадания нормальной случайной величины с параметрами
MX=0
DX=1
в интервале (0, z)
2)

3)
- функция нечетная
Иногда в литературе встречаются два вида функций Лапласа

Функция Лапласа табулирована. Функция Лапласа используется для выполнения событий вида

для произвольных нормальных величин.
Найдем вероятность того, что в результате испытания над x произойдет сложное событие: x примет числовое значение, принадлежащее отрезку с концами (a, b).

Пример.
x - случайная величина.
f(x) - плотность вероятности.
Найти плотность вероятности g(n) случайной величины H.

Рассмотрим отрезок (h, h+dh). Событию попадание H в отрезок (h, h+dh) в силу однозначности функции h(x) соответствует попадание x в отрезок (x, x+dx). При этом вероятности наступления такого события одинаковы:

Тогда построим функцию h(x), обратную x(h), x=x(h).
т.к.

Вероятность первого события равна

Вероятность второго события

Следовательно

Неравенство Чебышева
Рассмотрим
случайную величину X с конечным мат.
ожиданием и дисперсией

Для любого неотрицательного числа t вероятность наступления события

Пусть Z - непрерывная случайная величина с плотностью вероятности f(Z). Пространство событий величины Z (0; ). Тогда имеет место неравенство

Доказать неравенства

Рассмотрим два сложных события

a - произвольное действительное число.
Показать самим, что x - удовлетворяет и одному и другому неравенству.
Тогда
справедливо

В
данном случае

Равномерность неравенств при >0
|
|
|
или, в частности, при a==MX

при =t справедливо неравенство Чебышева.
Многомерные случайные величины.
Инженерная интерпретация.
Проводится испытание. В результате испытания фиксируется m числовых значений X>1>, X>2>, ...,X>m>. Исход испытания случайный.
Пример: Испытание - реализация некоторой технологии выпуска продукта. Исход - численное значение m характеристик, оценив которые мы оценим качество продукта.
Т.к. в процессе реализации технологии на технологию действуют случайные факторы, то результат испытания неоднозначен.
Аксиоматика. Формальная вероятностная модель.
Имеется вероятностное пространство: (W, s, P). Зададим m числовых измеримых скалярных функций x>1>(w), ..., x>m>(w). Каждая из этих функций является одномерной по определению. Возьмем m произвольных действительных чисел и рассмотрим событие A.

Очевидно, что событие A является пересечением событий A>i> вида:

Т.к. каждое A>i>Îs-алгебре, то и AÌs-алгебре. Следовательно, существует вероятность наступления события A и существует числовая скалярная функция m действительных аргументов, которая определена для всех значений своих аргументов и численно равна вероятности наступления события A.
F(x>1>, x>2>, ...,x>m>)=P(A)
Это m-мерная функция распределения m-мерной случайной величены.
Свойства многомерного распределения:
Значение функции при значении хотя бы одного ее аргумента равного -¥, равно 0, как вероятность невозможного события.
Значение функции, при всех значениях ее аргументов равных +¥, равно 1, как вероятность достоверного события.
Функция не убывает по любой совокупности ее аргументов.
Функция непрерывна почти всюду (для инженерной практики это означает, что на конечном, либо счетном множестве аргументов она может иметь скачки 1-го рода).
Рассмотрим
арифметическое пространство
и зададим полуинтервалы вида:

Доказать самим, что P(B) существует, и образ этого множества принадлежит s-алгебре по w.

Можно доказать, что:

Т.о. многомерная функция распределения позволяет в m-мерном арифметическом пространстве задать счетно-аддитивную меру - функцию на поле, порожденному всеми m-мерными полуинтервалами объема ("i, a>i>¹b>i>). Тогда построим минимальную s-алгебру на этом поле, которая называется борелевским полем (алгеброй) в m-мерном арифметическом пространстве. Любая скалярная функция m-аргументов удовлетворяет всем свойствам, приведенным для m-мерной функции распределения и однозначно задает вероятностное пространство вида:

Таким
образом, для инженерного исследования
задача свелась к следующему: пространство
элементарных событий - это m-мерное
арифметическое пространство. По
результатам статистических испытаний
нужно оценить m-мерную функцию распределения
F(x>1>, x>2>, ...,x>m>). Рассмотрим
числовую скалярную функцию m действительных
аргументов. g(x>1>, x>2>, ...,x>m>).
Функция g(x>1>, x>2>, ...,x>m>)
называется борелевской, если для
любого BÌb в одномерном
арифметическом пространстве соответствующая
.
Тогда справедлива теорема, доказательство
которой полностью повторяет доказательство
в одномерном случае. Скалярная функция
-
является измеримой скалярной функцией
- случайной величиной.
Двумерные случайные величины.
Рассмотрим испытание, результатом которого является появление двух чисел из некоторого конечного либо счетного множества пар чисел. Это испытание физически может быть одним испытанием (мгновенное измерение прибором величены тока и напряжения в сети), а также может быть композицией двух испытаний, каждое из которых порождает одномерную дискретную величину. Условно двумерная дискретная случайная величина обозначается как XY, либо любые две буквы латинского алфавита, либо для: X:{x>1>, x>2>, ...,x>s>}, Y:{y>1>, y>2>, ...,y>n>}, проводя испытание над двумерной случайной величиной находят одно из чисел из X либо из Y. А вероятностное пространство двумерной случайной величены формально строится так:

Двумерной случайной величиной называется система из двух одномерных случайных величин X, Y, где как X, так и Y являются дискретными случайными величинами. В пространстве элементарных событий дискретной случайной величены XY определим сложное событие A: В результате испытания над двумерной случайной величиной XY, случайная величина X приняла значение x>i>, случайная величина Y - любое значение.


Вводим сложное событие B: В результате испытания над двумерной случайной величиной XY, случайная величина Y приняла значение y>j>.


Найдем условную вероятность:

Аналогично:

Покажем
что сумма условных вероятностей:
;


Условным математическим ожиданием является выражение:
;

Условной дисперсией называется выражение:
;
.
Условное мат. ожидание и дисперсия отличаются от безусловной только тем, что в их определении подставляется условная вероятность вместо безусловной.
Условное мат. ожидание случайной величены, при условии, что другая случайная величена приняла заданное значение определяет число-точку, относительно которой группируются результаты конкретных испытаний над одной случайной величиной, при условии, что в этом испытании (над двумерной случайной величиной XY) вторая случайная величена приняла заданное фиксированное значение.
Условная дисперсия определяет степень концентрации результатов конкретных испытаний над одной случайной величиной относительно условного мат. ожидания.
При решении практических задач условное мат ожидание и условная дисперсия обычно используются в следующем случае: проводят испытание над X и Y, исследователь имеет возможность измерять результаты испытания над одной случайной величиной, измерение другой недоступно. Если условные дисперсии малы, то в качестве неизвестного значения не измеряемой случайной величены, которую она приняла в результате испытания, можно брать мат. ожидание.
Двумерные непрерывные случайные величины.
Двумерная случайная величина называется непрерывной случайной величиной, если пространством ее элементарных событий является плоскость, либо область плоскости, либо область конечной ненулевой плоскости. Очевидно что X и Y являются одномерными непрерывными случайными величинами.

Следствием
этого определения является следующее:
любое сложное событие размерности 1
(произвольная кривая, принадлежащая
пространству элементарных событий)
имеет нулевую вероятность т.к. в противном
случае вероятность достоверного события
никогда бы не равнялась единице. Числовая
скалярная функция двух действительных
аргументов называется двумерной
плотностью вероятности, двумерной
случайной величины XY, если для фиксированных
значений своих аргументов она выполняет
равенство
.
Приведенное здесь определение является
аналогичным определению одномерной
плотности вероятности.

Ниже будет выведено условие существования плотности вероятности для фиксированных x, y.

Рассмотрим произвольную область G.


Разобьем область G на множество прямоугольников, покрывающих область G. Тогда на основании 3-й аксиомы теории вероятности имеем: вероятность искомого события равна:
.
Точное выражение получим перейдя к
пределу:
(показать самим).
Числовая скалярная функция двух действительных аргументов называется двумерной функцией распределения, если она при фиксированном числе своих аргументов численно равна вероятности наступления F>x,y>(x,y)=P(X£x, Y£y), если X, y - непрерывные случайные величины, то значение функции распределения не изменится.
Доказать:



По определению второй смешанной производной.
B
Найдем по двумерной плотности одномерные плотности случайных величин X и Y.

Т.к. полученное равенство верно для всех х, то подинтегральные выражение

аналогично

В математической теории вероятности вводится как базовая формула (1) ибо предлагается, что плотность вероятности как аналитическая функция может не существовать. Но т.к. в нашем курсе мы исследуем только 2 конструкции - дискретные или непрерывные, то для них полученные формулы эквивалентны и не имеет смысла какую-то из них вводить как первичную.
Условная плотность вероятности.
Найдем плотность вероятности случайной величины Y при условии, что в результате испытания над случайной величиной XY , X приняло значение х.
Обозначим

тут мы использовали второе определение одномерной плотности.
В качестве условной плотности вероятности используется следующее выражение

Обоснование выражения для условной плотности вероятности

Выведем выражение для

Обозначим


Условное мат. ожидание и дисперсия линии регрессии - зависимость Y от X, выраженная в изменении средних значений Y при переходе x от одного значения к другому. Найдем математическое ожидание MZ, где

Двумерные независимые случайные величины (двумерные дискретные случайные величины)
Двумерная
дискретная случайная величина называется
случайной величиной с независимыми
компонентами, если
Показать самим, что справедливо

Доказать
самим, что если испытание, исходом
которого является пара чисел
является композицией двух независимых
испытаний, то случайные величины X Y
независимы.

Независимые непрерывные двумерные случайные величины.
Непрерывными случайными величинами с независимыми компонентами называются если:
Непрерывная двумерная случайная величина имеет независимые случайные компоненты, если
или

Покажем, что второе эквивалентно первому.

Покажем, что если двумерная непрерывная случайная величина XY порождена композицией независимых испытаний, то X и Y независимы.
В силу определения независимых испытаний в композиционном пространстве

В силу определения независимых испытаний в композиционном пространстве A и B независимы.
Следовательно:

Многомерные дискретные случайные величины
Это система, состоящая из m дискретных одномерных случайных величин. Всю арифметику проделать самостоятельно.
Многомерные непрерывные случайные величины.
Система из m одномерных непрерывных случайных величин, у которой пространством элементарных событий является m-мерное арифметическое пространство либо его область, имеющая ненулевой объем.
m-мерная плотность вероятности удовлетворяет выражению

m-мерной функцией распределения называется числовая скалярная функция m действительных аргументов, которая численно равна:

Случайные величины x>1>, x>2>, ... x>m> независимы, если

Доказать, что если m-мерная случайная величина порождена композицией m-мерных испытаний, то события независимы.
Запишем аналог формул

для многомерного случая.
Для
получения плотности вероятности
необходимо n-мерную плотность
проинтегрировать в бесконечных пределах
по переменным, которые соответствуют
случайным величинам, не входящим в

Найдем плотность n-мерной случайной величины.

Математическое ожидание скалярной функции случайных аргументов.
Двумерный дискретный случай.
XY
Числовая
скалярная функция

является одномерной дискретной случайной
величиной, со следующим отличием от
обычного представления:
для
того, чтобы в испытании получить
реализацию
необходимо провести испытание над
двумерной случайной величиной XY,
зафиксировать ее результат xi,yi и
подставить в
. Полученное число и есть реализация
случайной величины
.
Таблица случайной величины строится по таблице

Двумерные непрерывные случайные величины

Случайную
величину
аппроксимируем дискретной по следующему
правилу:
пространство
элементарных событий XY представим в
виде совокупности прямоугольников с
вершинами
,
если в результате испытания XY попало в
прямоугольник (i,j), то эта случайная
величина приняла значение
.
Вероятность наступления этого события
равна:

точное значение мат. ожидания

n-мерный дискретный случай
- многомерная дискретная случайная
величина
Найдем

Вероятностное пространство зададим в виде

Тогда

n-мерный непрерывный случай

Теорема 1. Математическое ожидание суммы случайных величин равно сумме математических ожиданий

а) дискретный случай

б) непрерывный случай

Пусть n-произвольное число

Теорема 2. Математическое ожидание произведения независимых случайных величин равно произведению мат.ожиданий.
По
определению имеем
т.к. случайные величины X и Y независимы,
то


Коэффициент ковариации
Коэффициентом ковариации называется выражение

Эта формула верна, т.к. верна следующая формула.
Пусть

тогда

Если случайные величины XY независимы, то их коэффициент ковариации равен нулю, обратное в общем случае неверно.
Пример.
X - случайная величина, имеющая нормальное распределение с нулевым мат.ожиданием

Y=X2 (Y и X связаны функционально).
Найдем

Случайная
величина
называется нормированной случайной
величиной, ее мат.ожидание равно 0, а
дисперсия -1.

Коэффициентом корреляции случайных величин X и Y - это число

Следствие:
Если X и Y независимы, то коэффициент ковариации равен 0, то

Доказать,
если
независимы, то

Свойства коэффициента корреляции
1.

По определению

т.к.
всегда неотрицательна, то

2.
Если
,
то с вероятность 1 X и Y связаны линейно.

Рассмотрим X*-Y*, отсюда M(X*-Y*)=0.

Если X и Y дискретные случайные величины, и дисперсия равна 0, то их сумма (разность) является постоянной

Пусть X и Y непрерывные случайные величины, то в соответствии с неравенством Чебышева

т.к.


Это неравенство и обозначает, что с вероятностью 1

откуда
y=ax+b, где

Если
коэффициент корреляции
,
то результаты опыта лежат на прямой

В общем случае Y можно представить в виде

Коэффициент корреляции является мерой близости линейной связи между случайными величинами X и Y: чем ближе коэффициент корреляции по модулю к 1, тем более тесно результаты конкретного испытания над X и Y соотносятся с прямой ax+b.
Нахождение плотности вероятности суммы двух независимых случайных величин
Дискретный случай.
Пусть X и Y - две дискретные независимые величины данного испытания и Z=X+Y. Возможное значение Z=z=x+y всегда представляет сумму двух возможных значений слагаемых X=x и Y=y. По правилу сложения

где суммирование распространено на те пары, которые в сумме дают Z. В силу независимости X и Y

Приняв во внимание, что y=z-x

последняя
сумма
распространяется не на все значения x,
а только на такие, для которых z-x равно
одному из возможных значений y.
Если условиться, что P(y=z-x)=0, если z-x не принадлежит к числу возможных значений Y, то

Аналогично

Формулы (1) и (2) определяют композицию величин X и Y.
Или

Непрерывный случай.
Пусть X и Y независимые непрерывные случайные величины. Пусть f(x,y) - двумерная плотность вероятности двумерной случайной величины XY. Плотность совместного распределения f(x,y) в силу независимости X и Y имеет вид

Рассмотрим функцию распределения случайной величины Z.


Для
того, чтобы имело место событие
действительное
число необходимо и достаточно, чтобы
случайная точка Q(x,y) попала в область
1.
Тогда эта вероятность равна

Дифференцируя под знаком интеграла

Двумерное нормальное распределение
Двумерная случайная величина XY распределена нормально, если ее плотность вероятности f(x,y) имеет вид

Свойства двумерного нормального распределения
1.

2.

т.е. X и Y имеет одномерное нормальное распределение.

Сделаем
подстановку


тут мы для краткости обозначили

Прибавляя
и вычитая в показателе степени по e по


Сделаем подстановку

3.
то X и Y независимые случайные величины,
то плотность вероятности двумерная
распадается на произведение одномерных

Найдем условную плотность вероятности

Подставляя
в полученное выражение значения
и
получаем

Вывод: условная плотность вероятности оказалось нормальной с мат. ожиданием

и дисперсией, постоянной

Многомерное нормальное распределение
n-мерная непрерывная случайная величина имеет нормальное распределение, если ее многомерная плотность вероятности в матричном виде

Показать, что формула

в двумерном случае переходит в

для n=2 находим

Показатель степени при e

Найдем обратную матрицу матрице В

Проводим непосредственное доказательство

B - ковариационная матрица

Показать, что эта формула в двумерном случае совпадает с выражением, рассмотренном ранее.
Свойства n-мерного нормального распределения.
- определитель матрицы B - неотрицательное
число.
По
критерию Сильвестрова, если
то все главные миноры матрицы B
неотрицательные и определитель матрицы
B неотрицателен.

Свойства многомерного нормального распределения
Все
одномерные плотности вероятности - это
плотности вероятности одномерной
нормальной случайной
величины с параметрами, определяемыми
координатами вектора X и главной
диагональю ковариационной матрицы B.
Кроме того, подвектор
вектора
из
k элементов, где
также
распределен нормально.
Если все коэффициенты корреляционной или ковариационной матрицы B (все ее недиагональные элементы) равны нулю, то показать самим, что компоненты случайной величины являются независимыми.

если
,то
многомерная плотность распадается на
произведение одномерных, значит
независимы.
Теорема.

Проводим линейное преобразование Y=AX. A - квадратная невырожденная матрица, тогда вектор Y также имеет n-мерное нормальное распределение вида

Следствие: Из доказательства теоремы вытекает, что ковариационная матрица

Оператор A переводит произвольную область из арифметического пространства R>n> в некоторую область того же пространства.
Рассмотрим произвольную область S, принадлежащую пространству элементарных событий случайной многомерной величины X. Ей соответствует область D в пространстве элементарных событий случайного вектора Y. При этом


Запишем эти вероятности

где |I| - якобиан перехода

Т.к. область S и соответственно D произвольны, то плотность вероятности случайного вектора x равна

n-мерная плотность вероятности случайного вектора Y равна

Преобразуем показатель степени e

Можно показать, что если нормальное распределение имеет данный вид, то B - ее ковариационная матрица

Следствие.
-
многомерный нормальный вектор. A -
прямоугольная матрица
Тогда Y=AX имеет нормальное распределение
вида

Y - m-мерный вектор.
Для определенности положим, что матрица A имеет вид
A = (A>1 >A>2>)
A>1
>- квадратная матрица
размером

A>2
>- матрица размерности

Рассмотрим
матрицу размерности
.
Считается, что m первых столбцов
независимы.

равен определителю полученной
квадратной матрицы и не равен нулю.
E
- единственная квадратная
матрица размерности

Следовательно, на основании доказанной теоремы, вектор Y имеет многомерное нормальное распределение.
Z=CX
Компоненты вектора Z имеют вид

Пусть матрица А произвольная, но т.к. ее ранг равен m она содержит m линейно независимых столбцов. Путем перестановки столбцом соберем эти столбцы в первые m. И соответствующим образом пронумеруем компоненты вектора Х. Попадаем в предыдущий случай.
Предельные случайные последовательности.
Рассмотрим
вероятностное пространство
в котором задана счетная последовательность
случайных величин, каждая из которых
является измеримой

Покажем,
что событие
измеримо, т.е. имеет вероятность
наступления. Действительно событие

Каждое
из этих событий в пересечении принадлежит
-
алгебре. По определению
-
алгебры ей принадлежит и счетное
перечисление этих событий, таким образом
событие имеет вероятность наступления.
Пусть
последовательность
имеет предел при
,
который может быть постоянной или
случайной величиной. В теории вероятности
этот предел понимают следующим образом:
под сходимостью последовательности к
пределу понимают событие А которое
может задаваться следующим
образом:
1.

Событие А состоит из всех m, удовлетворяющих условию: для любого как угодно большого r существует такое m, что для всех n выполняется

2.
А: Если предел
,то

Для любого, как угодно большого r существует такое m, что для всех n выполняется

3.Если предел случайная величина, то

Показать
самим, что событие А с
-
алгебре и следовательно имеет вероятность
наступления
любое
событие
измеримо, как доказывалось ранее
измеримы, и следовательно имеет
вероятность наступления. Разность
-алгебре.
Следовательно событие А имеет
вероятность наступления.
Если предел константа, то эквиваленты 1 и 2, если случайная величина - то 1 и 3.
Существующие определения сходимости случайных величин.
Пусть
имеется счетная последовательность
случайных величин и пусть
предел
последовательности.
1. Счетная последовательность сходится к пределу с вероятностью 1, если Р(А)=1.
Это не вероятность достоверного события.
2. Сходимость по поверхности.
Счетная
последовательность случайных величин
сходится
к
по
поверхности, если

3. Сходимость в среднеквадратичном.
Последовательность случайных величин сходится к пределу в среднеквадратичном, если выполняется

Покажем, что из сходимости в среднеквадратичном следует сходимость по вероятности.
Воспользуемся Неравенством Чебышева

При любом конечном r если выполняется сходимость в среднеквадратичном, то этот предел существует и равен 0, т.к. числитель сходится к 0, а знаменатель конечен.
Теорема.
Счетная
последовательность
сходится
к пределу
с вероятностью 1 только тогда, когда

Указанное
выше событие
имеет
своим дополнением событие

и сходимость с вероятностью 1 означает, что P(B)=0.
Очевидно,
что условие теоремы достаточно рассмотреть
для
.
Положим
События
В>rm>,
m=1,2,.... убывают, и для

Докажем это.
Будем искать P(B>r>) так

Событие,
обратное
имеет следующую структуру:

Показать самим, что следующее событие включает предыдущее.

По построению справедлива следующая формула

По третьей аксиоме теории вероятности

Построенный ряд D>1>, D>2>...D>n> образует неубывающую ограниченную последовательность, следовательно имеет предел сверху.
Поэтому возможен переход

Теорема Бернулли.
Рассмотрим систему независимых испытаний Бернулли.

Система испытаний неограниченна. С каждым i-видом испытаний свяжем дискретную величину X>i>

Х>i> принимают значения 1, если в i-том испытании произошло событие А и 0 - в противном случае

Рассмотрим
случайную величину
- число появлений события А в n испытаниях

Рассмотрим
случайную величину

Это частость наступления события А в n испытаниях

Используем неравенство Чебышева

где e - произвольное неотрицательное число
Рассмотрим

Получена теорема Бернулли.
Частость наступления произвольного события при числе испытаний стремящемся к бесконечности по вероятности сходится к теоретической вероятности наступления события.
Обоснование
того, что
- частость наступления события A
заключается в следующем: с тоски зрения
ранее приведенного определения,
независимым испытаниям эквивалентны
две схемы:
проведение n раз одного и того же испытания
проведение n независимых испытаний над n копиями одного и того же.
Аналогия: 100 раз монету подбрасывает 1 человек или 100 человек подбрасывают по одной монете.
Закон больших чисел.
Рассмотрим независимые: одинаково распределенные случайные величины X>1>, X>2>, ..., X>n> с конечным мат. ожиданием и дисперсией.

Рассмотрим их среднее арифметическое

Используя вспомогательное неравенство получим

получаем

При числе испытаний, стремящихся к среднее арифметическое по вероятности сходится к математическому ожиданию.
В любом университетском учебнике доказывается сходимость с вероятностью 1.
Использование закона больших чисел.
Пусть имеется одна случайная величина X, над которой проведено n испытаний. Результаты испытаний

Тогда в силу примечания, сделанного Бернулли, эти n-чисел можно считать результатом одного испытания над n-мерной случайной величиной, у которой X>i> независимы и распределены как X, т.е.
Тогда
является реализацией следующего

Для
справедлив закон больших чисел,
следовательно
является хорошей оценкой величины X.
Основы теории характеристических функций
Комплексная случайная величина Z определяется с помощью двумерной случайной величины (X,Y) следующим выражением

Операции над комплексными случайными величинами совпадают с операциями над комплексными числами.
Рассмотрим скалярную функцию случайных аргументов и числа i.

тогда
в теории вероятности математическое
ожидание случайной величины вычисляется
по тем же формулам, что и
,
просто i считают постоянным параметром.

Найдем мат.ожидание случайной величины Z.

1. Для комплексной случайной величины справедливы свойства аддитивности и мультиплекативности мат.ожидания.

2.
Комплексные случайные величины Z>1>
и Z>2> называются независимыми,
если независимы между собой двумерные
случайные величины
,
т.е. попарно независимы

Пусть Z>1> и Z>2> независимые комплексные случайные величины. Найдем мат.ожидание произведения

3.

а) дискретный случай

б) непрерывный случай
Двумерная случайная величина XY имеет плотность вероятности f(x,y).

Характеристической функцией действительной случайной величины X называется функция

Свойства характеристической функции
1. Для дискретного случая

2. Для непрерывного случая
Будем считать, что плотность вероятности f(x) существует, тогда

3.

Это свойство гарантирует, что характеристическая функция всегда существует

4. Пусть случайная величина
y=ax+b


5. Характеристическая функция суммы независимых случайных величин равна произведению характеристических функций.
Пусть

х>i> - независимы
Тогда

Отсюда

6. Если у случайной величины Х конечен начальный момент n-го порядка, то
а)
для
- существуют к-е производные и при этом

б) имеет место разложение


Для того, чтобы полученное равенство было справедливо, необходимо доказать, что мы можем дифференцировать под знаком интеграла.
Для доказательства приведем ряд фактов.
1. Аналог теоремы Либега для интегралов Римана
Пусть
функция
интегрируема по Риману и при всех х

сходимость в каждой точке известна.
Пусть
при этом

- некоторая функция, мажорирующая данную.
Пусть при этом конечен интеграл

т.е.

Тогда

2. Некоторые свойства мат.ожиданий действительной случайной величины
1) Если х>0, то МХ>0 - доказать самим
Дискретный случай

Введем
случайную величину


Аналогично


Очевидно,
что

Следовательно

Тогда

Пара
может принимать значения:
а) (-,+) в этом случае говорится, что МХ не определено.
б) (-,<) в этом случае говорится, что МХ не ограничено.
в) (<, ) MX=-
(<, <) MX<
Очевидно,
что

Вывод:
Если MX конечно, то конечно и M/X/
MX<, то M/X/<
Если MXk конечно, то конечно и M/Xk/
MXk<, то M/Xk/<
3.
Пусть
,
тогда

на основании пункта 1.
4. Имеет место очевидное неравенство

5.
Пусть существует
,
тогда для всех


Сумма интегралов

Возвращаемся к доказательству.
Докажем формулу

Доказательство проведем по мат.индукции.
Проверяем при k=0

формула справедлива.
Пусть формула справедлива для k<n. Докажем, что она справедлива для k+1.

Рассмотрим.

Получили:

Покажем,
что интеграл
конечен.
Если
,
то и
конечно. А
конечно по условию, тогда для

Таким образом можно применять теорему Либега.

Это мы доказали справедливость формулы

Доказательство разложения - пункт б) является справедливым, если при исследовании остаточного члена учесть, что /i/<1.



