Шпора 2 по мат анализу
|
1.Метрические, линейные, нормированные пространства. 2.Понятие функции m переменных. Предел функции m переменных. Понятие: Пусть
даны множества D> Определение
1. Если
каждой точке >
Если зафиксировать любые n-1 переменные, то функция многих переменных превращается в функцию одной переменной. x>2>=с>2>, x>3>=с>3>, …, х>n>=c>n>; y=f(x>1>, c>2>, …, c>n>) - функция одной переменной х>1>.
Пример.
>
> Пусть имеется n+1 переменная x>1>, x>2>, ..., x>n>, y, которые связаны между собой так, что каждому набору числовых значений переменных x>1>, x>2>, ..., x>n>> >соответствует единственное значение переменной y. Тогда говорят, что задана функция f от n переменных. Число y, поставленное в соответствие набору x>1>, x>2>, ..., x>n> называется значением функции f в точке (x>1>, x>2>, ..., x>n>), что записывается в виде формулы y = f(x>1>,x>2>,..., x>n>) или y =y(x>1>,x>2>,..., x>n>). Переменные x>1>, x>2>, ..., x>n> являются аргументами этой функции, а переменная y функцией от n переменных. 3.Непрерывность функции m переменных. Непрерывность функции m переменных по одной из переменных. 4.Непрерывность сложной функции. Пусть функция (t) непрерывна в точке t>0> и функция f(x) непрерывна в точке х>0>=(t>0>). Тогда функция f((t)) непрерывна в точке t>0>. Доказательство. Для доказательства этой теоремы воспользуемся формальным преобразованием двух строчек кванторов. Имеем
Выписывая подчеркнутые кванторы, получим, что
что и говорит о том, что f((t)) непрерывна в точке t>0>. Обратите внимание на следующие детали: а) т.к. x=(t), то |(t)-(t>0>)|< может быть записано как |x-x>0>|<, и f(x) превращается в F((t));
б)
при определении непрерывности (t)
в точке t>0>
в первом кванторе стоит буква .
Это необходимо для согласования с
квантором
5.Частные производные функции m переменных. 6.Дифференцируемость функции m переменных. 7.Дифференциал функции m переменных. 8.Дифференцирование сложной функции. 9.Производная по направлению. Градиент. Производная
по направлению.
Если в n-мерном пространстве задан
единичный вектор Градиент.
Производная по направлению представляет
собой скалярное произведение вектора
10.Квадратичные формы. Критерии Сильвестра знакоопределенности квадратичной формы. Скалярная функция векторного аргумента, которая представляет собой однородный многочлен второго порядка, называется квадратичной формой.
>
> (критерий Сильвестра). Квадратичная форма является положительно определенной тогда и только тогда, когда все левые верхние угловые миноры матрицы А являются положительными, т.е. > > > |
> 11.Локальный экстремум функции m переменных. Необходимое условие локального экстремума. 12.Достаточные условия локального экстремума. 1. предположим, что в некоторой окрестности точки х>0> существует f'(х) ( в самой точке х>0> производной может не существовать). Допустим, что с приближением к точке х>0> слева функция f(х) возрастает (т.е. f'(х)>0), а после точки х>0> убывает (т.е. f'(х)<0). Очевидно, что в точке х>0> имеется максимум. Вывод: Если в достаточно малой окрестности точки х>0> f'(х)>0 при х< х>0> и f'(х)<0 при х > х>0> , то в точке х>0> имеется максимум. Если в достаточно малой окрестности точки х>0> f'(х)<0 при х< х>0> и f'(х)>0 при х > х>0> , то в точке х>0> имеется минимум. 2. Перейдем к формулировке достаточного условия экстремума с помощью второй производной. Предполагается, что в некоторой окрестности точки х>0> , в том числе и в самой точке х>0> , существует первая производная f'(х). Кроме того, в точке х>0> существует вторая производная f''(х>0>). Исходя из выполнения необходимых условий экстремума, полагаем, что f''(х>0>)=0. Посмотрим теперь на f''(х)как на первую производную от функции Д 13.Неявные функции. Производные неявных функций. Неявная
функция одной переменной.
Пусть в некоторой области
Неявная функция
многих переменных.
Аналогично рассматривают функции
многих переменных, заданные неявно.
Например, при выполнении соответствующих
условий, уравнение
Производная
неявной функции.
При вычислении производной неявной
функции воспользуемся правилом
дифференцирования сложной функции.
Продифференцируем уравнение
14.Условный экстремум функции m переменных. Пусть
функция
15.Метод множителей Лагранжа. Если
уравнение
16.Первообразная. Лемма. Теорема о первообразной. 17.Понятие неопределенного интеграла. Основные свойства. Если F(x) –первообразная и f(x) сущю на промежутке X, то множество ф-ий f(x)+c, где С-const называется непоределенным интегралом от ф-ии f(x) на этом промежутке и обозначается >>>f>>(>>x>>)>>dx>>=>>F>>(>>x>>)+>>c> Свойства: 1) ( >>f(x) dx )=f(x); 2) >>f (x) dx= f(x)+C ; 3) d >>f(x) dx= f(x)dx; 4) >>d f(x)=f(x)+C ; 5) kf(x)dx=kf(x) dx; 6) >>(f(x)+g(x))dx=>> f(x) dx+>>g(x) dx ; 7)Если
>>f(x)
dx = F(x) + C,
то >>f(ax+b)
dx = Все эти свойства непосредственно следуют из определения. 18.Метод замены переменных. В
некоторых случаях нахождение интеграла
упрощается при переходе к другой
переменной интегрирования. При этом
если исходная и новая переменные
в
правой части которого после вычисления
интеграла следует сделать обратную
замену
В
частности, используя замену
позволяющую обобщить табличные интегралы. Например:
где
|
|
19. Интегрирование по частям. Интегрирую выражение любого дифференциала произведения, получим:
Пример:
Рекомендации: В интегралах с подынтегральным выражением вида:
Pn принимается за u В интегралах с подынтегральным выражением вида:
за u
Интегрирование с
подстановкой выражений вида
20.Основные типы интегралов, берущихся по частям.+++21.Интегрирование рациональный алгебраических функций. (см. дополн шпору) 22.Метод неопределенных коэффициентов. 1. Разложим знаменатель на множители:
2. Правильная дробь
разлагается в сумму простейших и
каждому множителю вида
Каждому множителю
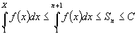
вида с неопределенным коэф.B>1> C>1>… 3. Неизвестный коэф. находится методом неопределенных коэф., основанном на: определении, что 2 многочлена тождественно совпадают, если у них равные коэффициенты при одинаковых степенях. 4. Приравнивая коэф. при одинаковых степенях в левой и правой частях, получим систему линейных уравнений относительно неизвестного уравнения. 23.Понятие интегральной суммы. Геометрический смысл. Определение. Пусть непрерывная функция от одной переменной задана на отрезке [a, b]. 1) Тогда разбиением отрезка [a, b] называется конечное множество точек х0 , х1 ... хn , где а = х0 < х1< х2 < .... < хn-1 < хn = b 2) обозначим через D хi = хi – хi-1, i=1, 2, …, n Диаметром разбиения называется D
=
На
каждом отрезке
которая называется интегральной суммой Римана функции f(х), соответствующей данному
разбиению отрезка [а, b] и выбору
точек
Теперь выясним геометрический смысл интегральных сумм Римана. Пусть f
(х) непрерывная на отрезке [а, b] функция,
причем f (х) Произведение
f( Тогда сумма
представляет
собой сумму площадей n прямоугольников,
с основаниями D хi и высотами f ( Если при стремлении к нулю диаметра разбиения отрезка [а, b] существует предел (14), то определенный интеграл представляет собой площадь криволинейный трапеции. 24.Свойства определенного интеграла. Df. Промежуток с гранич. т. A и B ориентированным, если указано направление перехода от т. A к т. B.
1. Пусть сущ.
определенный интеграл
2.
Док-во:
3. Свойство линейности определенного интеграла:
1. Пустьф-ии
2. Пусть
4. Аддитивность определенного интеграла:
Пусть ф-ия
|
Свойство монотонности.
1. Пусть ф-ия
Док-во: В силу н-ва для ф-ий любая интегрируема ф-ия неотрицательна любая последовательность интегрируемых сумм будет иметь неотрицательный предел интеграл будет неотрицательным.
2. Пусть ф-ия
Док-во:
Из интегрируемости следует, что предел
не зависит от выбора разбиения на
Df
Две ф-ии
3. Инт. от эквивалентных ф-ий совп.
Пусть
Д-во:
4. Пусть
5. Пусть
6. Пусть
25.Интеграл с переменным верхним пределом. Теорема о его непрерывности. Теорма: Если функция f(x) интегрируема на отрезке [a,b], то функция н Доказательство: Дадим числу х приращение ∆х так, чтобы х+∆х[a,b]. Для наглядности изобразим на числовой оси один из возможных вариантов расположения точек:
П По теореме (Если функция y=f(x) интегрируема на отрезке, то интегрируема и абсолютная величина |f(x)|, причем … (на этом следствие из теоремы закончилось) получаем: Отсюда следует, что при ∆х→0 будет ∆F→0. Это доказывает непрерывность функции F(x). Отметим, что для подынтегральной функции f(x) точка х может быть точкой разрыва. 26.Формула Ньютона-Лейбница. Пусть F(x) -произвольная первообразная для функции f(x), заданной на промежутке [a,b]. Так как две первообразные одной и той же функции отличаются на постоянное слагаемое, то верно равенство (1): ( в качестве числа х>0> взято число а). В Откуда С = -F(a). Формула (1) примет вид: Заменяя здесь х на b, приходим к формуле Ньютона-Лейбница: Иногда ее правую часть записывают короче с помощью двойной подстановки: 27.Замена переменных в определенном интеграле. Теорема: при замене переменной х на t по формуле x=φ(t) равенство (1) Справедливо при условиях: 1. φ(α) = а, φ(β) = b, 2. φ'(t) непрерывна на отрезке [α,β], 3 f(x) непрерывна на отрезке [a,b], а f[φ(t)] определена непрерывна на отрезке [α,β]. Д Получаем (по условию 1) правые части этих двух равенств оказываются одинаковыми, следовательно, можно приравнять левые части. Приравнивая их, приходим к равенству (1). Ч.т.д. 28.Формула интегрирования по частям определенного интеграла. Пусть u и v - непрерывно дифференцируемые функции. Проинтегрируем равенство d(uv)=udv+vdu в пределах от a до b. В левой части применим формулу Ньютона-Лейбница: Получим:
|
|
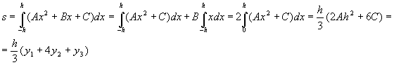
29.Приложение определенного интеграла. Площадь криволинейной трапеции. Площадь s криволинейной трапеции, ограниченной кривой у=Ах2+Вх+С, проходящей через точки М>1 >(-h; y>1>), M>2 >(0, y>2>), M>3> (h, y>3>) (рис. 2) выражается формулой
Доказательство. Подставляя в уравнение у=Ах2+Вх+С координаты точек М>1>, М>2>, М>3>, получаем у>1>=Аh2-Вh+С; у>2>=С; у>3>=Аh2+Вh+С, откуда следует, что 2Аh2+2С=у>1>+у>3>; С=у>2 >(3) Учитывая соотношение (3), имеем
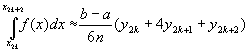
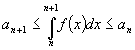
Рассмотрим снова криволинейную трапецию, ограниченную произвольной кривой y=f(x). Разобьем отрезок [a, b] на 2 равных отрезков точками a=x>0><x>1><x>2><...<x>2k><x>2k+1><x>2k+2><...<x>2n-1><x>2n>=b, а кривую y=f(x) с помощью прямых x=x>k >на 2n соответствующих частей точками М>0> , М>1 >, М>2 >, ..., М>2k> , М>2k+1> , М>2k+2>, ..., М>2n-2> , М>2n-1> , М>2n >(рис. 3). Через каждую тройку точек М>0> М>1 >М>2 >, ..., М>2k> М>2k+1> М>2k+2>, ..., М>2n-2> М>2n-1> М>2n > проведем кривую вида у=Ах2+Вх+С (см. лемму 1.1). В результате получим n криволинейных трапеций, ограниченных сверху параболами или прямыми (эти трапеции заштрихованы на рис. 3). Так как площадь частичной криволинейной трапеции, соответствующей отрезку [x>2k>, x>2k+2>], приближенно равна площади соответствующей “параболической” трапеции, то по формуле (2) имеем [в данном случае h=(b-a)/(2n)]
где y>k>=f(x>k>), k=0, 1, 2, ...,2n. Складывая почленно эти приближенные равенства, получаем приближенную формулу
или в развернутом виде
Эта формула называется формулой парабол или формулой Симпсона. 30.Приближенное вычисление определенного интеграла. Формула трапеций.
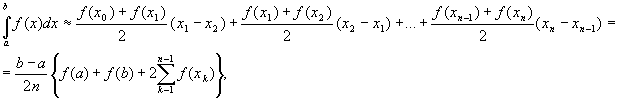
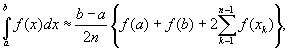
Пусть требуется
вычислить интеграл
Где f(x>k-1>) и f(x>k>) - соответственно основания трапеций; x>k >- x>k-1> = (b-a)/n - их высоты. Таким образом, получена приближенная формула |
33.Числовые ряды. Свойства сходящихся рядов. Рассмотрим числовую последовательность (a>n>)=a>1>,a>2>,...,a>n>>,…> Составим из нее новую последовательность (S>n>) следующим образом: S>1>=а>1>, S>2>=a>1>+a>2> S>3>=a>1>+a>2>+a>3>,,
S>n>=a>1>+a>2>+…+а>n>=> S>n+1>=S>n>+a>n+1> Выражение a>1>+a>2>+…+а>n>+a>n+1>+… (1)
обозначается
символом > Числа а>1>, а>2>,…,а>n>,>… >называются членами ряда, а число а>n>- n – м членом или общим членом ряда. Простейшие свойства числовых рядов 1о. Сходимость ряда не нарушится, если произвольным образом изменить (переставить, добавить или отбросить) конечное число членов ряда. 2о.
Сходящийся ряд можно почленно умножить
на любой множитель
3о. Сходящиеся ряды можно почленно складывать и вычитать, т.е. если даны ряды
то ряд
34.Необходимые условия сходимости ряда. Теорема: Пусть числовой ряд u>1>+u>2>+...+u>n>+... , (1) сходится,
а S - его сумма. Тогда при неограниченном
возрастании числа n членов ряда его
общий член u>n>
стремится к нулю
Так как S>n> - S>n-1> = u>n> то
Следует отметить, что этот признак является лишь необходимым, но не достаточным признаком сходимости ряда, так как можно указать ряд, для которого выполняется равенство
а
он, однако не является сходящимся.
для которого
расходится.
то
ряд (1) расходится.
равнялся
бы нулю.
расходится, так как
35.Сходимость гармонического ряда. -------(нету) |
|
36.Необходимое и достаточное условие сходимости ряда с неотрицательными членами. Теорема 1. (Признак сравнения). Пусть для членов рядов
> имеет место неравенство
> n=1,2,… Тогда:
1. Если сходится
ряд >
2. Если расходится
ряд > Этот признак утверждает, что при выполнении условия (8) из сходимости ряда с большими членами вытекает сходимость ряда с меньшими членами, а из расходимости ряда с меньшими членами вытекает расходимость ряда с большими членами. Теорема 2. (Предельный признак сравнения).
Пусть члены рядов
>
>
Тогда
ряды > 37.Признак сравнения. Пусть
даны два ряда с полжительными членами.
Теорема
остается верна, если соотношения между
членами рядов выполняются не для
всех
При использовании
признаков сравнений чаще всего
исследуемый ряд сравнивают с бесконечной
геметрической пргрессией 38.Признак Даламбера. Пусть l - предел отношения последующего члена u>n+1> ряда (1) к предидущему u>n> при n , т.е.
Тогда,
означает, что, начиная с некоторого номера n, выполняются неравенства
где
e
- наперед заданное сколь угодно малое
положительное число. l + < 1 и, начиная с некоторого n , неравенство
где
q
= l + ,
в силу чего (см. теорему 1) ряд (1) будет
сходящимся; = l - 1 > 0 Тогда l - = 1 и
т.е.
ряд (1) расходится (см. теорему 1)
который расходится, имеем,
С другой стороны, ряд
сходится, а для него также |
потому что
Таким образом, доказано, что если то ряд (1) сходится; если l > 1 , то ряд (1) расходится. 39.Интегральный признак Коши.
Пусть
Доказательство.
Ввиду монотонности при всех
Пусть
теперь наоборот, известно, что ряд
сходится. Тогда
40.Знакопеременные ряды. Числовой ряд, члены которого имеют различные знаки, называется знакопеременным рядом. Пусть дан знакопеременный ряд > Рассмотрим ряд, составленный из модулей его членов: > Определение 1. Ряд (1) называется условно сходящимся, если сам ряд (1) сходится, а ряд (2), составленный из абсолютных величин, расходится. Определение 2. Ряд (1) называется абсолютно сходящимся, если сам ряд (1) сходится и ряд из абсолютных величин тоже сходится. Теорема. Если ряд, составленный из абсолютных величин членов знакопеременного ряда, сходится, то и сам ряд сходится (из абсолютной сходимости следует условная). 41.Знакочередующиеся ряды. Признак Лейбница. Признак Лейбница. Пусть дан знакочередующийся ряд > Доказательство. > Т.к.
>
> > > Следовательно,
>
> Заметим, что: > > 42.Степенные ряды. Признак Абеля. Признак Абеля. Пусть дан ряд: > Доказательство. > 43.Теорема об интервале сходимости степенного ряда. 44.Теорема о радиусе сходимости степенного ряда. |
>Rn
и I>
>
множества D
ставится в соответствие единственное
число у
из I,
то говорят, что задана функция n
переменных у=f(x>1>,
…, x>n>).
Множество D
называется областью определения
функции D(у)=D,
множество I
называется множеством значений функции
I
(у)= I.
>
- функция двух переменных,
>-
функция трех переменных.
,
в
предыдущей строке и взаимного
уничтожения
.
Любая другая буква на этом месте не
дала бы верного результата.
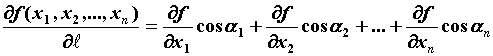
, то изменение дифференцируемой функции
в направлении этого вектора
характеризуется производной по
направлению:
. В частности, для функции трех
переменных
,
-
направляющие косинусы вектора
.
,
который называется градиентом функции
и
обозначается
.
Поскольку
,
где
-
угол между
>
>R.
>,
>,
>,
>
плоскости
задана
функция
,
и пусть линия уровня этой функции ,
определяемая уравнением
,
является графиком некоторой функции
,
определяемой уравнением
.
В этом случае говорят, что функция
непрерывны
в
. Тогда в некоторой окрестности точки
существует
единственная непрерывная функция
.
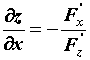
задает
неявно функцию
.
Это же уравнение может задавать неявно
функцию
или
.
. Отсюда получим формулу для производной
функции
.
Таким же способом нетрудно получить
формулы для частных производных
функции нескольких переменных, заданной
неявно, например, уравнением
,
.
и
в этой области задана кривая уравнением
.
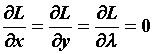
Условным экстремумом функции двух
переменных
,
то задача о нахождении условного
экстремума сводится к исследованию
на экстремум функции одной переменной
.
,
то рассматривают функцию Лагранжа
.
Необходимым условием существования
условного экстремума функции
.
(a
0).
и
связаны соотношением
,
где
- обратимая дифференцируемая функция,
то для интегралов справедливо равенство
,
.
(или
),
получаем формулу
,
(
),
,
,
и
- произвольные постоянные,
.



(Pn
–многочлен степени n
)
после двукратного интегрирования по
частям приводится к линейному уравнению
относительно вычисляемого интеграла.
соотв.
сумма из n
простейших дробей вида:
с неопределенным
коэф. A>1>
…n
соот. сумма из m
простейших дробей вида:

-
длина максимального из отрезков
разбиения.
,
i = 1, 2, …, n, произвольно выберем
и составим сумму
(13)
.
0,
.
сущ. определенный интеграл
и справедливо равенство




интегрируемы
на

,
то для любой произвольной постоянной
- справедлива формула

интегрируема на большем их трех
помежутков
,
тогда она интегрируема на обоих меньших
промежутках и справедлива формула:



на


,
заданные на
эквивалентны
и интегрируемы на
(они не совпадают а интегралы совпадают).
на

на
,
то















(2)




,
где f(x) - непрерывная функция. Для
простоты рассуждений ограничимся
случаем, когда f(x)
0. Разобьем отрезок [a, b] на n отрезков
точками a=x>0><x>1><x>2><...<x>k-1><x>k><...<x>n>=b
и с помощью прямых х=х>k
>построим
n прямолинейных трапеций (эти трапеции
заштрихованы на рис. 1). Сумма площадей
трапеций приближенно равна площади
криволинейной трапеции, т.е.




>
>и
называется числовым рядом.
,
т.е. если ряд





,
,
,
,
,
,
>
и >
>
>
(8)
>,
то сходится и ряд >
>
и
Причем, каждый член ряда
не превосходит соответствующего члена
ряда
,
то есть
для всех
.
Тогда
,
а лишь начиная с некоторого номера
.
,
которая сходится при
и расходится при
,
или с рядом
,
который сходится при
и расходится при
.









-
непрерывная, неотрицательная, монотонно
убывающая функция, определенная при
.
Тогда ряд
и
интеграл
выполняются
неравенства
.
Интегрируя, получаем
.
Тогда
,
или
.
Поэтому если
.
Тогда

и
,
ряд
сходится.
.
Взяв произвольное
выберем
.
Тогда
.
Значит,
>. (1)
>. (2)
>(монотонно
стремится к 0), тогда А сходится.
>
>
>.
>,
>
>,
то есть последовательность частичных
сумм >
>
убывает, а >
>
возрастает.
>Каждая
из последовательностей >
>
ограничена и >
>.
>.
>

>.
>
>: >
>
> Доказано.