Элементы теории устойчивости
Введение.
Анализ устойчивости непосредственно связан с определением условий равновесия. В линейных системах существуют только одно состояние равновесия. Поэтому зависимые переменные, характеризующие состояние системы, с течением времени приближаются либо к состоянию покоя, либо периодического изменения. В нелинейных же системах возможны ситуации, когда существуют несколько состояний равновесия. Причем достаточно малого возмущения, чтобы начался переходный процесс, который приведет систему к новому состоянию равновесия, существенно отличающемуся от первоначального. Следовательно, при рассмотрении подобных систем необходимо проанализировать особенности их поведения в непосредственных окрестностях всех возможных состояний равновесия.
Если достаточно малое (независимо от того, какими причинами оно вызвано) возмущение приводит к существенному отклонению режима от исходного (установившегося) состояния или от невозмущенного движения, то говорят о нестабильности или неустойчивости положения равновесия или невозмущенного движения. Если же после прекращения действия возмущения система не отклоняется существенно от своего исходного состояния, то такой режим называют устойчивым.
Таким образом, в нелинейной теории недостаточно только получить весь спектр возможных решений. Необходимо еще провести исследование всех решений на устойчивость.
Исследованию вопросов устойчивости посвящено множество работ. Широко известны первые работы в этой области Лагранжа, Рауса, Жуковского и Пуанкаре. Значительным вкладом в теорию устойчивости явилось исследование выдающегося русского математика А. М. Ляпунова « Общая задача об устойчивости движения» (1892), которая еще и сегодня представляет собой основу всех исследований в этой области. А. М. Ляпунов дал строгое математическое определение устойчивости. Рассматривая нелинейные задачи небесной механики, А. М. Ляпунов доказал несколько теорем, решающих в общем виде задачу устойчивости. Он показал, что при малых отклонениях от состояния равновесия правильное суждение об устойчивости можно получить, используя линеаризацию исходного нелинейного уравнения.
Прежде чем перейти к методам исследования устойчивости или неустойчивости движения введем определение устойчивости.
Определение устойчивости и асимптотической устойчивости.

Поведение
широкого класса физических систем часто
описывается дифференциальными уравнениями
n–го порядка,
которое всегда может быть преобразовано
в эквивалентную систему
n
дифференциальных уравнений 1-го порядка
в виде:
Здесь y>ν>(t) являются какими – либо зависимыми переменными, связанными с «движением» (в свете механики), т. е. С временным (динамическим) протеканием процесса; например, в электрических системах это могут быть напряжения, токи, заряды и т. п. Точка сверху означает производную от этих величин по времени: формула
Ч
астному
решению f>ν>(t)
одного из системы уравнений (1) соответствует
движение системы, которое назовем
невозмущенным движением в противоположность
другому движению, которое обозначим
как возмущенное движение y>ν>(t)
. Очевидно, что f>ν>(t)
должно удовлетворять следующей системе
уравнений:
Р
азличие
значений возмущенного y>ν>(t)
и невозмущенного f>ν>(t)
движений в каждый момент времени t
назовем возмущением x>ν>(t):
З
атем
при следующих выражениях:
Ляпунов дал следующее определение устойчивости. Невозмущенное движение называется устойчивым, если для всякого небольшого положительного числа δ>0 может быть найдено другое такое число ε(δ), чтобы для всех возмущенных движений y>ν>(t) для начального момента времени t = t>0> выполнялось неравенство (4), а во все последующие моменты времени t > t>0> было справедливо неравенство (5). В противном случае невозмущенное движение неустойчиво. Иными словами невозмущенное движение устойчиво, если, будучи возмущено в начальный момент времени оно в дальнейшем целиком проходит в непосредственной окрестности своего первоначального состояния и не покидает эту соседнюю область.
Из данного определения устойчивости движения получается устойчивость положения равновесия как частный случай, когда все f>ν>(t)=С>ν>, т.е. являются постоянными величинами.
Более жестким, чем только что данное определение, является определение асимптотической устойчивости. А именно, невозмущенное движение называется асимптотически устойчивым, если оно, во-первых, устойчиво в смысле вышеуказанного определения (4), (5), и, во-вторых, если можно выбрать число δ такое, чтобы для всех возмущенных движений, которые удовлетворяют неравенству (4) дополнительно выполнялось условие (6). Другими словами это означает, что при возмущенном в начальный момент времени t=t>0> асимптотически устойчивом движении возмущения не только остаются внутри окрестности первоначального состояния ε(δ), как при нормальной устойчивости, но и дополнительно с течением времени затухают до нуля.
Итак, возмущенное движение устойчиво, если возмущенное в начальный момент времени движение проходит в его непосредственной окрестности и не покидает определенную соседнюю область. Оно асимптотически устойчиво, если возмущенное движение асимптотически стремится к невозмущенному.
Приведенное определение устойчивости называется устойчивым «в малом». Наряду с ним часто пользуются понятиями об устойчивости «в большом» и «в целом», которые характеризуют поведение движения по отношению к большим начальным возмущениям из определенной области или даже для произвольных начальных возмущений. Такие случаи часто имеют существенное значение в некоторых задачах. Однако во многих практически важных задачах вполне достаточным оказывается исследование устойчивости «в малом». Именно этот вариант и будет рассматриваться в дальнейшем изложении.
Дифференциальные уравнения возмущенного движения; уравнения первого приближения.
П
родифференцировав
(3) по времени, получим:
где, в соответствии с (1), (2), обозначено
У
равнения
(7) записаны относительно возмущений
x>ν>(t)
и называются дифференциальными
уравнениями возмущенного движения.
Каждому движению рассматриваемой
системы соответствует частное решение
уравнений (8). Например, полностью
невозмущенному движению соответствует
тривиальное решение:
п
ри
котором, как легко видеть (8), функции X>ν>>
>также становятся
тождественно равными нулю.
Д
ля
многих задач исследования устойчивости
желательно правые чести уравнений
возмущенного движения (7) разложить в
ряд по степеням возмущений X>ν>>
>в окрестности
нулевой точки (9). Так как здесь выполяются
условия (10), то свободные члены в разложение
не попадают (ряд Маклорена) и можно
записать:
г
де
а>ν1>,
а>ν2>,...,>
>а>νn>>
>–
постоянные коэффициенты при разложении
функции X>ν>>
> в
ряд Маклорена, X>ν>
– сокращенная запись для суммарного
обозначения всех слагаемых разложения,
которые относительно возмущений x>ν>>
>имеют степень выше
единицы, а также - перекрестных членов
ряда. Во многих случаях, если начальные
значения возмущений x>ν>
малы, то при исследовании устойчивости
можно пренебречь членами высших порядков
малости и рассматривать линеаризованную
систему уравнений возмущенного движения:
Эту систему называют системой уравнений 1-го приближения.
Вопрос о возможности суждения об устойчивости или неустойчивости первоначальной нелинейной системы на основании рассмотрения уравнений 1-го приближения, т. е. Линеаризованной системы уравнений возмущенного движения, впервые был рассмотрен А. М. Ляпуновым для всех случаев исследования уравнений (7). При этом найденные и доказанные им положения об устойчивости линеаризованной системы получаются из общей теории А. М. Ляпунова об устойчивости и неустойчивости.
Методы А. М. Ляпунова по исследованию устойчивости.
Методы исследования были разделены Ляпунов на две категории.
В первом случае устойчивость или неустойчивость разрешается на основании непосредственного исследования уравнений возмущенного движения. При этом требуется конкретное определение общего или частного решения системы уравнений возмущенного движения. Однако это удается лишь в очень редких случаях, поскольку в настоящее время неизвестны регулярные методы решения нелинейных дифференциальных уравнений.
Во втором случае решения системы уравнений возмущенного движения вообще не требуется. Метод состоит в составлении определенной функции L, зависящей от t; x>1>,x>2>,...x>n>, с особыми свойствами, так называемой функции Ляпунова, из поведения которой и поведения ее производной по времени в окрестности нуля можно сделать вывод об устойчивости или неустойчивости движения.
Положения об устойчивости по методу функции Ляпунова здесь подробно рассматриваться не будут. С ними при желании можно ознакомиться в соответствующей литературе. Ограничимся вытекающими из них положениями об устойчивости линеаризованной системы, которых вполне достаточно для исследования в большинстве практически интересных случаев. Эти положения справедливы стационарных, установившихся состояний или движений, при которых функции X>ν>> >в уравнениях (7) или функции X>ν> в уравнениях (11) не зависят от времени t. Прежде чем приводить положения об устойчивости рассмотрим вкратце для лучшего понимания вопрос об устойчивости непосредственно линейной системы, исследование которой возможно без применения функции Ляпунова, более простым способом.
Положения Ляпунова об устойчивости линеаризованной системы.
Р
ассмотрим
линейную систему дифференциальных
уравнений (12). Метод определения решений
этой системы хорошо известен из общей
теории линейных дифференциальных
уравнений с постоянными коэффициентами.
А именно, будем искать решения в виде:
где C>ν> и λ- константы, подлежащие определению. Тогда после сокращения на eλt ≠0 получим систему алгебраических уравнений:


Эта
система уравнений при определении
неизвестных коэффициентов C>ν>>
>имеет нетривиальное,
отличное от нуля решение, если определитель
ее D(λ)
равен нулю:
г
де

Уравнение
(15) представляет собой характеристическое
уравнение системы дифференциальных
уравнений (12) и является алгебраическим
уравнением n-ой
степени относительно λ:
г
де
a>ν>-постоянные
коэффициенты характеристического
уравнения, которые определяются
коэффициентами a>νi>
определителя (16) и системы (12). Уравнение
(17) имеет в общем случае n
различных комплексных корней:
г
де
λ>i>’,
λ>i>’’-соответственно
действительные и мнимые части корней,
а j-мнимая
единица. Тогда общее решение системы
(12) будет равно сумме всех частных решений
(13) и может быть представлена в виде:
где постоянные C>νi> определяются конкретными начальными условиями задачи, т. е. начальными возмущениями системы.
На основании общего решения задачи о возмущенном движении линейной системы (12), полученного в виде соотношений (19), (18) можно сделать следующие выводы об устойчивости.
1
.
Если вещественные части всех корней
характеристического уравнения
отрицательны
то выполняется условие (6). В этом случае линейная система асимптотически устойчива.
2
.
Если среди корней характеристического
уравнения найдется хотя бы один с
положительной вещественной частью
то в решении x>ν>(t) (19) будет присутствовать хотя бы одно слагаемое, которое с течением времени будет неограниченно нарастать. В этом случае линейная система неустойчива.
3. Если среди корней характеристического уравнения нет корней с положительной вещественной частью (21), однако имеются корни с вещественными частями, равными нулю

то выполняется условие (5). В этом случае линейная система просто устойчива.
Положения Ляпунова об устойчивости исходной нелинейной системы.
Обратимся теперь к нелинейной системе (7). А.М. Ляпунову удалось показать, что на основе анализа линеаризованной системы (12) можно сделать довольно существенные выводы и о поведении исходной нелинейной системы. Сформулируем следующие основные положения Ляпунова, которые примем без доказательств.
1. Если все корни характеристического уравнения системы первого приближения имеют отрицательные вещественные части (20), то невозмущенное движение исходной нелинейной системы устойчиво в обычном смысле (4), (5).
2. Если среди корней характеристического уравнения системы первого приближения найдется хотя бы один с положительной вещественной частью (21), то невозмущенное движение исходной нелинейной системы неустойчиво.
3. Если характеристическое уравнение системы первого приближения не имеет корней с положительной вещественной частью, однако имеет такие, у которых вещественные части равны нулю (22), то ответ на вопрос об устойчивости или неустойчивости исходной нелинейной системы дан быть не может на основании линейного анализа. Необходимо более глубокое нелинейное исследование.
Т. о., два первых положения описывают так называемые «некритические» случаи, в которых можно дать ясный ответ на вопрос об устойчивости нелинейной системы на основании исследования системы первого приближения. Третье положение соответствует «критическому» случаю, когда определенный вывод об устойчивости или неустойчивости нелинейной системы можно сделать только при дополнительном исследовании уравнений с учетом нелинейных слагаемых более высоких порядков малости, чем первый.
Методы анализа устойчивости линейных и линеаризованных систем.
Итак, для определения устойчивости такой системы необходимо определение всех корней ее характеристического уравнения до единого. Однако в системах высокого порядка вычисление корней весьма затруднительно. При этом часто приходится прибегать к численным методам, что еще более затрудняет задачу.
Чтобы избежать указанных трудностей и не вычислять вообще корней характеристического уравнения был разработан ряд методов, так называемых критериев устойчивости. При их помощи можно определить характер устойчивости или неустойчивости системы, не вычисляя корней характеристического уравнения.
В настоящее время известно множество критериев устойчивости, позволяющих решать задачу при различных, конкретных условиях. Таковы алгебраический критерий Гурвица, критерий Рауса, частотный критерий Найквиста с различными дальнейшими модификациями, например, Михайлова, и др. Несмотря на формальное различие перечисленных критериев друг от друга, по сути все они основаны на известной теореме теории функций комплексного переменного, а именно, теореме Коши относительно числа нулей и полюсов функции, аналитической в заданной области.
Поскольку критерии устойчивости обстоятельно изложены в литературе, в дальнейшем ограничимся подробным рассмотрением лишь двух из множества критериев: Гурвица и Рауса.
Необходимое условие устойчивости.

Пусть
характеристическое уравнение линейной
или линеаризованной системы уравнений
(12) возмущенного движения представлено
в виде (17), причем, для определенности
В противном случае уравнение умножают на –1.
Нетрудно доказать следующее необходимо условие устойчивости. Для устойчивости линейной системы любого порядка необходимо, но не достаточно, чтобы все коэффициенты характеристического уравнения были положительными.
Иными словами, если линейная система устойчива, то коэффициенты ее характеристического уравнения положительны, но не наоборот.

При
доказательстве положим, что система
заведомо устойчива, т. е. все корни ее
характеристического уравнения имеют
отрицательные вещественные части:
Характеристическое уравнение (17), как известно, можно записать в виде:


Тогда, подставляя (24) в (25), получим
Последнее соотношение можно записать в следующей форме:

Л
егко
сообразить, что, раскрывая скобки и
перемножая сомножители в последнем
выражении, можно получить только
положительные коэффициенты в
характеристическом уравнении (17).
Тем самым доказано утверждение, что все коэффициенты характеристического уравнения положительны (28), (23), если система устойчива.
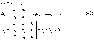
Критерий Гурвица.
Гурвиц разработал критерий, который дает необходимое и достаточное условие устойчивости линейной системы. Приведем эту теорему без доказательства.
Общий определитель Гурвица Δ>n>> >имеет n столбцов и n строк и составляется из коэффициентов a>ν> (23), (17) характеристического уравнения в соответствии со следующим выражением:


Частные
определители Гурвица имеют вид:
и
так далее. Общий определитель Δ>n>
может быть разложен по последнему
столбцу и составит:
Критерий Гурвица формулируется следующим образом.

Для
устойчивости линейной системы n-го
порядка необходимо и достаточно, чтобы
все n частных определителей
Гурвица Δ>ν>, ν=1,2,..n,
получаемых из общего определителя (30),
(31), составленного из коэффициентов а>0>,
а>1>, а>2>,...а>n>
характеристического уравнения (17), были
положительны:
о
ткуда,
в частности, вытекает условие
Рассмотрим простейшие частные случаи систем 1-го, 2-го и 3-го порядков, имея в виду, что выполняется условие (23).

Тогда
для системы первого порядка с
характеристическим уравнением
у
словием
устойчивости в соответствии с критерием
Гурвица будет

Для
системы второго порядка с характеристическим
уравнением
у
словия
устойчивости согласно критерию Гурвица
примут вид:
И
з
последних двух условий получим:
Т. о., для рассмотренных систем 1-го и 2-го порядков условие, что все коэффициенты характеристического уравнения должны быть положительными, является также и достаточным для устойчивости. Иными словами для систем 1-го и 2-го порядков необходимое и достаточное условие устойчивости, сформулированное на основании критерия Гурвица, совпадает с необходимым условием устойчивости, доказанном выше (28), (23), (17).

Наконец,
рассмотрим систему третьего порядка с
характеристическим уравнением

Для
которой на основании критерия Гурвица
можно записать следующие условия
устойчивости:
И
з
этих неравенств получаем:
Отсюда следует, что для линейных систем третьего порядка необходимое и достаточное условие, сформулированное с помощью критерия Гурвица, не совпадает с необходимым условием устойчивости, доказанным выше.
Таким образом, данные, полученные с помощью критерия Гурвица, позволяют судить об устойчивости систем 1-го и 2-го порядков непосредственно по виду их характеристических уравнений и знаку его коэффициентов; проведения других дополнительных исследований не требуется. Это очень часто весьма облегчает задачу. Для систем же, описываемых уравнениями 3-го и более высоких порядков, проведение специального исследования устойчивости является совершенно неизбежным.
Критерий Рауса.
Во многих случаях при анализе устойчивости решение характеристического уравнения (17) системы является длительным и трудным. Раусом был предложен метод, позволяющий определить характер корней характеристического уравнения (18) без непосредственного нахождения их. Этот метод позволяет получить важные сведения об устойчивости системы (12), не прибегая к громоздким математическим операциям.
Кратко метод заключается в следующем. Из коэффициентов характеристического уравнения составляется так называемая таблица Рауса в соответствии с записанным далее выражением.
ФОРМУЛА 42
В общем виде элементы таблицы Рауса по мере повышения номера ее строки представляются соотношениями чрезвычайно громоздкими. Однако, как будет показано ниже, при численных расчетах анализ значительно упрощается.
Завершив процесс построения таблицы, исследуем первый ее столбец. Если знаки всех элементов этого столбца одинаковые, то характеристическое уравнение (17) не имеет корней с положительными вещественными частями. Если члены первого столбца не все имеют одинаковые знаки, то число корней с положительными вещественными частями равно числу изменений знаков.
Следует отметить, что критерий Рауса неприменим в двух случаях. Во-первых, когда какой-либо элемент первого столбца, начиная со второго, равен нулю. Тогда все члены следующей строки будут равны бесконечности. Во-вторых, когда все элементы второй или любой из следующих строк равны нулю. В этих специальных случаях необходимо использовать для анализа другие методы.
Д
ля
примера рассмотрим уравнение:
С
опоставляя
(43) с (17), можно записать
Т
огда
таблица Рауса будет иметь следующий
вид:
З
амечаем,
что знак элементов первого столбца
таблицы сначала изменяется с плюса на
минус, а затем – опять на минус. Это
означает, что уравнение имеет два корня
с положительными вещественными частями.
Действительно, корнями уравнения (43)
являются:
Следует иметь в виду, что для упрощения вычислений можно разделить (или умножить) все элементы любой строки на положительное число, прежде чем использовать их для получения следующей строки. Очевидно, что такая операция не изменит знака членов следующей строки и не отразится на конечном результате. Например, элементы третьей строки таблицы (45) можно было бы разделить на 8 для упрощения последующих вычислений.
Анализ результатов устойчивости в нелинейных системах.
При исследовании устойчивости в цепях постоянного тока при малых возмущениях обнаружение неустойчивости возможно только при наличии элементов с отрицательным дифференциальным сопротивлением. Элементы с «падающими» участками на вольт - амперной характеристике, как известно, разделяются на две группы.
К первой группе относятся элементы с S – образной ВАХ, например, электрическая дуга. У них ток относительно напряжения является неоднозначной функцией, т. е. при определенных напряжениях при их плавных изменениях теоретически возможны резкие изменения, так называемые «скачки» тока. Однако, опыт показывает, что при этом в такой цепи всегда присутствует небольшая паразитная индуктивность, которая «сглаживает» скачкообразные изменения, не допуская скачкообразного изменения энергии магнитного поля, поскольку оно в реальной системе невозможно.
По этой причине при исследовании устойчивости в таких цепях нелинейное сопротивление с S – образной ВАХ представляют в виде последовательного соединения его дифференциального сопротивления и малой начальной индуктивности.
У элементов с N – образной ВАХ напряжение является неоднозначной функцией тока. Здесь при определенных токах при их плавных изменениях теоретически возможны скачкообразные изменения напряжения, которые, однако, в реальных системах предовращаются наличием малой паразитной емкости. Поэтому при исследовании устойчивости в таких цепях нелинейное сопротивление с ВАХ N – типа заменяют эквивалентной схемой с параллельным соединением дифференциального сопротивления и малой паразитной емкости.
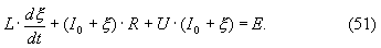
Устойчивость точки равновесия электрической дуги.
В
качестве примера цепи постоянного тока
рассмотрим электрическую дугу с ВАХ S
- типа. С учетом паразитной индуктивности
L
цепь имеет эквивалентную
схему, представленную на рис. ??????.
Уравнение цепи на основании закона
Кирхгофа имеет вид:

В
состоянии равновесия ток в цепи i
не должен изменяться во времени t:
П
оэтому
уравнение примет вид:
З
апишем
уравнение возмущенного движения,
полагая при этом
г
де
ξ(t)
– малое возмущение; тогда
получим:
Р
азложим
функцию U(i)
в ряд в точке I>0>>>
по степеням малых возмущений ξ
и ограничимся величинами первого порядка
малости, пренебрегая всеми членами
более высоких порядков малости:
Обозначим величину дифференциального сопротивления нелинейного сопротивления R>d> в точке i=I>0>:

Т
огда
подставляя (53), (52), (49) в (51) получим
линеаризованное уравнение цепи:
г
де
П
редставляя
решение (54) в виде
п
олучим
характеристическое уравнение системы
и
явную зависимость ξ(t)
в следующей форме:
С
ледовательно,
состояние линейной системы (54)
асимптотически устойчиво, а исходная
нелинейная система (51) устойчива в
обычном смысле. Если выполняется условие
И
спользуя
обозначение (55) окончательно получаем:
Последнее выражение представляет собой известный критерий Кауфмана для устойчивой рабочей точки электрической дуги.
Устойчивость решений уравнения Дуффинга.
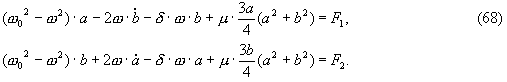
Запишем уравнение движения неконсервативного нелинейного осциллятора, находящегося под гармоническим внешним воздействием, для случая среды с вязким трением (7.2), (11.1)
Формулы с двойными номерами здесь – (7.2), (11.1) - и ниже – (7.5), (3.20), (9.5), (11.3), (11.5) – цитируются по книге [4].
2
)
Поскольку символ λ использован везде
в настоящем разделе для обозначения
корней характеристических уравнений.
где символом δ обозначена в соответствии с (7.5) удельная вязкость среды; ω>0>, μ – (3.20), F – (9.5).
П
равую
часть уравнения можно представить в
виде суммы синусной и косинусной
компоненты:
где F>1>, F>2> определяются выражениями (11.3) и справедливы формулы (11.5).
П
ри
исследовании устойчивости для описания
поведения рассматриваемой системы при
появлении малых возмущений необходимо
использовать полную подстановку Ван
дер Поля:
где a(t), b(t) – медленно изменяющиеся функции. Вычислим первую и вторую производные функции y(t) по времени t:

Используя
медленность изменения функции a(t),
b(t)
и малость параметра δ,
пренебрежем в формулах (64) слагаемыми
вторых порядков малости:
Подставив последние выражения и (63) в уравнение (61), получим:
Т

ригонометрический
двучлен третьей степени в левой части
равенства без учета всех компонент,
кроме колебаний с основной частотой ω
может быть представлен в следующем
виде:
П
одставив
это выражение в предыдущие и сгруппировав
слагаемые с одинаковыми тригонометрическими
функциями получим два соотношения:
О
тсюда,
разрешая равенства относительно a,
b,
можно записать систему «укороченных»
уравнений:
Р
ассмотрим
стационарное решение:
Т
огда
для определения амплитуд стационарных
колебаний a>0>>>,
b>0>
на основании системы
(69) получаем алгебраические уравнения:
Р
анее
решение (11.6) было получено в частном
случае наличия одного только синусного
колебания:

При
этом из (71) получаем выражения:
совпадающие, как и следовало ожидать, с (11.9). Тогда. Использую (11.5), (73) можно записать формулу (11.10):
О
пределяющую
резонансную зависимость рассматриваемого
осциллятора |a>0>|(ω)
или его «управляющую»
характеристику |a>0>|(F).
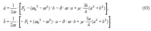
Д
ля
исследования устойчивости полученных
стационарных колебаний с амплитудами
a>0>,
b>0>
(70), (71) введем теперь в
рассмотрение их малые возмущения
ξ(t),η(t):
г
де
Т
огда
подставляя (75) в укороченные уравнения
(69) и используя условия для стационарных
амплитуд (71), получим нелинейную систему
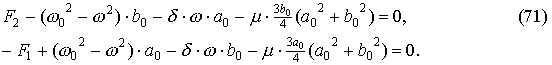
возмущенного движения в следующем виде:
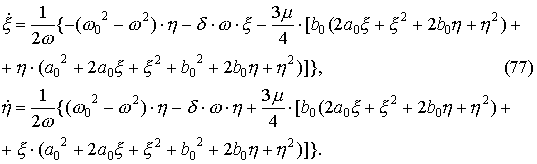
А
нализируем
уравнения (77), используя малость возмущений
(76):
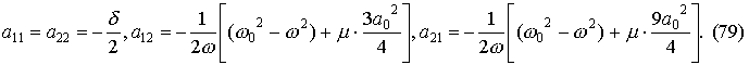
г
де
постоянные коэффициенты a>νm>
для частного случая,
рассмотренного ранее (72), определяются
так:
З
аписывая
возмущения в экспоненциальной форме
(13), получая систему алгебраических
уравнений (14), приравнивая нулю определитель
этой системы (15), (16), окончательно получаем
характеристическое уравнение в виде:
и
ли
С
ледовательно,
необходимые и достаточные условия
устойчивости линеаризованной системы
можно записать так:
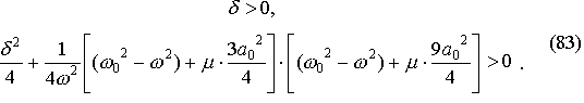
или, используя обозначения (79)
П

ервое
из этих условий в рамках рассматриваемой
задачи, очевидно, выполняется всегда.
Второе условие требует более детального
анализа. Чтобы его осуществить, определим
зависимость F(a>0>)
на основании соотношения (74):
и
вычислим производную dF/da>0>:
Последнее выражение легко преобразовать к виду:
Е
сли
теперь в этой зависимости амплитуду
вынужденных колебаний a>0>
(11.6) заменить на модуль этой величины
|a>0>|,
как это обычно делается при построении
резонансных характеристик |a>0>|(ω)
осцилляторов и их
управляющих характеристик |a>0>|(F),
то никаких изменений в соотношении (86)
не произойдет. В частности, знак
производной не изменится. Таким образом,
коэффициент при фигурной скобке в (86)
является величиной существенно
положительной.
Т
огда,
сравнивая выражение, заключенное в
фигурные скобки в (86) с условием (83) видим,
что условие устойчивости идентично
условию положительности производной.
и
ли
условию положительности обратной
величины
Следовательно, все точки управляющей характеристики осциллятора с положительным наклоном касательной соответствует устойчивым режимам колебаний. На рисунках?????????????? и 12.3 эти ветви изображены сплошными кривыми. «Падающей» ветви характеристики соответствуют неустойчивые колебания. На рис?????????? Эта ветвь представлена пунктиром, а на рис. 12.3 вообще отсутствует.
В
переходных точках перегиба кривой
имеет место упомянутый ранее «критический» случай, поскольку можно показать, что появляются корни характеристического уравнения с равными нулю вещественными частями. Анализа устойчивости на основе линейного приближения здесь оказывается недостаточно. Устойчивость или неустойчивость в этих точках определяют слагаемые высших порядков малости в уравнениях возмущенного движения.
